Adherence to Lifestyle Interventions for Treatment of Adults with Depression: A Systematic Review and Meta-Analysis
Abstract
1. Introduction
2. Materials and Methods
2.1. Bibliographic Searches
2.2. Inclusion and Exclusion Criteria
2.3. Selection Procedure
2.4. Data Extraction and Quality Assessment
2.5. Data Analysis and Synthesis
3. Results
3.1. Study Selection
3.2. Characteristics of the Included Studies
3.3. Risk of Bias
3.4. Adherence to the Interventions
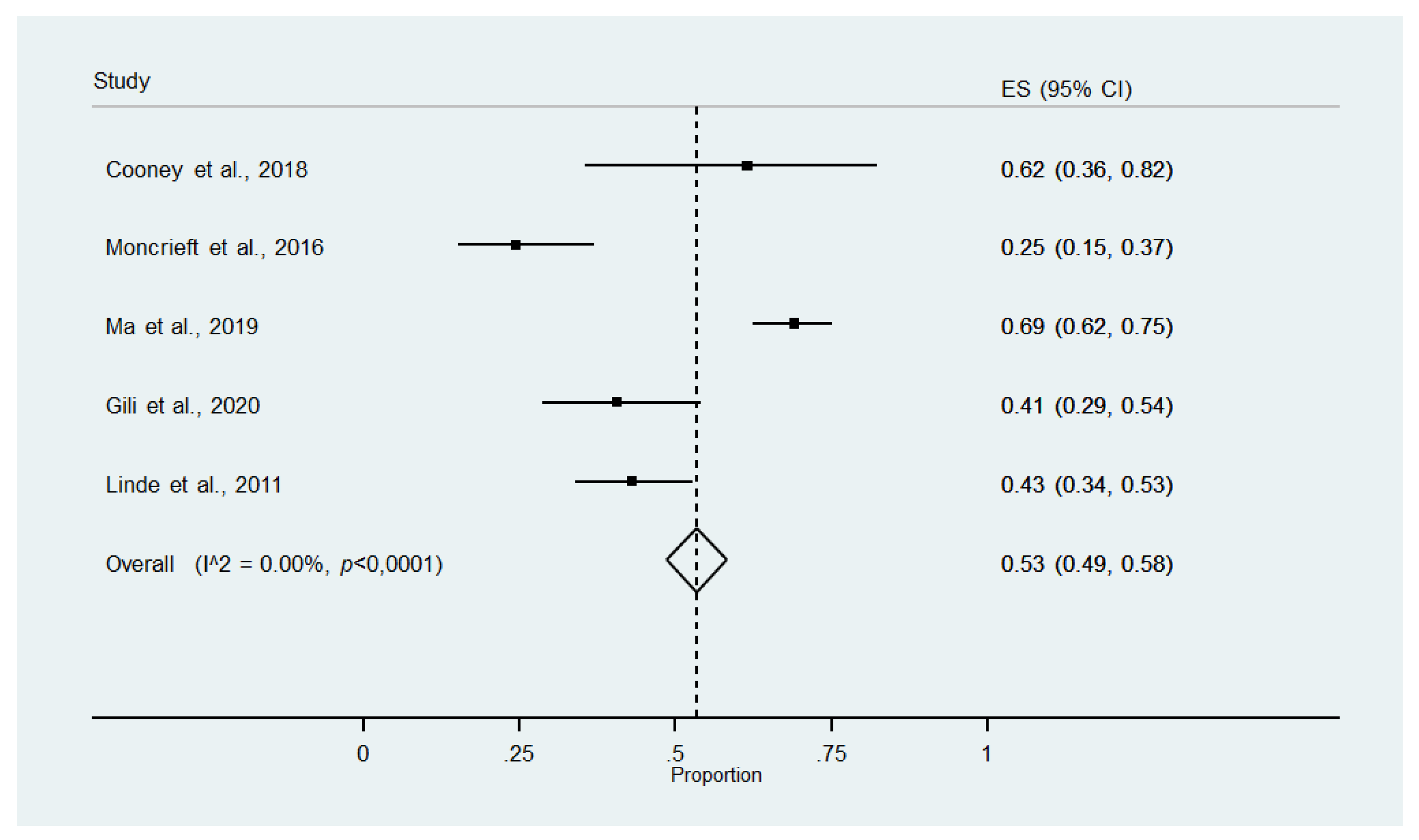
3.4.1. Meta-Analysis of Intervention Completers
3.4.2. Mean Proportion of Sessions Completed
3.4.3. Subgroup Analysis
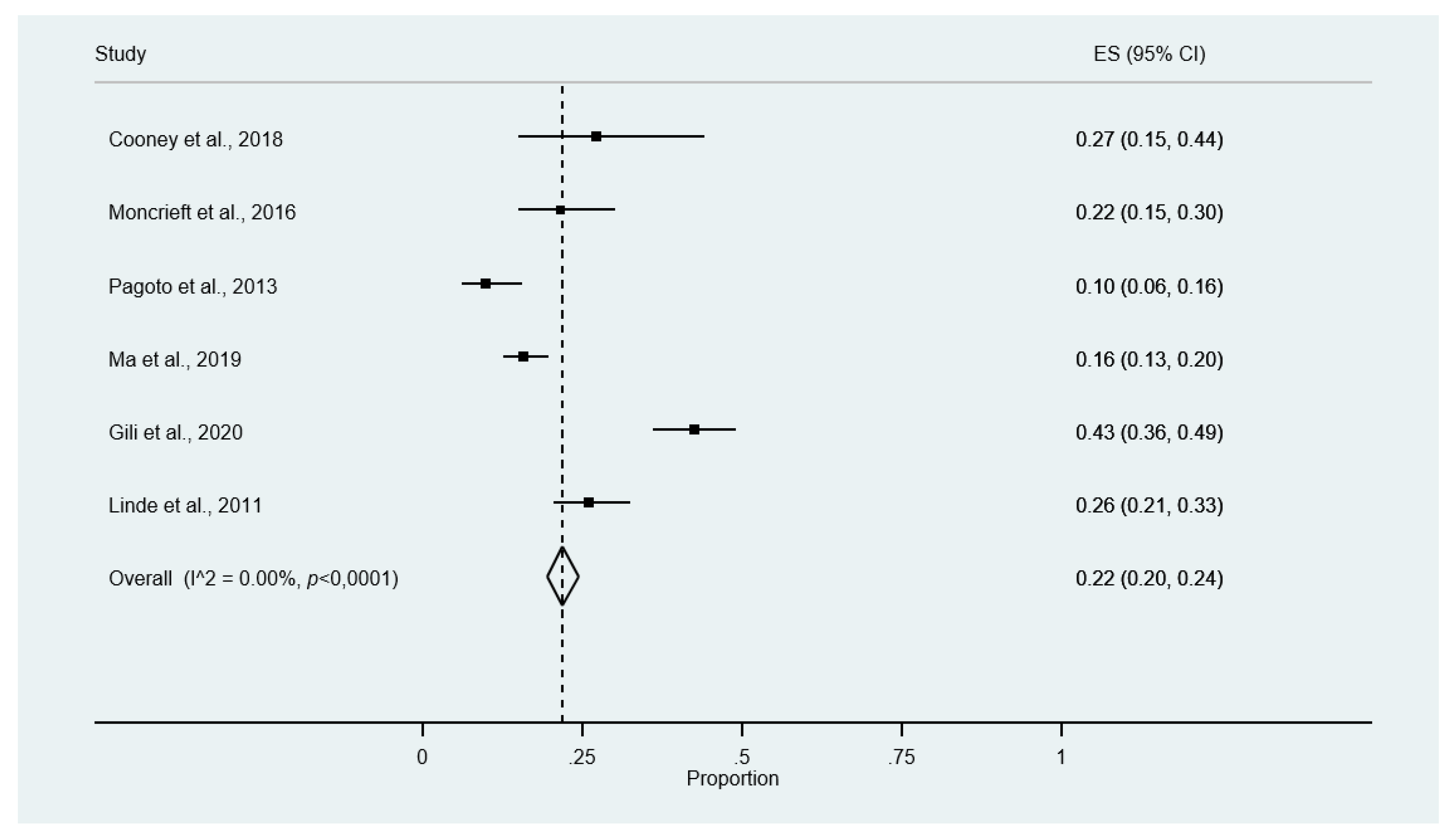
3.4.4. Meta-Analysis of Dropout Rates
4. Discussion
5. Conclusions
Author Contributions
Funding
Institutional Review Board Statement
Informed Consent Statement
Data Availability Statement
Acknowledgments
Conflicts of Interest
Appendix A
| No | Queries (PubMed Web) | Results | 
| #1 | depression[mesh] | 213,567 | 
| #2 | “depressive disorder”[mesh] | 108,151 | 
| #3 | depress*[Title/Abstract] | 456,470 | 
| #4 | “depressive disorder*”[Title/Abstract] | 36,144 | 
| #5 | “mood disorder”[Title/Abstract] | 5450 | 
| #6 | #1 OR #2 OR #3 OR #4 OR #5 | 499,450 | 
| #7 | lifestyle[mesh] | 92,275 | 
| #8 | “healthy lifestyle”[mesh] | 5827 | 
| #9 | “life style*”[Title/Abstract] | 12,412 | 
| #10 | lifestyle*[Title/Abstract] | 102,793 | 
| #11 | “behaviour change*”[Title/Abstract] | 5590 | 
| #12 | “health promotion*”[Title/Abstract] | 32,666 | 
