Urinary Concentrations of Bisphenol Mixtures during Pregnancy and Birth Outcomes: The MAKE Study
Abstract
:1. Introduction
2. Materials and Methods
2.1. Study Design and Participants
2.2. Sample Collection and Measurement of Urinary Bisphenol Concentrations
2.3. Assessment of Birth Outcomes
2.4. Statistical Analysis
2.4.1. Linear Analyses
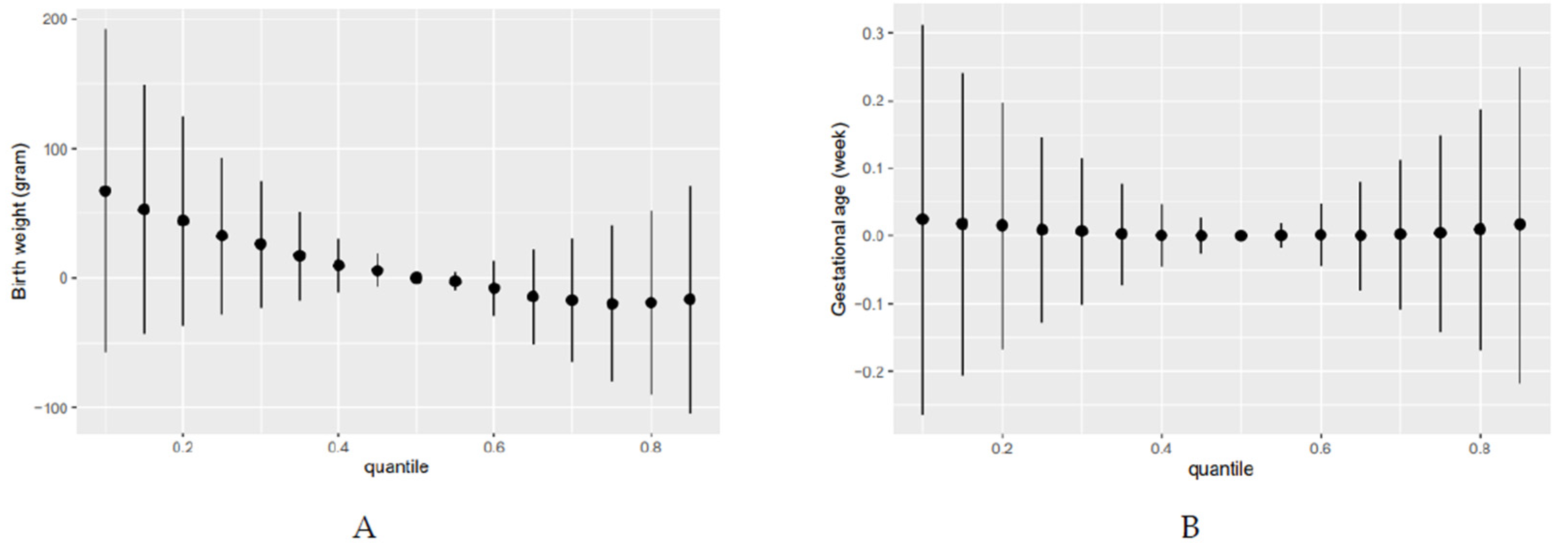
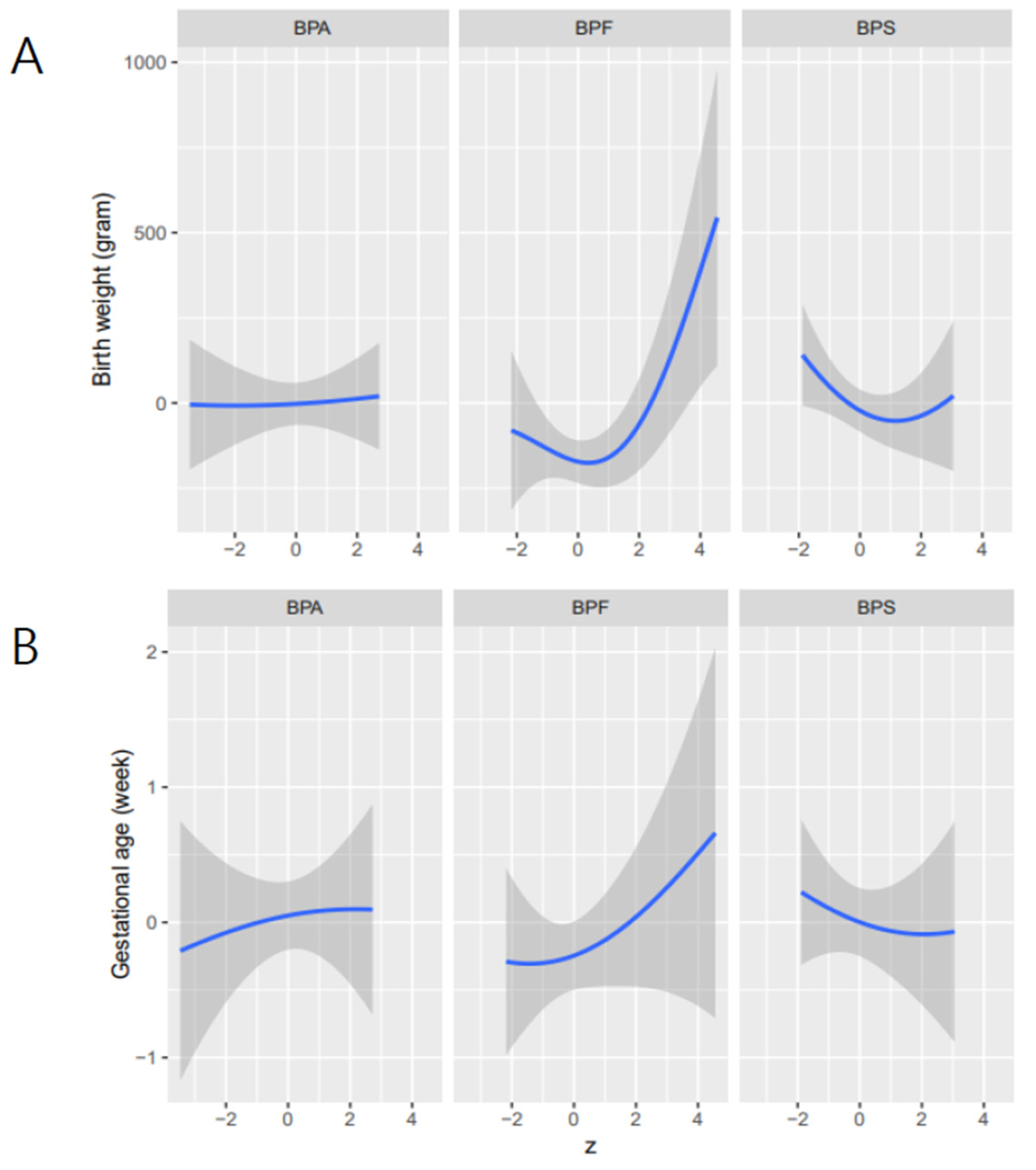
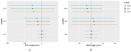
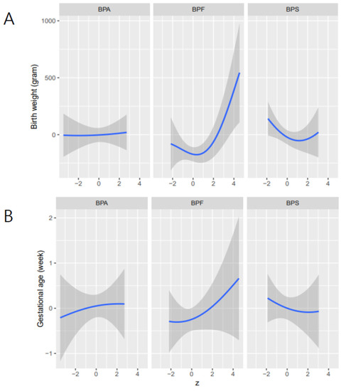
2.4.2. Mixture Analyses
3. Results
3.1. Maternal and Infant Characteristics and the Birth Outcomes
3.2. Urinary Bisphenol Concentrations
3.3. Multivariable Linear Regression on Birth Outcomes
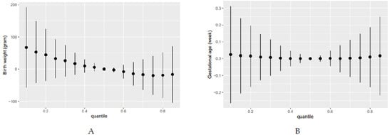
3.4. BKMR on the Birth Outcomes
4. Discussion
5. Conclusions
Supplementary Materials
Author Contributions
Funding
Institutional Review Board Statement
Informed Consent Statement
Data Availability Statement
Acknowledgments
Conflicts of Interest
References
- Hu, J.; Zhao, H.; Braun, J.M.; Zheng, T.; Zhang, B.; Xia, W.; Zhang, W.; Li, J.; Zhou, Y.; Li, H.; et al. Associations of Trimester-Specific Exposure to Bisphenols with Size at Birth: A Chinese Prenatal Cohort Study. Environ. Health Perspect. 2019, 127, 107001. [Google Scholar] [CrossRef] [Green Version]
- Pergialiotis, V.; Kotrogianni, P.; Christopoulos-Timogiannakis, E.; Koutaki, D.; Daskalakis, G.; Papantoniou, N. Bisphenol A and adverse pregnancy outcomes: A systematic review of the literature. J. Matern. Fetal Neonatal Med. 2018, 31, 3320–3327. [Google Scholar] [CrossRef]
- Mustieles, V.; d’Cruz, S.C.; Couderq, S.; Rodríguez-Carrillo, A.; Fini, J.-B.; Hofer, T.; Steffensen, I.-L.; Dirven, H.; Barouki, R.; Olea, N. Bisphenol A and its analogues: A comprehensive review to identify and prioritize effect biomarkers for human biomonitoring. Environ. Int. 2020, 144, 105811. [Google Scholar] [CrossRef] [PubMed]
- Liu, J.; Wattar, N.; Field, C.J.; Dinu, I.; Dewey, D.; Martin, J.W. Exposure and dietary sources of bisphenol A (BPA) and BPA-alternatives among mothers in the APrON cohort study. Environ. Int. 2018, 119, 319–326. [Google Scholar] [CrossRef] [PubMed]
- Kang, S.; Shin, B.H.; Kwon, J.A.; Lee, C.W.; Park, E.K.; Park, E.Y.; Kim, B. Urinary bisphenol A and its analogues and haemato-biochemical alterations of pregnant women in Korea. Environ. Res. 2020, 182, 109104. [Google Scholar] [CrossRef] [PubMed]
