Use of Oral Health Impact Profile-14 (OHIP-14) in Different Contexts. What Is Being Measured?
Abstract
:1. Introduction
2. Methods
2.1. Study Design and Sampling
2.2. Procedures and Ethical Aspects
2.3. Measuring Instrument
2.4. Validity of Data Analysis
2.5. Content Validity
2.6. Validity Based on Internal Structure
2.7. Validity Based on Response Process
2.8. Consequence Validity
3. Results
3.1. Content Validity
3.2. Validity Based on Internal Structure
3.3. Validity Based on Response Process
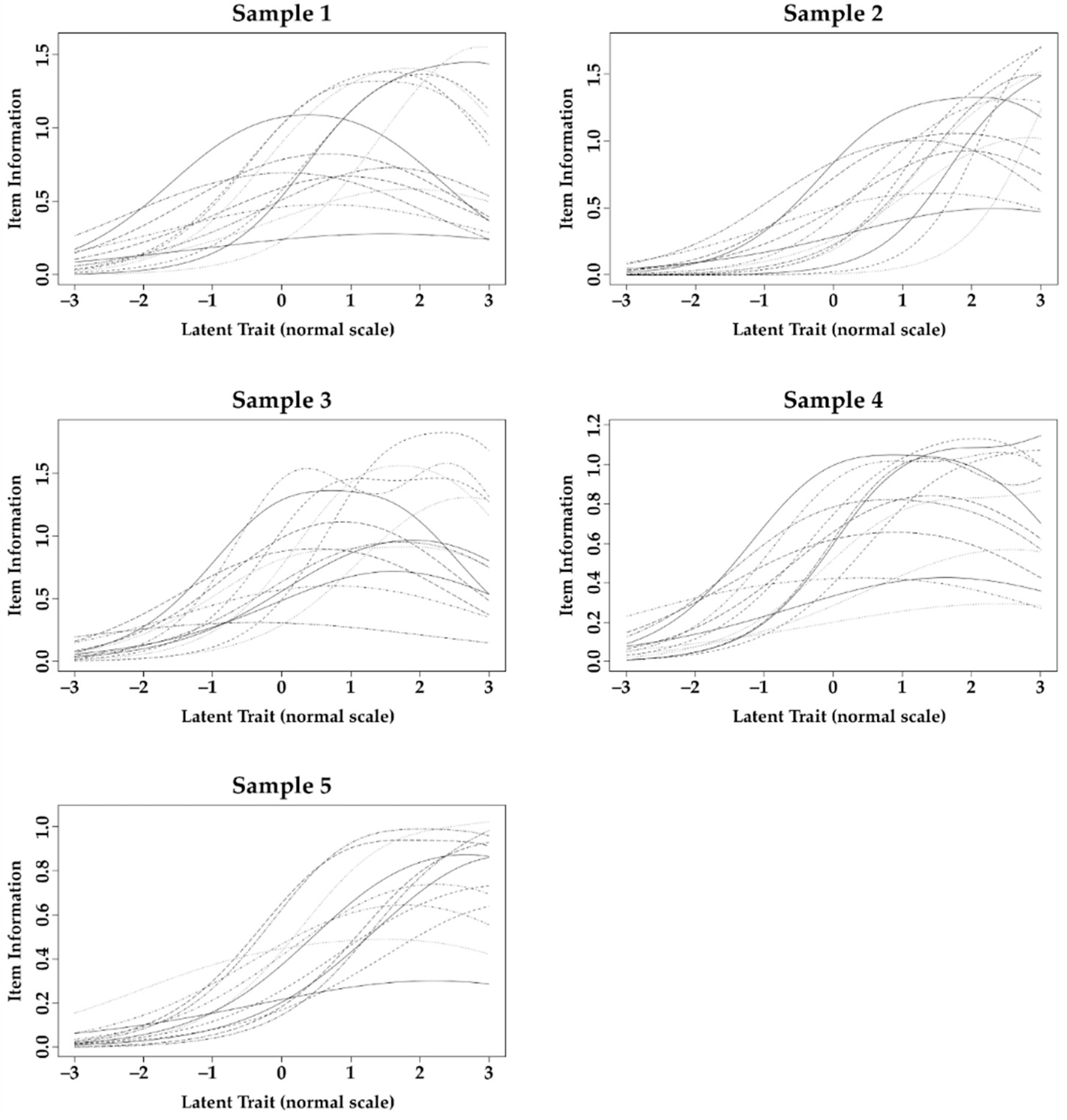
3.4. Consequence Validity
4. Discussion
5. Conclusions
Author Contributions
Funding
Institutional Review Board Statement
Informed Consent Statement
Data Availability Statement
Acknowledgments
Conflicts of Interest
References
- Locker, D.; Allen, F. What do measures of ‘oral health-related quality of life’ measure? Community Dent. Oral Epidemiol. 2007, 35, 401–411. [Google Scholar] [CrossRef]
- John, M.T.; Reissmann, D.R.; Feuerstahler, L.; Waller, N.; Baba, K.; Larsson, P.; Celebic, A.; Szabo, G.; Rener-Sitar, K. Factor analyses of the Oral Health Impact Profile—Overview and studied population. J. Prosthodont. Res. 2014, 58, 26–34. [Google Scholar] [CrossRef] [PubMed] [Green Version]
- John, M.T. Foundations of oral health-related quality of life. J. Oral Rehabil. 2021, 48, 355–359. [Google Scholar] [CrossRef]
- Atchison, K.A.; Dolan, T.A. Development of the Geriatric Oral Health Assessment Index. J. Dent. Educ. 1990, 54, 680–687. [Google Scholar] [CrossRef]
- Adulyanon, S.; Sheiham, A. Oral impacts on daily performances. In Measuring Oral Health and Quality of Life; Slade, G.D., Ed.; University of North Carolina: Chapel Hill, NC, USA, 1997; pp. 151–160. [Google Scholar]
- Slade, G.D.; Spencer, A.J. Development and evaluation of the Oral Health Impact Profile. Community Dent. Health 1994, 11, 3–11. [Google Scholar]
- Slade, G.D. Derivation and validation of a short-form oral health impact profile. Community Dent. Oral Epidemiol. 1997, 25, 284–290. [Google Scholar] [CrossRef] [PubMed]
- John, M.T.; Reissmann, D.R.; Celebic, A.; Baba, K.; Kende, D.; Larsson, P.; Rener-Sitar, K. Integration of oral health-related quality of life instruments. J. Dent. 2016, 53, 38–43. [Google Scholar] [CrossRef] [PubMed]
- Locker, D. Measuring oral health: A conceptual framework. Community Dent Health 1988, 5, 3–18. [Google Scholar]
