Characterization of Biochars Produced by Co-Pyrolysis of Hami Melon (Cantaloupes) Straw Mixed with Polypropylene and Their Adsorption Properties of Cadmium
Abstract
:1. Introduction
2. Materials and Methods
2.1. Materials
2.2. Biochar Preparation
2.3. Characterization of Biochars
2.4. Adsorption Experiment
2.4.1. Sorption of Cd2+
2.4.2. Effect of Solution pH on Cd2+ Adsorption
2.4.3. Adsorption Isotherms of Biochars for Cd2+
2.4.4. Adsorption Kinetics of Biochars for Cd2+
3. Results and Discussion
3.1. Basic Physicochemical Properties of Biochars
3.1.1. Yield, Ash Content, pH, and Elementary Composition
3.1.2. Surface Area and Pore Analysis
3.1.3. Thermogravimetric Analysis of Raw Materials
3.1.4. Surface Morphology
3.1.5. FTIR Analysis
3.1.6. XRD Analysis
3.2. Adsorption Performance in Solution
3.2.1. Effect of Solution pH on Cd2+ Adsorption
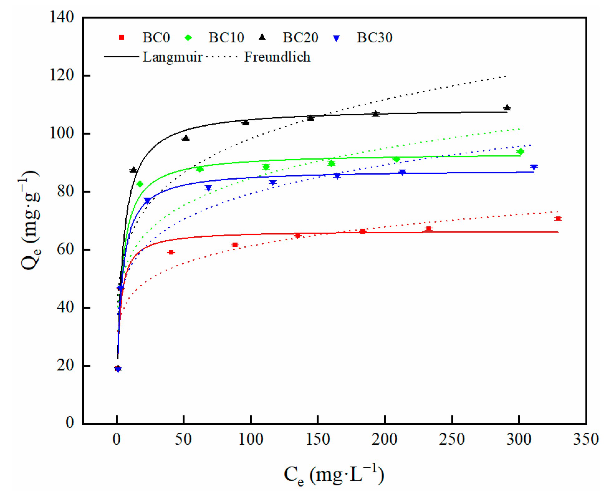
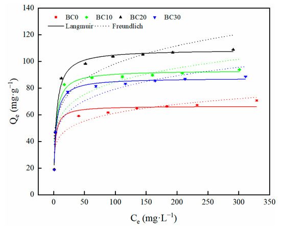
3.2.2. Adsorption Isotherms
3.2.3. Adsorption Kinetics
3.3. Adsorption Mechanism of Cd2+ by Biochars
3.3.1. Surface Adsorption
3.3.2. Ion Exchange
3.3.3. Complexation with Surface Functional Groups
3.3.4. Chemical Precipitation
3.4. Application of Co-Pyrolysis Biochar
4. Conclusions
Author Contributions
Funding
Institutional Review Board Statement
Informed Consent Statement
Data Availability Statement
Acknowledgments
Conflicts of Interest
References
- Pan, X.; Gu, Z.; Chen, W.; Li, Q. Preparation of biochar and biochar composites and their application in a Fenton-like process for wastewater decontamination: A review. Sci. Total Environ. 2021, 754, 142104. [Google Scholar] [CrossRef]
- Kai, X.; Yang, T.; Shen, S.; Li, R. TG-FTIR-MS study of synergistic effects during co-pyrolysis of corn stalk and high-density polyethylene (HDPE). Energy Convers. Manag. 2019, 181, 202–213. [Google Scholar] [CrossRef]
- Li, J.; Song, Y.; Cai, Y. Focus topics on microplastics in soil: Analytical methods, occurrence, transport, and ecological risks. Environ. Pollut. 2020, 257, 113570. [Google Scholar] [CrossRef]
- Petersen, F.; Hubbart, J.A. The occurrence and transport of microplastics: The state of the science. Sci. Total Environ. 2021, 758, 143936. [Google Scholar] [CrossRef]
- Alimi, O.S.; Farner Budarz, J.; Hernandez, L.M.; Tufenkji, N. Microplastics and nanoplastics in aquatic environments: Aggregation, deposition, and enhanced contaminant transport. Environ. Sci. Technol. 2018, 52, 1704–1724. [Google Scholar] [CrossRef] [PubMed]
- Han, L.; Nie, X.; Wei, J.; Gu, M.; Wu, W.; Chen, M. Effects of feedstock biopolymer compositions on the physiochemical characteristics of dissolved black carbon from lignocellulose-based biochar. Sci. Total Environ. 2021, 751, 141491. [Google Scholar] [CrossRef]
- Mumme, J.; Getz, J.; Prasad, M.; Lüder, U.; Kern, J.; Mašek, O.; Buss, W. Toxicity screening of biochar-mineral composites using germination tests. Chemosphere 2018, 207, 91–100. [Google Scholar] [CrossRef] [Green Version]
- Hardy, B.; Sleutel, S.; Dufey, J.E.; Cornelis, J.-T. The Long-term effect of biochar on soil microbial abundance, activity and community structure is overwritten by land management. Front. Environ. Sci. 2019, 7, 110. [Google Scholar] [CrossRef] [Green Version]
