Metal Pollution and Bioaccumulation in the Nhue-Day River Basin, Vietnam: Potential Ecological and Human Health Risks
Abstract
1. Introduction
2. Materials and Methods
2.1. Study Sites and Samples
2.2. Chemicals, Labware, and Sample Collection
2.3. Metal Analysis
2.4. Risk Assessments
2.4.1. Ecological Risk Indices
2.4.2. Human Health Risk Indices
- (1)
- The EDI was calculated to determine the potential health risk posed by a particular metal:where EDI is the estimated daily intake of a given metal from fish consumption for the local population (μg/kg bw/day); Mc is the metal concentration in fish (μg/g ww); IR is the daily fish ingestion rate (g/person/day), and Bw is the average body weight (kg). According to the FAO Food Balance Sheet for 2018, the average freshwater fish consumption by Vietnamese people was around 41 g/day/capita (http://www.fao.org/faostat/en/#data/FBS, accessed on 23 June 2021), and these data were used to calculate the IR of the young women group between the ages of 18 and 25, who have the lowest weight (51 kg, according to current survey data) and are thus more sensitive to metal exposure [15]. The estimated weekly intakes (EWIs; μg/kg bw/week) for Zn and Cu, as well as the estimated monthly intakes (EMI; μg/kg bw/month) for Cd (due to the exceptionally long half-life of cadmium), were calculated based on EDI and compared to the prescribed Provisional tolerance weekly intakes (PTWIs; μg/kg bw/week). The Joint FAO/WHO Expert Committee on Contaminants in Food [37] established these standards, with Zn and Cu at 7000 and 3500 μg/kg bw/week, respectively, and Cd at 25 μg/kg bw/month. For each metal, the acceptable daily intake (ADI; μg/kg bw/day) was calculated to compare with EDIs. FAO/WHO withdrew the PTWI for Pb in 2010; as a result, no comparison with this element was made.EDI = (Mc × IR)/Bw
- (2)
- The non-carcinogenic (THQ) and carcinogenic target risks (TR) were calculated using the US EPA Regional screening level (RSL) and the Integrated risk information system (IRIS) for 2021, following the US EPA integrated risk analysis [38].where:Mc denotes the metal concentration in fish muscles (μg/g ww).Ef is the frequency of exposure (assuming 365 days per year).Ed is the total lifetime exposure duration (70 years).RfD is the oral reference dose of each metal (μg/g/day for Cu, 0.3 for Zn, and 0.001 for Cd [39].Bw is the average female body weight (51 kg).ATn and ATc are the average exposure times for non-carcinogens and carcinogens, respectively (365 days/year x exposure years, assuming 70 years).CPSo is the oral carcinogenic potency slope (risk per μg/g/day; CPSo of Pb 8.5 × 10−3).