- Richter, C.A.; Birnbaum, L.S.; Farabollini, F.; Newbold, R.R.; Rubin, B.S.; Talsness, C.E.; Vandenbergh, J.G.; Walser-Kuntz, D.R.; vom Saal, F.S. In vivo effects of bisphenol A in laboratory rodent studies. Reprod. Toxicol. 2007, 24, 199–224. [Google Scholar] [CrossRef] [Green Version]
- Gauderat, G.; Picard-Hagen, N.; Toutain, P.-L.; Corbel, T.; Viguié, C.; Puel, S.; Lacroix, M.Z.; Mindeguia, P.; Bousquet-Melou, A.; Gayrard, V. Bisphenol A glucuronide deconjugation is a determining factor of fetal exposure to bisphenol A. Environ. Int. 2016, 86, 52–59. [Google Scholar] [CrossRef]
- Liang, J.; Liu, S.; Liu, T.; Yang, C.; Wu, Y.; Tan, H.J.; Wei, B.; Ma, X.; Feng, B.; Jiang, Q.; et al. Association of prenatal exposure to bisphenols and birth size in Zhuang ethnic newborns. Chemosphere 2020, 252, 126422. [Google Scholar] [CrossRef]
- Peretz, J.; Vrooman, L.; Ricke, W.A.; Hunt, P.A.; Ehrlich, S.; Hauser, R.; Padmanabhan, V.; Taylor, H.S.; Swan, S.H.; VandeVoort, C.A. Bisphenol A and reproductive health: Update of experimental and human evidence, 2007–2013. Environ. Health Perspect. 2014, 122, 775–786. [Google Scholar] [CrossRef]
- Tomza-Marciniak, A.; Stępkowska, P.; Kuba, J.; Pilarczyk, B. Effect of bisphenol A on reproductive processes: A review of in vitro, in vivo and epidemiological studies. J. Appl. Toxicol. 2018, 38, 51–80. [Google Scholar] [CrossRef]
- Lee, B.-E.; Park, H.; Hong, Y.-C.; Ha, M.; Kim, Y.; Chang, N.; Kim, B.-N.; Kim, Y.J.; Yu, S.-D.; Ha, E.-H. Prenatal bisphenol A and birth outcomes: MOCEH (Mothers and Children’s Environmental Health) study. Int. J. Hyg. Environ. Health 2014, 217, 328–334. [Google Scholar] [CrossRef]
- Lee, Y.M.; Hong, Y.C.; Ha, M.; Kim, Y.; Park, H.; Kim, H.S.; Ha, E.H. Prenatal Bisphenol-A exposure affects fetal length growth by maternal glutathione transferase polymorphisms, and neonatal exposure affects child volume growth by sex: From multiregional prospective birth cohort MOCEH study. Sci. Total Environ. 2018, 612, 1433–1441. [Google Scholar] [CrossRef]
- Wolff, M.S.; Engel, S.M.; Berkowitz, G.S.; Ye, X.; Silva, M.J.; Zhu, C.; Wetmur, J.; Calafat, A.M. Prenatal phenol and phthalate exposures and birth outcomes. Environ. Health Perspect. 2008, 116, 1092–1097. [Google Scholar] [CrossRef]
- Rochester, J.R.; Bolden, A.L. Bisphenol S and F: A systematic review and comparison of the hormonal activity of bisphenol A substitutes. Environ. Health Perspect. 2015, 123, 643–650. [Google Scholar] [CrossRef] [PubMed]