- El-Naggar, A.; Lee, S.S.; Awad, Y.M.; Yang, X.; Ryu, C.; Rizwan, M.; Rinklebe, J.; Tsang, D.C.W.; Ok, Y.S. Influence of soil properties and feedstocks on biochar potential for carbon mineralization and improvement of infertile soils. Geoderma 2018, 332, 100–108. [Google Scholar] [CrossRef]
- García-Jaramillo, M.; Trippe, K.M.; Helmus, R.; Knicker, H.E.; Cox, L.; Hermosín, M.C.; Parsons, J.R.; Kalbitz, K. An examination of the role of biochar and biochar water-extractable substances on the sorption of ionizable herbicides in rice paddy soils. Sci. Total Environ. 2020, 706, 135682. [Google Scholar] [CrossRef]
- Wang, J.; Zhao, M.; Zhang, J.; Zhao, B.; Lu, X.; Wei, H. Characterization and utilization of biochars derived from five invasive plant species Bidens pilosa L., Praxelis clematidea, Ipomoea cairica, Mikania micrantha and Lantana camara L. for Cd2+ and Cu2+ removal. J. Environ. Manag. 2021, 280, 111746. [Google Scholar] [CrossRef]
- Zhang, X.; Lei, H.; Chen, S.; Wu, J. Catalytic co-pyrolysis of lignocellulosic biomass with polymers: A critical review. Green Chem. 2016, 18, 4145–4169. [Google Scholar] [CrossRef]
- Lu, P.; Huang, Q.; Bourtsalas, A.C.; Chi, Y.; Yan, J. Synergistic effects on char and oil produced by the co-pyrolysis of pine wood, polyethylene and polyvinyl chloride. Fuel 2018, 230, 359–367. [Google Scholar] [CrossRef]
- Liu, X.; Burra, K.G.; Wang, Z.; Li, J.; Che, D.; Gupta, A.K. On deconvolution for understanding synergistic effects in co-pyrolysis of pinewood and polypropylene. Appl. Energy 2020, 279, 115811. [Google Scholar] [CrossRef]
- Van Nguyen, Q.; Choi, Y.S.; Choi, S.K.; Jeong, Y.W.; Kwon, Y.S. Improvement of bio-crude oil properties via co-pyrolysis of pine sawdust and waste polystyrene foam. J. Environ. Manag. 2019, 237, 24–29. [Google Scholar] [CrossRef] [PubMed]
- Hassan, H.; Hameed, B.H.; Lim, J.K. Co-pyrolysis of sugarcane bagasse and waste high-density polyethylene: Synergistic effect and product distributions. Energy 2020, 191, 116545. [Google Scholar] [CrossRef]
- Khan, Z.H.; Gao, M.; Qiu, W.; Islam, M.S.; Song, Z. Mechanisms for cadmium adsorption by magnetic biochar composites in an aqueous solution. Chemosphere 2020, 246, 125701. [Google Scholar] [CrossRef] [PubMed]
- Zhang, S.; Cui, M.; Chen, J.; Ding, Z.; Wang, X.; Mu, Y.; Meng, C. Modification of synthetic zeolite X by thiourea and its adsorption for Cd (II). Mater. Lett. 2019, 236, 233–235. [Google Scholar] [CrossRef]
- Zhou, R.; Zhang, M.; Zhou, J.; Wang, J. Optimization of biochar preparation from the stem of Eichhornia crassipes using response surface methodology on adsorption of Cd2+. Sci. Rep. 2019, 9, 17538. [Google Scholar] [CrossRef] [PubMed]
- Zhou, R.; Zheng, Y.; Zhou, X.; Hu, Y.; Ma, M. Influence of hot water treatment and O-carboxymethyl chitosan coating on postharvest quality and ripening in Hami melons (Cucumis melo var. saccharinus) under long-term simulated transport vibration. J. Food Biochem. 2020, 44, e13328. [Google Scholar]