2.5. Data Processing and Analysis
3. Results and Discussion
3.1. Metal Pollution in the Nhue-Day River Basin: Spatial and Temporal Variation
3.2. Metals Bioaccumulation in Fish
3.3. Risk Assessments
3.3.1. Potential Ecological Risk of Metals in Sediment
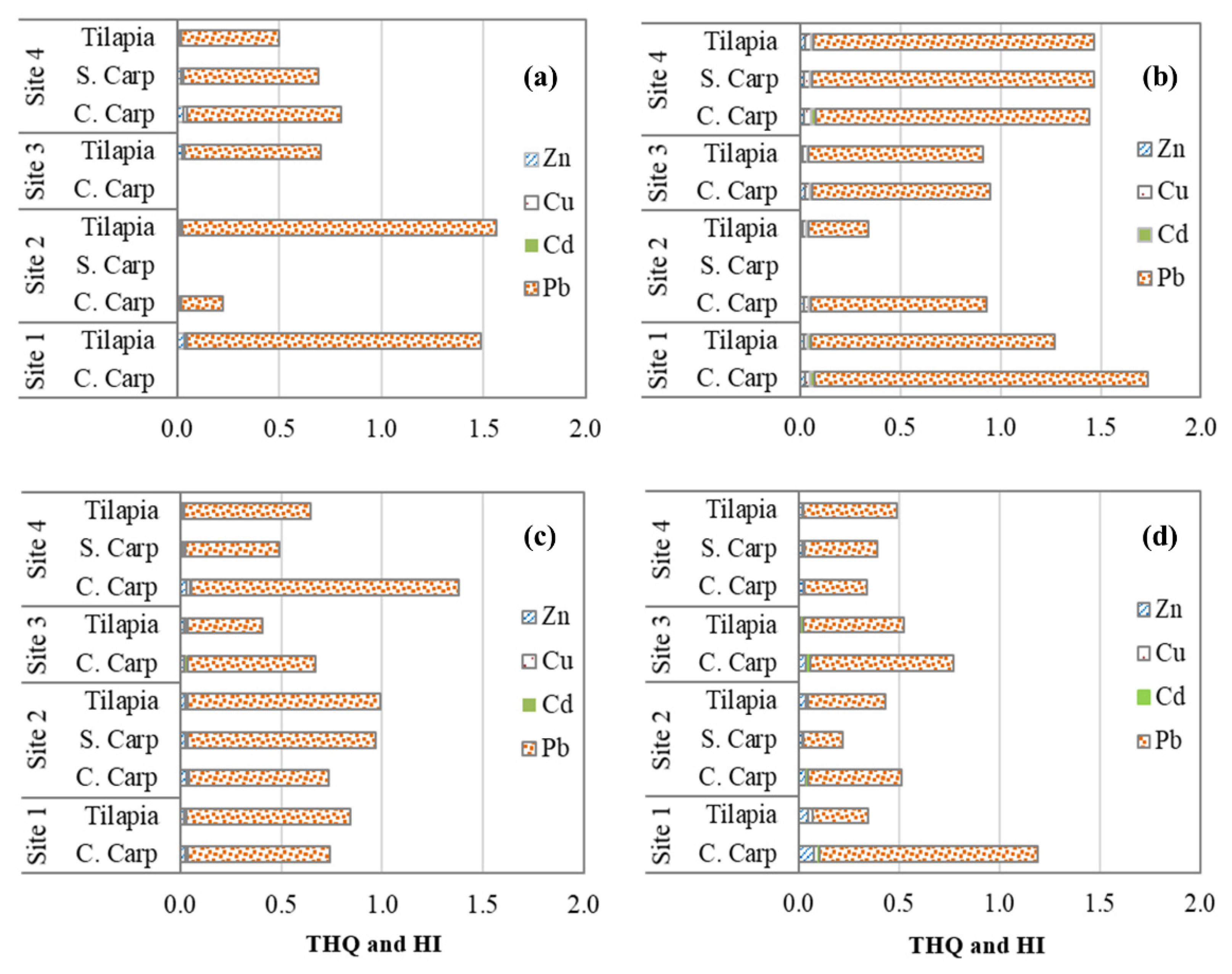
3.3.2. Human Health Risk Indices
4. Conclusions
Author Contributions
Funding
Institutional Review Board Statement
Informed Consent Statement
Data Availability Statement
Acknowledgments
Conflicts of Interest
References
- Martín, J.R.; De Arana, C.; Ramos-Miras, J.J.; Gil, C.; Boluda, R. Impact of 70 years urban growth associated with heavy metal pollution. Environ. Pollut. 2015, 196, 156–163. [Google Scholar] [CrossRef]
- Ahmed, M.K.; Shaheen, N.; Islam, M.S.; Habibullah-al-Mamun, M.; Islam, S.; Mohiduzzaman, M.; Bhattacharjee, L. Dietary intake of trace elements from highly consumed cultured fish (Labeo rohita, Pangasius pangasius and Oreochromis mossambicus) and human health risk implications in Bangladesh. Chemosphere 2015, 128, 284–292. [Google Scholar] [CrossRef]
- Ahmed, M.K.; Shaheen, N.; Islam, M.S.; Habibullah-Al-Mamun, M.; Islam, S.; Islam, M.M.; Kundu, G.K.; Bhattacharjee, L. A comprehensive assessment of arsenic in commonly consumed foodstuffs to evaluate the potential health risk in Bangladesh. Sci. Total Environ. 2016, 544, 125–133. [Google Scholar] [CrossRef] [PubMed]
- Phuong, N.M.; Kang, Y.; Sakurai, K.; Iwasaki, K.; Kien, C.N.; Van Noi, N.; Son, L.T. Levels and chemical forms of heavy metals in soils from Red River Delta, Vietnam. Water Air Soil Pollut. 2010, 207, 319–332. [Google Scholar] [CrossRef]
- Nguyen, T.T.H.; Zhang, W.; Li, Z.; Li, J.; Ge, C.; Liu, J.; Bai, X.; Feng, H.; Yu, L. Assessment of heavy metal pollution in Red River surface sediments, Vietnam. Mar. Pollut. Bull. 2016, 113, 513–519. [Google Scholar] [CrossRef]
- Toan, L.Q.; Sinh, D.X.; Nguyen-Viet, H.; Long, N.H.; Duc, P.P. Assessment on lead and cadmium pollution in tilapia and water spinach cultivated in Nhue River related to human health risk in Hanam. J. Pract. Med. 2014, 5, 130–134. Available online: https://hdl.handle.net/10568/53937 (accessed on 12 June 2021).