- Oliveira, B.H.; Nadanovsky, P. Psychometric properties of the Brazilian version of the Oral Health Impact Profile-short form. Community Dent. Oral Epidemiol. 2005, 33, 307–314. [Google Scholar] [CrossRef]
- Gera, A.; Cattaneo, P.M.; Cornelis, M.A. A Danish version of the oral health impact profile-14 (OHIP-14): Translation and cross-cultural adaptation. BMC Oral Health 2020, 20, 254. [Google Scholar] [CrossRef]
- Xin, W.N.; Ling, J.Q. Validation of a Chinese version of the oral health impact profile-14. Zhonghua Kou Qiang Yi Xue Za Zhi 2006, 41, 242–245. [Google Scholar]
- Montero, J.; Bravo, M.; Vicente, M.P.; Galindo, M.P.; Lopez, J.F.; Albaladejo, A. Dimensional structure of the oral health-related quality of life in healthy Spanish workers. Health Qual. Life Outcomes 2010, 8, 24. [Google Scholar] [CrossRef] [Green Version]
- Lahti, S.; Suominen-Taipale, L.; Hausen, H. Oral health impacts among adults in Finland: Competing effects of age, number of teeth, and removable dentures. Eur. J. Oral Sci. 2008, 116, 260–266. [Google Scholar] [CrossRef] [PubMed]
- Soares, G.H.; Santiago, P.H.R.; Werneck, R.I.; Michel-Crosato, E.; Jamieson, L. A Psychometric Network Analysis of OHIP-14 across Australian and Brazilian Populations. JDR Clin. Trans. Res. 2021, 6, 333–342. [Google Scholar] [CrossRef]
- Santos, C.M.; Oliveira, B.H.; Nadanovsky, P.; Hilgert, J.B.; Celeste, R.K.; Hugo, F.N. The Oral Health Impact Profile-14: A unidimensional scale? Cad. Saude Publica 2013, 29, 749–757. [Google Scholar] [CrossRef] [PubMed]
- Nuttall, N.M.; Slade, G.D.; Sanders, A.E.; Steele, J.G.; Allen, P.F.; Lahti, S. An empirically derived population-response model of the short form of the Oral Health Impact Profile. Community Dent. Oral Epidemiol. 2006, 34, 18–24. [Google Scholar] [CrossRef]
- Zucoloto, M.L.; Maroco, J.; Campos, J.A. Psychometric Properties of the Oral Health Impact Profile and New Methodological Approach. J. Dent. Res. 2014, 93, 645–650. [Google Scholar] [CrossRef] [Green Version]
- Baker, S.R.; Gibson, B.; Locker, D. Is the oral health impact profile measuring up? Investigating the scale’s construct validity using structural equation modelling. Community Dent. Oral Epidemiol. 2008, 36, 532–541. [Google Scholar] [CrossRef] [PubMed]
- Hair, J.F.; Black, W.C.; Babin, B.; Anderson, R.E. Multivariate Data Analysis, 8th ed.; Cengage Learning: Hampshire, UK, 2019. [Google Scholar]
