Abstract
This study aimed to establish a health and medical foundation for forest healing programs and provide a basis for developing an evaluation system for such programs. While the number of visitors to forests and interest in forest healing effects are increasing, few studies have examined the various indicators of the persistent changes in forest healing effects. Therefore, this study conducted pre-, post-, and follow-up experiments on 87 health and clinical indicators in a sample of 88 adolescent participants. The relationships between pre-, post-, and follow-up experiment results for each indicator were analyzed. Of the 87 indicators, 46 showed significant changes, including systolic blood pressure, diastolic blood pressure, cholesterol, serotonin, vitamin D, CD16+CD56 count, interferon-γ, resilience, and self-esteem. The findings are significant for studying diverse participants and indicators and lay the foundation for developing forest healing programs by clarifying aspects such as the indicators suitable for short-term observation versus the indicators requiring long-term observation. Based on these analyses, the results of this study are expected to be useful when conducting research to establish an evidence-based forest healing program in the future.
1. Introduction
1.1. Research Background and Rationale
Rapid industrialization and urbanization have led to a decline in the quality of life and happiness of urban residents, and forest healing programs are drawing attention as a means of recharging life energy and improving health [1]. Increasingly, more research is examining the health and preventive medical effects of green space, such as reducing stress and preventing diseases [2,3,4,5,6,7,8,9]. With growing interest in verifying the forest healing effects of green spaces, various studies are also underway to investigate the physiological and psychological effects of forest healing. Several studies have demonstrated that forest healing has a positive effect on various diseases [10,11,12,13,14,15]. In fact, a systematic review and meta-analysis of 143 studies showed that green space and forest healing programs have positive effects on various aspects of human physiological health, including a reduction in blood pressure, cortisol, and heart rate, and showed positive outcomes for neurological diseases, cancer, and respiratory-related mortality rates [16]. Another study demonstrated that forest healing not only improved physical health indicators, but also improved the immune system through NK cell activation, resulting in preventive medical effects even after the end of the program [17].
In addition to physiological health, several studies are underway to identify the positive effects of forest healing on psychological health [15,18,19,20,21,22,23,24,25,26]. A prior systematic review concluded that forest healing programs greatly helped alleviate depression [18]. Furthermore, other studies have found that forest healing programs help relieve anxiety and depression [19]; positively affect mood, boost vitality, and reduce negative emotions such as tension anxiety, depression, anger, hostility, fatigue, and confusion [23]; and reflect on participants’ values, leading to positive psychological change [26]. As such, forest healing has a positive effect on human physiological and psychological health, but the exact mechanisms that help promote them are not yet known [27].
Several prior studies have categorized forest healing effects into olfactory, visual, and environmental effects with social engagement. The olfactory effect of forest healing through green space exposure is caused by monoterpenes that radiate from forests and trees. Monoterpene is a volatile substance found in flowers and trees that functions as a sterilization agent and insecticide. α-Pinene accounts for most monoterpenes produced in forests, and several prior studies have demonstrated its anti-inflammatory, antioxidant, and anti-anxiety effects [28,29,30]. In addition, several monoterpenes, including limonene and β-pinene, have been proven to yield various positive outcomes, including enhancing the immune system, relieving cardiovascular disease, and improving depression [31,32,33,34,35,36,37]. Depending on the type of forests and the species that make up the forests, it is known that the amount and type of monoterpene emitted differs. Generally, higher concentrations of monoterpene are produced in coniferous forests than in broadleaf forests [38,39,40,41].
The positive physical changes achieved simply by looking at forests and trees represent the visual component of the forest healing effect. An experiment demonstrated positive psychological and physiological changes after viewing natural photographs among participants who were shown natural and urban photographs [42,43,44,45,46]. This indicates that even the indirect experience of looking at pictures of forests has effective forest healing outcomes.