- Hang, N.; Phung, N. Vulnerability assessment of surface water resource of Dong Nai River basin in Lam Dong province. Vietnam J. Hydrometeorol. 2020, 4, 31–40. Available online: http://vnjhm.vn/article/877 (accessed on 2 August 2021). [CrossRef]
- Tran, V.T.; Nguyen, P.D.; Strady, E. Bioaccumulation of trace elements in the hard clam, Meretrix lyrata, reared downstream of a developing megacity, the Saigon-Dongnai River Estuary, Vietnam. Environ. Monit. Assess. 2020, 192, 566. [Google Scholar] [CrossRef] [PubMed]
- MONRE. The Current State of Vietnam Environment in 3 River Basins: Cau, Nhue-Day and Dong Nai River System; National Environmental Report; Environments MoNRE: Hanoi, Vietnam, 2006. [Google Scholar]
- DeForest, D.K.; Brix, K.V.; Adams, W.J. Assessing metal bioaccumulation in aquatic environments: The inverse relationship between bioaccumulation factors, trophic transfer factors and exposure concentration. Aquat. Toxicol. 2007, 84, 236–246. [Google Scholar] [CrossRef]
- Słomińska, I.; Jezierska, B. The effect of heavy metals on postembryonic development of common carp, Cyprinus carpio L. Fish. Aquat. Life 2000, 8, 119–128. Available online: http://www.fal.infish.com.pl/index.php/FisheriesAndAquaticLife/article/view/43/43 (accessed on 16 June 2021).
- Díez, S.; Delgado, S.; Aguilera, I.; Astray, J.; Pérez-Gómez, B.; Torrent, M.; Sunyer, J.; Bayona, J.M. Prenatal and early childhood exposure to mercury and methylmercury in Spain, a high-fish-consumer country. Arch. Environ. Contam. Toxicol. 2009, 56, 615–622. [Google Scholar] [CrossRef] [PubMed]
- Wang, S.L.; Xu, X.R.; Sun, Y.X.; Liu, J.L.; Li, H.B. Heavy metal pollution in coastal areas of South China: A review. Mar. Pollut. Bull. 2013, 76, 7–15. [Google Scholar] [CrossRef] [PubMed]
- Holm, P.E.; Marcussen, H.; Dalsgaard, A. Fate and risks of potentially toxic elements in wastewater-fed food production systems—The examples of Cambodia and Vietnam. Irrig. Drain. Syst. 2010, 24, 127–142. [Google Scholar] [CrossRef][Green Version]
- Marcussen, H.; Holm, P.E.; Ha, L.T.; Dalsgaard, A. Food safety aspects of toxic element accumulation in fish from wastewater-fed ponds in Hanoi, Vietnam. Trop. Med. Int. Health 2007, 12, 34–39. [Google Scholar] [CrossRef] [PubMed]
- Marcussen, H.; Joergensen, K.; Holm, P.E.; Brocca, D.; Simmons, R.W.; Dalsgaard, A. Element contents and food safety of water spinach (Ipomoea aquatica Forssk.) cultivated with wastewater in Hanoi, Vietnam. Environ. Monit. Assess. 2008, 139, 77–91. [Google Scholar] [CrossRef] [PubMed]
- Cannas, D.; Loi, E.; Serra, M.; Firinu, D.; Valera, P.; Zavattari, P. Relevance of essential trace elements in nutrition and drinking water for human health and autoimmune disease risk. Nutrients 2020, 12, 2074. [Google Scholar] [CrossRef]
- Bjørklund, G.; Dadar, M.; Chirumbolo, S.; Aaseth, J.; Peana, M. Metals, autoimmunity, and neuroendocrinology: Is there a connection? Environ. Res. 2020, 187, 109541. [Google Scholar] [CrossRef]
- Dórea, J.G. Neurodevelopment and exposure to neurotoxic metal(loid)s in environments polluted by mining, metal scrapping and smelters, and e-waste recycling in low and middle-income countries. Environ. Res. 2021, 197, 111124. [Google Scholar] [CrossRef]
- Anyanwu, B.O.; Ezejiofor, A.N.; Igweze, Z.N.; Orisakwe, O.E. Heavy metal mixture exposure and effects in developing nations: An update. Toxics 2018, 6, 65. [Google Scholar] [CrossRef]