| #13 | #7 OR #8 OR #9 OR #10 OR #11 OR #12 | 201,582 | 
| #14 | “motor activity”[mesh] | 287,417 | 
| #15 | “exercise”[mesh] | 192,671 | 
| #16 | “sedentary behavior”[mesh] | 9102 | 
| #17 | “physical activit*”[Title/Abstract] | 111,276 | 
| #18 | “motor activit*”[Title/Abstract] | 16,122 | 
| #19 | sedentar*[Title/Abstract] | 31,494 | 
| #20 | exercice*[Title/Abstract] | 476 | 
| #21 | fitness[Title/Abstract] | 73,633 | 
| #22 | “leisure activit*”[Title/Abstract] | 3540 | 
| #23 | sport*[Title/Abstract] | 76,812 | 
| #24 | #14 OR #15 OR #16 OR #17 OR #18 OR #19 OR #20 OR #21 OR #22 OR #23 | 483,951 | 
| #25 | Diet, Mediterranean[mesh] | 3339 | 
| #26 | Diet, healthy[mesh] | 3560 | 
| #27 | “healthy food*”[Title/Abstract] | 3977 | 
| #28 | healthy eat*[Title/Abstract] | 6967 | 
| #29 | diet*[Title/Abstract] | 566,152 | 
| #30 | “weight reduction*”[Title/Abstract] | 9414 | 
| #31 | “weight loss*”[Title/Abstract] | 86,458 | 
| #32 | #25 OR #26 OR #27 #28 OR #29 OR #30 OR #31 | 643,768 | 
| #33 | #24 OR #32 | 1,081,234 | 
| #34 | #6 AND #13 AND #33 | 3064 | 
Appendix B

Appendix C

References
- Kessler, R.C.; McGonagle, K.A.; Zhao, S.; Nelson, C.B.; Hughes, M.; Eshleman, S.; Wittchen, H.U.; Kendler, K.S. Lifetime and 12-month prevalence of DSM-III-R psychiatric disorders in the United States. Results from the National Comorbidity Survey. Arch. Gen. Psychiatry 1994, 51, 8–19. [Google Scholar] [CrossRef] [PubMed]