- Ma, P.; Ma, M.; Wu, J.; Qian, Y.; Wu, D.; Zhang, X. The effect of plastic on performance of activated carbon and study on adsorption of methylene blue. J. Mater. Res. 2019, 34, 3040–3049. [Google Scholar] [CrossRef] [Green Version]
- Chen, Y.; Wang, B.; Xin, J.; Sun, P.; Wu, D. Adsorption behavior and mechanism of Cr(VI) by modified biochar derived from Enteromorpha prolifera. Ecotox. Environ. Saf. 2018, 164, 440–447. [Google Scholar] [CrossRef]
- Vanapalli, K.R.; Bhattacharya, J.; Samal, B.; Chandra, S.; Medha, I.; Dubey, B.K. Optimized production of single-use plastic-Eucalyptus wood char composite for application in soil. J. Clean. Prod. 2021, 278, 123968. [Google Scholar] [CrossRef]
- Wang, R.-Z.; Huang, D.-L.; Liu, Y.-G.; Zhang, C.; Lai, C.; Zeng, G.-M.; Cheng, M.; Gong, X.-M.; Wan, J.; Luo, H. Invastigating the adsorption behavior and the relative distribution of Cd2+ sorption mechanisms on biochars by different feedstock. Bioresour. Technol. 2018, 261, 265–271. [Google Scholar] [CrossRef] [PubMed]
- Yuan, S.; Hong, M.; Li, H.; Ye, Z.; Gong, H.; Zhang, J.; Huang, Q.; Tan, Z. Contributions and mechanisms of components in modified biochar to adsorb cadmium in aqueous solution. Sci. Total Environ. 2020, 733, 139320. [Google Scholar] [CrossRef]
- Salvilla, J.N.V.; Ofrasio, B.I.G.; Rollon, A.P.; Manegdeg, F.G.; Abarca, R.R.M.; de Luna, M.D.G. Synergistic co-pyrolysıs of polyolefin plastics with wood and agricultural wastes for biofuel production. Appl. Energy 2020, 279, 115668. [Google Scholar] [CrossRef]
- Chen, R.; Zhang, J.; Lun, L.; Li, Q.; Zhang, Y. Comparative study on synergistic effects in co-pyrolysis of tobacco stalk with polymer wastes: Thermal behavior, gas formation, and kinetics. Bioresour. Technol. 2019, 292, 121970. [Google Scholar] [CrossRef] [PubMed]
- Chen, G.; Yang, R.; Cheng, Z.; Yan, B.; Ma, W. Nitric oxide formation during corn straw/sewage sludge co-pyrolysis/gasification. J. Clean. Prod. 2018, 197, 97–105. [Google Scholar] [CrossRef]
- Zheng, Y.; Tao, L.; Yang, X.; Huang, Y.; Liu, C.; Zheng, Z. Study of the thermal behavior, kinetics, and product characterization of biomass and low-density polyethylene co-pyrolysis by thermogravimetric analysis and pyrolysis-GC/MS. J. Anal. Appl. Pyrol. 2018, 133, 185–197. [Google Scholar] [CrossRef]
- Özsin, G.; Pütün, A.E. Insights into pyrolysis and co-pyrolysis of biomass and polystyrene: Thermochemical behaviors, kinetics and evolved gas analysis. Energy Convers. Manag. 2017, 149, 675–685. [Google Scholar] [CrossRef]
- Chen, L.; Wang, S.; Meng, H.; Wu, Z.; Zhao, J. Synergistic effect on thermal behavior and char morphology analysis during co-pyrolysis of paulownia wood blended with different plastics waste. Appl. Therm. Eng. 2017, 111, 834–846. [Google Scholar] [CrossRef]
- Xiang, Z.; Liang, J.; Morgan, H.M.; Liu, Y.; Mao, H.; Bu, Q. Thermal behavior and kinetic study for co-pyrolysis of lignocellulosic biomass with polyethylene over Cobalt modified ZSM-5 catalyst by thermogravimetric analysis. Bioresour. Technol. 2018, 247, 804–811. [Google Scholar] [CrossRef]
- Li, X.; Wang, C.; Tian, J.; Liu, J.; Chen, G. Comparison of adsorption properties for cadmium removal from aqueous solution by Enteromorpha prolifera biochar modified with different chemical reagents. Environ. Res. 2020, 186, 109502. [Google Scholar] [CrossRef] [PubMed]