- Rehman, K.; Fatima, F.; Waheed, I.; Akash, M.S.H. Prevalence of exposure of heavy metals and their impact on health consequences. J. Cell. Biochem. 2018, 119, 157–184. [Google Scholar] [CrossRef]
- Dural, M.; Göksu, M.Z.L.; Özak, A.A. Investigation of heavy metal levels in economically important fish species captured from the Tuzla lagoon. Food Chem. 2007, 102, 415–421. [Google Scholar] [CrossRef]
- Jović, M.; Stanković, S. Human exposure to trace metals and possible public health risks via consumption of mussels Mytilus galloprovincialis from the Adriatic coastal area. Food Chem. Toxicol. 2014, 70, 241–251. [Google Scholar] [CrossRef]
- Thuong, N.T.; Yoneda, M.; Ikegami, M.; Takakura, M. Source discrimination of heavy metals in sediment and water of To Lich River in Hanoi City using multivariate statistical approaches. Environ. Monit. Assess. 2013, 185, 8065–8075. [Google Scholar] [CrossRef] [PubMed]
- Le, H.T.; Ngo, H.T.T. Cd, Pb, and Cu in water and sediments and their bioaccumulation in freshwater fish of some lakes in Hanoi, Vietnam. Toxicol. Environ. Chem. 2014, 95, 1328–1337. [Google Scholar] [CrossRef]
- Komadel, P.; Stucki, J.W. Quantitative assay of minerals for Fe2+ and Fe3+ using 1,10-phenanthroline: III. A rapid photochemical method. Clays Clay Miner. 1988, 36, 379–381. [Google Scholar] [CrossRef]
- Ngo, H.T.T.; Gerstmann, S.; Frank, H. Subchronic effects of environment-like cadmium levels on the bivalve Anodonta anatina (Linnaeus 1758): I. Bioaccumulation, distribution and effects on calcium metabolism. Toxicol. Environ. Chem. 2011, 93, 1788–1801. [Google Scholar] [CrossRef]
- Qingjie, G.; Jun, D.; Yunchuan, X.; Qingfei, W.; Liqiang, Y. Calculating pollution indices by heavy metals in ecological geochemistry assessment and a case study in parks of Beijing. J. China Univ. Geosci. 2008, 19, 230–241. [Google Scholar] [CrossRef]
- Çevik, F.; Göksu, M.Z.L.; Derici, O.B.; Fındık, Ö. An assessment of metal pollution in surface sediments of Seyhan dam by using enrichment factor, geoaccumulation index and statistical analyses. Environ. Monit. Assess. 2009, 152, 309–317. [Google Scholar] [CrossRef]
- Nemerow, N.L. Stream, Lake, Estuary, and Ocean Pollution; Van Nostrand Reinhold Publishing Co.: New York, NY, USA, 1991. [Google Scholar] [CrossRef]
- Brady, J.P.; Ayoko, G.A.; Martens, W.N.; Goonetilleke, A. Development of a hybrid pollution index for heavy metals in marine and estuarine sediments. Environ. Monit. Assess. 2015, 187, 306. [Google Scholar] [CrossRef]
- Hong, H.; Wu, S.; Wang, Q.; Qian, L.; Lu, H.; Liu, J.; Lin, H.J.; Zhang, J.; Xu, W.B.; Yan, C. Trace metal pollution risk assessment in urban mangrove patches: Potential linkage with the spectral characteristics of chromophoric dissolved organic matter. Environ. Pollut. 2021, 272, 115996. [Google Scholar] [CrossRef]
- Hakanson, L. An ecological risk index for aquatic pollution control: A sedimentological approach. Water Res. 1980, 14, 975–1001. [Google Scholar] [CrossRef]
- Duodu, G.O.; Goonetilleke, A.; Ayoko, G.A. Comparison of pollution indices for the assessment of heavy metal in Brisbane River sediment. Environ. Pollut. 2016, 219, 1077–1091. [Google Scholar] [CrossRef]
- Taylor, S.R.; McLennan, S.M. The geochemical evolution of the continental crust. Rev. Geophys. 1995, 33, 241–265. [Google Scholar] [CrossRef]
- US EPA. Guidance for Assessing Chemical Contaminant Data for Use in Fish Advisories. Risk Assessment and Fish Consumption Limits, 3rd ed.; US EPA: Washington, DC, USA, 2000; Volume 2.