Finally, regarding the environmental effects with social engagement, a study showed that the top 20% of the population in terms of the green space rate within a radius of 250 m around their home had a 12% lower mortality rate than those in the bottom 20%; the difference was most pronounced in respiratory and cancer-related mortality [47]. In addition, the green space rate near the residence was found to have a positive effect in improving mental health, including depression [27]. Researchers have identified the social and environmental functions of green spaces as a cause of this positive relationship between green spaces and health. Green spaces around the house increase residents’ exercise activities and social engagements and decrease stress; additionally, air and noise pollution are reduced. The improved surroundings and increased exercise activities promote physical health, and increased social relationships and reduced stress have a positive effect on psychological health [27,48,49]. As mentioned earlier, the mechanisms underlying forest healing effects have not yet been accurately identified; however, based on prior studies, research on the impact of forest healing on individual human health indicators is actively underway.
Most prior studies on the impact of forest healing on individual health indicators have focused on short-term evaluations, comparing pre- and post-test results on individual health indicators. However, comprehensive evaluations using diverse health and clinical indicators have not been conducted. In addition, although prior studies have analyzed the physiological and psychological effects of forest healing programs, few studies have investigated the long-term maintenance of forest healing effects through follow-up examination after the program ends. To establish a health and medical foundation for forest healing, continuous and repeated research is needed. However, at present, there is a lack of evidence to establish an evaluation system for forest healing. As the number of visitors heading to the forest for healing is rapidly growing, and there is increasing curiosity about the effectiveness of forest healing programs, it is urgent to establish a medical basis to prove the effectiveness of forest healing.
1.2. Research Purpose and Questions
This study was conducted to comprehensively evaluate the physiological and psychological effects of forest healing, based on health and clinical indicators, as a pilot attempt to lay the foundation for a forest healing program. This study aimed to verify the effectiveness of forest healing and to confirm the sustainability and change in forest healing effects through pre-, post-, and follow-up tests. In addition, the experimental period and measurements were applied on a trial basis considering the various indicators and measurement factors. Therefore, this study is meaningful in providing a basis for future research and developing an evidence-based forest healing program.
The following research questions were addressed: Is there a correlation between green space exposure level and health conditions? What are the indicators of distinct changes during the study period? Which indicators are resistant to change, and which indicators are more susceptible to change? Which indicators are appropriate for short-term evaluation, and which indicators require long-term observation?
2. Materials and Methods
2.1. Research Design
To investigate the physiological and psychological effects of the forest healing program, 92 participants were recruited for the program lasting three days and two nights. Two weeks before the commencement of the forest healing program, the participants underwent a clinical assessment and responded to a self-report survey; the same assessments were conducted again shortly after the program ended. Post-treatment was measured immediately after the end of the program, but the timing of the individual participants’ measurements slightly differed due to the large number of participants. All post-treatment measurements were completed within one hour after the program. After the program, the participants were divided into three groups, and the sustainability of the changes after returning to their daily lives was assessed using the same assessment measures as pre-test and post-test after one, two, and four weeks in Groups 1, 2, and 3, respectively. A schematic diagram of the research design is presented in Figure 1.
Figure 1.
Schematic diagram of the research design.
2.2. Participants
The study was conducted with 92 adolescents aged 13–18 years, in July and August 2017, supported by the Jung Mong-gu Foundation hosted by the Korea Forest Welfare Promotion Agency. Participants were youth in residential care facilities who lived in a group in one space, and they were from the following three cities: Deajeon (n = 32), Gimcheon (n = 29), and Incheon (n = 29). After excluding two participants who dropped out of the study and one who got injured during the research period, the final sample comprised 88 participants (30 from Daejeon and 29 each from Gimcheon and Incheon).Informed consent was obtained from the participants and their guardians after clearly explaining the purpose and objectives of the research. The study was conducted in accordance with the guidelines of the Declaration of Helsinki, and the protocol was approved by the Wonkwang University Institutional Review Board (protocol code WKIRB-201705-BM-027). The demographic characteristics of the participants are presented in Table 1.
