Effects of Human Activities on the Spatial Distribution, Ecological Risk and Sources of PTEs in Coastal Sediments
Abstract
:1. Introduction
2. Materials and Methods
2.1. Study Area
2.2. Sampling and Analysis
2.3. Data Processing
2.4. Sediment Contamination and Risk Assessment Methods
2.4.1. Pollution Load Index (PLI)
2.4.2. Geo-Accumulation Index (Igeo)
2.4.3. Ecological Risk Assessment
2.4.4. Positive Matrix Factorisation (PMF)
| PTEs (mg/kg) | Cu | Pb | Zn | Cd | Cr | Hg | As | References |
|---|---|---|---|---|---|---|---|---|
| Min | 0.4 | 12.3 | 16.3 | 0.032 | 1.5 | 0.006 | 1.9 | |
| Max | 69.6 | 68.2 | 188.0 | 0.419 | 70.0 | 0.160 | 13.1 | |
| Average | 18.8 ± 13.7 | 41.4 ± 14.8 | 82.5 ± 32.6 | 0.135 ± 0.084 | 20.6 ± 15.1 | 0.079 ± 0.033 | 7.0 ± 2.6 | |
| Coefficient of Variation | 73.1% | 35.7% | 39.5% | 62.6% | 73.3% | 41.7% | 36.7% | |
| Kurtosis | −1.14 | 5.21 | 4.39 | −0.85 | 1.41 | 3.64 | 2.76 | |
| Skewness | 0.15 | 2.08 | 1.94 | −0.14 | 0.66 | 1.76 | 1.67 | |
| Bohai Bay, China | 32.6 ± 7.0 | 26.9 ± 3.4 | 95.2 ± 19.7 | 0.300 ± 0.1 | 75.2 ± 13.1 | 0.072 ± 0.042 | 12.9 ± 3.1 | [48] |
| Hangzhou Bay, China | 27.2 ± 6.0 | 21.2 ± 17.3 | 86.0 ± 17.3 | 0.214 ± 0.070 | 61.7 ± 10.3 | 0.050 ± 0.011 | 9.4 ± 5.0 | [49] |
| Daya Bay, China | 16.5 ± 6.3 | 37.0 ± 8.5 | 87.8 ± 26.4 | 0.07 ± 0.02 | 59.0 ± 16.6 | 0.04 ± 0.01 | 8.16 ± 1.99 | [50] |
| Thessaloniki Bay, Greece | 77.2 ± 46.5 | 84.2 ± 53.8 | 218 ± 157.9 | 2.51 ± 3.57 | 115.4 ± 34 | - | - | [51] |
| Class I, China | 35.0 | 60.0 | 150.0 | 0.50 | 80.0 | 0.20 | 20.0 | [52] |
| Class II, China | 100.0 | 130.0 | 350.0 | 1.50 | 150.0 | 0.50 | 65.0 | [52] |
| Background Value | 15.0 | 20.0 | 65.0 | 0.065 | 60.0 | 0.025 | 7.7 | [53] |
3. Results and Discussion
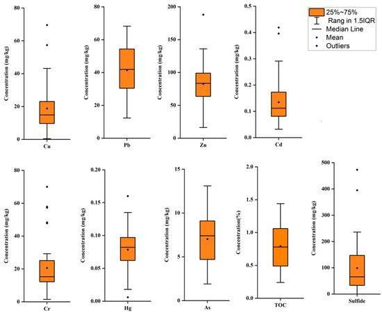
3.1. Geochemistry and Distribution of PTEs
3.2. Pollution Index Evaluation
3.2.1. CFs and PLI
3.2.2. Igeo Results
3.2.3. Ecological Risk Assessment
3.3. Source Analysis of PTE Pollution in Sediments
4. Conclusions
Supplementary Materials
Author Contributions
Funding
Institutional Review Board Statement
Informed Consent Statement
Data Availability Statement
Conflicts of Interest
References
- Yang, G.; Song, Z.; Sun, X.; Chen, C.; Ke, S.; Zhang, J. Heavy metals of sediment cores in Dachan Bay and their responses to human activities. Mar. Pollut. Bull. 2020, 150, 110764. [Google Scholar] [CrossRef] [PubMed]
- Bastami, K.D.; Bagheri, H.; Haghparast, S.; Soltani, F.; Hamzehpoor, A.; Bastami, M.D. Geochemical and geo-statistical assessment of selected heavy metals in the surface sediments of the Gorgan Bay, Iran. Mar. Pollut. Bull. 2012, 64, 2877–2884. [Google Scholar] [CrossRef] [PubMed]
- Li, M.; Zhu, S.; Ouyang, T.; Tang, J.; Tang, Z. Magnetic properties of the surface sediments in the Yellow River Estuary and Laizhou Bay, Bohai Sea, China: Implications for monitoring heavy metals. J. Hazard. Mater. 2019, 410, 124579. [Google Scholar] [CrossRef] [PubMed]
- Armid, A.; Shinjo, R.; Zaeni, A.; Sani, A.; Ruslan, R. The distribution of heavy metals including Pb, Cd and Cr in Kendari Bay surficial sediments. Mar. Pollut. Bull. 2014, 84, 373–378. [Google Scholar] [CrossRef]
- Gholizadeh, M.; Patimar, R. Ecological risk assessment of heavy metals in surface sediments from the Gorgan Bay, Caspian Sea. Mar. Pollut. Bull. 2018, 137, 662–667. [Google Scholar] [CrossRef]