- Codex Alimentarius Commission. Joint FAO/WHO Food Standards Programme; Codex Committee on Contaminants in Foods; CF/12 INF/1; Codex Alimentarius Commission: Rome, Italy, 2018; 169p. [Google Scholar]
- U.S. Environmental Protection Agency. Risk Assessment Guidance for Superfund: Human Health Evaluation Manual (Part A); Office of Emergency and Remedial Response U.S. Environmental Protection Agency (Hrsg.): Washington, DC, USA, 1989; Volume I.
- U.S. Environmental Protection Agency. Rare Earth Elements: A Review of Production, Processing, Recycling, and Associated Environmental Issues; Office of Research and Development (Hrsg.): Cincinnati, OH, USA, 2012.
- Chien, L.C.; Hung, T.C.; Choang, K.Y.; Yeh, C.Y.; Meng, P.J.; Shieh, M.J.; Han, B.C. Daily intake of TBT, Cu, Zn, Cd and As for fishermen in Taiwan. Sci. Total Environ. 2002, 285, 177–185. [Google Scholar] [CrossRef]
- Liu, F.; Ge, J.; Hu, X.; Fei, T.; Li, Y.; Jiang, Y.; Xu, Z.; Ding, S.; Giesy, J.P.; Pan, J. Risk to humans of consuming metals in anchovy (Coilia sp.) from the Yangtze River Delta. Environ. Geochem. Health 2009, 31, 727. [Google Scholar] [CrossRef]
- European Commission. Commission Regulation (EC) No 1881/2006 of 19 December 2006 setting maximum levels for certain contaminants in foodstuffs. Off. J. Eur. Union 2006, 364, 5–24. [Google Scholar]
- Bogdanović, T.; Ujević, I.; Sedak, M.; Listeš, E.; Šimat, V.; Petričević, S.; Poljak, V. As, Cd, Hg and Pb in four edible shellfish species from breeding and harvesting areas along the eastern Adriatic Coast, Croatia. Food Chem. 2014, 146, 197–203. [Google Scholar] [CrossRef] [PubMed]
- MONRE. National Standards in Sediment Quality; 10/2012/TT-BTNMT; Environments MoNRa (Hrsg.): Hanoi, Vietnam; Bộ Tài Nguyên và Môi Trường: Hanoi, Vietnam, 2012. [Google Scholar]
- CCME. Canadian Environmental Quality Guidelines: Canadian Water Quality Guidelines for the Protection of Aquatic Life. 2007. Available online: http://www.halifax.ca/environment/documents/CWQG.PAL.summaryTable7.1.Dec2007.pdf (accessed on 16 June 2021).
- Van Gestel, C.A. Physico-chemical and biological parameters determine metal bioavailability in soils. Sci. Total Environ. 2008, 406, 385–395. [Google Scholar] [CrossRef] [PubMed]
- Gao, Y.; Lesven, L.; Gillan, D.; Sabbe, K.; Billon, G.; De Galan, S.; Elskens, M.; Baeyens, W.; Leermakers, M. Geochemical behavior of trace elements in sub-tidal marine sediments of the Belgian coast. Mar. Chem. 2009, 117, 88–96. [Google Scholar] [CrossRef]
- Calmano, W.; Ahlf, W.; Förstner, U. Exchange of heavy metals between sediment components and water. In Metal Speciation in the Environment; Springer: Berlin/Heidelberg, Germany, 1990; pp. 503–522. [Google Scholar] [CrossRef]
- Pritchard, J.B.; Bend, J.R. Mechanisms controlling the renal excretion of xenobiotics in fish: Effects of chemical structure. Drug Metab. Rev. 1984, 15, 655–671. [Google Scholar] [CrossRef]