- Association, A.E.R. Standards for Educational and Psychological Testing; American Educational Research Association: Washington, DC, USA, 2014. [Google Scholar]
- Kline, R.B. Principles and Practice of Structural Equation Modeling, 4th ed.; The Guilford Press: New York, NY, USA, 2016. [Google Scholar]
- Marôco, J. Análise de Equações Estruturais, 2nd ed.; ReportNumber: Lisboa, Portugal, 2014. [Google Scholar]
- Hu, L.; Bentler, P.M. Cutoff criteria for fit indexes in covariance structure analysis: Conventional criteria versus new alternatives. Struct. Equ. Modeling 1999, 6, 1–55. [Google Scholar] [CrossRef]
- Fornell, C.; Larcker, D.F. Evaluating structural equation models with unobservable variables and measurement error. J. Mark. Res. 1981, 18, 39–50. [Google Scholar] [CrossRef]
- Rosseel, Y. lavaan: An R package for structural equation modeling and more. Version 0.5–12 (BETA). J. Stat. Softw. 2012, 48, 1–36. [Google Scholar] [CrossRef] [Green Version]
- Ferrando, P.J.; Lorenzo-Seva, U. Assessing the quality and appropriateness of factor solutions and factor score estimates in exploratory item factor analysis. Educ. Psychol. Meas. 2018, 78, 762–780. [Google Scholar] [CrossRef]
- Ferrando, P.J.; Lorenzo-Seva, U. Program FACTOR at 10: Origins, development and future directions. Psicothema 2017, 29, 236–240. [Google Scholar] [CrossRef]
- Nolte, S.; Elsworth, G.R. Factorial Invariance. In Encyclopedia of Quality of Life and Well-Being Research; Michalos, A.C., Ed.; Springer: Dordrecht, The Netherlands, 2014; p. 311. [Google Scholar]
- Mair, P.; Hatzinger, R. Extended Rasch Modeling: The eRm Package for the application of IRT models in R. J. Stat. Softw. 2007, 20, 1–20. [Google Scholar] [CrossRef] [Green Version]
- Choi, S.W.; Gibbons, L.E.; Crane, P.K. Lordif: An R package for detecting differential item functioning using iterative hybrid ordinal logistic regression/item response theory and Monte Carlo simulations. J. Stat. Softw. 2011, 39, 1–30. [Google Scholar] [CrossRef] [PubMed] [Green Version]
- Kenny, D.A.; Kaniskan, B.; McCoach, D. The Performance of RMSEA in Models With Small Degrees of Freedom. Sociol. Methods Res. 2015, 44, 486–507. [Google Scholar] [CrossRef]
- World Health Organization. International Classification of Impairments, Disabilities, and Handicaps; World Health Organization: Geneva, Switzerland, 1980. [Google Scholar]