- Sinyor, M.; Rezmovitz, J.; Zaretsky, A. Screen all for depression. BMJ 2016, 352, i1617. [Google Scholar] [CrossRef]
- GBD 2017 Disease and Injury Incidence and Prevalence Collaborators. Global, regional, and national incidence, prevalence, and years lived with disability for 354 diseases and injuries for 195 countries and territories, 1990–2017: A systematic analysis for the Global Burden of Disease Study 2017. Lancet 2018, 392, 1789–1858. [Google Scholar] [CrossRef]
- Katon, W.; Lin, E.H.; Kroenke, K. The association of depression and anxiety with medical symptom burden in patients with chronic medical illness. Gen. Hosp. Psychiatry 2007, 29, 147–155. [Google Scholar] [CrossRef]
- Moussavi, S.; Chatterji, S.; Verdes, E.; Tandon, A.; Patel, V.; Ustun, B. Depression, chronic diseases, and decrements in health: Results from the World Health Surveys. Lancet 2007, 370, 851–858. [Google Scholar] [CrossRef]
- Gili, M.; Comas, A.; García-García, M.; Monzón, S.; Antoni, S.B.; Roca, M. Comorbidity between common mental disorders and chronic somatic diseases in primary care patients. Gen. Hosp. Psychiatry 2010, 32, 240–245. [Google Scholar] [CrossRef] [PubMed]
- Naylor, C.; Parsonage, M.; McDaid, D.; Knapp, M.; Fossey, M.; Galea, A. Long-Term Conditions and Mental Health The Cost of Co-Morbidities. Available online: https://www.kingsfund.org.uk/sites/default/files/field/field_publication_file/long-term-conditions-mental-health-cost-comorbidities-naylor-feb12.pdf (accessed on 11 June 2021).