- Bury, N.R.; Walker, P.A.; Glover, C.N. Nutritive metal uptake in teleost fish. J. Exp. Biol. 2003, 206, 11–23. [Google Scholar] [CrossRef] [PubMed]
- Camusso, M.; Balestrini, R.; Muriano, F.; Mariani, M. Use of freshwater mussel Dreissena polymorpha to assess trace metal pollution in the lower river Po (Italy). Chemosphere 1994, 29, 729–745. [Google Scholar] [CrossRef]
- Ministry of Health. Regulations on Maximum Thresholds of Biological and Chemical Pollution in Food: Thresholds of Heavy Metals in Food; Ministry of Health: Hanoi, Vietnam, 2007. [Google Scholar]
- World Health Organization. Metals—Environmental Aspects; Environmental Health Criteria No. 85; World Health Organization: Geneva, Switzerland, 1989. [Google Scholar]
- Gupta, A.; Rai, D.K.; Pandey, R.S.; Sharma, B. Analysis of some heavy metals in the riverine water, sediments and fish from river Ganges at Allahabad. Environ. Monit. Assess. 2009, 157, 449–458. [Google Scholar] [CrossRef]
- Tao, Y.; Yuan, Z.; Xiaona, H.; Wei, M. Distribution and bioaccumulation of heavy metals in aquatic organisms of different trophic levels and potential health risk assessment from Taihu lake, China. Ecotoxicol. Environ. Saf. 2012, 81, 55–64. [Google Scholar] [CrossRef] [PubMed]
- Taweel, A.; Shuhaimi-Othman, M.; Ahmad, A.K. Assessment of heavy metals in tilapia fish (Oreochromis niloticus) from the Langat River and Engineering Lake in Bangi, Malaysia, and evaluation of the health risk from tilapia consumption. Ecotoxicol. Environ. Saf. 2013, 93, 45–51. [Google Scholar] [CrossRef]






| Metals | Concentration (mg/kg; Present Study) | i Guidelines | |||||
|---|---|---|---|---|---|---|---|
| Site 1 | Site 2 | Site 3 | Site 4 | ||||
| Cd | River | 4.2 ± 1.0 | 4.4 ± 1.1 | 3.1 ± 0.64 | 2.8 ± 0.70 | 3.5 | Vietnam [43] |
| Pond | 1.9 ± 0.29 | 1.6 ± 0.16 | 1.3 ± 0.45 | 1.4 ± 0.35 | 0.6 | Canadia [44] | |
| Pb | River | 220 ± 44 | 224 ± 36 | 191 ± 47 | 239 ± 68 | 91.3 | Vietnam [43] |
| Pond | 131 ± 24 | 95 ± 6.8 | 76 ± 7.2 | 98 ± 12 | 35.0 | Canadia [44] | |
| Cu | River | 118 ± 13 | 72 ± 7.9 | 66 ± 9.2 | 76 ± 6.5 | 197 | Vietnam [43] |
| Pond | 74 ± 7.1 | 67 ± 7.4 | 72 ± 14 | 64 ± 14 | 35.7 | Canadia [44] | |
| Zn | River | 620 ± 89 | 453 ± 58 | 332 ± 74 | 337 ± 71 | 315 | Vietnam [43] |
| Pond | 324 ± 66 | 272 ± 22 | 216 ± 11 | 248 ± 13 | 123 | Canadia [44] | |
| Metals | Concentration (Present Study) | ii Maximum Permissible Limits | |||
|---|---|---|---|---|---|
| Silver Carp | Common Carp | Tilapia | |||
| Cd | 0.002–0.098 (0.023 ± 0.008) | 0.003–0.058 (0.024 ± 0.005) | 0.001–0.080 (0.015 ± 0.005) | 0.05 | (46/2007/QĐ-BYT) |
| 0.05 | EC (No.1881/2006) | ||||
| 1.00 | (WHO 1989) | ||||
| Pb | 0.06–1.46 (0.36 ± 0.10) | 0.06–1.58 (0.33 ± 0.09) | 0.11–1.13 (0.30 ± 0.06) | 0.20 | (46/2007/QĐ-BYT) |
| 0.30 | EC (No. 1881/2006) | ||||
