Simultaneous Determination of Seven Antibiotics and Five of Their Metabolites in Municipal Wastewater and Evaluation of Their Stability under Laboratory Conditions
Abstract
:1. Introduction
2. Materials and Methods
2.1. Chemicals and Reagents
2.2. Sample Collection
2.3. Sample Preparation
2.4. Liquid Chromatography and Mass Spectrometry
2.5. Method Validation
2.6. Stability Tests
2.7. Blank Analysis
3. Results and Discussion
3.1. UPLC-MS/MS and SPE Method Optimization
3.2. Method Validation
3.2.1. Linearity and Range
3.2.2. Detection and Quantification Limits
3.2.3. Instrument and Method Precision
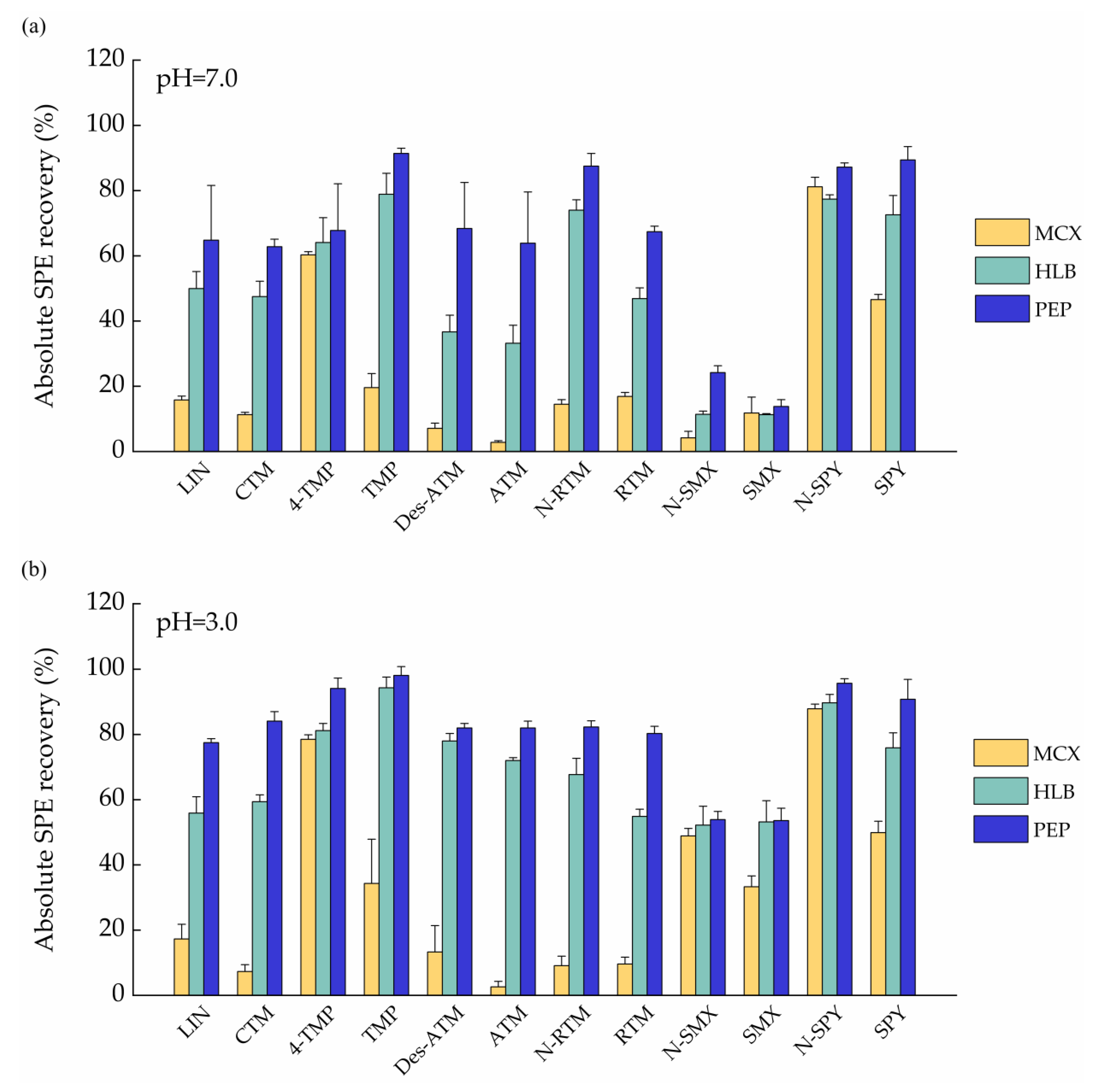
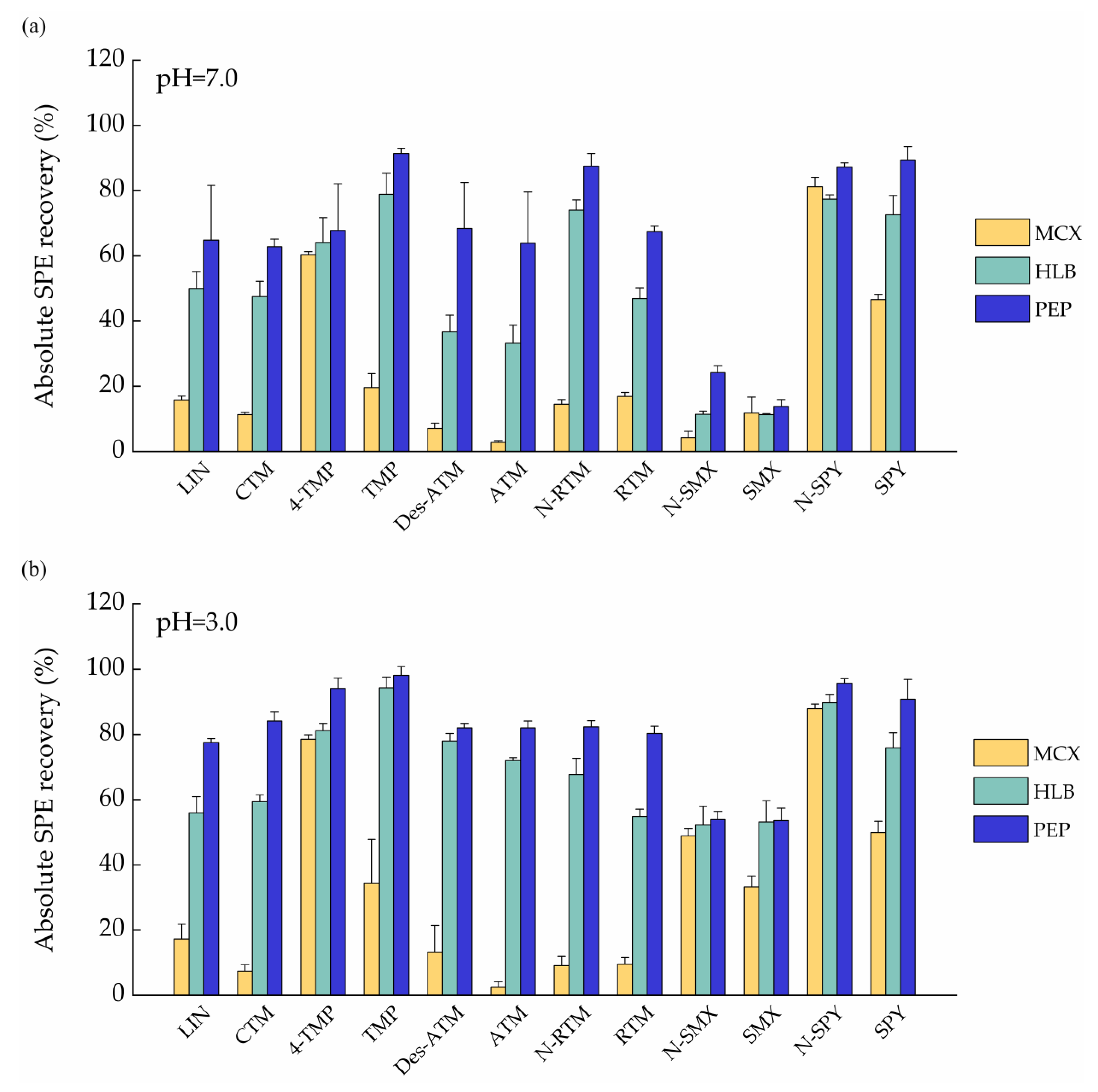
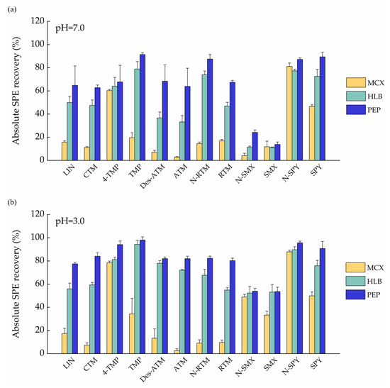
3.2.4. SPE Recovery
3.2.5. Matrix Effect
3.3. Stability of Antibiotics and Metabolites
3.4. Application to Real Wastewater Samples
4. Conclusions
Supplementary Materials
Author Contributions
Funding
Institutional Review Board Statement
Informed Consent Statement
Data Availability Statement
Acknowledgments
Conflicts of Interest
References
- Zhou, L.-J.; Ying, G.-G.; Liu, S.; Zhang, R.-Q.; Lai, H.-J.; Chen, Z.-F.; Pan, C.-G. Excretion masses and environmental occurrence of antibiotics in typical swine and dairy cattle farms in China. Sci. Total Environ. 2013, 444, 183–195. [Google Scholar] [CrossRef] [PubMed]
- Cabello, F.C. Heavy use of prophylactic antibiotics in aquaculture: A growing problem for human and animal health and for the environment. Environ. Microbiol. 2006, 8, 1137–1144. [Google Scholar] [CrossRef] [PubMed]
- Kümmerer, K. Antibiotics in the aquatic environment—A review—Part I. Chemosphere 2009, 75, 417–434. [Google Scholar] [CrossRef] [PubMed]
- Dong, H.; Yuan, X.; Wang, W.; Qiang, Z. Occurrence and removal of antibiotics in ecological and conventional wastewater treatment processes: A field study. J. Environ. Manag. 2016, 178, 11–19. [Google Scholar] [CrossRef] [PubMed]
- Sun, Q.; Wang, Y.; Li, Y.; Ashfaq, M.; Dai, L.; Xie, X.; Yu, C.P. Fate and mass balance of bisphenol analogues in wastewater treatment plants in Xiamen City, China. Environ. Pollut. 2017, 225, 542–549. [Google Scholar] [CrossRef] [PubMed] [Green Version]
- Wang, J.; Zhuan, R.; Chu, L. The occurrence, distribution and degradation of antibiotics by ionizing radiation: An overview. Sci. Total Environ. 2018, 646, 1385–1397. [Google Scholar] [CrossRef] [PubMed]