- Chen, G.; Wang, C.; Tian, J.; Liu, J.; Ma, Q.; Liu, B.; Li, X. Investigation on cadmium ions removal from water by different raw materials-derived biochars. J. Water Process Eng. 2020, 35, 101223. [Google Scholar] [CrossRef]
- Liu, N.; Zhang, Y.; Xu, C.; Liu, P.; Lv, J.; Liu, Y.; Wang, Q. Removal mechanisms of aqueous Cr(VI) using apple wood biochar: A spectroscopic study. J. Hazard. Mater. 2020, 384, 121371. [Google Scholar] [CrossRef]
- Niazi, N.K.; Bibi, I.; Shahid, M.; Ok, Y.S.; Burton, E.D.; Wang, H.; Shaheen, S.M.; Rinklebe, J.; Lüttge, A. Arsenic removal by perilla leaf biochar in aqueous solutions and groundwater: An integrated spectroscopic and microscopic examination. Environ. Pollut. 2018, 232, 31–41. [Google Scholar] [CrossRef]
- Van, H.T.; Nguyen, L.H.; Nguyen, V.D.; Nguyen, X.H.; Nguyen, T.H.; Nguyen, T.V.; Vigneswaran, S.; Rinklebe, J.; Tran, H.N. Characteristics and mechanisms of cadmium adsorption onto biogenic aragonite shells-derived biosorbent: Batch and column studies. J. Environ. Manag. 2019, 241, 535–548. [Google Scholar] [CrossRef]
- Singh, E.; Kumar, A.; Mishra, R.; You, S.; Singh, L.; Kumar, S.; Kumar, R. Pyrolysis of waste biomass and plastics for production of biochar and its use for removal of heavy metals from aqueous solution. Bioresour. Technol. 2021, 320, 124278. [Google Scholar] [CrossRef]
- Khan, Z.H.; Gao, M.; Qiu, W.; Song, Z. Properties and adsorption mechanism of magnetic biochar modified with molybdenum disulfide for cadmium in aqueous solution. Chemosphere 2020, 255, 126995. [Google Scholar] [CrossRef]
- Wu, J.; Yang, J.; Feng, P.; Huang, G.; Xu, C.; Lin, B. High-efficiency removal of dyes from wastewater by fully recycling litchi peel biochar. Chemosphere 2020, 246, 125734. [Google Scholar] [CrossRef]
- Deng, Y.; Huang, S.; Dong, C.; Meng, Z.; Wang, X. Competitive adsorption behaviour and mechanisms of cadmium, nickel and ammonium from aqueous solution by fresh and ageing rice straw biochars. Bioresour. Technol. 2020, 303, 122853. [Google Scholar] [CrossRef]
- Wang, J.; Zhu, M.; Chen, Z.; Chen, Y.; Hayat, T.; Alsaedi, A.; Wang, X. Polyacrylamide modified molybdenum disulfide composites for efficient removal of graphene oxide from aqueous solutions. Chem. Eng. J. 2019, 361, 651–659. [Google Scholar] [CrossRef]
- Jalayeri, H.; Pepe, F. Novel and high-performance biochar derived from pistachio green hull biomass: Production, characterization, and application to Cu(II) removal from aqueous solutions. Ecotox. Environ. Saf. 2019, 168, 64–71. [Google Scholar] [CrossRef] [PubMed]
- Shakya, A.; Núñez-Delgado, A.; Agarwal, T. Biochar synthesis from sweet lime peel for hexavalent chromium remediation from aqueous solution. J. Environ. Manag. 2019, 251, 109570. [Google Scholar] [CrossRef] [PubMed]
- Chen, H.; Li, W.; Wang, J.; Xu, H.; Liu, Y.; Zhang, Z.; Li, Y.; Zhang, Y. Adsorption of cadmium and lead ions by phosphoric acid-modified biochar generated from chicken feather: Selective adsorption and influence of dissolved organic matter. Bioresour. Technol. 2019, 292, 121948. [Google Scholar] [CrossRef]