- Liu, B.; Xu, M.; Wang, J.; Wang, Z.; Zhao, L. Ecological risk assessment and heavy metal contamination in the surface sediments of Haizhou Bay, China. Mar. Pollut. Bull. 2021, 163, 111954. [Google Scholar] [CrossRef]
- Rezaei, M.; Kafaei, R.; Mahmoodi, M.; Sanati, A.M.; Vakilabadi, D.R.; Arfaeinia, H.; Dobaradaran, S.; Sorial, G.A.; Ramavandi, B.; Boffito, D.C. Heavy metals concentration in mangrove tissues and associated sediments and seawater from the north coast of Persian Gulf, Iran: Ecological and health risk assessment. Environ. Nanotechnol. Monit. Manag. 2021, 15, 100456. [Google Scholar] [CrossRef]
- Zhang, M.; Sun, X.; Xu, J. Heavy metal pollution in the East China Sea: A review. Mar. Pollut. Bull. 2020, 159, 111473. [Google Scholar] [CrossRef]
- Dou, Y.; Li, J.; Zhao, J.; Hu, B.; Yang, S. Distribution, enrichment and source of heavy metals in surface sediments of the eastern Beibu Bay, South China Sea. Mar. Pollut. Bull. 2013, 67, 137–145. [Google Scholar] [CrossRef]
- Zhang, M.; Chen, G.; Luo, Z.; Sun, X.; Xu, J. Spatial distribution, source identification, and risk assessment of heavy metals in seawater and sediments from Meishan Bay, Zhejiang coast. China. Mar. Pollut. Bull. 2020, 156, 111217. [Google Scholar] [CrossRef]
- Luo, H.; Wang, Q.; Liu, Z.; Wang, S.; Long, A.; Yang, Y. Potential bioremediation effects of seaweed Gracilaria lemaneiformis on heavy metals in coa sediment from a typical mariculture zone. Chemosphere 2020, 245, 125636. [Google Scholar] [CrossRef]
- Arikibe, J.E.; Prasad, S. Determination and comparison of selected heavy metal concentrations in seawater and sediment samples in the coastal area of Suva, Fiji. Mar. Pollut. Bull. 2020, 157, 111157. [Google Scholar] [CrossRef]
- Kumar, S.B.; Padhi, R.K.; Mohanty, A.K.; Satpathy, K.K. Distribution and ecological- and health-risk assessment of heavy metals in the seawater of the southeast coast of India. Mar. Pollut. Bull. 2020, 161, 111712. [Google Scholar] [CrossRef]
- Wang, X.-N.; Gu, Y.-G.; Wang, Z.-H.; Ke, C.-L.; Mo, M.-S. Biological risk assessment of heavy metals in sediments and health risk assessment in bivalve mollusks from Kaozhouyang Bay, South China. Mar. Pollut. Bull. 2018, 133, 312–319. [Google Scholar] [CrossRef]
- Ahmad, K.; Muhammad, S.; Ali, W.; Jadoon, I.A.K.; Rasool, A. Occurrence, source identification and potential risk evaluation of heavy metals in sediments of the Hunza River and its tributaries, Gilgit-Baltistan. Environ. Technol. Innov. 2020, 18, 100700. [Google Scholar] [CrossRef]
- Caballero-Gallardo, K.; Alcala-Orozco, M.; Barraza-Quiroz, D.; De la Rosa, J.; Olivero-Verbel, J. Environmental risks associated with trace elements in sediments from Cartagena Bay, an industrialized site at the Caribbean. Chemosphere 2020, 242, 125173. [Google Scholar] [CrossRef]
- Han, D.; Cheng, J.; Hu, X.; Jiang, Z.; Mo, L.; Xu, H.; Ma, Y.; Chen, X.; Wang, H. Spatial distribution, risk assessment and source identification of heavy metals in sediments of the Yangtze River Estuary, China. Mar. Pollut. Bull. 2017, 115, 141–148. [Google Scholar] [CrossRef]
- Maurya, P.; Kumari, R. Toxic metals distribution, seasonal variations and environmental risk assessment in surficial sediment and mangrove plants (A. marina), Gulf of Kachchh (India). J. Hazard. Mater. 2021, 413, 125345. [Google Scholar] [CrossRef]