- Michael, I.; Rizzo, L.; McArdell, C.S.; Manaia, C.M.; Merlin, C.; Schwartz, T.; Dagot, C.; Fatta-Kassinos, D. Urban wastewater treatment plants as hotspots for the release of antibiotics in the environment: A review. Water Res. 2013, 47, 957–995. [Google Scholar] [CrossRef] [PubMed] [Green Version]
- Verlicchi, P.; Al Aukidy, M.; Zambello, E. What have we learned from worldwide experiences on the management and treatment of hospital effluent?—An overview and a discussion on perspectives. Sci. Total Environ. 2015, 514, 467–491. [Google Scholar] [CrossRef]
- Rossmann, J.; Schubert, S.; Gurke, R.; Oertel, R.; Kirch, W. Simultaneous determination of most prescribed antibiotics in multiple urban wastewater by SPE-LC-MS/MS. J. Chromatogr. B 2014, 969, 162–170. [Google Scholar] [CrossRef]
- Crofts, T.S.; Gasparrini, A.J.; Dantas, G. Next-generation approaches to understand and combat the antibiotic resistome. Nat. Rev. Microbiol. 2017, 15, 422–434. [Google Scholar] [CrossRef] [Green Version]
- Zhao, W.; Guo, Y.; Lu, S.; Yan, P.; Sui, Q. Recent advances in pharmaceuticals and personal care products in the surface water and sediments in China. Front. Environ. Sci. Eng. 2016, 10, 2. [Google Scholar] [CrossRef]
- Bu, Q.; Wang, B.; Huang, J.; Liu, K.; Deng, S.; Wang, Y.; Yu, G. Estimating the use of antibiotics for humans across China. Chemosphere 2016, 144, 1384–1390. [Google Scholar] [CrossRef]
- He, K.; Borthwick, A.G.; Lin, Y.; Li, Y.; Fu, J.; Wong, Y.; Liu, W. Sale-based estimation of pharmaceutical concentrations and associated environmental risk in the Japanese wastewater system. Environ. Int. 2020, 139, 105690. [Google Scholar] [CrossRef]
- Zhang, Q.Q.; Ying, G.G.; Pan, C.G.; Liu, Y.S.; Zhao, J.L. Comprehensive evaluation of antibiotics emission and fate in the river basins of China: Source analysis, multimedia modeling, and linkage to bacterial resistance. Environ. Sci Technol. 2015, 49, 6772–6782. [Google Scholar] [CrossRef]
- Zuccato, E.; Chiabrando, C.; Castiglioni, S.; Bagnati, R.; Fanelli, R. Estimating community drug abuse by wastewater analysis. Environ. Health Perspect. 2008, 116, 1027–1032. [Google Scholar] [CrossRef] [Green Version]
- Bijlsma, L.; Celma, A.; Castiglioni, S.; Salgueiro-González, N.; Bou-Iserte, L.; Baz-Lomba, J.A.; Reid, M.J.; Dias, M.J.; Lopes, A.; Matias, J.; et al. Monitoring psychoactive substance use at six European festivals through wastewater and pooled urine analysis. Sci. Total Environ. 2020, 725, 138376. [Google Scholar] [CrossRef]
- Thomas, K.V.; Bijlsma, L.; Castiglioni, S.; Covaci, A.; Emke, E.; Grabic, R.; Hernandez, F.; Karolak, S.; Kasprzyk-Hordern, B.; Lindberg, R.H.; et al. Comparing illicit drug use in 19 European cities through sewage analysis. Sci. Total Environ. 2012, 432, 432–439. [Google Scholar] [CrossRef] [Green Version]