- John, M.T. Health Outcomes Reported by Dental Patients. J. Evid. Based Dent. Pract. 2018, 18, 332–335. [Google Scholar] [CrossRef] [PubMed]
- Veenhoven, R. The Four Qualities of Life Ordering Concepts and Measures of the Good Life. In The Exploration of Happiness: Present and Future Perspectives; Delle Fave, A., Ed.; Springer: Dordrecht, The Netherlands, 2013; pp. 195–226. [Google Scholar]


| Study 1—Brazil | Study 2—Finland | ||||
|---|---|---|---|---|---|
| Sample 1 | Sample 2 | Sample 3 | Sample 4 | Sample 5 | |
| Population | Dental patients | Non-dental patients | Dental patients (Zucoloto et al. [18]) | Dental patients | Non-dental patients |
| Year of data collection | 2018–2019 | 2018–2019 | 2012–2013 | 2020 | 2020 |
| Collection method | paper-and-pencil | paper-and-pencil | paper-and-pencil | online | online |
| n | 434 | 1486 | 439 | 482 | 2425 |
| % women | 76.5 | 67.9 | 74.0 | 80.7 | 75.0 |
| Mean age (standard deviation) in years | 25.3 (6.3) | 24.7 (5.6) | 29.0 (6.7) | 26.3 (5.4) | 26.7 (5.5) |
| Study 1—Brazil (Sample 1/Sample 2/Sample 3) * | |||||||
| Item | Mean | Median | Standard Deviation | Minimum | Maximum | Skewness | Kurtosis |
| It1 | 0.50/0.20/0.54 | 0/0/0 | 0.94/0.60/1.05 | 0/0/0 | 4/4/4 | 2.06/3.74/1.96 | 3.75/16.11/2.98 |
| It2 | 0.43/0.21/0.73 | 0/0/0 | 0.87/0.61/1.20 | 0/0/0 | 4/4/4 | 2.13/3.48/1.46 | 3.97/13.41/0.95 |
| It3 | 1.45/0.91/1.38 | 1/1/1 | 1.15/0.98/1.17 | 0/0/0 | 4/4/4 | 0.43/0.85/0.51 | −0.54/0.06/−0.41 |
| It4 | 1.47/0.77/1.59 | 1/0/2 | 1.26/1.04/1.32 | 0/0/0 | 4/4/4 | 0.47/1.24/0.33 | −0.74/0.74/−0.91 |
| It5 | 2.03/1.12/2.42 | 2/1/2 | 1.23/1.19/1.35 | 0/0/0 | 4/4/4 | 0.12/0.84/−0.31 | −0.87/−0.21/−1.01 |
| It6 | 1.71/0.79/1.39 | 2/0/1 | 1.35/1.10/1.41 | 0/0/0 | 4/4/4 | 0.25/1.31/0.55 | −1.09/0.85/−0.98 |
| It7 | 1.02/0.35/0.90 | 1/0/0 | 1.25/0.79/1.20 | 0/0/0 | 4/4/4 | 1.05/2.63/1.14 | 0.02/7.09/0.24 |
| It8 | 0.86/0.28/1.05 | 0/0/1 | 1.17/0.70/1.11 | 0/0/0 | 4/4/4 | 1.26/2.94/0.75 | 0.63/9.35/−0.16 |
| It9 | 0.99/0.44/1.13 | 0/0/1 | 1.22/0.85/1.29 | 0/0/0 | 4/4/4 | 1.00/2.12/0.82 | −0.07/4.18/−0.42 |
| It10 | 1.07/0.48/1.25 | 1/0/1 | 1.32/0.94/1.38 | 0/0/0 | 4/4/4 | 0.99/2.15/0.71 | −0.24/4.11/−0.74 |
| It11 | 0.62/0.26/0.70 | 0/0/0 | 1.04/0.72/1.05 | 0/0/0 | 4/4/4 | 1.79/3.28/1.42 | 2.48/11.12/1.33 |
