Research on the Evolution of the Express Packaging Recycling Strategy, Considering Government Subsidies and Synergy Benefits
Abstract
1. Introduction
- ①
- What are the key factors that influence different entities to promote express package recycling, and how will the strategic choices of different players affect the evolution of the system as a whole?
- ②
- Can government subsidies effectively encourage subjects to choose to participate in express package recycling, and are there differences in incentive power for different subjects? How should policymakers set their own incentive priorities?
2. Literature Review
2.1. Packaging Materials or Design, Recycling System, and Recycling Model
2.2. Division of Responsibilities for Solid Waste and Its Recycling Process
2.3. The Application of the Evolutionary Game Model and Its Applicability to This Research
3. Model
3.1. Theoretical Basis
3.1.1. Concept Definition
3.1.2. Problem Description
3.2. Hypothesis
3.3. Model Solution in the Case of the N-Model
3.3.1. E-Commerce Platform Evolution Strategy
3.3.2. Consumer Evolutionary Stability
3.3.3. Evolutionary Stability of E-Commerce Enterprises
3.3.4. Evolutionary Stability of Tripartite Parties
3.4. Model Solution in the Case of the Y-Model
4. Numerical Simulation
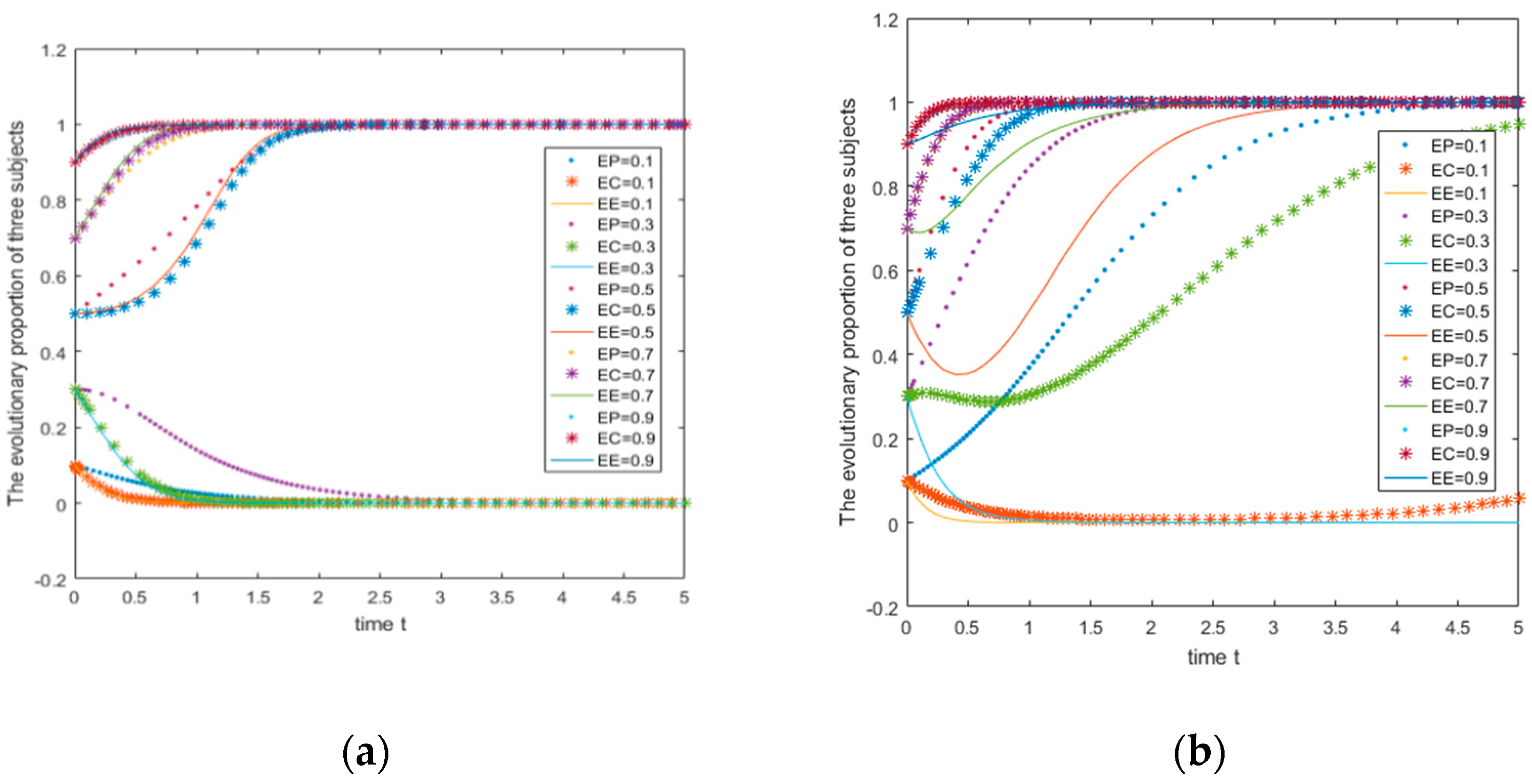
4.1. Numerical Simulation of the N-Model (Without Government Subsidies)
The Initial Probability Remains Unchanged, and the Consistent Parameter Returns
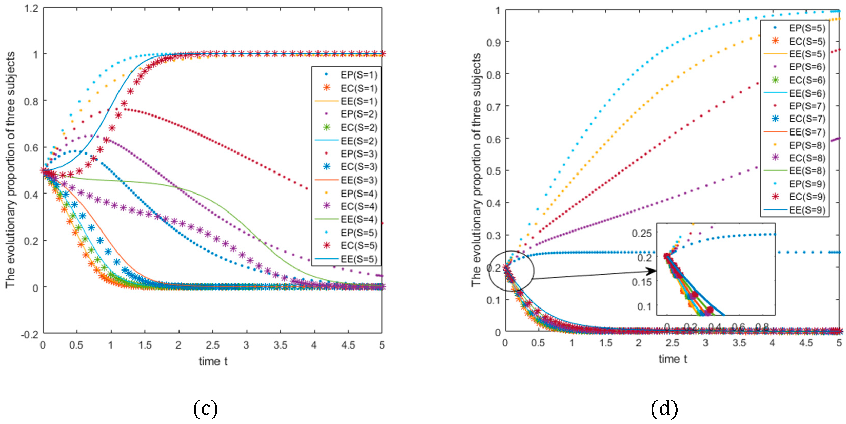
4.2. Simulation of Numerical Examples for the Y-Model (with Government Subsidies)
4.2.1. Impact of Changes in Subsidy Ratio Coefficient on System Evolution
4.2.2. Impact of Changes in Subsidy Amount on System Evolution
5. Discussion and Recommendations
5.1. Discussion of Results
5.2. Case Study
6. Conclusions
Author Contributions
Funding
Conflicts of Interest
Appendix A
Appendix B. Construction of an Evolutionary Game Model with Government Subsidies (Y-Model)
References
- Zhao, X.; Sun, B. The influence of Chinese environmental regulation on corporation innovation and competitiveness. J. Clean. Prod. 2016, 112, 152. [Google Scholar] [CrossRef]
- Yutu, A.; Benhong, P.; Guo, W.; Weiku, W. EPR system participants’ behavior: Evolutionary game and strategy simulation. J. Clean. Prod. 2020, 271, 122659. [Google Scholar]
- Liu, W.; Long, S.; Xie, D.; Liang, Y.; Wang, J. How to govern the big data discriminatory pricing behavior in the platform service supply chain? An examination with a three-party evolutionary game model. Int. J. Prod. Econ. 2020, 231, 107910. [Google Scholar] [CrossRef]
- Wang, Z.; Wang, Q.; Chen, B.; Yue, W. Evolutionary game analysis on behavioral strategies of multiple stakeholders in E-waste recycling industry. Resour. Conserv. Recycl. 2020, 155, 104618. [Google Scholar] [CrossRef]