- Watanabe, K.; Batikian, C.M.; Pelley, D.; Carlson, B.; Pitt, J.; Gersberg, R.M. Occurrence of Stimulant Drugs of Abuse in a San Diego, CA, Stream and their Consumption Rates in the Neighboring Community. Water Air Soil Pollut. 2020, 231, 202. [Google Scholar] [CrossRef]
- Bade, R.; Ghetia, M.; Nguyen, L.; Tscharke, B.J.; White, J.M.; Gerber, C. Simultaneous determination of 24 opioids, stimulants and new psychoactive substances in wastewater. MethodsX 2019, 6, 953–960. [Google Scholar] [CrossRef]
- Asicioglu, F.; Kuloglu Genc, M.; Tekin Bulbul, T.; Yayla, M.; Simsek, S.Z.; Adioren, C.; Mercan, S. Investigation of temporal illicit drugs, alcohol and tobacco trends in Istanbul city: Wastewater analysis of 14 treatment plants. Water Res. 2021, 190, 116729. [Google Scholar] [CrossRef]
- Du, P.; Li, K.; Li, J.; Xu, Z.; Fu, X.; Yang, J.; Zhang, H.; Li, X. Methamphetamine and ketamine use in major Chinese cities, a nationwide reconnaissance through sewage-based epidemiology. Water Res. 2015, 84, 76–84. [Google Scholar] [CrossRef] [PubMed]
- Du, P.; Thai, P.K.; Bai, Y.; Zhou, Z.; Xu, Z.; Zhang, X.; Wang, J.; Zhang, C.; Hao, F.; Li, X. Monitoring consumption of methadone and heroin in major Chinese cities by wastewater-based epidemiology. Drug Alcohol Depend. 2019, 205, 107532. [Google Scholar] [CrossRef] [PubMed]
- Hou, C.; Hua, Z.; Xu, P.; Xu, H.; Di, B. Estimating the prevalence of hepatitis B by wastewater-based epidemiology in 19 cities in China. Sci. Total Environ. 2020, 740, 139696. [Google Scholar] [CrossRef] [PubMed]
- Xiao, Y.; Shao, X.T.; Tan, D.Q.; Yan, J.H.; Pei, W.; Wang, Z.; Yang, M.; Wang, D.G. Assessing the trend of diabetes mellitus by analyzing metformin as a biomarker in wastewater. Sci. Total Environ. 2019, 688, 281–287. [Google Scholar] [CrossRef]
- Shao, X.-T.; Cong, Z.-X.; Liu, S.-Y.; Wang, Z.; Zheng, X.-Y.; Wang, D.-G. Spatial analysis of metformin use compared with nicotine and caffeine consumption through wastewater-based epidemiology in China. Ecotoxicol. Environ. Saf. 2021, 208, 111623. [Google Scholar] [CrossRef]
- Choi, P.M.; O’Brien, J.W.; Li, J.; Jiang, G.; Thomas, K.V.; Mueller, J.F. Population histamine burden assessed using wastewater-based epidemiology: The association of 1,4-methylimidazole acetic acid and fexofenadine. Environ. Int. 2018, 120, 172–180. [Google Scholar] [CrossRef]
