The Intersections of Ethnicity, Nativity Status and Socioeconomic Position in Relation to Periodontal Status: A Cross-Sectional Study in London, England
Abstract
:1. Introduction
2. Materials and Methods
2.1. Study Population
2.2. Assessment of Variables
2.3. Data Modelling
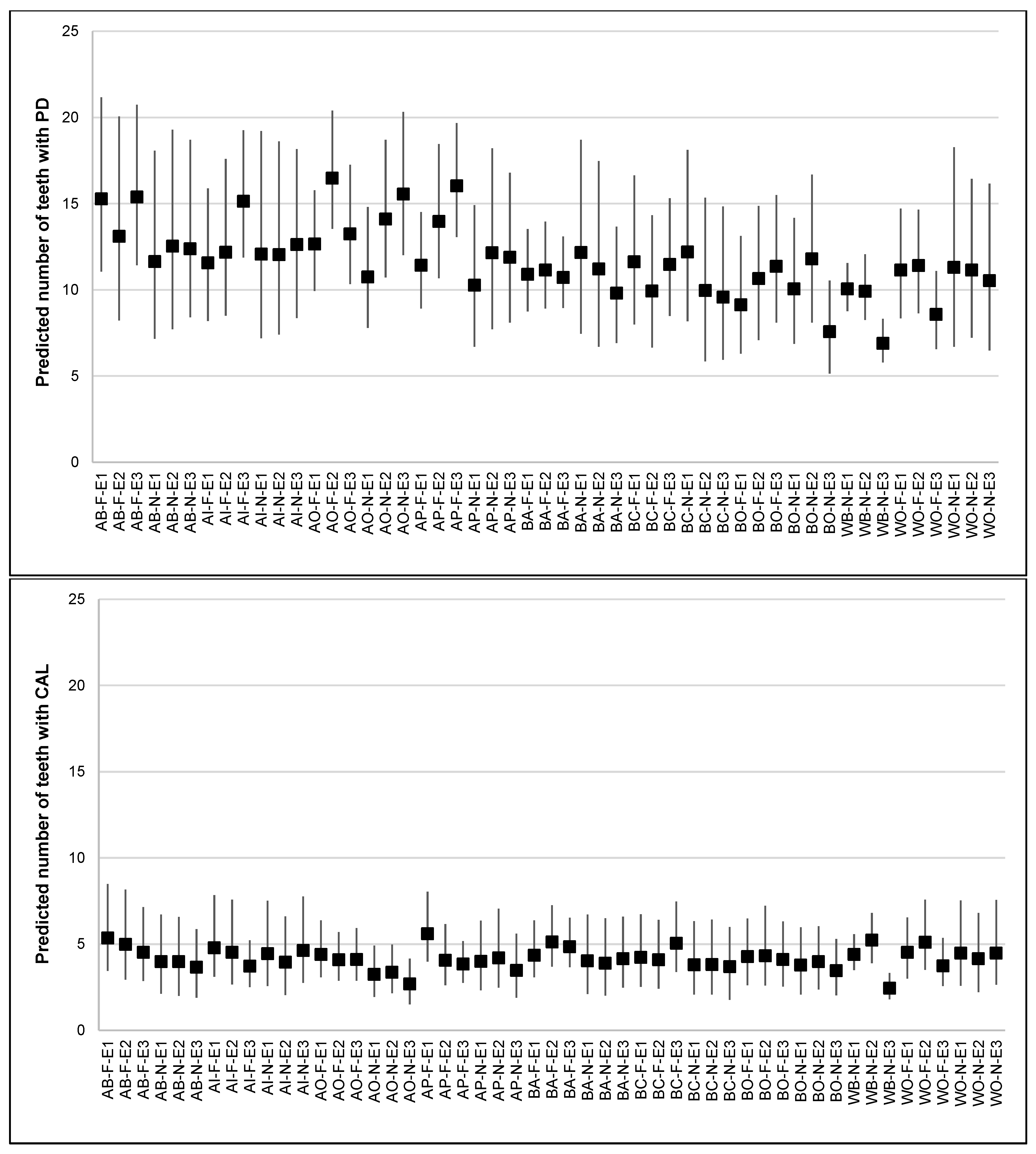
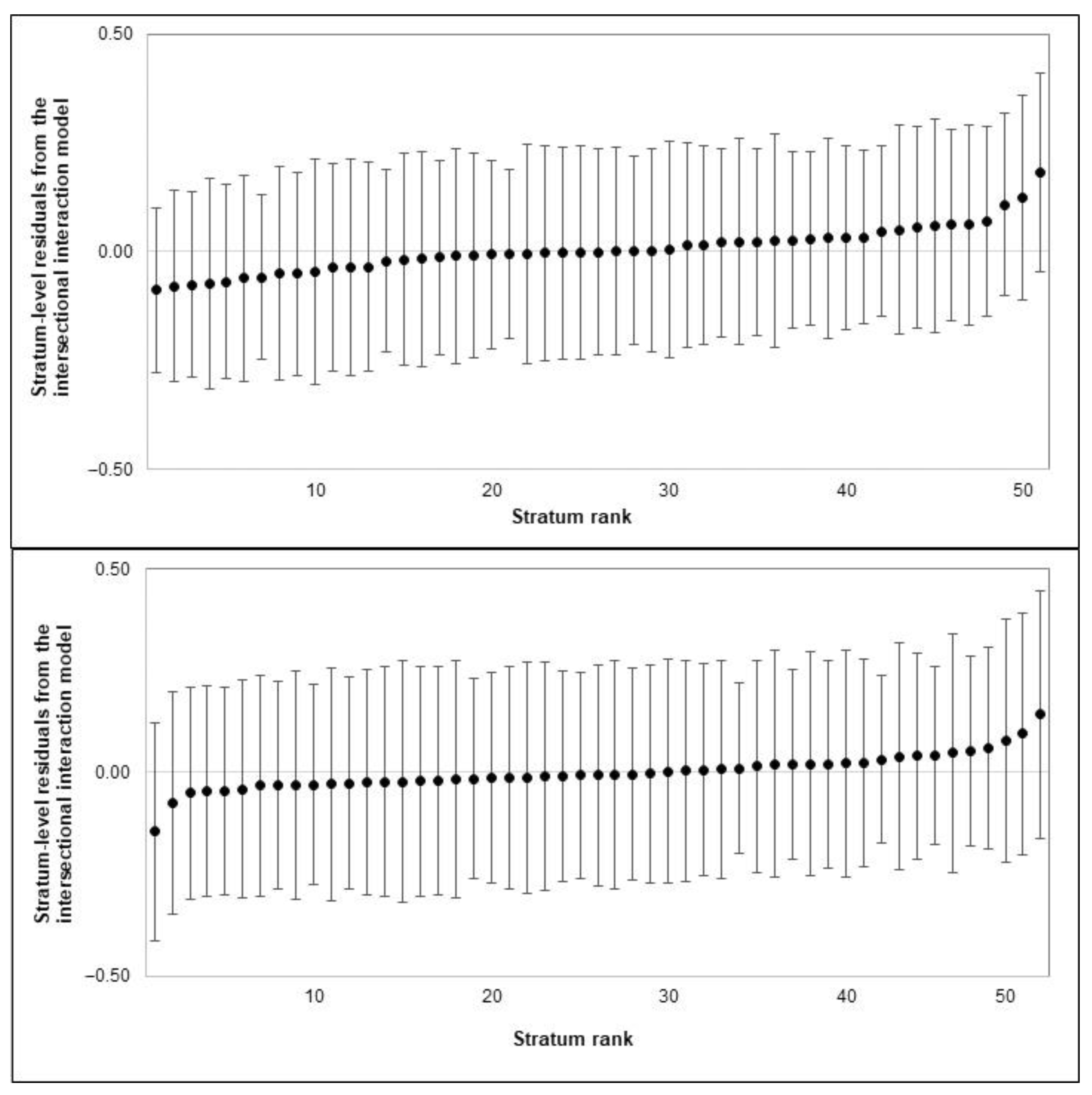
3. Results
4. Discussion
5. Conclusions
Author Contributions
Funding
Institutional Review Board Statement
Informed Consent Statement
Data Availability Statement
Conflicts of Interest
References
- Papapanou, P.N.; Sanz, M.; Buduneli, N.; Dietrich, T.; Feres, M.; Fine, D.H.; Flemmig, T.F.; Garcia, R.; Giannobile, W.V.; Graziani, F.; et al. Periodontitis: Consensus report of workgroup 2 of the 2017 World Workshop on the Classification of Periodontal and Peri-Implant Diseases and Conditions. J. Periodontol. 2018, 89 (Suppl. 1), S173–S182. [Google Scholar] [CrossRef] [PubMed] [Green Version]
- Bernabe, E.; Marcenes, W.; Hernandez, C.R.; Bailey, J.; Abreu, L.G.; Alipour, V.; Amini, S.; Arabloo, J.; Arefi, Z.; Arora, A.; et al. Global, Regional, and National Levels and Trends in Burden of Oral Conditions from 1990 to 2017: A Systematic Analysis for the Global Burden of Disease 2017 Study. J. Dent. Res. 2020, 99, 362–373. [Google Scholar] [PubMed]
- Buset, S.L.; Walter, C.; Friedmann, A.; Weiger, R.; Borgnakke, W.S.; Zitzmann, N.U. Are periodontal diseases really silent? A systematic review of their effect on quality of life. J. Clin. Periodontol. 2016, 43, 333–344. [Google Scholar] [CrossRef] [PubMed]
- Borrell, L.N.; Crawford, N.D. Socioeconomic position indicators and periodontitis: Examining the evidence. Periodontology 2000 2012, 58, 69–83. [Google Scholar] [CrossRef] [PubMed]
- Singh, A.; Peres, M.A.; Watt, R.G. The Relationship between Income and Oral Health: A Critical Review. J. Dent. Res. 2019, 98, 853–860. [Google Scholar] [CrossRef] [PubMed]
- Borrell, L.N.; Lynch, J.; Neighbors, H.; Burt, B.A.; Gillespie, B.W. Is there homogeneity in periodontal health between African Americans and Mexican Americans? Ethn. Dis. 2002, 12, 97–110. [Google Scholar]