- Sheng, J.; Zhou, W.; Zhu, B. The coordination of stakeholder interests in environmental regulation: Lessons from China’s environmental regulation policies from the perspective of the evolutionary game theory. J. Clean. Prod. 2020, 249, 119385. [Google Scholar] [CrossRef]
- Haiyan, S.; Junliang, Y. Sustainability of photovoltaic poverty alleviation in China: An evolutionary game between stakeholders. Energy 2019, 181, 264–280. [Google Scholar]
- Kondo, Y.; Hirai, K.S.; Kawamoto, R.; Obata, F. A discussion on the resource circulation strategy of the refrigerator. Resour. Conserv. Recycl. 2001, 33, 153–165. [Google Scholar] [CrossRef]
- Duhaime, R.; Riopel, D.; Langevin, D. Value analysis and optimization of reusable containers at Canada post. Interfaces 2001, 31, 3–15. [Google Scholar] [CrossRef]
- Ross, S.; Evans, D. The environmental effect of reusing and recycling a plastic-based packaging system. J. Clean. Prod. 2003, 11, 561–571. [Google Scholar] [CrossRef]
- Pati, R.K.; Vrat, P.; Kumar, P. A goal programming model for paper recycling system. Omega 2008, 36, 405–417. [Google Scholar] [CrossRef]
- Zhang, Q.; Segerstedt, A.; Tsao, Y.C.; Biyu, L. Returnable packaging management in automotive parts logistics: Dedicated mode and shared mode. Int. J. Prod. Econ. 2015, 168, 234–244. [Google Scholar] [CrossRef]
- Molinabesch, K.; Palsson, H. A supply chain perspective on green packaging development—Theory versus practice. Packag. Technol. Sci. 2016, 29, 45–63. [Google Scholar] [CrossRef]
- Cobb, B.R. Inventory control for returnable transport items in a closed-loop supply chain. Transp. Res. E-log. 2016, 86, 53–68. [Google Scholar] [CrossRef]
- Klaiman, K.; Ortega, D.L.; Garnache, C. Consumer preferences and demand for packaging material and recyclability. Resour. Conserv. Recycl. 2016, 115, 1–8. [Google Scholar] [CrossRef]
- Leite, P.R. Reverse logistics: The environment and competitiveness. J. Competição Econômica 2003, 18, 123–124. [Google Scholar]
- Silva, D.A.L.; Santos, R.; Gece, W.; Sevegnani, G.; Sevegnani, T.B.; Serra Truzzi, O. Comparison of disposable and returnable packaging: A case study of reverse logistics in Brazil. J. Clean. Prod. 2013, 47, 377–387. [Google Scholar] [CrossRef]
- Ilic, A.; Ng, J.; Bowman, P. The value of RFID for RTI management. Elect. Mark. 2009, 19, 125–135. [Google Scholar] [CrossRef]
- Mason, A.; Shaw, A.; Alshammaa, A.I.; Al-Shamma’a, A. Peer-to-peer inventory management of returnable transport items: A design science approach. Comput. Ind. 2012, 63, 265–274. [Google Scholar] [CrossRef]
- Twede, D.; Clarke, R. Supply chain issues in reusable packaging. J. Mark. Channels 2004, 12, 7–26. [Google Scholar] [CrossRef]
- Das, S.; Curlee, T.R.; Rizy, C.G.; Schexnayder, S.M. Automobile recycling in the United States: Energy impacts and waste generation. Resour. Conserv. Recycl. 1995, 14, 265–284. [Google Scholar] [CrossRef]