- Hidaka, B.H. Depression as a disease of modernity: Explanations for increasing prevalence. J. Affect. Disord. 2012, 140, 205–214. [Google Scholar] [CrossRef]
- Dingle, G.A.; Sharman, L.S.; Haslam, C.; Donald, M.; Turner, C.; Partanen, R.; Lynch, J.; Draper, G.; van Driel, M.L. The effects of social group interventions for depression: Systematic review. J. Affect. Disord. 2021, 281, 67–81. [Google Scholar] [CrossRef]
- Lopresti, A.L.; Hood, S.D.; Drummond, P.D. A review of lifestyle factors that contribute to important pathways associated with major depression: Diet, sleep and exercise. J. Affect. Disord. 2013, 148, 12–27. [Google Scholar] [CrossRef]
- Cuijpers, P.; van Straten, A.; Andersson, G.; van Oppen, P. Psychotherapy for depression in adults: A meta-analysis of comparative outcome studies. J. Consult. Clin. Psychol. 2008, 76, 909–922. [Google Scholar] [CrossRef] [PubMed]
- Cuijpers, P.; Reynolds, C.F., III; Donker, T.; Li, J.; Andersson, G.; Beekman, A. Personalized treatment of adult depression: Medication, psychotherapy, or both? A systematic review. Depress. Anxiety 2012, 29, 855–864. [Google Scholar] [CrossRef]
- Khan, A.; Faucett, J.; Lichtenberg, P.; Kirsch, I.; Brown, W.A. A systematic review of comparative efficacy of treatments and controls for depression. PLoS ONE 2012, 7, e41778. [Google Scholar] [CrossRef] [PubMed]
- Sarris, J.; O’Neil, A.; Coulson, C.E.; Schweitzer, I.; Berk, M. Lifestyle medicine for depression. BMC Psychiatry 2014, 14, 107. [Google Scholar] [CrossRef] [PubMed]
- Molendijk, M.; Molero, P.; Ortuño Sánchez-Pedreño, F.; Van der Does, W.; Angel Martínez-González, M. Diet quality and depression risk: A systematic review and dose-response meta-analysis of prospective studies. J. Affect. Disord. 2018, 226, 346–354. [Google Scholar] [CrossRef] [PubMed]
- Imboden, C.; Gerber, M.; Beck, J.; Holsboer-Trachsler, E.; Pühse, U.; Hatzinger, M. Aerobic exercise or stretching as add-on to inpatient treatment of depression: Similar antidepressant effects on depressive symptoms and larger effects on working memory for aerobic exercise alone. J. Affect. Disord. 2020, 276, 866–876. [Google Scholar] [CrossRef] [PubMed]
- Ho, F.Y.; Chan, C.S.; Lo, W.Y.; Leung, J.C. The effect of self-help cognitive behavioral therapy for insomnia on depressive symptoms: An updated meta-analysis of randomized controlled trials. J. Affect. Disord. 2020, 265, 287–304. [Google Scholar] [CrossRef]
- Gómez-Gómez, I.; Bellón, J.Á.; Resurrección, D.M.; Cuijpers, P.; Moreno-Peral, P.; Rigabert, A.; Maderuelo-Fernández, J.Á.; Motrico, E. Effectiveness of universal multiple-risk lifestyle interventions in reducing depressive symptoms: Systematic review and meta-analysis. Prev. Med. 2020, 134, 106067. [Google Scholar] [CrossRef] [PubMed]
- Wong, V.W.; Ho, F.Y.; Shi, N.K.; Sarris, J.; Chung, K.F.; Yeung, W.F. Lifestyle medicine for depression: A meta-analysis of randomized controlled trials. J. Affect. Disord. 2021, 284, 203–216. [Google Scholar] [CrossRef]
- Wang, X.; Arafa, A.; Liu, K.; Eshak, E.S.; Hu, Y.; Dong, J.Y. Combined healthy lifestyle and depressive symptoms: A meta-analysis of observational studies. J. Affect. Disord. 2021, 289, 144–150. [Google Scholar] [CrossRef]
- Young, C.L.; Trapani, K.; Dawson, S.; O’Neil, A.; Kay-Lambkin, F.; Berk, M.; Jacka, F.N. Efficacy of online lifestyle interventions targeting lifestyle behaviour change in depressed populations: A systematic review. Aust. N. Z. J. Psychiatry 2018, 52, 834–846. [Google Scholar] [CrossRef]
- van Ballegooijen, W.; Cuijpers, P.; van Straten, A.; Karyotaki, E.; Andersson, G.; Smit, J.H.; Riper, H. Adherence to Internet-based and face-to-face cognitive behavioural therapy for depression: A meta-analysis. PLoS ONE 2014, 9, e100674. [Google Scholar] [CrossRef]
- Centre for Reviews and Dissemination (CRD). Systematic Reviews: Centre for Reviews and Dissemination’s Guidance for Undertaking Reviews in Health Care; University of York: York, UK, 2009; Available online: https://www.york.ac.uk/media/crd/Systematic_Reviews.pdf (accessed on 15 April 2020).