- Samaraweera, D.N.D.; Liu, X.; Zhong, G.; Priyadarshana, T.; Naseem Malik, R.; Zhang, G.; Khorram, M.S.; Zhu, Z.; Peng, X. Antibiotics in two municipal sewage treatment plants in Sri Lanka: Occurrence, consumption and removal efficiency. Emerg. Contam. 2019, 5, 272–278. [Google Scholar] [CrossRef]
- Zhang, Y.; Duan, L.; Wang, B.; Du, Y.; Cagnetta, G.; Huang, J.; Blaney, L.; Yu, G. Wastewater-based epidemiology in Beijing, China: Prevalence of antibiotic use in flu season and association of pharmaceuticals and personal care products with socioeconomic characteristics. Environ. Int. 2019, 125, 152–160. [Google Scholar] [CrossRef]
- Yuan, S.F.; Liu, Z.H.; Huang, R.P.; Yin, H.; Dang, Z. Levels of six antibiotics used in China estimated by means of wastewater-based epidemiology. Water Sci. Technol. 2016, 73, 769–775. [Google Scholar] [CrossRef]
- Choi, P.M.; Tscharke, B.J.; Donner, E.; O’Brien, J.W.; Grant, S.C.; Kaserzon, S.L.; Mackie, R.; O’Malley, E.; Crosbie, N.D.; Thomas, K.V.; et al. Wastewater-based epidemiology biomarkers: Past, present and future. TrAC Trends Anal. Chem. 2018, 105, 453–469. [Google Scholar] [CrossRef]
- Seifrtova, M.; Novakova, L.; Lino, C.; Pena, A.; Solich, P. An overview of analytical methodologies for the determination of antibiotics in environmental waters. Anal. Chim. Acta 2009, 649, 158–179. [Google Scholar] [CrossRef]
- Tran, N.H.; Chen, H.; Do, T.V.; Reinhard, M.; Ngo, H.H.; He, Y.; Gin, K.Y. Simultaneous analysis of multiple classes of antimicrobials in environmental water samples using SPE coupled with UHPLC-ESI-MS/MS and isotope dilution. Talanta 2016, 159, 163–173. [Google Scholar] [CrossRef]
- Zhou, L.J.; Ying, G.G.; Liu, S.; Zhao, J.L.; Chen, F.; Zhang, R.Q.; Peng, F.Q.; Zhang, Q.Q. Simultaneous determination of human and veterinary antibiotics in various environmental matrices by rapid resolution liquid chromatography-electrospray ionization tandem mass spectrometry. J. Chromatogr. A 2012, 1244, 123–138. [Google Scholar] [CrossRef]
- GoBel, A.; McArdell, C.S.; Suter, M.J.-F.; Giger, W. Trace Determination of Macrolide and Sulfonamide Antimicrobials, a Human Sulfonamide Metabolite, and Trimethoprim in Wastewater Using Liquid Chromatography Coupled to Electrospray Tandem Mass Spectrometry. Anal. Chem. 2004, 76, 4756–4764. [Google Scholar] [CrossRef]
- Le-Minh, N.; Stuetz, R.M.; Khan, S.J. Determination of six sulfonamide antibiotics, two metabolites and trimethoprim in wastewater by isotope dilution liquid chromatography/tandem mass spectrometry. Talanta 2012, 89, 407–416. [Google Scholar] [CrossRef]