| It12 | 0.54/0.20/0.58 | 0/0/0 | 0.94/0.60/0.97 | 0/0/0 | 4/4/4 | 1.85/3.58/1.73 | 2.93/14.62/2.44 |
| It13 | 0.57/0.21/0.58 | 0/0/0 | 1.04/0.64/1.10 | 0/0/0 | 4/4/4 | 1.89/3.69/1.90 | 2.82/14.85/2.67 |
| It14 | 0.26/0.09/0.28 | 0/0/0 | 0.74/0.46/0.75 | 0/0/0 | 4/4/4 | 3.43/6.08/2.99 | 12.34/41.42/9.22 |
| Study 2—Finland (Sample 4/Sample 5) * | |||||||
| Item | Mean | Median | Standard Deviation | Minimum | Maximum | Skewness | Kurtosis |
| It1 | 0.51/0.19 | 0/0 | 0.94/0.58 | 0/0 | 4/4 | 1.75/3.57 | 2.09/14.40 |
| It2 | 0.14/0.05 | 0/0 | 0.48/0.26 | 0/0 | 4/3 | 4.32/6.18 | 22.99/42.61 |
| It3 | 1.84/1.27 | 2/1 | 0.86/0.83 | 0/0 | 4/4 | 0.25/0.30 | 0.40/−0.04 |
| It4 | 1.36/0.66 | 1/0 | 1.09/0.89 | 0/0 | 4/4 | 0.41/1.29 | −0.42/1.12 |
| It5 | 1.31/0.67 | 1/0 | 1.11/0.92 | 0/0 | 4/4 | 0.42/1.21 | −0.65/0.70 |
| It6 | 1.28/0.63 | 1/0 | 1.20/0.91 | 0/0 | 4/4 | 0.56/1.35 | −0.64/1.10 |
| It7 | 0.39/0.12 | 0/0 | 0.75/0.44 | 0/0 | 4/4 | 2.08/4.31 | 4.35/22.07 |
| It8 | 0.53/0.20 | 0/0 | 0.79/0.50 | 0/0 | 4/4 | 1.38/2.85 | 1.38/9.20 |
| It9 | 0.99/0.42 | 1/0 | 1.08/0.75 | 0/0 | 4/4 | 0.86/1.87 | 0.00/3.32 |
| It10 | 0.87/0.43 | 0/0 | 1.08/0.77 | 0/0 | 4/4 | 1.03/1.84 | 0.16/2.99 |
| It11 | 0.57/0.18 | 0/0 | 0.84/0.49 | 0/0 | 4/4 | 1.35/3.06 | 1.15/10.50 |
| It12 | 0.56/0.15 | 0/0 | 0.86/0.45 | 0/0 | 4/4 | 1.56/3.43 | 2.06/14.08 |
| It13 | 0.78/0.35 | 0/0 | 1.03/0.69 | 0/0 | 4/4 | 1.29/2.15 | 1.03/4.60 |
| It14 | 0.22/0.05 | 0/0 | 0.57/0.28 | 0/0 | 4/4 | 2.92/6.91 | 9.22/60.01 |
| CFA # | |||||||||||||||
|---|---|---|---|---|---|---|---|---|---|---|---|---|---|---|---|
| Model | Sample * | Excluded Items | n | CFI | TLI | RMSEA | SRMR | λ | r2 | β-2nd Order | β-3rd Order | α † | CR ¶ | AVE § | Observation |
| 7 Factors—2nd Order | Sample 3 | - | 439 | 0.985 | 0.980 | 0.064 | 0.046 | 0.58–0.96 | 0.77–0.85 | 0.88–0.99 | - | 0.72–0.85 | 0.73–0.87 | 0.57–0.77 | Factors with restriction on error variance: Psychological Disability e Handicap |
| 7 Factors—3rd Order | Sample 3 | - | 439 | 0.985 | 0.980 | 0.064 | 0.046 | 0.58–0.96 | - | 0.88–0.99 | 0.93–0.98 | 0.72–0.85 | 0.73–0.87 | 0.57–0.77 | Factors with restriction on error variance: Psychological Disability e Handicap |
| 3 Factors—1st Order | Sample 1 | 14 | 434 | 0.947 | 0.933 | 0.115 | 0.065 | 0.63–0.88 | 0.43–0.73 | - | - | 0.69–0.91 | 0.70–0.92 | 0.55–0.64 | - |