- Alwaeli, M. The impact of product charges and EU directives on the level of packaging waste recycling in Poland. Resour. Conserv. Recycl. 2010, 54, 609–614. [Google Scholar] [CrossRef]
- Wilmshurst, N. Packing tomorrows challenge. Logist. Focus 1996, 4, 13–15. [Google Scholar]
- Wang, J.; Wang, Y.; Liu, J.; Zhang, S.; Zhang, M. Effects of fund policy incorporating Extended Producer Responsibility for WEEE dismantling industry in China. Resour. Conserv. Recycl. 2018, 130, 44–50. [Google Scholar] [CrossRef]
- Wang, W.; Ding, J.; Sun, H. Reward-penalty mechanism for a two-period closedloop supply chain. J. Clean. Prod. 2018, 203, 898–917. [Google Scholar] [CrossRef]
- Selke, S.E.M. Green Technologies in Food Production and Processing; Springer Science Business Media LLC: New York, NY, USA, 2012; pp. 443–468. [Google Scholar]
- Cruz, N.; Ferreira, S.; Cabral, M.; Simões, P.; Marques, R. Packaging waste recycling in Europe: Is the industry paying for it? Waste Manag. 2014, 34, 298–308. [Google Scholar] [CrossRef]
- Levine, D.K.; Modica, S.; Weinschelbaum, F.; Zurita, F. Evolution of impatience: The example of the farmer-sheriff game. Am. Econ. J. Microecon. 2015, 7, 295–317. [Google Scholar] [CrossRef]
- Mazzanti, M.; Zoboli, R. Waste generation, waste disposal and policy effectiveness: Evidence on decoupling from the European Union. Resour. Conserv. Recycl. 2008, 52, 1221–1234. [Google Scholar] [CrossRef]
- Minelgaitė, A.; Liobikienė, G. Waste problem in European Union and its influence on waste management behaviours. Sci. Total Environ. 2019, 667, 86–93. [Google Scholar] [CrossRef]
- Sukholthaman, P.; Sharp, A. A system dynamics model to evaluate effects of source separation of municipal solid waste management: A case of Bangkok, Thailand. Waste Manag. 2016, 52, 50–61. [Google Scholar] [CrossRef]
- Liu, H.; Long, H.; Li, X. Identification of critical factors in construction and demolition waste recycling by the grey-DEMATEL approach: A Chinese perspective. Environ. Sci. Pollut. Res. 2020, 27, 8507–8525. [Google Scholar] [CrossRef]
- Long, H.; Liu, H.; Li, X.; Chen, L. An evolutionary game theory study for construction and demolition waste recycling considering green development performance under the Chinese Government’s reward-penalty mechanism. Int. J. Environ. Res. Public Health 2020, 17, 6303. [Google Scholar] [CrossRef] [PubMed]
- Khan, F.; Ahmed, W.; Najmi, A. Understanding consumers’ behavior intentions towards dealing with the plastic waste: Perspective of a developing country. Resour. Conserv. Recycl. 2019, 142, 49–58. [Google Scholar] [CrossRef]
- Babu, S.; Mohan, U. An integrated approach to evaluating sustainability in supply chains using evolutionary game theory. Comput. Oper. Res. 2018, 89, 269–283. [Google Scholar] [CrossRef]