- Bittner, G.D.; Denison, M.S.; Yang, C.Z.; Stoner, M.A.; He, G. Chemicals having estrogenic activity can be released from some bisphenol A-free, hard and clear, thermoplastic resins. Environ. Health Glob. Access Sci. Source 2014, 13, 103. [Google Scholar] [CrossRef] [PubMed] [Green Version]
- Goodrich, J.M.; Ingle, M.E.; Domino, S.E.; Treadwell, M.C.; Dolinoy, D.C.; Burant, C.; Meeker, J.D.; Padmanabhan, V. First trimester maternal exposures to endocrine disrupting chemicals and metals and fetal size in the Michigan Mother Infant Pairs Study. J. Dev. Orig. Health Dis. 2019, 10, 447. [Google Scholar] [CrossRef] [PubMed]
- Aker, A.M.; Ferguson, K.K.; Rosario, Z.Y.; Mukherjee, B.; Alshawabkeh, A.N.; Cordero, J.F.; Meeker, J.D. The associations between prenatal exposure to triclocarban, phenols and parabens with gestational age and birth weight in northern Puerto Rico. Environ. Res. 2019, 169, 41–51. [Google Scholar] [CrossRef] [PubMed]
- Wan, Y.; Huo, W.; Xu, S.; Zheng, T.; Zhang, B.; Li, Y.; Zhou, A.; Zhang, Y.; Hu, J.; Zhu, Y. Relationship between maternal exposure to bisphenol S and pregnancy duration. Environ. Pollut. 2018, 238, 717–724. [Google Scholar] [CrossRef] [PubMed]
- Mustieles, V.; Williams, P.L.; Fernandez, M.F.; Mínguez-Alarcón, L.; Ford, J.B.; Calafat, A.M.; Hauser, R.; Messerlian, C.; Environment and Reproductive Health (EARTH) Study Team. Maternal and paternal preconception exposure to bisphenols and size at birth. Hum. Reprod. 2018, 33, 1528–1537. [Google Scholar] [CrossRef] [PubMed] [Green Version]
- Braun, J.M.; Gray, K. Challenges to studying the health effects of early life environmental chemical exposures on children’s health. PLoS Biol. 2017, 15, e2002800. [Google Scholar] [CrossRef]
- Hornung, R.W.; Reed, L.D. Estimation of Average Concentration in the Presence of Nondetectable Values. Appl. Occup. Environ. Hyg. 1990, 5, 46–51. [Google Scholar] [CrossRef]
- Miller, R.C.; Brindle, E.; Holman, D.J.; Shofer, J.; Klein, N.A.; Soules, M.R.; O’Connor, K.A. Comparison of specific gravity and creatinine for normalizing urinary reproductive hormone concentrations. Clin. Chem. 2004, 50, 924–932. [Google Scholar] [CrossRef] [PubMed] [Green Version]
- World Health Organization; Regional Office for the Western Pacific. The Asia-Pacific Perspective: Redefining Obesity and Its Treatment; Health Communications Australia: Sydney, Australia, 2000. [Google Scholar]