- Yuan, S.-f.; Liu, Z.-h.; Yin, H.; Dang, Z.; Wu, P.-x.; Zhu, N.-w.; Lin, Z. Trace determination of sulfonamide antibiotics and their acetylated metabolites via SPE-LC-MS/MS in wastewater and insights from their occurrence in a municipal wastewater treatment plant. Sci. Total Environ. 2019, 653, 815–821. [Google Scholar] [CrossRef]
- Ort, C.; Bijlsma, L.; Castiglioni, S.; Covaci, A.; Voogt, P.D.; Emke, E.; Hernández, F.; Reid, M.; Nuijs, A.L.N.V.; Thomas, K.V. Wastewater Analysis for Community-Wide Drugs Use Assessment. In New Psychoactive Substances; Springer: Cham, Switzerland, 2018; Volume 252, pp. 543–566. [Google Scholar]
- Gracia-Lor, E.; Castiglioni, S.; Bade, R.; Been, F.; Castrignano, E.; Covaci, A.; Gonzalez-Marino, I.; Hapeshi, E.; Kasprzyk-Hordern, B.; Kinyua, J.; et al. Measuring biomarkers in wastewater as a new source of epidemiological information: Current state and future perspectives. Environ. Int. 2017, 99, 131–150. [Google Scholar] [CrossRef] [Green Version]
- Lindberg, R.H.; Ostman, M.; Olofsson, U.; Grabic, R.; Fick, J. Occurrence and behaviour of 105 active pharmaceutical ingredients in sewage waters of a municipal sewer collection system. Water Res. 2014, 58, 221–229. [Google Scholar] [CrossRef]
- Bade, R.; Ghetia, M.; White, J.M.; Gerber, C. Determination of prescribed and designer benzodiazepines and metabolites in influent wastewater. Anal. Methods 2020, 12, 3637–3644. [Google Scholar] [CrossRef]
- Zheng, Q.; Eaglesham, G.; Tscharke, B.J.; O’Brien, J.W.; Thai, P.K. Determination of anabasine, anatabine, and nicotine biomarkers in wastewater by enhanced direct injection LC-MS/MS and evaluation of their in-sewer stability. Sci. Total Environ. 2020, 743, 140551. [Google Scholar] [CrossRef]
- Matuszewski, B.K.; Constanzer, M.L.; Chavez-Eng, C.M. Strategies for the Assessment of Matrix Effect in Quantitative Bioanalytical Methods Based on HPLC–MS/MS. Anal. Chem. 2003, 75, 3019–3030. [Google Scholar] [CrossRef]
- Sarmah, A.K.; Meyer, M.T.; Boxall, A.B. A global perspective on the use, sales, exposure pathways, occurrence, fate and effects of veterinary antibiotics (VAs) in the environment. Chemosphere 2006, 65, 725–759. [Google Scholar] [CrossRef]
- GoBel, A.; Thomsen, A.; McArdell, C.S.; Joss, A.; Giger, W. Occurrence and Sorption Behavior of Sulfonamides, Macrolides, and Trimethoprim in Activated Sludge Treatment. Environ. Sci. Technol. 2005, 39, 3981–3989. [Google Scholar] [CrossRef]
- Le-Minh, N.; Khan, S.J.; Drewes, J.E.; Stuetz, R.M. Fate of antibiotics during municipal water recycling treatment processes. Water Res. 2010, 44, 4295–4323. [Google Scholar] [CrossRef]