- Zhuang, W.; Zhou, F. Distribution, source and pollution assessment of heavy metals in the surface sediments of the Yangtze River Estuary and its adjacent East China Sea. Mar. Pollut. Bull. 2021, 164, 112002. [Google Scholar] [CrossRef]
- Zhang, D.; Lu, D.; Yang, B.; Zhang, J.; Ning, Z.; Yu, K. Influence of natural and anthropogenic factors on spatial-temporal hydrochemistry and the susceptibility to nutrient enrichment in a subtropical estuary. Mar. Pollut. Bull. 2019, 146, 945–954. [Google Scholar] [CrossRef]
- Lin, H.; Lan, W.; Feng, Q.; Zhu, X.; Li, T.; Zhang, R.; Song, H.; Zhu, Y.; Zhao, B. Pollution and ecological risk assessment, and source identification of heavy metals in sediment from the Beibu Gulf, South China Sea. Mar. Pollut. Bull. 2021, 168, 112403. [Google Scholar] [CrossRef] [PubMed]
- Elsagh, A.; Jalilian, H.; Aslshabestari, M.G. Evaluation of heavy metal pollution in coastal sediments of Bandar Abbas, the Persian Gulf, Iran: Mercury pollution and environmental geochemical indices. Mar. Pollut. Bull. 2021, 167, 112314. [Google Scholar] [CrossRef] [PubMed]
- Fang, J.; Chen, J.; Li, Y.; Ke, S. Study of modern sedimentary environment in the Xiamen Bay. Acta Sedimentol. Sin. 2010, 28, 356–364. [Google Scholar]
- Ma, L.; Lin, B.-L.; Chen, C.; Horiguchi, F.; Eriguchi, T.; Li, Y.; Wang, X. A 3D-hydrodynamic model for predicting the environmental fate of chemical pollutants in Xiamen Bay, southeast China. Environ. Pollut. 2020, 256, 113000. [Google Scholar] [CrossRef] [PubMed]
- Zhang, L.; Feng, H.; Li, X.; Ye, X.; Jing, Y.; Ouyang, T.; Yu, X.; Liang, R.; Chen, W. Heavy metal contaminant remediation study of western Xiamen Bay sediment, China: Laboratory bench scale testing results. J. Hazard. Mater. 2009, 172, 108–116. [Google Scholar] [CrossRef]
- Zhang, L.; Ye, X.; Feng, H.; Jing, Y.; Ouyang, T.; Yu, X.; Liang, R.; Gao, C.; Chen, W. Heavy metal contamination in western Xiamen Bay sediments and its vicinity, China. Mar. Pollut. Bull. 2007, 54, 974–982. [Google Scholar] [CrossRef]
- Hu, G.; Lin, C.; Yang, Q.; Yan, Y.; Huang, H.; Yu, R.; Cui, J.; Yan, Y. Distribution and source appointment of rare earth elements in offshore sediments of Western Xiamen Bay, Southeast China. J. Geochem. Explor. 2019, 201, 31–39. [Google Scholar] [CrossRef]
- Lin, P.; Guo, L.; Chen, M.; Cai, Y. Distribution, partitioning and mixing behavior of phosphorus species in the Jiulong River estuary. Mar. Chem. 2013, 157, 93–105. [Google Scholar] [CrossRef]
- Yu, W.; Zhang, L.; Ricci, P.F.; Chen, B.; Huang, H. Coastal ecological risk assessment in regional scale: Application of the relative risk model to Xiamen Bay, China. Ocean Coast. Manag. 2015, 108, 131–139. [Google Scholar] [CrossRef]
- Huang, W.; Corbett, J.J.; Jin, D. Regional economic and environmental analysis as a decision support for marine spatial planning in Xiamen. Mar. Policy 2015, 51, 555–562. [Google Scholar] [CrossRef]
- Dalia, M.S.; Aly Salem, A.K.A.E. Comprehens ive risk assessment of heavy metals in surface sediments along the Egyptian Red Sea coast. Egypt. J. Aquat. Res. 2014, 40, 349–362. [Google Scholar]