- Bobb, J.F.; Valeri, L.; Claus Henn, B.; Christiani, D.C.; Wright, R.O.; Mazumdar, M.; Godleski, J.J.; Coull, B.A. Bayesian kernel machine regression for estimating the health effects of multi-pollutant mixtures. Biostatistics 2015, 16, 493–508. [Google Scholar] [CrossRef]
- Bobb, J.F.; Claus Henn, B.; Valeri, L.; Coull, B.A. Statistical software for analyzing the health effects of multiple concurrent exposures via Bayesian kernel machine regression. Environ. Health 2018, 17, 67. [Google Scholar] [CrossRef] [PubMed] [Green Version]
- Meeker, J.D.; Cantonwine, D.E.; Rivera-González, L.O.; Ferguson, K.K.; Mukherjee, B.; Calafat, A.M.; Ye, X.; Anzalota Del Toro, L.V.; Crespo-Hernández, N.; Jiménez-Vélez, B. Distribution, variability, and predictors of urinary concentrations of phenols and parabens among pregnant women in Puerto Rico. Environ. Sci. Technol. 2013, 47, 3439–3447. [Google Scholar] [CrossRef] [PubMed] [Green Version]
- Philippat, C.; Mortamais, M.; Chevrier, C.; Petit, C.; Calafat, A.M.; Ye, X.; Silva, M.J.; Brambilla, C.; Pin, I.; Charles, M.-A. Exposure to phthalates and phenols during pregnancy and offspring size at birth. Environ. Health Perspect. 2012, 120, 464–470. [Google Scholar] [CrossRef] [PubMed]
- Casas, M.; Valvi, D.; Ballesteros-Gomez, A.; Gascon, M.; Fernández, M.F.; Garcia-Esteban, R.; Iñiguez, C.; Martínez, D.; Murcia, M.; Monfort, N. Exposure to bisphenol A and phthalates during pregnancy and ultrasound measures of fetal growth in the INMA-Sabadell cohort. Environ. Health Perspect. 2016, 124, 521–528. [Google Scholar] [CrossRef]
- Philips, E.M.; Jaddoe, V.W.V.; Asimakopoulos, A.G.; Kannan, K.; Steegers, E.A.P.; Santos, S.; Trasande, L. Bisphenol and phthalate concentrations and its determinants among pregnant women in a population-based cohort in the Netherlands, 2004–2005. Environ. Res. 2018, 161, 562–572. [Google Scholar] [CrossRef] [Green Version]
- Ferguson, K.K.; Meeker, J.D.; Cantonwine, D.E.; Mukherjee, B.; Pace, G.G.; Weller, D.; McElrath, T.F. Environmental phenol associations with ultrasound and delivery measures of fetal growth. Environ. Int. 2018, 112, 243–250. [Google Scholar] [CrossRef]
- Smarr, M.M.; Grantz, K.L.; Sundaram, R.; Maisog, J.M.; Kannan, K.; Louis, G.M.B. Parental urinary biomarkers of preconception exposure to bisphenol A and phthalates in relation to birth outcomes. Environ. Health 2015, 14, 73. [Google Scholar] [CrossRef] [Green Version]
- Huo, W.; Xia, W.; Wan, Y.; Zhang, B.; Zhou, A.; Zhang, Y.; Huang, K.; Zhu, Y.; Wu, C.; Peng, Y. Maternal urinary bisphenol A levels and infant low birth weight: A nested case–control study of the Health Baby Cohort in China. Environ. Int. 2015, 85, 96–103. [Google Scholar] [CrossRef]