| 2.00 | (WHO 1989) | ||||
| Cu | 0.5–2.7 (1.03 ± 0.17) | 0.5–3.0 (1.53 ± 0.18) | 0.5–3.1 (1.27 ± 0.16) | 30 | (46/2007/QĐ-BYT) |
| 30 | (WHO 1989) | ||||
| Zn | 6.0–16 (11 ± 0.8) | 11–54 (10 ± 2.5) | 9–42 (16 ± 2.2) | 100 | (46/2007/QĐ-BYT) |
| 100 | (WHO 1989) | ||||
| Category | Ecological Risk Grade | Ecological Risk Thresholds | |
|---|---|---|---|
| (RI; [33]) | (emRI; Present Study) | ||
| 1 | Low ecological risk | RI < 150 | emRI < 1.1 |
| 2 | Moderate ecological risk | 150 ≤ RI < 300 | 1.1 ≤ emRI < 2.3 |
| 3 | Considerable ecological risk | 300 ≤ RI < 600 | 2.3 ≤ emRI < 4.5 |
| 4 | Very high ecological risk | RI ≥ 600 | emRI ≥ 4.5 |
| Sum of toxic units (Hg, Cd, As, Pb, Cu, Cr, Zn, and PCB) [33] | 133 | ||
| mEr (River) | emRI (river) | mEr (Pond) | emRI (Pond) | ||||||||
|---|---|---|---|---|---|---|---|---|---|---|---|
| Zn | Cu | Pb | Cd | Zn | Cu | Pb | Cd | ||||
| Site 1 | Spring | 10.2 | 17.4 | 77 | 1756 | 38 | 8.7 | 14.0 | 59.3 | 760 | 20.5 |
| Autumn | 7.2 | 24.7 | 27 | 991 | 26 | 3.7 | 22.1 | 28.2 | 751 | 19.6 | |
| Average Site 1 | 8.1 ± 1.3 | 24 ± 2.4 | 58 ± 12 | 1262 ± 324 | 32 | 5.7 ± 1.2 | 19 ± 3.1 | 41 ± 7.5 | 755 ± 141 | 20.0 | |
| Site 2 | Spring | 8.1 | 10.3 | 76 | 1292 | 34 | 4.8 | 10.7 | 23.0 | 432 | 11.5 |
| Autumn | 3.8 | 15.7 | 28 | 1270 | 28 | 3.6 | 18.1 | 24.6 | 642 | 16.8 | |
| Average Site 2 | 6.2 ± 0.8 | 13 ± 1.6 | 52 ± 8.7 | 1282 ± 311 | 31 | 4.2 ± 0.5 | 14 ± 2.0 | 24 ± 4.0 | 537 ± 67 | 14.1 | |
| Site 3 | Spring | 8.2 | 10.6 | 86 | 1534 | 40 | 1.8 | 6.4 | 10.7 | 123 | 3.8 |
| Autumn | 2.7 | 19.4 | 25 | 649 | 17 | 1.9 | 12.1 | 13.2 | 385 | 15.1 | |
| Average Site 3 | 5.4 ± 1.3 | 15 ± 2.1 | 55 ± 14 | 1091 ± 205 | 28 | 1.8 ± 0.6 | 8.8 ± 3.4 | 12 ± 4.1 | 235 ± 113 | 9.4 | |
| Site 4 | Spring | 7.2 | 16.3 | 102 | 1219 | 33 | 2.8 | 6.7 | 17.3 | 220 | 6.0 |
| Autumn | 2.3 | 16.6 | 23 | 569 | 15 | 2.9 | 16.4 | 23.9 | 576 | 15.1 | |
| Average Site 4 | 5.2 ± 1.3 | 16 ± 2.3 | 71 ± 25 | 959 ± 306 | 26 | 2.8 ± 0.2 | 11 ± 2.4 | 20 ± 2.1 | 363 ± 100 | 9.7 | |
| EDI | EWI/EMI * | ||||||||
|---|---|---|---|---|---|---|---|---|---|
| Zn | Cu | Cd | Pb | Zn | Cu | Cd * | Pb | ||
| Site 1 | C. Carp | 20.9 ± 4 | 1.48 ± 0.013 | 1.9 × 10−2 ± 0.19 | 0.27 ± 0.04 | 146 | 10.3 | 0.56 | 1.9 |
| (5.5–70.6) | (0.3–3.0) | (0–0.06) | (0.08–0.66) | 2.1% | 0.3% | 2.3% | |||
| Tilapia | 17 ± 3.2 | 1.0 ± 0.011 | 1.2 × 10−2 ± 0.14 | 0.23 ± 0.05 | 119 | 7.1 | 0.36 | 1.6 | |
| (4.3–54.1) | (0.26–2.6) | (0–0.04) | (0.02–0.72) | 1.7% | 0.2% | 1.4% | |||
| Site 2 | C. Carp | 14 ± 2.2 | 0.97 ± 0.007 | 1.3 × 10−2 ± 0.14 | 0.15 ± 0.02 | 100 | 6.8 | 0.38 | 1.1 |
| (4.7–27) | (0.36–1.8) | (0–0.032) | (0.04–0.27) | 1.4% | 0.2% | 1.5% | |||
| S. Carp | 11 ± 2.4 | 0.53 ± 0.008 | 7.4 × 10−3 ± 0.08 | 0.16 ± 0.05 | 75 | 3.7 | 0.22 | 1.1 | |
| (4.6–27.3) | (0.29–0.98) | (0–0.017) | (0.04–0.37) | 1.1% | 0.11% | 0.89% | |||