- Borrell, L.N.; Crawford, N.D. Social disparities in periodontitis among United States adults 1999–2004. Community Dent. Oral Epidemiol. 2008, 36, 383–391. [Google Scholar] [CrossRef]
- Sanders, A.E.; Campbell, S.M.; Mauriello, S.M.; Beck, J.D.; Jimenez, M.C.; Kaste, L.M.; Singer, R.H.; Beaver, S.M.; Finlayson, T.L.; Badner, V.M. Heterogeneity in periodontitis prevalence in the Hispanic Community Health Study/Study of Latinos. Ann. Epidemiol. 2014, 24, 455–462. [Google Scholar] [CrossRef] [Green Version]
- Arora, G.; Mackay, D.F.; Conway, D.I.; Pell, J.P. Ethnic differences in oral health and use of dental services: Cross-sectional study using the 2009 Adult Dental Health Survey. BMC Oral Health 2016, 17, 1. [Google Scholar] [CrossRef] [Green Version]
- Delgado-Angulo, E.K.; Bernabé, E.; Marcenes, W. Ethnic inequalities in periodontal disease among British adults. J. Clin. Periodontol. 2016, 43, 926–933. [Google Scholar] [CrossRef] [Green Version]
- Burns, R.; Zhang, C.X.; Patel, P.; Eley, I.; Campos-Matos, I.; Aldridge, R.W. Migration health research in the United Kingdom: A scoping review. J. Migr. Health 2021, 4, 100061. [Google Scholar] [CrossRef]
- Abubakar, I.; Aldridge, R.W.; Devakumar, D.; Orcutt, M.; Burns, R.; Barreto, M.L.; Dhavan, P.; Fouad, F.M.; Groce, N.; Guo, Y.; et al. The UCL-Lancet Commission on Migration and Health: The health of a world on the move. Lancet 2018, 392, 2606–2654. [Google Scholar] [CrossRef] [Green Version]
- Berry, J.W. Immigration, acculturation, and adaptation. Appl. Psychol. 1997, 46, 5–34. [Google Scholar] [CrossRef]
- Sam, D.L.; Berry, J.W. Acculturation: When Individuals and Groups of Different Cultural Backgrounds Meet. Perspect. Psychol. Sci. 2010, 5, 472–481. [Google Scholar] [CrossRef] [Green Version]
- Viruell-Fuentes, E.A.; Miranda, P.Y.; Abdulrahim, S. More than culture: Structural racism, intersectionality theory, and immigrant health. Soc. Sci. Med. 2012, 75, 2099–2106. [Google Scholar] [CrossRef]
- Castañeda, H.; Holmes, S.M.; Madrigal, D.S.; Young, M.E.; Beyeler, N.; Quesada, J. Immigration as a social determinant of health. Annu. Rev. Public Health 2015, 36, 375–392. [Google Scholar] [CrossRef]
- Bowleg, L. The problem with the phrase women and minorities: Intersectionality-an important theoretical framework for public health. Am. J. Public Health 2012, 102, 1267–1273. [Google Scholar] [CrossRef]