- Snijder, C.A.; Heederik, D.; Pierik, F.H.; Hofman, A.; Jaddoe, V.W.; Koch, H.M.; Longnecker, M.P.; Burdorf, A. Fetal growth and prenatal exposure to bisphenol A: The generation R study. Environ. Health Perspect. 2013, 121, 393–398. [Google Scholar] [CrossRef] [Green Version]
- Miao, M.; Yuan, W.; Zhu, G.; He, X.; Li, D.-K. In utero exposure to bisphenol-A and its effect on birth weight of offspring. Reprod. Toxicol. 2011, 32, 64–68. [Google Scholar] [CrossRef] [PubMed]
- Cantonwine, D.E.; Ferguson, K.K.; Mukherjee, B.; McElrath, T.F.; Meeker, J.D. Urinary bisphenol A levels during pregnancy and risk of preterm birth. Environ. Health Perspect. 2015, 123, 895–901. [Google Scholar] [CrossRef] [PubMed] [Green Version]
- Myers, J.P.; Zoeller, R.T.; vom Saal, F.S. A clash of old and new scientific concepts in toxicity, with important implications for public health. Environ. Health Perspect. 2009, 117, 1652–1655. [Google Scholar] [CrossRef]
- Vandenberg, L.N.; Colborn, T.; Hayes, T.B.; Heindel, J.J.; Jacobs, D.R., Jr.; Lee, D.H.; Shioda, T.; Soto, A.M.; vom Saal, F.S.; Welshons, W.V.; et al. Hormones and endocrine-disrupting chemicals: Low-dose effects and nonmonotonic dose responses. Endocr. Rev. 2012, 33, 378–455. [Google Scholar] [CrossRef] [PubMed]
- Lazarevic, N.; Barnett, A.G.; Sly, P.D.; Knibbs, L.D. Statistical Methodology in Studies of Prenatal Exposure to Mixtures of Endocrine-Disrupting Chemicals: A Review of Existing Approaches and New Alternatives. Environ. Health Perspect. 2019, 127, 26001. [Google Scholar] [CrossRef]
- Kalloo, G.; Wellenius, G.A.; McCandless, L.; Calafat, A.M.; Sjodin, A.; Romano, M.E.; Karagas, M.R.; Chen, A.; Yolton, K.; Lanphear, B.P.; et al. Exposures to chemical mixtures during pregnancy and neonatal outcomes: The HOME study. Environ. Int. 2020, 134, 105219. [Google Scholar] [CrossRef]
- Signes-Pastor, A.J.; Doherty, B.T.; Romano, M.E.; Gleason, K.M.; Gui, J.; Baker, E.; Karagas, M.R. Prenatal exposure to metal mixture and sex-specific birth outcomes in the New Hampshire Birth Cohort Study. Environ. Epidemiol. 2019, 3, e068. [Google Scholar] [CrossRef]
- Zhou, C.; Gao, L.; Flaws, J.A. Exposure to an Environmentally Relevant Phthalate Mixture Causes Transgenerational Effects on Female Reproduction in Mice. Endocrinology 2017, 158, 1739–1754. [Google Scholar] [CrossRef] [Green Version]