- Moher, D.; Liberati, A.; Tetzlaff, J.; Altman, D.G.; PRISMA Group. Preferred reporting items for systematic reviews and meta-analyses: The PRISMA statement. PLoS Med. 2009, 6, e1000097. [Google Scholar] [CrossRef] [PubMed]
- Ouzzani, M.; Hammady, H.; Fedorowicz, Z.; Elmagarmid, A. Rayyan-a web and mobile app for systematic reviews. Syst. Rev. 2016, 5, 210. [Google Scholar] [CrossRef]
- Pagoto, S.; Schneider, K.L.; Whited, M.C.; Oleski, J.L.; Merriam, P.; Appelhans, B.; Ma, Y.; Olendzki, B.; Waring, M.E.; Busch, A.M.; et al. Randomized controlled trial of behavioral treatment for comorbid obesity and depression in women: The Be Active Trial. Int. J. Obes. 2013, 37, 1427–1434. [Google Scholar] [CrossRef] [PubMed]
- Ma, J.; Rosas, L.G.; Lv, N.; Xiao, L.; Snowden, M.B.; Venditti, E.M.; Lewis, M.A.; Goldhaber-Fiebert, J.D.; Lavori, P.W. Effect of Integrated Behavioral Weight Loss Treatment and Problem-Solving Therapy on Body Mass Index and Depressive Symptoms Among Patients with Obesity and Depression: The RAINBOW Randomized Clinical Trial. JAMA 2019, 321, 869–879. [Google Scholar] [CrossRef] [PubMed]
- Sterne, J.; Savović, J.; Page, M.J.; Elbers, R.G.; Blencowe, N.S.; Boutron, I.; Cates, C.J.; Cheng, H.Y.; Corbett, M.S.; Eldridge, S.M.; et al. RoB 2: A revised tool for assessing risk of bias in randomised trials. BMJ 2019, 366, l4898. [Google Scholar] [CrossRef]
- Nyaga, V.N.; Arbyn, M.; Aerts, M. Metaprop: A Stata command to perform meta-analysis of binomial data. Arch. Public Health 2014, 72, 39. [Google Scholar] [CrossRef] [PubMed]
- Freeman, M.F.; Tukey, J.W. Transformations related to the angular and the square root. Ann. Math. Statist. 1950, 21, 607–611. [Google Scholar] [CrossRef]
- Miller, J.J. The Inverse of the Freeman—Tukey Double Arcsine Transformation. Am. Stat. 1978, 32, 138. [Google Scholar] [CrossRef]
- Deeks, J.J.; Higgins, J.P.; Altman, D.G.; Group CSM. Analysing data and undertaking meta-analyses. In Cochrane Handbook for Systematic Reviews of Interventions; John Wiley & Sons: Hoboken, NJ, USA, 2019; pp. 241–284. [Google Scholar]
- Begg, C.B.; Mazumdar, M. Operating characteristics of a rank correlation test for publication bias. Biometrics 1994, 50, 1088–1101. [Google Scholar] [CrossRef]
- Egger, M.; Smith, G.D.; Schneider, M.; Minder, C. Bias in meta-analysis detected by a simple, graphical test. BMJ 1997, 315, 629–634. [Google Scholar] [CrossRef]
- Gili, M.; Castro, A.; García-Palacios, A.; Garcia-Campayo, J.; Mayoral-Cleries, F.; Botella, C.; Roca, M.; Barceló-Soler, A.; Hurtado, M.M.; Navarro, M.; et al. Efficacy of Three Low-Intensity, Internet-Based Psychological Interventions for the Treatment of Depression in Primary Care: Randomized Controlled Trial. J. Med. Int. Res. 2020, 22, e15845. [Google Scholar] [CrossRef]
- Cooney, L.G.; Milman, L.W.; Hantsoo, L.; Kornfield, S.; Sammel, M.D.; Allison, K.C.; Epperson, C.N.; Dokras, A. Cognitive-behavioral therapy improves weight loss and quality of life in women with polycystic ovary syndrome: A pilot randomized clinical trial. Fertil. Steril. 2018, 110, 161–171.e1. [Google Scholar] [CrossRef] [PubMed]
- Moncrieft, A.E.; Llabre, M.M.; McCalla, J.R.; Gutt, M.; Mendez, A.J.; Gellman, M.D.; Goldberg, R.B.; Schneiderman, N. Effects of a Multicomponent Life-Style Intervention on Weight, Glycemic Control, Depressive Symptoms, and Renal Function in Low-Income, Minority Patients With Type 2 Diabetes: Results of the Community Approach to Lifestyle Modification for Diabetes Randomized Controlled Trial. Psychosom. Med. 2016, 78, 851–860. [Google Scholar] [CrossRef]