- Green, M.A.; Evans, C.R.; Subramanian, S.V. Can intersectionality theory enrich population health research? Soc. Sci. Med. 2017, 178, 214–216. [Google Scholar] [CrossRef]
- Roura, M. Unravelling migrants’ health paradoxes: A transdisciplinary research agenda. J. Epidemiol. Community Health 2017, 71, 870–873. [Google Scholar] [CrossRef]
- Richman, L.S.; Zucker, A.N. Quantifying intersectionality: An important advancement for health inequality research. Soc. Sci. Med. 2019, 226, 246–248. [Google Scholar] [CrossRef]
- Hossin, M.Z. International migration and health: It is time to go beyond conventional theoretical frameworks. BMJ Glob. Health 2020, 5, e001938. [Google Scholar] [CrossRef] [Green Version]
- Gao, X.L.; McGrath, C. A review on the oral health impacts of acculturation. J. Immigr. Minor. Health 2011, 13, 202–213. [Google Scholar] [CrossRef] [Green Version]
- Dahlan, R.; Badri, P.; Saltaji, H.; Amin, M. Impact of acculturation on oral health among immigrants and ethnic minorities: A systematic review. PLoS ONE 2019, 14, e0212891. [Google Scholar] [CrossRef] [Green Version]
- Wilson, F.A.; Wang, Y.; Borrell, L.N.; Bae, S.; Stimpson, J.P. Disparities in oral health by immigration status in the United States. J. Am. Dent. Assoc. 2018, 149, 414-421.e3. [Google Scholar] [CrossRef]
- Luo, H.; Hybels, C.F.; Wu, B. Acculturation, depression and oral health of immigrants in the USA. Int. Dent. J. 2018, 68, 245–252. [Google Scholar] [CrossRef]
- Delgado-Angulo, E.K.; Marcenes, W.; Harding, S.; Bernabé, E. Ethnicity, migration status and dental caries experience among adults in East London. Community Dent. Oral Epidemiol. 2018, 46, 392–399. [Google Scholar] [CrossRef]
- Delgado-Angulo, E.K.; Zúñiga Abad, F.; Scambler, S.; Bernabé, E. Is there a healthy migrant effect in relation to oral health among adults in England? Public Health 2020, 181, 53–58. [Google Scholar] [CrossRef]
- Office for National Statistics. Census Aggregate Data (Edition: May 2011); UK Data Service: London, UK, 2011. [Google Scholar] [CrossRef]