- Lee, S.; Hong, Y.C.; Park, H.; Kim, Y.; Ha, M.; Ha, E. Combined effects of multiple prenatal exposure to pollutants on birth weight: The Mothers and Children’s Environmental Health (MOCEH) study. Environ. Res. 2020, 181, 108832. [Google Scholar] [CrossRef] [PubMed]
- Darbre, P.D. Endocrine Disruption and Human Health; Academic Press: Cambridge, MA, USA, 2015. [Google Scholar]
- Hayes, L.; Weening, A.; Morey, L.M. Differential Effects of Estradiol and Bisphenol A on SET8 and SIRT1 Expression in Ovarian Cancer Cells. Dose-Response Publ. Int. Hormesis Soc. 2016, 14, 1559325816640682. [Google Scholar] [CrossRef] [PubMed] [Green Version]
- Masuno, H.; Iwanami, J.; Kidani, T.; Sakayama, K.; Honda, K. Bisphenol a accelerates terminal differentiation of 3T3-L1 cells into adipocytes through the phosphatidylinositol 3-kinase pathway. Toxicol. Sci. Off. J. Soc. Toxicol. 2005, 84, 319–327. [Google Scholar] [CrossRef] [PubMed] [Green Version]
- Pelch, K.; Wignall, J.A.; Goldstone, A.E.; Ross, P.K.; Blain, R.B.; Shapiro, A.J.; Holmgren, S.D.; Hsieh, J.-H.; Svoboda, D.; Auerbach, S.S. A scoping review of the health and toxicological activity of bisphenol A (BPA) structural analogues and functional alternatives. Toxicology 2019, 424, 152235. [Google Scholar] [CrossRef] [PubMed]
- Kidani, T.; Kamei, S.; Miyawaki, J.; Aizawa, J.; Sakayama, K.; Masuno, H. Bisphenol A downregulates Akt signaling and inhibits adiponectin production and secretion in 3T3-L1 adipocytes. J. Atheroscler. Thromb. 2010, 17, 834–843. [Google Scholar] [CrossRef] [PubMed] [Green Version]
- Yamasaki, K.; Noda, S.; Imatanaka, N.; Yakabe, Y. Comparative study of the uterotrophic potency of 14 chemicals in a uterotrophic assay and their receptor-binding affinity. Toxicol. Lett. 2004, 146, 111–120. [Google Scholar] [CrossRef]
- Cabaton, N.; Chagnon, M.-C.; Lhuguenot, J.-C.; Cravedi, J.-P.; Zalko, D. Disposition and metabolic profiling of bisphenol F in pregnant and nonpregnant rats. J. Agric. Food Chem. 2006, 54, 10307–10314. [Google Scholar] [CrossRef]
- Faber, J.; Fonseca, L.M. How sample size influences research outcomes. Dental Press J. Orthod. 2014, 19, 27–29. [Google Scholar] [CrossRef]



| Birth Weight (g) | Gestational Age (Weeks) | ||||
|---|---|---|---|---|---|
| N (%) | Mean ± SD a | p-Value | Mean ± SD a | p-Value | |
| Maternal Characteristic | |||||
| Age at enrollment (years) | |||||
| <30 | 41 (22.8) | 3251 ± 409 | 0.92 | 39.21 ± 2.08 | 0.98 |
| ≥30 | 139 (77.2) | 3244 ± 394 | 39.20 ± 1.29 | ||