- Linde, J.A.; Simon, G.E.; Ludman, E.J.; Ichikawa, L.E.; Operskalski, B.H.; Arterburn, D.; Rohde, P.; Finch, E.A.; Jeffery, R.W. A randomized controlled trial of behavioral weight loss treatment versus combined weight loss/depression treatment among women with comorbid obesity and depression. Ann. Behav. Med. 2011, 41, 119–130. [Google Scholar] [CrossRef] [PubMed][Green Version]
- Diabetes Prevention Program (DPP) Research Group. The Diabetes Prevention Program (DPP): Description of lifestyle intervention. Diabetes Care 2002, 25, 2165–2171. [Google Scholar] [CrossRef]
- Kramer, M.K.; Kriska, A.M.; Venditti, E.M.; Miller, R.G.; Brooks, M.M.; Burke, L.E.; Siminerio, L.M.; Solano, F.X.; Orchard, T.J. Translating the Diabetes Prevention Program: A comprehensive model for prevention training and program delivery. Am. J. Prev. Med. 2009, 37, 505–511. [Google Scholar] [CrossRef] [PubMed]
- Knowler, W.C.; Barrett-Connor, E.; Fowler, S.E.; Hamman, R.F.; Lachin, J.M.; Walker, E.A.; Nathan, D.M.; Diabetes Prevention Program Research Group. Reduction in the incidence of type 2 diabetes with lifestyle intervention or metformin. N. Engl. J. Med. 2002, 346, 393–403. [Google Scholar] [CrossRef]
- Ciechanowski, P.; Wagner, E.; Schmaling, K.; Schwartz, S.; Williams, B.; Diehr, P.; Kulzer, J.; Gray, S.; Collier, C.; LoGerfo, J. Community-integrated home-based depression treatment in older adults: A randomized controlled trial. JAMA 2004, 291, 1569–1577. [Google Scholar] [CrossRef]
- Ciechanowski, P.; Chaytor, N.; Miller, J.; Fraser, R.; Russo, J.; Unutzer, J.; Gilliam, F. PEARLS depression treatment for individuals with epilepsy: A randomized controlled trial. Epilepsy Behav. 2010, 19, 225–231. [Google Scholar] [CrossRef] [PubMed]
- Swift, J.K.; Greenberg, R.P. Premature discontinuation in adult psychotherapy: A meta-analysis. J. Consult. Clin. Psychol. 2012, 80, 547–559. [Google Scholar] [CrossRef] [PubMed]
- Lemstra, M.; Bird, Y.; Nwankwo, C.; Rogers, M.; Moraros, J. Weight loss intervention adherence and factors promoting adherence: A meta-analysis. Patient Prefer. Adherence 2016, 10, 1547–1559. [Google Scholar] [CrossRef] [PubMed]
- Roca, M.; Armengol, S.; Salvador-Carulla, L.; Monzón, S.; Salvà, J.; Gili, M. Adherence to medication in depressive patients. J. Clin. Psychopharmacol. 2011, 31, 541–543. [Google Scholar] [CrossRef]
- Sansone, R.A.; Sansone, L.A. Antidepressant adherence: Are patients taking their medications? Innov. Clin. Neurosci. 2012, 9, 41–46. [Google Scholar]
- Richards, D.; Richardson, T. Computer-based psychological treatments for depression: A systematic review and meta-analysis. Clin. Psychol. Rev. 2012, 32, 329–342. [Google Scholar] [CrossRef] [PubMed]
- Batterham, P.J.; Neil, A.L.; Bennett, K.; Griffiths, K.M.; Christensen, H. Predictors of adherence among community users of a cognitive behavior therapy website. Patient Prefer. Adherence 2008, 2, 97–105. [Google Scholar]
- Donkin, L.; Glozier, N. Motivators and motivations to persist with online psychological interventions: A qualitative study of treatment completers. J. Med. Int. Res. 2012, 14, e91. [Google Scholar] [CrossRef]
- Gilbody, S.; Littlewood, E.; Hewitt, C.; Brierley, G.; Tharmanathan, P.; Araya, R.; Barkham, M.; Bower, P.; Cooper, C.; Gask, L.; et al. Computerised cognitive behaviour therapy (cCBT) as treatment for depression in primary care (REEACT trial): Large scale pragmatic randomised controlled trial. BMJ 2015, 351, h5627. [Google Scholar] [CrossRef]
- Karyotaki, E.; Kleiboer, A.; Smit, F.; Turner, D.T.; Pastor, A.M.; Andersson, G.; Berger, T.; Botella, C.; Breton, J.M.; Carlbring, P.; et al. Predictors of treatment dropout in self-guided web-based interventions for depression: An ‘individual patient data’ meta-analysis. Psychol. Med. 2015, 45, 2717–2726. [Google Scholar] [CrossRef]