| Tilapia | 12 ± 2.0 | 1.0 ± 0.007 | 1.2 × 10−2 ± 0.15 | 0.24 ± 0.07 | 85 | 7.1 | 0.36 | 1.7 | |
| (4.1–45) | (0.23–2.61) | (0–0.048) | (0.03–1.1) | 1.2% | 0.20% | 1.4% | |||
| Site 3 | C. Carp | 15 ± 2.8 | 1.1 ± 0.009 | 1.9 × 10−2 ± 0.22 | 0.18 ± 0.04 | 102 | 7.7 | 0.57 | 1.2 |
| (7.8–38) | (0.4–2.3) | (0–0.054) | (0.02–0.44) | 1.5% | 0.20% | 2.3% | |||
| Tilapia | 9.6 ± 0.9 | 1.0 ± 0.003 | 7.6 × 10−3 ± 0.19 | 0.14 ± 0.02 | 67 | 7.0 | 0.23 | 1.0 | |
| (6.1–15) | (0.3–2.2) | (0–0.024) | (0.05–0.25) | 0.96% | 0.20% | 0.91% | |||
| Site 4 | C. Carp | 14 ± 1.7 | 1.4 ± 0.006 | 2.0 × 10−2 ± 0.24 | 0.22 ± 0.06 | 97 | 9.8 | 0.59 | 1.5 |
| (6.9–26) | (0.26–3.04) | (0–0.072) | (0.04–0.96) | 1.4% | 0.28% | 2.4% | |||
| S. Carp | 9.8 ± 0.9 | 1.2 ± 0.003 | 5.7 × 10−3 ± 0.23 | 0.17 ± 0.03 | 68 | 8.1 | 0.17 | 1.2 | |
| (6.0–16) | (0.28–2.64) | (0–0.024) | (0.02–0.39) | 0.98% | 0.23% | 0.68% | |||
| Tilapia | 9.6 ± 1.1 | 1.1 ± 0.004 | 7.8 × 10−3 ± 0.29 | 0.18 ± 0.04 | 67 | 7.5 | 0.24 | 1.3 | |
| (5.1–16) | (0.32–2.9) | (0–0.032) | (0.02–0.47) | 0.96% | 0.22% | 0.94% | |||
| ADI | 1000 | 500 | 0.83 | ||||||
| PTWI or PTMI * | 7000 | 3500 | 25 * | ||||||
Publisher’s Note: MDPI stays neutral with regard to jurisdictional claims in published maps and institutional affiliations. |
© 2021 by the authors. Licensee MDPI, Basel, Switzerland. This article is an open access article distributed under the terms and conditions of the Creative Commons Attribution (CC BY) license (https://creativecommons.org/licenses/by/4.0/).
Share and Cite
Ngo, H.T.T.; Tran, L.A.T.; Nguyen, D.Q.; Nguyen, T.T.H.; Le, T.T.; Gao, Y. Metal Pollution and Bioaccumulation in the Nhue-Day River Basin, Vietnam: Potential Ecological and Human Health Risks. Int. J. Environ. Res. Public Health 2021, 18, 13425. https://doi.org/10.3390/ijerph182413425
Ngo HTT, Tran LAT, Nguyen DQ, Nguyen TTH, Le TT, Gao Y. Metal Pollution and Bioaccumulation in the Nhue-Day River Basin, Vietnam: Potential Ecological and Human Health Risks. International Journal of Environmental Research and Public Health. 2021; 18(24):13425. https://doi.org/10.3390/ijerph182413425
Chicago/Turabian StyleNgo, Huong Thi Thuy, Lan Anh Thi Tran, Dinh Quoc Nguyen, Tien Thi Hanh Nguyen, Thao Thanh Le, and Yue Gao. 2021. "Metal Pollution and Bioaccumulation in the Nhue-Day River Basin, Vietnam: Potential Ecological and Human Health Risks" International Journal of Environmental Research and Public Health 18, no. 24: 13425. https://doi.org/10.3390/ijerph182413425
APA StyleNgo, H. T. T., Tran, L. A. T., Nguyen, D. Q., Nguyen, T. T. H., Le, T. T., & Gao, Y. (2021). Metal Pollution and Bioaccumulation in the Nhue-Day River Basin, Vietnam: Potential Ecological and Human Health Risks. International Journal of Environmental Research and Public Health, 18(24), 13425. https://doi.org/10.3390/ijerph182413425