| Education level | |||||
| <University | 72 (40) | 3191 ± 365 | 0.13 | 39.35 ± 1.41 | 0.30 |
| ≥University | 108 (60) | 3281 ± 414 | 39.11 ± 1.55 | ||
| Household per month (1000 KRW) | |||||
| <3000 | 47 (26.1) | 3240 ± 449 | 0.93 | 39.15 ± 1.38 | 0.77 |
| ≥3000 | 133 (73.9) | 3247 ± 378 | 39.23 ± 1.54 | ||
| Smoking status | |||||
| Yes | 20 (11.1) | 3198 ± 535 | 0.67 | 38.98 ± 1.97 | 0.57 |
| No | 160 (88.9) | 3251 ± 377 | 39.24 ± 1.43 | ||
| Drinking status | |||||
| Yes | 39 (21.7) | 3224 ± 411 | 0.70 | 38.84 ± 1.98 | 0.17 |
| No | 141 (78.3) | 3251 ± 394 | 39.31 ± 1.33 | ||
| Exercise | |||||
| Yes | 30 (16.7) | 3162 ± 365 | 0.21 | 39.24 ± 1.07 | 0.87 |
| No | 150 (83.3) | 3262 ± 401 | 39.20 ± 1.57 | ||
| BMI at prepregnancy (kg/m2) | |||||
| <23 | 134 (74.4) | 3236 ± 387 | 0.59 | 39.32 ± 1.45 | 0.09 |
| ≥23 | 46 (25.6) | 3272 ± 424 | 38.88 ± 1.62 | ||
| Infant Characteristic | |||||
| Sex | |||||
| Male | 91 (50.6) | 3335 ± 396 | 0.0019 | 39.23 ± 1.39 | 0.80 |
| Female | 89 (49.4) | 3154 ± 377 | 39.18 ± 1.61 | ||
| Parity | |||||
| Nulliparous | 125 (69.4) | 3224 ± 386 | 0.28 | 39.29 ± 1.60 | 0.20 |
| Multiparous | 55 (30.6) | 3294 ± 418 | 39.01 ± 1.20 | ||
| Gestational age (weeks) | |||||
| <37 | 7 (3.9) | 2556 ± 368 | <0.0001 | 34.40 ± 2.87 | <0.0001 |
| ≥37 | 173 (96.1) | 3273 ± 372 | 39.40 ± 1.03 | ||
| Birth weight (g) | <0.0001 | ||||
| <2500 | 7 (3.9) | 2314 ± 229 | <0.0001 | 37.00 ± 2.17 | |
| ≥2500 | 173 (96.1) | 3283 ± 353 | 39.30 ± 1.40 | ||
| SG Corrected (μg/L) | GM (GSD) | LOD | N (%) > LOD | Percentile | |||||
|---|---|---|---|---|---|---|---|---|---|
| 10th | 25th | 50th | 75th | 90th | Max | ||||
| BPA | 2.1 (2.9) | 0.071 | 173 (96.2) | 0.7 | 1.2 | 2.1 | 4.0 | 7.1 | 36.8 |
| BPF | 0.2 (2.6) | 0.083 | 152 (84.4) | 0.1 | 0.1 | 0.2 | 0.4 | 0.8 | 18.0 |
| BPS | 0.1 (3.0) | 0.020 | 119 (66.1) | 0.01 | 0.03 | 0.05 | 0.1 | 0.2 | 1.5 |
| BPA | BPF | BPS | ||||
|---|---|---|---|---|---|---|
| β [95% CI] | p-Value | β [95% CI] | p-Value | β [95% CI] | p-Value | |
| Birth Weight | ||||||
| Model 1 | 1.5 (−54.1 to 57.0) | 0.96 | 36.5 (−24.6 to 97.5) | 0.24 | −38.1 (−91.4 to 15.2) | 0.16 |
| Model 2 | 4.0 (−45.0 to 52.9) | 0.87 | 27.4 (−27.7 to 82.4) | 0.33 | −36.0 (−83.0 to 11.1) | 0.13 |
| Model 3 | 5.5 (−43.6 to 54.7) | 0.82 | 38.5 (−18.1 to 95.1) | 0.18 | −44.2 (−92.7 to 4.4) | 0.07 |
| Gestational Age | ||||||
| Model 1 | 0.09 (−0.12 to 0.30) | 0.41 | 0.04 (−0.02 to 0.10) | 0.24 | −0.07 (−0.27 to 0.13) | 0.49 |