- Gilbody, S.; Brabyn, S.; Lovell, K.; Kessler, D.; Devlin, T.; Smith, L.; Araya, R.; Barkham, M.; Bower, P.; Cooper, C.; et al. Telephone-supported computerised cognitive-behavioural therapy: REEACT-2 large-scale pragmatic randomised controlled trial. Br. J. Psychiatry 2017, 210, 362–367. [Google Scholar] [CrossRef]
- COVID-19 Mental Disorders Collaborators. Global prevalence and burden of depressive and anxiety disorders in 204 countries and territories in 2020 due to the COVID-19 pandemic. Lancet 2021, 398, 1700–1712. [Google Scholar] [CrossRef]
- Caroppo, E.; Mazza, M.; Sannella, A.; Marano, G.; Avallone, C.; Claro, A.E.; Janiri, D.; Moccia, L.; Janiri, L.; Sani, G. Will Nothing Be the Same Again?: Changes in Lifestyle during COVID-19 Pandemic and Consequences on Mental Health. Int. J. Environ. Res. Public Health 2021, 18, 8433. [Google Scholar] [CrossRef] [PubMed]
- Sabaté, E. Adherence to Long-Term Therapies: Evidence for Action; World Health Organization: Geneva, Switzerland, 2003; Available online: https://www.who.int/chp/knowledge/publications/adherence_full_report.pdf (accessed on 7 July 2021).




| Reference | Setting and Country | Sample Characteristics | Intervention | Target | Total Study Period (Months)/Intervention Duration (Weeks) | Strategies to Promote Adherence | Control | 
|---|---|---|---|---|---|---|---|
| Cooney et al., 2018 | Tertiary PCOS centre; USA | Overweight/obese women with PCOS. Age (median and IR): Intervention: 32 (27–34). Comparator: 29 (25–33). Percentage of women: 100% | 16 weekly in-person individual face-to-face visits. N = 13. | Nutrition and exercise | 4 months/16 weeks | No | CBT and LS. N = 20 | 
| Moncrieft et al., 2016 | Local community health clinics; USA | Low-income, minority patients with type 2 diabetes and overweight/obesity. Age (M[SD]): Overall 54.81 (7.36). Percentage of women: 71.2% | 17 sessions (2 individual sessions + 2 weekly sessions + 4 biweekly group sessions + 9 monthly group sessions). N = 57 | Diet and physical activity | 12 months/52 weeks | Yes | UC: N = 54 | 
| Pagoto et al., 2013 | Community clinics; USA | Obese women; Age (M[SD]): Overall 45.9 (10.8). Percentage of women: 100% | 38 sessions (10 individual sessions + 16 group behavioural weight loss session; 6 group monthly sessions + 6 counselling monthly phone calls). N = 83 | Nutrition and exercise | 12 months/52 weeks | No | BA condition: Lifestyle intervention + behaviour therapy. N = 78 | 
| Ma et al., 2019 | Family and internal medicine departments within medical centres; USA | Patients with obesity; Age (M[SD]): Overall 51 (12.1). Percentage of women: 70% | 26 sessions (9 in- person individual sessions + 11 home-viewed GLB videos + 6 monthly telephone sessions) + N = 204 | Weight loss and physical activity | 12 months/52 weeks | No | UC: N = 205 | 
| Gili et al., 2020 | Primary care; Spain | Primary care patients; Age: (M[SD]): Overall 45.3 (12.63). Percentage of women: 77.83% | 1 face-to-face group sessions + 4 web-based individual and interactive therapeutic modules. N = 54 | Physical activity, diet, and sleep | 15 months/4–8 weeks | Yes | 
 | 
| Linde et al., 2011 | Group Health primary care clinics; USA | Women with obesity. Age (average): Overall 52. Percentage of women: 100% | 26 group sessions (16 weekly sessions + 4 sessions every other week + 6 monthly sessions). N = 102 | Caloric intake, physical activity, and body weight | 12 months/52 weeks | No | Combined weight loss/depression intervention. N = 101 | 
| Reference | N Intervention Completers | N Total in Intervention | Mean Number of Sessions Completers (SD) | Total Number of Intervention Sessions | Mean Proportion | N Dropouts at Post-Treatment Assessment | N Total Randomised | 