- Thai, P.K.; Jiang, G.; Gernjak, W.; Yuan, Z.; Lai, F.Y.; Mueller, J.F. Effects of sewer conditions on the degradation of selected illicit drug residues in wastewater. Water Res. 2014, 48, 538–547. [Google Scholar] [CrossRef] [Green Version]
- Zhang, Y.; Wang, B.; Cagnetta, G.; Duan, L.; Yang, J.; Deng, S.; Huang, J.; Wang, Y.; Yu, G. Typical pharmaceuticals in major WWTPs in Beijing, China: Occurrence, load pattern and calculation reliability. Water Res. 2018, 140, 291–300. [Google Scholar] [CrossRef]
- Luke, D.R.; Foulds, G. Disposition of oral azithromycin in humans. Clin. Pharmacol. Ther. 1997, 61, 641. [Google Scholar] [CrossRef]
- Gao, L.; Shi, Y.; Li, W.; Niu, H.; Liu, J.; Cai, Y. Occurrence of antibiotics in eight sewage treatment plants in Beijing, China. Chemosphere 2012, 86, 665–671. [Google Scholar] [CrossRef] [PubMed]


| Target Analytes | Curve (R2) | Range (ng/mL) | Instrument Precision | Method Precision | MDL (ng/L) | MQL (ng/L) | ||||
|---|---|---|---|---|---|---|---|---|---|---|
| Intraday (n = 5) | Interday (n = 5) | Intraday (n = 5) | Interday (n = 5) | In a | Ef b | In a | Ef b | |||
| SPY | 0.999 | 0.1–100 | 5.2 | 8.5 | 2.3 | 2.8 | 0.1 | 0.05 | 0.3 | 0.2 |
| N-SPY | 0.994 | 0.1–100 | 3.7 | 7.8 | 4.9 | 3.3 | 0.4 | 0.2 | 1.3 | 0.6 |
| SMX | 0.998 | 0.1–100 | 4.7 | 8.2 | 4.8 | 3.1 | 0.2 | 0.1 | 0.6 | 0.4 |
| N-SMX | 0.999 | 0.1–100 | 3.4 | 9.6 | 4.8 | 1.6 | 0.5 | 0.3 | 1.7 | 0.9 |
| RTM | 0.999 | 0.1–100 | 2.1 | 5.5 | 1.9 | 8.0 | 0.2 | 0.1 | 0.7 | 0.3 |
| N-RTM | 0.999 | 0.1–100 | 3.6 | 8.0 | 2.1 | 7.0 | 0.1 | 0.03 | 0.2 | 0.1 |
| ATM | 0.999 | 0.1–100 | 4.0 | 8.1 | 2.3 | 6.9 | 0.1 | 0.05 | 0.3 | 0.2 |
| Des-ATM | 0.999 | 0.1–100 | 6.7 | 10.1 | 3.8 | 5.9 | 0.1 | 0.04 | 0.2 | 0.1 |
| TMP | 0.999 | 0.1–100 | 3.7 | 4.1 | 0.8 | 8.2 | 0.1 | 0.03 | 0.3 | 0.1 |
| 4-TMP | 0.999 | 0.1–100 | 2.6 | 2.3 | 0.5 | 7.6 | 0.2 | 0.1 | 0.7 | 0.2 |
| CTM | 0.999 | 0.1–100 | 2.8 | 11.4 | 2.4 | 8.1 | 1.5 | 0.7 | 5.0 | 2.4 |
| LIN | 0.999 | 0.1–100 | 9.2 | 10.8 | 1.3 | 5.6 | 0.5 | 0.2 | 1.6 | 0.8 |
| Target Analytes | Absolute Recovery a Mean ± RSD b (%) | Relative Recovery a Mean ± RSD b (%) | Matrix Effects a Mean ± RSD b (%) | |||||
|---|---|---|---|---|---|---|---|---|
| U W c (n = 3) | Influent (n = 3) | Effluent (n = 3) | U W c (n = 3) | Influent (n = 3) | Effluent (n = 3) | Influent (n = 3) | Effluent (n = 3) | |
| SPY | 90.8 ± 6.7 | 93.4 ± 3.7 | 82.8 ± 18.1 | 98.0 ± 0.3 | 90.4 ± 3.7 | 95.7 ± 2.8 | −10.9 ± 5.3 | 2.7 ± 1.8 |