- Wang, S.; Liu, J.; Li, J.; Xu, G.; Qiu, J.; Chen, B. Environmental magnetic parameter characteristics as indicators of heavy metal pollution in the surface sediments off the Zhoushan Islands in the East China Sea. Mar. Pollut. Bull. 2020, 150, 110642. [Google Scholar] [CrossRef]
- Usman, Q.A.; Muhammad, S.; Ali, W.; Yousaf, S.; Jadoon, I.A. Spatial distribution and provenance of heavy metal contamination in the sediments of the Indus River and its tributaries, North Pakistan: Evaluation of pollution and potential risks. Environ. Technol. Innov. 2021, 21, 101184. [Google Scholar] [CrossRef]
- Bastami, K.D.; Bagheri, H.; Kheirabadi, V.; Zaferani, G.G.; Teymori, M.B.; Hamzehpoor, A.; Soltani, F.; Haghparast, S.; Harami, S.R.M.; Ghorghani, N.F.; et al. Distribution and ecological risk assessment of heavy metals in surface sediments along southeast coast of the Caspian Sea. Mar. Pollut. Bull. 2014, 81, 262–267. [Google Scholar] [CrossRef]
- James, P.B.; Godwin, A.A.; Wayde, N.M.; Ashantha, G. Enrichment, distribution and sources of heavy metals in the sediments of Deception Bay, Queensland, Australia. Mar. Pollut. Bull. 2014, 81, 248–255. [Google Scholar]
- Liu, P.; Hu, W.; Tian, K.; Huang, B.; Zhao, Y.; Wang, X.; Zhou, Y.; Shi, B.; Kwon, B.; Choi, K.; et al. Accumulation and ecological risk of heavy metals in soils along the coastal areas of the Bohai Sea and the Yellow Sea: A comparative study of China and South Korea. Environ. Int. 2020, 137, 105519. [Google Scholar] [CrossRef]
- Muller, G. Index of Geoaccumulation in Sediments of the Rhine River. Geo. J. 1969, 2, 109–118. [Google Scholar]
- Xu, F.; Liu, Z.; Yingchang, C.; Qiu, L.; Feng, J.; Xu, F.; Tian, X. Assessment of heavy metal contamination in urban river sediments in the Jiaozhou Bay catchment, Qingdao, China. Catena 2017, 150, 9–16. [Google Scholar] [CrossRef]
- Joy, A.; P P, A.; R, R.; Mathew, J.; Mathew, A.; Gopinath, A. Spatial variation of trace element concentration and contamination assessment in the coral reef sediments of Lakshadweep Archipelago, Indian Ocean. Mar. Pollut. Bull. 2019, 146, 106–116. [Google Scholar] [CrossRef]
- Hoang, H.-G.; Lin, C.; Tran, H.-T.; Chiang, C.-F.; Bui, X.-T.; Cheruiyot, N.K.; Shern, C.-C.; Lee, C.-W. Heavy metal contamination trends in surface water and sediments of a river in a highly-industrialized region. Environ. Technol. Innov. 2020, 20, 101043. [Google Scholar] [CrossRef]
- Rajeshkumar, S.; Liu, Y.; Zhang, X.; Ravikumar, B.; Bai, G.; Li, X. Studies on seasonal pollution of heavy metals in water, sediment, fish and oyster from the Meiliang Bay of Taihu Lake in China. Chemosphere 2018, 191, 626–638. [Google Scholar] [CrossRef] [PubMed]
- Pratap, A.; Mani, F.S.; Prasad, S. Heavy metals contamination and risk assessment in sediments of Laucala Bay, Suva, Fiji. Mar. Pollut. Bull. 2020, 156, 111238. [Google Scholar] [CrossRef] [PubMed]
- Håkanson, L. An ecological risk index for aquatic pollution control: A sedimentological approach. Pergamon 1980, 14, 975–1001. [Google Scholar] [CrossRef]
- Liu, X.; Zhang, L. Concentration, risk assessment, and source identification of heavy metals in surface sediments in Yinghai: A shellfish cultivation zone in Jiaozhou Bay, China. Mar. Pollut. Bull. 2017, 121, 216–221. [Google Scholar] [CrossRef]