- Evans, C.R.; Williams, D.R.; Onnela, J.P.; Subramanian, S.V. A multilevel approach to modeling health inequalities at the intersection of multiple social identities. Soc. Sci. Med. 2018, 203, 64–73. [Google Scholar] [CrossRef]
- Merlo, J. Multilevel analysis of individual heterogeneity and discriminatory accuracy (MAIHDA) within an intersectional framework. Soc. Sci. Med. 2018, 203, 74–80. [Google Scholar] [CrossRef]
- Leckie, G.; Browne, W.J.; Goldstein, H.; Merlo, J.; Austin, P.C. Partitioning variation in multilevel models for count data. Psychol. Methods 2020, 25, 787–801. [Google Scholar] [CrossRef]
- Axelsson Fisk, S.; Mulinari, S.; Wemrell, M.; Leckie, G.; Perez Vicente, R.; Merlo, J. Chronic Obstructive Pulmonary Disease in Sweden: An intersectional multilevel analysis of individual heterogeneity and discriminatory accuracy. SSM Popul. Health 2018, 4, 334–346. [Google Scholar] [CrossRef] [PubMed]
- Rasbash, J.; Steele, F.; Browne, W.J.; Goldstein, H. A User’s Guide to MLwiN, v3.05; Centre for Multilevel Modelling, University of Bristol: Bristol, UK, 2020. [Google Scholar]
- Leckie, G.; Charlton, C. Runmlwin—A program to run the MLwiN multilevel modelling software from within Stata. J. Stat. Softw. 2013, 52, 1–40. [Google Scholar]
- Browne, W.J. MCMC Estmation in MLwiN v3.03; Centre for Multilevel Modelling, University of Bristol: Bristol, UK, 2019. [Google Scholar]
- Bécares, L.; Shaw, R.; Nazroo, J.; Stafford, M.; Albor, C.; Atkin, K.; Kiernan, K.; Wilkinson, R.; Pickett, K. Ethnic density effects on physical morbidity, mortality, and health behaviors: A systematic review of the literature. Am. J. Public Health 2012, 102, e33–e66. [Google Scholar] [CrossRef] [PubMed]


| Explanatory Variables | Study Sample (n = 1936) | Teeth with PD | Teeth with CAL | |||
|---|---|---|---|---|---|---|
| n | % | Mean | (SD) | Mean | (SD) | |
| Ethnicity | ||||||
| White British | 547 | 28.3% | 8.7 | (8.7) | 6.2 | (3.9) |
| White Other | 158 | 8.2% | 9.3 | (8.7) | 6.3 | (4.9) |
| Black African | 286 | 14.8% | 10.5 | (8.7) | 7.6 | (5.0) |
| Black Caribbean | 90 | 4.7% | 9.6 | (8.2) | 5.1 | (4.1) |
| Black Other | 137 | 7.1% | 8.6 | (8.0) | 6.1 | (3.5) |
| Pakistani | 206 | 10.6% | 14.2 | (11.0) | 7.6 | (4.4) |
| Indian | 112 | 5.8% | 14.7 | (10.5) | 7.5 | (4.5) |