| Sample 3 | - | 439 | 0.980 | 0.976 | 0.071 | 0.053 | 0.53–0.90 | 0.78–0.86 | - | - | 0.76–0.92 | 0.77–0.93 | 0.62–0.64 | - | |
| Sample 3 | 14 ‡ | 439 | 0.983 | 0.979 | 0.069 | 0.047 | 0.54–0.90 | 0.77–0.85 | - | - | 0.76–0.91 | 0.77–0.92 | 0.61–0.64 | - | |
| Sample 4 | 1 and 2 | 482 | 0.972 | 0.965 | 0.098 | 0.064 | 0.64–0.89 | 0.63 | - | - | 0.87–0.93 | 0.88–0.94 | 0.64–0.65 | Excluded factor: Functional Limitation | |
| 3 Factors—2nd Order | Sample 1 | 14 | 434 | 0.947 | 0.933 | 0.115 | 0.065 | 0.63–0.88 | - | 0.75–0.98 | - | 0.69–0.91 | 0.70–0.92 | 0.55–0.64 | - |
| Sample 3 | - | 439 | 0.980 | 0.976 | 0.071 | 0.053 | 0.53–0.90 | - | 0.93–0.97 | - | 0.76–0.92 | 0.77–0.93 | 0.62–0.64 | - | |
| Sample 3 | 14 ‡ | 439 | 0.983 | 0.979 | 0.069 | 0.047 | 0.54–0.90 | - | 0.93–0.97 | - | 0.76–0.91 | 0.77–0.92 | 0.61–0.64 | - | |
| Unifactorial | Sample 1 | 14 | 434 | 0.925 | 0.910 | 0.134 | 0.077 | 0.47–0.87 | - | - | - | 0.93 | 0.94 | 0.55 | - |
| Sample 3 | - | 439 | 0.972 | 0.967 | 0.082 | 0.059 | 0.52–0.86 | - | - | - | 0.95 | 0.95 | 0.59 | - | |
| Sample 3 | 14 ‡ | 439 | 0.975 | 0.970 | 0.082 | 0.053 | 0.53–0.87 | - | - | - | 0.94 | 0.95 | 0.58 | - | |
| Sample 4 | 2 | 482 | 0.949 | 0.938 | 0.120 | 0.078 | 0.54–0.85 | - | - | - | 0.94 | 0.95 | 0.57 | - | |
| Item Fit Statistics | DIF p-Value for χ2 | |||||||||||||
|---|---|---|---|---|---|---|---|---|---|---|---|---|---|---|
| Sample 1 | Sample 2 | Sample 3 | Sample 4 | Sample 5 | Sample 1 vs. 2 | Sample 1 vs. 3 | Sample 2 vs. 3 | Sample 4 vs. 5 | ||||||
| Item | Infit | Outfit | Infit | Outfit | Infit | Outfit | Infit | Outfit | Infit | Outfit | ||||
| it1 | 1.37 | 1.95 | 1.44 | 1.96 | 1.21 | 1.99 | 1.38 | 1.96 | 1.27 | 1.73 | 0.173 | 0.007 | 0.033 | 0.038 |
| it2 | 1.20 | 1.05 | 1.05 | 1.28 | 0.88 | 0.66 | 1.16 | 1.36 | 1.00 | 1.17 | 0.020 | <0.001 | <0.001 | 0.408 |
| it3 | 1.12 | 1.14 | 1.16 | 1.16 | 1.09 | 1.15 | 1.06 | 1.06 | 0.96 | 0.94 | 0.221 | 0.197 | 0.07 | <0.001 |
| it4 | 0.91 | 0.88 | 0.92 | 0.88 | 0.93 | 0.93 | 1.09 | 1.05 | 1.09 | 0.96 | 0.349 | 0.789 | <0.001 | <0.001 |
| it5 | 0.90 | 0.90 | 0.89 | 0.87 | 1.36 | 1.39 | 0.85 | 0.83 | 0.77 | 0.70 | <0.001 | <0.001 | <0.001 | <0.001 |
| it6 | 0.74 | 0.69 | 0.73 | 0.67 | 0.77 | 0.72 | 0.83 | 0.77 | 0.80 | 0.73 | 0.068 | <0.001 | 0.485 | 0.050 |
| it7 | 0.77 | 0.69 | 0.73 | 0.61 | 0.74 | 0.59 | 0.85 | 0.62 | 0.90 | 0.65 | 0.033 | <0.001 | 0.011 | 0.403 |