| Model 2 | 0.06 (−0.16 to 0.27) | 0.59 | 0.12 (−0.12 to 0.36) | 0.34 | −0.05 (−0.26 to 0.15) | 0.61 |
| Model 3 | 0.05 (−0.16 to 0.27) | 0.61 | 0.13 (−0.12 to 0.38) | 0.29 | −0.09 (−0.30 to 0.13) | 0.43 |
| BPA | BPF | BPS | ||||
|---|---|---|---|---|---|---|
| β [95% CI] | p-Value | β [95% CI] | p-Value | β [95% CI] | p-Value | |
| Birth Weight | ||||||
| <Median | 62.3 (−33.1 to 157.8) | 0.20 | 92.9 (−128.1 to 313.8) | 0.41 | −140.7 (−307.9 to 26.4) | 0.09 |
| ≥Median | 21.8 (−106.0 to 149.9) | 0.74 | 125.5 (45.0 to 205.9) | 0.003 | 30.8 (−47.7 to 109.3) | 0.44 |
| Gestational Age | ||||||
| <Median | 0.17 (−0.25 to 0.59) | 0.43 | −0.27 (−1.28 to 0.73) | 0.59 | −0.26 (−0.85 to 0.34) | 0.40 |
| ≥Median | 0.13 (−0.46 to 0.72 | 0.66 | 0.15 (−0.19 to 0.49) | 0.38 | 0.01 (−0.45 to 0.47) | 0.97 |
Publisher’s Note: MDPI stays neutral with regard to jurisdictional claims in published maps and institutional affiliations. |
© 2021 by the authors. Licensee MDPI, Basel, Switzerland. This article is an open access article distributed under the terms and conditions of the Creative Commons Attribution (CC BY) license (https://creativecommons.org/licenses/by/4.0/).
Share and Cite
Kim, S.; Park, E.; Park, E.-K.; Lee, S.; Kwon, J.-A.; Shin, B.-H.; Kang, S.; Park, E.-Y.; Kim, B. Urinary Concentrations of Bisphenol Mixtures during Pregnancy and Birth Outcomes: The MAKE Study. Int. J. Environ. Res. Public Health 2021, 18, 10098. https://doi.org/10.3390/ijerph181910098
Kim S, Park E, Park E-K, Lee S, Kwon J-A, Shin B-H, Kang S, Park E-Y, Kim B. Urinary Concentrations of Bisphenol Mixtures during Pregnancy and Birth Outcomes: The MAKE Study. International Journal of Environmental Research and Public Health. 2021; 18(19):10098. https://doi.org/10.3390/ijerph181910098
Chicago/Turabian StyleKim, Seyoung, Eunjung Park, Eun-Kyo Park, Seulbi Lee, Jeoung-A Kwon, Bo-Hye Shin, Sora Kang, Eun-Young Park, and Byungmi Kim. 2021. "Urinary Concentrations of Bisphenol Mixtures during Pregnancy and Birth Outcomes: The MAKE Study" International Journal of Environmental Research and Public Health 18, no. 19: 10098. https://doi.org/10.3390/ijerph181910098
APA StyleKim, S., Park, E., Park, E.-K., Lee, S., Kwon, J.-A., Shin, B.-H., Kang, S., Park, E.-Y., & Kim, B. (2021). Urinary Concentrations of Bisphenol Mixtures during Pregnancy and Birth Outcomes: The MAKE Study. International Journal of Environmental Research and Public Health, 18(19), 10098. https://doi.org/10.3390/ijerph181910098