- Cui, X.; Fang, S.; Yao, Y.; Li, T.; Ni, Q.; Yang, X.; He, Z. Potential mechanisms of cadmium removal from aqueous solution by Canna indica derived biochar. Sci. Total Environ. 2016, 562, 517–525. [Google Scholar] [CrossRef] [PubMed]
- Deng, Y.; Huang, S.; Laird, D.A.; Wang, X.; Meng, Z. Adsorption behaviour and mechanisms of cadmium and nickel on rice straw biochars in single- and binary-metal systems. Chemosphere 2019, 218, 308–318. [Google Scholar] [CrossRef] [PubMed]
- Qu, J.; Li, Y.; Song, T.; Huang, S.; Wei, Y.; Liu, X.; Wang, H.; Jin, Y. Comparison of the adsorption characteristics and mechanism of Pb onto four adsorbents derived from edible fungi spent substrate. Ecol. Eng. 2020, 142, 105639. [Google Scholar] [CrossRef]
- Li, R.; Liang, W.; Wang, J.J.; Gaston, L.A.; Huang, D.; Huang, H.; Lei, S.; Awasthi, M.K.; Zhou, B.; Xiao, R.; et al. Facilitative capture of As(V), Pb(II) and methylene blue from aqueous solutions with MgO hybrid sponge-like carbonaceous composite derived from sugarcane leafy trash. J. Environ. Manag. 2018, 212, 77–87. [Google Scholar] [CrossRef]
- Cui, X.; Hao, H.; Zhang, C.; He, Z.; Yang, X. Capacity and mechanisms of ammonium and cadmium sorption on different wetland-plant derived biochars. Sci. Total Environ. 2016, 539, 566–575. [Google Scholar] [CrossRef] [PubMed]
- Huang, F.; Gao, L.-Y.; Wu, R.-R.; Wang, H.; Xiao, R.-B. Qualitative and quantitative characterization of adsorption mechanisms for Cd2+ by silicon-rich biochar. Sci. Total Environ. 2020, 731, 139163. [Google Scholar] [CrossRef]
- Zhang, L.; Ren, Y.; Xue, Y.; Cui, Z.; Wei, Q.; Han, C.; He, J. Preparation of biochar by mango peel and its adsorption characteristics of Cd(II) in solution. RSC Adv. 2020, 10, 35878–35888. [Google Scholar] [CrossRef]
- Bandara, T.; Xu, J.; Potter, I.D.; Franks, A.; Chathurika, J.B.A.J.; Tang, C. Mechanisms for the removal of Cd(II) and Cu(II) from aqueous solution and mine water by biochars derived from agricultural wastes. Chemosphere 2020, 254, 126745. [Google Scholar] [CrossRef]
- Cheng, Q.; Huang, Q.; Khan, S.; Liu, Y.; Liao, Z.; Li, G.; Ok, Y.S. Adsorption of Cd by peanut husks and peanut husk biochar from aqueous solutions. Ecol. Eng. 2016, 87, 240–245. [Google Scholar] [CrossRef]










| Biochars | Yield (%) | Ash (%) | pH | C (%) | N (%) | O (%) | H (%) | H/C | O/C |
|---|---|---|---|---|---|---|---|---|---|
| BC0 | 32.64 | 40.49 | 11.54 | 40.50 | 2.17 | 15.48 | 1.36 | 0.0336 | 0.382 |
| BC10 | 29.51 | 39.55 | 11.54 | 37.86 | 1.88 | 19.26 | 1.45 | 0.0383 | 0.509 |
| BC20 | 26.41 | 39.14 | 11.44 | 36.90 | 1.81 | 20.67 | 1.48 | 0.0401 | 0.560 |
| BC30 | 22.76 | 38.98 | 11.38 | 39.35 | 1.97 | 18.27 | 1.43 | 0.0363 | 0.464 |
| Biochars | BET Surface Area (m2·g−1) | Total Pore Volume (10−2·cm3·g−1) | Average Pore Diameter (nm) |
|---|---|---|---|
| BC0 | 6.90 | 2.85 | 21.82 |
| BC10 | 11.95 | 3.87 | 15.71 |
| BC20 | 12.58 | 4.53 | 18.11 |
| BC30 | 11.78 | 4.17 | 16.77 |
| Biochars | Langmuir | Freundlich | ||||
|---|---|---|---|---|---|---|
| Qm (mg·g−1) | KL (L·mg−1) | R2 | KF (mg·g−1) (L·mg−1)1/n | 1/n | R2 | |
| BC0 | 66.53 | 0.47 | 0.937 | 30.95 | 0.148 | 0.827 |