- Chen, W.; Hu, Z. Using evolutionary game theory to study governments and manufacturers’ behavioral strategies under various carbon taxes and subsidies. J. Clean. Prod. 2018, 201, 123–141. [Google Scholar] [CrossRef]
- Friedman, D.; Fung, K.C. International trade and the internal organization of firms: An evolutionary approach. J. Int. Econ. 1996, 41, 137. [Google Scholar] [CrossRef]
- Levine, D.K.; Pesendorfer, W. The evolution of cooperation through imitation. Game Econ. Behav. 2007, 58, 293–315. [Google Scholar] [CrossRef]
- Barari, S.; Agarwal, G.; Zhang, W.J.; Mahanty, B.; Tiwari, M.K. A decision framework for the analysis of green supply chain contracts. Expert Syst. Appl. 2012, 39, 2965–2976. [Google Scholar] [CrossRef]
- Zhao, D.; Hao, J.; Cao, C.; Han, H. Evolutionary game analysis of three-player for low-carbon production capacity sharing. Sustainability 2019, 11, 2996. [Google Scholar] [CrossRef]
- Yu, K.; Zhou, L.; Cao, Q.; Zhen, L. Evolutionary game research on symmetry of workers’ behavior in coal mine enterprises. Symmetry 2019, 11, 156. [Google Scholar] [CrossRef]
- Qingyun, P.; Mu, Z. Evolutionary game analysis of land income distribution in tourism development. Tour. Econ. 2020, 12, 1–18. [Google Scholar] [CrossRef]
- You, M.; Li, S.; Dingwei, L.; Qingren, C.; Feng, X. Evolutionary game analysis of coal-mine enterprise internal safety inspection system in China based on system dynamics. Resour. Policy 2020, 67, 101673. [Google Scholar] [CrossRef]
- Cui, H.; Wang, R.; Wang, H. An evolutionary analysis of green finance sustainability based on multi-agent game. J. Clean. Prod. 2020, 269, 121799. [Google Scholar] [CrossRef]
- Fang, Y.; Wei, W.; Mei, S.; Laijun, C.; Xuemin, Z.; Shaowei, H. Promoting electric vehicle charging infrastructure considering policy incentives and user preferences: An evolutionary game model in a small-world network. J. Clean. Prod. 2020, 258, 120753. [Google Scholar] [CrossRef]
- Wang, Z.; Huo, J.; Duan, Y. The impact of government incentives and penalties on willingness to recycle plastic waste: An evolutionary game theory perspective. Front. Environ. Sci. Eng. 2020, 14, 1–11. [Google Scholar] [CrossRef]
- Roca, C.P.; Cuesta, J.A.; Sánchez, A. Evolutionary game theory: Temporal and spatial effects beyond replicator dynamics. Phys. Life Rev. 2009, 6, 208–249. [Google Scholar] [CrossRef]
- Li, X.; Du, J.; Long, H. Mechanism for green development behavior and performance of industrial enterprises (GDBP-IE) using partial least squares structural equation modeling (PLS-SEM). Int. J. Prod. Econ. 2020, 17, 8450. [Google Scholar] [CrossRef]
- He, L.; Zhang, L.; Zhong, Z.; Feng, W. Green credit, renewable energy investment and green economy development: Empirical analysis based on 150 listed companies of China. J. Clean. Prod. 2018, 10, 119. [Google Scholar] [CrossRef]