| it8 | 0.75 | 0.75 | 0.78 | 0.72 | 0.84 | 0.79 | 0.83 | 0.73 | 0.91 | 0.82 | 0.028 | <0.001 | <0.001 | 0.136 |
| it9 | 0.76 | 0.68 | 0.89 | 0.86 | 0.71 | 0.63 | 0.78 | 0.70 | 0.79 | 0.61 | 0.067 | 0.321 | <0.001 | 0.134 |
| it10 | 1.21 | 1.32 | 1.18 | 1.26 | 0.95 | 1.06 | 1.00 | 1.00 | 0.97 | 0.90 | 0.482 | 0.06 | <0.001 | 0.194 |
| it11 | 1.11 | 1.04 | 0.92 | 1.03 | 1.00 | 0.87 | 0.75 | 0.59 | 0.80 | 0.48 | 0.080 | 0.73 | <0.001 | 0.168 |
| it12 | 0.74 | 0.70 | 0.76 | 0.62 | 0.97 | 0.86 | 0.74 | 0.74 | 0.79 | 0.51 | 0.564 | 0.22 | <0.001 | 0.001 |
| it13 | 0.86 | 0.70 | 0.70 | 0.41 | 0.77 | 0.86 | 0.78 | 0.85 | 0.89 | 0.79 | 0.395 | 0.027 | 0.903 | 0.642 |
| it14 | 0.81 | 0.58 | 0.85 | 0.37 | 0.91 | 0.56 | 1.03 | 0.97 | 0.98 | 1.04 | 0.293 | 0.778 | 0.085 | 0.015 |
Publisher’s Note: MDPI stays neutral with regard to jurisdictional claims in published maps and institutional affiliations. |
© 2021 by the authors. Licensee MDPI, Basel, Switzerland. This article is an open access article distributed under the terms and conditions of the Creative Commons Attribution (CC BY) license (https://creativecommons.org/licenses/by/4.0/).
Share and Cite
Campos, L.A.; Peltomäki, T.; Marôco, J.; Campos, J.A.D.B. Use of Oral Health Impact Profile-14 (OHIP-14) in Different Contexts. What Is Being Measured? Int. J. Environ. Res. Public Health 2021, 18, 13412. https://doi.org/10.3390/ijerph182413412
Campos LA, Peltomäki T, Marôco J, Campos JADB. Use of Oral Health Impact Profile-14 (OHIP-14) in Different Contexts. What Is Being Measured? International Journal of Environmental Research and Public Health. 2021; 18(24):13412. https://doi.org/10.3390/ijerph182413412
Chicago/Turabian StyleCampos, Lucas Arrais, Timo Peltomäki, João Marôco, and Juliana Alvares Duarte Bonini Campos. 2021. "Use of Oral Health Impact Profile-14 (OHIP-14) in Different Contexts. What Is Being Measured?" International Journal of Environmental Research and Public Health 18, no. 24: 13412. https://doi.org/10.3390/ijerph182413412
APA StyleCampos, L. A., Peltomäki, T., Marôco, J., & Campos, J. A. D. B. (2021). Use of Oral Health Impact Profile-14 (OHIP-14) in Different Contexts. What Is Being Measured? International Journal of Environmental Research and Public Health, 18(24), 13412. https://doi.org/10.3390/ijerph182413412