| Bangladeshi | 73 | 3.8% | 17.4 | (8.9) | 7.6 | (5.5) |
| Asian Other | 327 | 16.9% | 14.9 | (11.1) | 5.8 | (3.3) |
| p-value a | <0.001 | 0.158 | ||||
| Nativity | ||||||
| Native-born | 873 | 45.1% | 9.8 | (9.4) | 5.9 | (3.4) |
| Foreign-born | 1063 | 54.9% | 12.7 | (10.1) | 7.1 | (4.8) |
| p-value a | <0.001 | <0.001 | ||||
| Education | ||||||
| Low | 652 | 33.7% | 10.7 | (9.2) | 6.9 | (4.6) |
| Medium | 490 | 25.3% | 12.2 | (10.3) | 7.5 | (4.7) |
| High | 794 | 41.0% | 11.3 | (10.2) | 5.8 | (3.4) |
| p-value a | 0.154 | 0.003 | ||||
| Sex | ||||||
| Men | 623 | 32.2% | 12.1 | (10.0) | 5.0 | (7.1) |
| Women | 1313 | 67.8% | 11.0 | (9.8) | 3.8 | (6.4) |
| p-value a | 0.103 | 0.002 | ||||
| Age group | ||||||
| 16–24 years | 165 | 8.5% | 9.1 | (9.4) | 1.7 | (4.5) |
| 25–34 years | 712 | 36.8% | 12.0 | (10.1) | 3.6 | (6.5) |
| 35–44 years | 710 | 36.7% | 11.0 | (10.1) | 3.8 | (6.2) |
| 45–54 years | 208 | 10.7% | 11.8 | (9.1) | 6.6 | (7.6) |
| 55–65 years | 141 | 7.3% | 11.9 | (9.1) | 8.1 | (7.7) |
| p-value a | 0.375 | <0.001 | ||||
| Teeth with PD | Teeth with CAL | |||
|---|---|---|---|---|
| Model 1A a | Model 1B a | Model 2A | Model 2B | |
| RR (95% CI) | RR (95% CI) | RR (95% CI) | RR (95% CI) | |
| Fixed effects (n = 1936 adults) | ||||
| Ethnicity (reference group: White British) | ||||
| White Other | 1.07 (0.81–1.39) | 0.96 (0.63–1.36) | ||
| Black African | 1.19 (0.92–1.61) | 1.12 (0.77–1.67) | ||
| Black Caribbean | 1.11 (0.78–1.47) | 0.80 (0.46–1.27) | ||
| Black Other | 1.03 (0.78–1.35) | 0.83 (0.53–1.20) | ||
| Pakistani | 1.62 (1.22–2.14) | 0.89 (0.61–1.25) | ||
| Indian | 1.70 (1.25–2.30) | 0.94 (0.60–1.49) | ||
| Bangladeshi | 2.17 (1.51–3.04) | 1.11 (0.65–1.79) | ||
| Asian Other | 1.77 (1.40–2.26) | 0.70 (0.50–0.94) | ||
| Nativity status (reference group: Native-born) | ||||
| Foreign-born | 1.16 (1.01–1.30) | 1.60 (1.24–1.92) | ||
| Education (reference group: Low) | ||||
| Medium | 1.14 (0.95–1.36) | 1.03 (0.81–1.35) | ||
| High | 0.98 (0.84–1.17) | 0.74 (0.60–0.91) | ||
| Sex (reference group: Men) | ||||
| Women | 0.93 (0.84–1.02) | 0.81 (0.66–0.96) | ||
| Age groups (reference group: 16–24 years) | ||||
| 25–34 years | 1.29 (1.07–1.46) | 2.19 (1.73–2.78) | ||