- D’Orazio, P.; Valente, M. The role of finance in environmental innovation diffusion: An evolutionary modeling approach. J. Econ. Behav. Organ. 2019, 162, 417–439. [Google Scholar] [CrossRef]
- Liao, X.; Shi, X. Public appeal, environmental regulation and green investment: Evidence from China. Energy Policy 2018, 119, 554–562. [Google Scholar] [CrossRef]
- Sheu, J.B.; Chen, Y.J. Impact of government financial intervention on competition among green supply chains. Int. J. Prod. Econ. 2012, 138, 201–213. [Google Scholar] [CrossRef]
- Koppenjan, J.F.M. Public private partnerships for green infrastructures. Tensions and challenges. Curr. Opin. Environ. Sustain. 2015, 12, 30–34. [Google Scholar] [CrossRef]
- Oliva, F.L.; Semensato, B.I.; Prioste, D.B.; Winandy, E.J.L.; Bution, J.L.; Gomes Couto, M.H.; Bottacin, M.A.; Mac Lennan, M.L.F.; Freire Teberga, P.M.; Fernandes Santos, R.; et al. Innovation in the main Brazilian business sectors: Characteristics, types and comparison of innovation. J. Know. Manag. 2018, 23, 135–175. [Google Scholar] [CrossRef]
- Jordan, A.; Rãudiger, K.W.; Wurzel, Z.A. The rise of ‘new’ policy instruments in comparative perspective: Has governance eclipsed government? Political Stud. 2005, 53, 477–496. [Google Scholar] [CrossRef]
- Ritzberger, K.; Weibull, J.W. Evolutionary selection in normal-form games. Econometrica 1995, 63, 1371–1399. [Google Scholar] [CrossRef]
- Selten, R. A note on evolutionarily stable strategies in asymmetric animal conflicts. J. Theor. Biol. 1980, 84, 93–101. [Google Scholar] [CrossRef]
- Lyapunov, A.M. The general problem of the stability of motion. Int. J. Control 1992, 55, 531–534. [Google Scholar] [CrossRef]
- Zhang, Y.; Chen, W.; Mi, Y. Third-party remanufacturing mode selection for competitive closed-loop supply chain based on evolutionary game theory. J. Clean. Prod. 2020, 12, 1305. [Google Scholar] [CrossRef]
- Rogers, S.; Barnett, J.; Webber, M.; Finlayson, B.; Wang, M. Governmentality and the conduct of water: China’s South-North Water Transfer Project. Trans. Inst. Brit. Geogr. 2016, 41, 429–441. [Google Scholar] [CrossRef]
- Bassi, M.; Pagnozzi, M.; Piccolo, S. Optimal contracting with altruism and reciprocity. Res. Econ. 2014, 68, 27–38. [Google Scholar] [CrossRef]
- Liu, G.; Sethi, S.P.; Zhang, J. Myopic vs. far-sighted behaviours in a revenue-sharing supply chain with reference quality effects. Int. J. Prod. Res. 2016, 54, 1–24. [Google Scholar] [CrossRef]
- Damania, R.; Fredriksson, P.G.; Mani, M. The persistence of corruption and regulatory compliance failures: Theory and evidence. Public Choice 2004, 121, e363–e390. [Google Scholar] [CrossRef]
- Armstrong, M. Competition in two-sided markets. Rand. J. Econ. 2005, 37, 668–691. [Google Scholar] [CrossRef]