- Liang, X.; Song, J.; Duan, L.; Yuan, H.; Li, X.; Li, N.; Qu, B.; Wang, Q.; Xing, J. Source identification and risk assessment based on fractionation of heavy metals in surface sediments of Jiaozhou Bay, China. Mar. Pollut. Bull. 2018, 128, 548–556. [Google Scholar] [CrossRef]
- Liu, Q.; Jia, Z.; Li, S.; Hu, J. Assessment of heavy metal pollution, distribution and quantitative source apportionment in surface sediments along a partially mixed estuary (Modaomen, China). Chemosphere 2019, 225, 829–838. [Google Scholar] [CrossRef]
- Vu, C.T.; Lin, C.; Shern, C.-C.; Yeh, G.; Le, V.G.; Tran, H.T. Contamination, ecological risk and source apportionment of heavy metals in sediments and water of a contaminated river in Taiwan. Ecol. Indic. 2017, 82, 32–42. [Google Scholar] [CrossRef]
- Ding, X.; Ye, S.; Laws, E.A.; Mozdzer, T.J.; Yuan, H.; Zhao, G.; Yang, S.; He, L.; Wang, J. The concentration distribution and pollution assessment of heavy metals in surface sediments of the Bohai Bay, China. Mar. Pollut. Bull. 2019, 149, 110497. [Google Scholar] [CrossRef]
- Mao, L.; Ye, H.; Li, F.; Tao, H.; Shi, L.; Chen, L.; Shi, W.; Yan, G.; Chen, H. Source-oriented variation in trace metal distribution and fractionation in sediments from developing aquaculture area—A case study in south Hangzhou bay, China. Mar. Pollut. Bull. 2017, 125, 389–398. [Google Scholar] [CrossRef]
- Zhao, G.; Ye, S.; Yuan, H.; Ding, X.; Wang, J. Distribution and contamination of heavy metals in surface sediments of the Daya Bay and adjacent shelf, China. Mar. Pollut. Bull. 2016, 112, 420–426. [Google Scholar] [CrossRef]
- Christophoridis, C.; Bourliva, A.; Evgenakis, E.; Papadopoulou, L.; Fytianos, K. Effects of anthropogenic activities on the levels of heavy metals in marine surface sediments of the Thessaloniki Bay, Northern Greece: Spatial distribution, sources and contamination assessment. Microchem. J. 2019, 149, 104001. [Google Scholar] [CrossRef]
- State Oceanic Administration. Marine Sediment Quality; The People’s Republic of China National Standards: Beijing, China, 2002. (In Chinese)
- Zhai, B.; Zhang, X.; Wang, L.; Zhang, Z.; Zou, L.; Sun, Z.; Jiang, Y. Concentration distribution and assessment of heavy metals in surface sediments in the Zhoushan Islands coastal sea, East China Sea. Mar. Pollut. Bull. 2021, 164, 112096. [Google Scholar] [CrossRef]
- Pinedo, S.; Jordana, E.; Flagella, M.M.; Ballesteros, E. Relationships Between Heavy Metals Contamination in Shallow Marine Sediments with Industrial and Urban Development in Catalonia (Northwestern Mediterranean Sea). Water Air Soil Pollut. 2014, 225, 1–16. [Google Scholar] [CrossRef]
- Qutu, J.; Junyu, H.; Guanqiong, Y.; George, C. Heavy metal contamination assessment of surface sediments of the East Zhejiang coastal area during 2012–2015. Ecotox. Environ. Safe. 2018, 163, 444–455. [Google Scholar] [CrossRef]
- Li, F.; Mao, L.; Jia, Y.; Gu, Z.; Shi, W.; Chen, L.; Ye, H. Distribution and risk assessment of trace metals in sediments from Yangtze River estuary and Hangzhou Bay, China. Environ. Sci. Pollut. Res. 2018, 25, 855–866. [Google Scholar] [CrossRef]
- Zhang, A.; Wang, L.; Zhao, S.; Yang, X.; Zhao, Q.; Zhang, X.; Yuan, X. Heavy metals in seawater and sediments from the northern Liaodong Bay of China: Levels, distribution and potential risks. Reg. Stud. Mar. Sci. 2017, 11, 32–42. [Google Scholar] [CrossRef]