| BC10 | 93.29 | 0.30 | 0.984 | 38.94 | 0.168 | 0.769 |
| BC20 | 108.91 | 0.25 | 0.993 | 41.82 | 0.185 | 0.809 |
| BC30 | 87.52 | 0.30 | 0.983 | 36.17 | 0.170 | 0.808 |
| Biochars | Qe,exp1 (mg·g−1) | Pseudo-First-Order | Pseudo-Second-Order | ||||
|---|---|---|---|---|---|---|---|
| k1 (h−1) | Qe,cal2 (mg·g−1) | R2 | k2 (g·mg−1·h−1) | Qe,cal3 (mg·g−1) | R2 | ||
| BC0 | 61.56 | 1.76 | 59.91 | 0.985 | 0.0395 | 63.73 | 0.991 |
| BC10 | 87.73 | 1.86 | 83.68 | 0.972 | 0.0297 | 89.11 | 0.987 |
| BC20 | 98.71 | 1.87 | 96.17 | 0.977 | 0.0268 | 102.03 | 0.984 |
| BC30 | 81.60 | 1.78 | 78.75 | 0.980 | 0.0303 | 83.83 | 0.987 |
| Adsorbents | Cd2+ Adsorption Capacity (mg·g−1) | References |
|---|---|---|
| Mango peel biochar (500 °C) | 16.01 | [52] |
| Lantana camara L biochar (500 °C) | 54.43 | [11] |
| Mikania micrantha biochar (500 °C) | 84.96 | [11] |
| Ipomoea cairica biochar (500 °C) | 72.46 | [11] |
| Rice straw biochar (400 °C) | 37.14 | [47] |
| Rice straw biochar (700 °C) | 65.40 | [47] |
| Rice husk biochar (300 °C) | 62.75 | [51] |
| Rice husk biochar (500 °C) | 77.37 | [51] |
| Rice husk biochar (700 °C) | 93.50 | [51] |
| Lucerne shoot biochar (550 °C) | 6.28 | [53] |
| Peanut husk biochar (500 °C) | 28.99 | [54] |
| BC20 (500 °C) | 108.91 | This study |
Publisher’s Note: MDPI stays neutral with regard to jurisdictional claims in published maps and institutional affiliations. |
© 2021 by the authors. Licensee MDPI, Basel, Switzerland. This article is an open access article distributed under the terms and conditions of the Creative Commons Attribution (CC BY) license (https://creativecommons.org/licenses/by/4.0/).
Share and Cite
Li, C.; Huang, Q.; Zhang, H.; Wang, Q.; Xue, R.; Guo, G.; Hu, J.; Li, T.; Wang, J.; Hu, S. Characterization of Biochars Produced by Co-Pyrolysis of Hami Melon (Cantaloupes) Straw Mixed with Polypropylene and Their Adsorption Properties of Cadmium. Int. J. Environ. Res. Public Health 2021, 18, 11413. https://doi.org/10.3390/ijerph182111413
Li C, Huang Q, Zhang H, Wang Q, Xue R, Guo G, Hu J, Li T, Wang J, Hu S. Characterization of Biochars Produced by Co-Pyrolysis of Hami Melon (Cantaloupes) Straw Mixed with Polypropylene and Their Adsorption Properties of Cadmium. International Journal of Environmental Research and Public Health. 2021; 18(21):11413. https://doi.org/10.3390/ijerph182111413
Chicago/Turabian StyleLi, Changheng, Qing Huang, Haixiang Zhang, Qingqing Wang, Rixin Xue, Genmao Guo, Jie Hu, Tinghang Li, Junfeng Wang, and Shan Hu. 2021. "Characterization of Biochars Produced by Co-Pyrolysis of Hami Melon (Cantaloupes) Straw Mixed with Polypropylene and Their Adsorption Properties of Cadmium" International Journal of Environmental Research and Public Health 18, no. 21: 11413. https://doi.org/10.3390/ijerph182111413
APA StyleLi, C., Huang, Q., Zhang, H., Wang, Q., Xue, R., Guo, G., Hu, J., Li, T., Wang, J., & Hu, S. (2021). Characterization of Biochars Produced by Co-Pyrolysis of Hami Melon (Cantaloupes) Straw Mixed with Polypropylene and Their Adsorption Properties of Cadmium. International Journal of Environmental Research and Public Health, 18(21), 11413. https://doi.org/10.3390/ijerph182111413