| Strategy Mix | Electronic Business Platform | Consumer | E-Commerce Enterprise |
|---|---|---|---|
| (EP2, EC2, EE2) | |||
| (EP2, EC2, EE1) | |||
| (EP2, EC1, EE2) | |||
| (EP1, EC2, EE2) | |||
| (EP1, EC1, EE2) | |||
| (EP1, EC2, EE1) | |||
| (EP2, EC1, EE1) | |||
| (EP1, EC1, EE1) |
| Equilibrium Point | The Characteristic Root Corresponding to the Equilibrium Point |
|---|---|
| (0,0,0) | |
| (0,1,0) | |
| (1,0,0) | |
| (0,0,1) | |
| (1,1,0) | |
| (1,0,1) | |
| (0,1,1) | |
| (1,1,1) |
| Strategy Mix | Electronic Business Platform | Consumer | E-Commerce Enterprise |
|---|---|---|---|
| (EP2,EC2,EE2) | |||
| (EP2,EC2,EE1) | |||
| (EP2,EC1,EE2) | |||
| (EP1,EC2,EE2) | |||
| (EP1,EC1,EE2) | |||
| (EP1,EC2,EE1) | |||
| (EP2,EC1,EE1) | |||
| (EP1,EC1,EE1) |
| Equilibrium Point | The Characteristic Root Corresponding to the Equilibrium Point |
|---|---|
| (0,0,0) | |
| (0,1,0) | |
| (1,0,0) | |
| (0,0,1) | |
| (1,1,0) | |
| (1,0,1) | |
| (0,1,1) | |
| (1,1,1) |
| Country | Legislation | Taxation | Cooperating with the Government | Building Special Agency | Requirements for the Quantity of Recovery |
|---|---|---|---|---|---|
| United States | ◎ | ◎ | ◎ | ||
| Japan | ◎ | ◎ | |||
| Germany | ◎ | ◎ | |||
| France | ◎ | ◎ | |||
| Netherlands | ◎ | ◎ | |||
| Belgium | ◎ | ◎ | ◎ |
Publisher’s Note: MDPI stays neutral with regard to jurisdictional claims in published maps and institutional affiliations. |
© 2021 by the authors. Licensee MDPI, Basel, Switzerland. This article is an open access article distributed under the terms and conditions of the Creative Commons Attribution (CC BY) license (http://creativecommons.org/licenses/by/4.0/).
Share and Cite
Guo, Y.; Luo, G.; Hou, G. Research on the Evolution of the Express Packaging Recycling Strategy, Considering Government Subsidies and Synergy Benefits. Int. J. Environ. Res. Public Health 2021, 18, 1144. https://doi.org/10.3390/ijerph18031144
Guo Y, Luo G, Hou G. Research on the Evolution of the Express Packaging Recycling Strategy, Considering Government Subsidies and Synergy Benefits. International Journal of Environmental Research and Public Health. 2021; 18(3):1144. https://doi.org/10.3390/ijerph18031144
Chicago/Turabian StyleGuo, Yanlu, Gongli Luo, and Guisheng Hou. 2021. "Research on the Evolution of the Express Packaging Recycling Strategy, Considering Government Subsidies and Synergy Benefits" International Journal of Environmental Research and Public Health 18, no. 3: 1144. https://doi.org/10.3390/ijerph18031144
APA StyleGuo, Y., Luo, G., & Hou, G. (2021). Research on the Evolution of the Express Packaging Recycling Strategy, Considering Government Subsidies and Synergy Benefits. International Journal of Environmental Research and Public Health, 18(3), 1144. https://doi.org/10.3390/ijerph18031144