| N-SPY | 95.7 ± 1.5 | 92.7 ± 15.8 | 93.6 ± 4.6 | 96.1 ± 3.6 | 93.7 ± 3.5 | 91.7 ± 1.9 | −7.6 ± 7.8 | −7.8 ± 3.1 |
| SMX | 53.6 ± 7.1 | 77.6 ± 5.2 | 57.3 ± 12.2 | 97.2 ± 1.5 | 91.1 ± 3.7 | 92.9 ± 1.0 | −28.7 ± 7.0 | −27.6 ± 11.1 |
| N-SMX | 53.9 ± 4.6 | 73.3 ± 6.6 | 72.0 ± 2.4 | 98.0 ± 0.4 | 89.1 ± 9.1 | 98.0 ± 8.0 | −26.5 ± 10.4 | −18.0 ± 1.4 |
| RTM | 80.3 ± 2.7 | 76.3 ± 2.3 | 76.2 ± 7.4 | 96.1 ± 0.5 | 102.3 ± 3.3 | 92.0 ± 7.1 | −6.0 ± 6.3 | 2.6 ± 9.4 |
| N-RTM | 82.2 ± 2.3 | 74.5 ± 3.2 | 77.3 ± 10.2 | 98.6 ± 0.1 | 99.8 ± 3.5 | 93.3 ± 7.5 | −2.0 ± 5.2 | 4.8 ± 7.1 |
| ATM | 82.0 ± 2.6 | 87.0 ± 11.2 | 88.5 ± 3.8 | 98.9 ± 0.2 | 90.3 ± 6.9 | 88.3 ± 1.6 | −14.4 ± 1.7 | −2.1 ± 2.1 |
| Des-ATM | 82.0 ± 1.7 | 92.4 ± 5.6 | 83.1 ± 14.8 | 98.9 ± 2.6 | 96.0 ± 9.5 | 83 ± 12.6 | −13.3 ± 6.6 | 1.4 ± 1.1 |
| TMP | 98.1 ± 2.8 | 92.4 ± 3.4 | 90.3 ± 5.9 | 99.6 ± 0.5 | 104.4 ± 2.0 | 95.1 ± 5.5 | −20.1 ± 4.1 | −5.6 ± 1.0 |
| 4-TMP | 94.1 ± 3.4 | 95.4 ± 6.0 | 102.7 ± 3.7 | 98.7 ± 0.6 | 94.0 ± 3.2 | 89.2 ± 2.7 | −3.1 ± 1.5 | 2.2 ± 1.1 |
| CTM | 84.1 ± 3.4 | 58.5 ± 4.0 | 76.8 ± 3.7 | 98.8 ± 0.4 | 98.5 ± 7.4 | 104.2 ± 5.0 | −0.7 ± 0.9 | −6.5 ± 4.6 |
| LIN | 77.5 ± 1.5 | 77.6 ± 3.7 | 82.9 ± 4.1 | 92.8 ± 3.3 | 104.1 ± 1.7 | 100.0 ± 3.0 | −14.8 ± 6.9 | −1.7 ± 4.2 |
| Compounds | Degree (°C) | Zero Order | First Order Kinetics | ||
|---|---|---|---|---|---|
| Slope (%/h) | R2 | Half-Life (h/Day) | R2 | ||
| RTM | 4 | −0.74 (−1.3 to −0.15) | 0.61 | 69.3 (40.8–231.0) | 0.65 |
| −20 | −2.9 (−3.7 to −2.1) | 0.95 | 10.8 (7.8–17.8) | 0.90 | |
| ATM | 4 | no significance | - | 115.5 (57.8–∞) | 0.50 |
| −20 | −2.3 (−3.1 to −1.4) | 0.91 | 16.5 (11.4–30.1) | 0.87 | |
| CTM | 4 | −0.70 (−1.3 to −0.07) | 0.55 | 69.3 (34.7–346.6) | 0.60 |
| −20 | −3.3 (−3.9 to −2.7) | 0.97 | 6.3 (5.0–8.5) | 0.95 | |
| Target Analytes | Influent | Effluent | Removal c (%) | ||||||
|---|---|---|---|---|---|---|---|---|---|
| DF a (%) | Mean ± SD b | Med d | Range | DF a (%) | Mean ± SD b | Med d | Range | ||
| SPY | 100 | 110.9 ± 19.7 | 104.4 | 87.2~137.4 | 66.7 | 7.2 ± 8.8 | 4.6 | <MDL~23.1 | 92.8 ± 9.5 |
| N-SPY | 100 | 326.0 ± 56.3 | 311.7 | 277.8~351.2 | 66.7 | 84.6 ± 64.3 | 106.7 | <MDL~153.0 | 72.6 ± 21.4 |
| SMX | 100 | 139.9 ± 29.1 | 131.1 | 103.0~190.0 | 66.7 | 17.0 ± 24.9 | 6.5 | <MDL~66.0 | 87.6 ± 19.7 |
| N-SMX | 100 | 498.7 ± 151.4 | 461.4 | 302.2~772.2 | 66.7 | 61.0 ± 58.9 | 54.0 | <MDL~167.7 | 89.1 ± 8.7 |
| RTM | 100 | 201.9 ± 51.6 | 195.1 | 118.0~304.6 | 100 | 13.1 ± 15.1 | 7.9 | 0.4~49.5 | 93.6 ± 7.3 |
| N-RTM | 100 | 9.0 ± 3.1 | 8.3 | 6.0~15.8 | 91.7 | 70.3 ± 73.0 | 53.8 | <MDL~227.9 | 94.5 ± 3.7 |