| 35–44 years | 1.23 (1.02–1.41) | 2.48 (1.97–3.06) | ||
| 45–54 years | 1.40 (1.12–1.69) | 4.08 (2.91–5.46) | ||
| 55–65 years | 1.39 (1.08–1.75) | 4.90 (3.41–6.57) | ||
| Intercept | 11.39 (10.41–12.47) | 6.47 (5.27–8.02) | 4.01 (3.43–4.62) | 1.76 (1.29–2.29) |
| Random effects (n = 51 intersectional social strata): | ||||
| Between-stratum variance | 0.06 (0.03–0.12) | 0.02 (0.003–0.04) | 0.08 (0.02–0.19) | 0.02 (0.001–0.07) |
| VPC (%) | 4.8% | 1.3% | 2.1% | 0.6% |
| PCV (%) | 73.6% | 74.0% | ||
Publisher’s Note: MDPI stays neutral with regard to jurisdictional claims in published maps and institutional affiliations. |
© 2021 by the authors. Licensee MDPI, Basel, Switzerland. This article is an open access article distributed under the terms and conditions of the Creative Commons Attribution (CC BY) license (https://creativecommons.org/licenses/by/4.0/).
Share and Cite
Shaharyar, S.A.; Bernabé, E.; Delgado-Angulo, E.K. The Intersections of Ethnicity, Nativity Status and Socioeconomic Position in Relation to Periodontal Status: A Cross-Sectional Study in London, England. Int. J. Environ. Res. Public Health 2021, 18, 10519. https://doi.org/10.3390/ijerph181910519
Shaharyar SA, Bernabé E, Delgado-Angulo EK. The Intersections of Ethnicity, Nativity Status and Socioeconomic Position in Relation to Periodontal Status: A Cross-Sectional Study in London, England. International Journal of Environmental Research and Public Health. 2021; 18(19):10519. https://doi.org/10.3390/ijerph181910519
Chicago/Turabian StyleShaharyar, Syeda Ammara, Eduardo Bernabé, and Elsa Karina Delgado-Angulo. 2021. "The Intersections of Ethnicity, Nativity Status and Socioeconomic Position in Relation to Periodontal Status: A Cross-Sectional Study in London, England" International Journal of Environmental Research and Public Health 18, no. 19: 10519. https://doi.org/10.3390/ijerph181910519
APA StyleShaharyar, S. A., Bernabé, E., & Delgado-Angulo, E. K. (2021). The Intersections of Ethnicity, Nativity Status and Socioeconomic Position in Relation to Periodontal Status: A Cross-Sectional Study in London, England. International Journal of Environmental Research and Public Health, 18(19), 10519. https://doi.org/10.3390/ijerph181910519