|---|---|---|---|---|---|---|---|
| Cooney et al., 2018 | 8 | 13 | 14 (NR) | 16 | 0.87 | 9 | 33 | 
| Moncrieft et al., 2016 | 14 | 57 | NR | 17 | NA | 24 | 111 | 
| Pagoto et al., 2013 | NR | 83 | 17.95 (8.59) | 26 | 0.69 | 16 | 161 | 
| Ma et al., 2019 | 141 | 204 | 11.42 (5.07) | 15 | 0.76 | 65 | 409 | 
| Gili et al., 2020 | 22 | 54 | 3.09 (1.91) | 5 | 0.61 | 94 | 221 | 
| Linde et al., 2011 | 44 | 102 | 11.3 (8.4) | 26 | 0.43 | 53 | 203 | 
| Total weighted average proportion | 0.6616 | 
| Subgroup Analysis | References | ES (95% CI) | 
|---|---|---|
| Intervention complexity | ||
| Two lifestyle recommendations | Cooney et al., 2018; Moncrieft et al., 2016; Ma et al., 2019; Linde et al., 2011 | 0.55 (0.50–0.60) | 
| More than two lifestyle recommendations | Gili et al., 2020 | 0.41 (0.29–0.54) | 
| Use of strategies to promoting adherence | ||
| No use | Cooney et al., 2018; Ma et al., 2019; Linde et al., 2011 | 0.61 (0.55–066) | 
| Use | Moncrieft et al., 2016; Gili et al., 2020 | 0.32 (0.24–0.41) | 
| Total duration of the intervention | ||
| ≤34 weeks | Cooney et al., 2018; Gili et al., 2020 | 0.45 (0.32–0.57) | 
| >34 weeks | Moncrieft et al., 2016; Ma et al., 2019; Linde et al., 2011 | 0.55 (0.50–0.60) | 
| Characteristics of the sample | ||
| Depression and comorbid condition | Cooney et al., 2018; Moncrieft et al., 2016; Ma et al., 2019; Linde et al., 2011 | 0.55 (0.50–0.60) | 
| Depression alone | Gili et al., 2020 | 0.41 (0.29–0.54) | 
| Depression severity at baseline | ||
| Moderate | Cooney et al., 2018; Gili et al., 2020; Linde et al., 2011 | 0.44 (0.36–0.51) | 
| Mild | Moncrieft et al., 2016; Ma et al., 2019 | 0.60 (0.53–0.65) | 
| Publisher’s Note: MDPI stays neutral with regard to jurisdictional claims in published maps and institutional affiliations. | 
© 2021 by the authors. Licensee MDPI, Basel, Switzerland. This article is an open access article distributed under the terms and conditions of the Creative Commons Attribution (CC BY) license (https://creativecommons.org/licenses/by/4.0/).
Share and Cite
Castro, A.; Roca, M.; Ricci-Cabello, I.; García-Toro, M.; Riera-Serra, P.; Coronado-Simsic, V.; Pérez-Ara, M.Á.; Gili, M. Adherence to Lifestyle Interventions for Treatment of Adults with Depression: A Systematic Review and Meta-Analysis. Int. J. Environ. Res. Public Health 2021, 18, 13268. https://doi.org/10.3390/ijerph182413268
Castro A, Roca M, Ricci-Cabello I, García-Toro M, Riera-Serra P, Coronado-Simsic V, Pérez-Ara MÁ, Gili M. Adherence to Lifestyle Interventions for Treatment of Adults with Depression: A Systematic Review and Meta-Analysis. International Journal of Environmental Research and Public Health. 2021; 18(24):13268. https://doi.org/10.3390/ijerph182413268
Chicago/Turabian StyleCastro, Adoración, Miquel Roca, Ignacio Ricci-Cabello, Mauro García-Toro, Pau Riera-Serra, Victoria Coronado-Simsic, María Ángeles Pérez-Ara, and Margalida Gili. 2021. "Adherence to Lifestyle Interventions for Treatment of Adults with Depression: A Systematic Review and Meta-Analysis" International Journal of Environmental Research and Public Health 18, no. 24: 13268. https://doi.org/10.3390/ijerph182413268
APA StyleCastro, A., Roca, M., Ricci-Cabello, I., García-Toro, M., Riera-Serra, P., Coronado-Simsic, V., Pérez-Ara, M. Á., & Gili, M. (2021). Adherence to Lifestyle Interventions for Treatment of Adults with Depression: A Systematic Review and Meta-Analysis. International Journal of Environmental Research and Public Health, 18(24), 13268. https://doi.org/10.3390/ijerph182413268
 
         
                                                


 
       