| ATM | 100 | 1258.8 ± 245.1 | 1214.1 | 969.2~1755.4 | 100 | 28.0 ± 25.7 | 23.2 | <MQL~71.6 | 97.6 ± 2.2 |
| Des-ATM | 100 | 439.9 ± 105.6 | 408.2 | 317.2~639.8 | 91.7 | 85.2 ± 92.5 | 40.5 | <MDL~235.6 | 81.7 ± 18.0 |
| TMP | 100 | 143.8 ± 48.2 | 145.7 | 82.2~240.4 | 66.7 | 20.5 ± 17.0 | 26.3 | <MDL~43.8 | 86.3 ± 11.1 |
| 4-TMP | 100 | 1.9 ± 0.5 | 1.8 | 1.2~2.2 | 0 | <MDL | <MDL | <MDL | 100 |
| CTM | 100 | 1619.5 ± 560.2 | 1653.4 | 874.6~2908.4 | 100 | 53.5 ± 66.2 | 18.6 | 0.5~177.3 | 96.3 ± 4.6 |
| LIN | 100 | 251.2 ± 177.6 | 207.9 | 75.2~642.8 | 50 | 6.1 ± 9.3 | 0.2 | <MDL~26.0 | 95.7 ± 6.7 |
Publisher’s Note: MDPI stays neutral with regard to jurisdictional claims in published maps and institutional affiliations. |
© 2021 by the authors. Licensee MDPI, Basel, Switzerland. This article is an open access article distributed under the terms and conditions of the Creative Commons Attribution (CC BY) license (https://creativecommons.org/licenses/by/4.0/).
Share and Cite
Han, S.; Li, X.; Huang, H.; Wang, T.; Wang, Z.; Fu, X.; Zhou, Z.; Du, P.; Li, X. Simultaneous Determination of Seven Antibiotics and Five of Their Metabolites in Municipal Wastewater and Evaluation of Their Stability under Laboratory Conditions. Int. J. Environ. Res. Public Health 2021, 18, 10640. https://doi.org/10.3390/ijerph182010640
Han S, Li X, Huang H, Wang T, Wang Z, Fu X, Zhou Z, Du P, Li X. Simultaneous Determination of Seven Antibiotics and Five of Their Metabolites in Municipal Wastewater and Evaluation of Their Stability under Laboratory Conditions. International Journal of Environmental Research and Public Health. 2021; 18(20):10640. https://doi.org/10.3390/ijerph182010640
Chicago/Turabian StyleHan, Sheng, Xinyue Li, Hongmei Huang, Ting Wang, Zhenglu Wang, Xiaofang Fu, Zilei Zhou, Peng Du, and Xiqing Li. 2021. "Simultaneous Determination of Seven Antibiotics and Five of Their Metabolites in Municipal Wastewater and Evaluation of Their Stability under Laboratory Conditions" International Journal of Environmental Research and Public Health 18, no. 20: 10640. https://doi.org/10.3390/ijerph182010640
APA StyleHan, S., Li, X., Huang, H., Wang, T., Wang, Z., Fu, X., Zhou, Z., Du, P., & Li, X. (2021). Simultaneous Determination of Seven Antibiotics and Five of Their Metabolites in Municipal Wastewater and Evaluation of Their Stability under Laboratory Conditions. International Journal of Environmental Research and Public Health, 18(20), 10640. https://doi.org/10.3390/ijerph182010640