- Xu, F.; Hu, B.; Yuan, S.; Zhao, Y.; Dou, Y.; Jiang, Z.; Yin, X. Heavy metals in surface sediments of the continental shelf of the South Yellow Sea and East China Sea: Sources, distribution and contamination. Catena 2018, 160, 194–200. [Google Scholar] [CrossRef]
- Kucuksezgin, F.; Kontas, A.; Uluturhan, E. Evaluations of heavy metal pollution in sediment and Mullus barbatus from the Izmir Bay (Eastern Aegean) during 1997–2009. Mar. Pollut. Bull. 2011, 62, 1562–1571. [Google Scholar] [CrossRef]
- El Bilali, L.; Rasmussen, P.E.; Hall, G.E.M.; Fortin, D. Role of sediment composition in trace metal distribution in lake sediments. Appl. Geochem. 2002, 17, 1171–1181. [Google Scholar] [CrossRef]
- Ghrefat, H.; Yusuf, N. Assessing Mn, Fe, Cu, Zn, and Cd pollution in bottom sediments of Wadi Al-Arab Dam, Jordan. Chemosphere 2006, 65, 2114–2121. [Google Scholar] [CrossRef]
- Cornu, S.; Lucas, Y.; Lebon, E.; Ambrosi, J.P.; Luizão, F.; Rouiller, J.; Bonnay, M.; Neal, C. Evidence of titanium mobility in soil profiles, Manaus, central Amazonia. Geoderma 1999, 91, 281–295. [Google Scholar] [CrossRef]
- Cao, L.; Hong, G.H.; Liu, S. Metal elements in the bottom sediments of the Changjiang Estuary and its adjacent continental shelf of the East China Sea. Mar. Pollut. Bull. 2015, 95, 458–468. [Google Scholar] [CrossRef]









| PTEs Pollution Index | Cu | Pb | Zn | Cd | Cr | As | Hg | PLI | |
|---|---|---|---|---|---|---|---|---|---|
| CF | Min. | 0.03 | 0.62 | 0.25 | 0.49 | 0.03 | 0.25 | 0.24 | 0.19 |
| Max. | 4.64 | 3.41 | 2.89 | 6.45 | 1.17 | 1.70 | 6.40 | 1.96 | |
| Mean | 1.31 | 2.06 | 1.23 | 2.13 | 0.34 | 0.87 | 3.33 | 1.19 | |
Publisher’s Note: MDPI stays neutral with regard to jurisdictional claims in published maps and institutional affiliations. |
© 2021 by the authors. Licensee MDPI, Basel, Switzerland. This article is an open access article distributed under the terms and conditions of the Creative Commons Attribution (CC BY) license (https://creativecommons.org/licenses/by/4.0/).
Share and Cite
Wang, W.; Lin, C.; Wang, L.; Jiang, R.; Liu, Y.; Lin, H.; Chen, J. Effects of Human Activities on the Spatial Distribution, Ecological Risk and Sources of PTEs in Coastal Sediments. Int. J. Environ. Res. Public Health 2021, 18, 12476. https://doi.org/10.3390/ijerph182312476
Wang W, Lin C, Wang L, Jiang R, Liu Y, Lin H, Chen J. Effects of Human Activities on the Spatial Distribution, Ecological Risk and Sources of PTEs in Coastal Sediments. International Journal of Environmental Research and Public Health. 2021; 18(23):12476. https://doi.org/10.3390/ijerph182312476
Chicago/Turabian StyleWang, Weili, Cai Lin, Lingqing Wang, Ronggen Jiang, Yang Liu, Hui Lin, and Jinmin Chen. 2021. "Effects of Human Activities on the Spatial Distribution, Ecological Risk and Sources of PTEs in Coastal Sediments" International Journal of Environmental Research and Public Health 18, no. 23: 12476. https://doi.org/10.3390/ijerph182312476
APA StyleWang, W., Lin, C., Wang, L., Jiang, R., Liu, Y., Lin, H., & Chen, J. (2021). Effects of Human Activities on the Spatial Distribution, Ecological Risk and Sources of PTEs in Coastal Sediments. International Journal of Environmental Research and Public Health, 18(23), 12476. https://doi.org/10.3390/ijerph182312476