Table 1.
Demographic characteristics of the participants.
The normalized difference vegetation index (NDVI) of the regions, Gimcheon, Daejeon, and Incheon, was examined; the results are shown in Table 2. NDVI was calculated based on the shelters where the participants lived. Gimcheon was found to have the largest distribution of green areas in both the living area and areas within walking distance; the green area rate of Daejeon’s living area was significantly lower than that of other areas, and Incheon had the lowest green area rate in walking distance.
Table 2.
NDVI analysis of participants’ living areas.
2.3. Sites
The forest healing program was conducted at Heongseong SoopChewon, Gangwon, Korea. It is a national forest park located 840 m above sea level on Cheong-Tae Mountain (Figure 2). Heongseong SoopChewon provides forest welfare services that enhance human immunity and restore physical and mental health by utilizing various environmental factors and natural objects in the forest. Heongseong SoopChewon was designated as the first forest education center in Korea in September 2007, and it actively provides forest education and healing programs for youth and other participants.
Figure 2.
Maps of the study site. (a) Site location. Point A is Heongseong SoopChewon, and Points 1, 2, and 3 are the three cities from where the participants came. (b) Aerial photographs of Heongseong SoopChewon.
The percentage of forest area within walking distance of the study site was 92.24%, and the crown density was 79.20% (Table 3). The average NDVI was 0.392. The adjacent forest included eight types of vegetation communities, including Larix kaempferi, Quercus aliena, Pinus densiflora, Abies holophylla, Betula platyphylla, Pinus Koraiensis community, and deciduous broad-leaved and mixed communities. The widest site was the Larix kaempferi community (69.37%).
Table 3.
Site forest vegetation.
2.4. Treatment
The three-day and two-night forest healing program was conducted in the forest. The program utilized various forest resources within Heongseong SoopChewon, such as free walking in the forest, recreation in the woods, and woodworking experience (Table 4). The participants were divided into three groups that came from differing regions. The participants did not undergo the program simultaneously: they all completed the program within an interval of two to three days. All groups partook in the same program in the same location to guarantee their experiences were indistinguishable from each other. All activities were organized and conducted in groups of 15, and they were minimally guided by instructors. The locations and contents of the program were explained to them, but they were free to independently move around and decide what to create if it fits the program goals. Except for orientation, lectures and post-test measurement, the entirety of the program took place in forests.
Table 4.
Forest healing program schedule.
2.5. Measurement
The measurement factors were divided into the following three main categories: self-report survey, clinical assessment, and qualitative assessment. As shown in Table 5, the self-report survey included an effectiveness evaluation indicating resilience, interpersonal competency, self-esteem, stress response, and vigor. Clinical assessment included physical examination, complete blood count, biochemical examination, immunoserological examination, saliva test, and urine test. The main indicators among the total 87 indicators are listed in Table 5. Lastly, the qualitative assessment that was conducted right after the program included participant interviews, including focus group interviews and individual interviews, as well as teacher interviews with forest education experts and program guidance teachers.
Table 5.
Measurement factors.
2.6. Analysis
The changes in the indicators between pre-test, post-test, and follow-up were analyzed for a total of 88 participants (male = 49, female = 39), who were tested three times during the study period. A total of 87 variables, including 82 physiological indicators and 5 psychological indicators were examined using R 4.0.3 version and R Studio to calculate descriptive statistics and one-way repeated measures ANOVA (Figure 3). All values were rounded to the fifth decimal place, and normality was verified using the central limit theorem. Bartlett’s test of sphericity was performed before the one-way repeated measures ANOVA. Subsequently, Tukey’s test for post hoc analysis was conducted on 46 indicators with a significance level of p < 0.05, to identify the significant differences determined using the ANOVA.
Figure 3.
Data analysis process diagram.
3. Results
Of the 87 health-related indicators analyzed, 46 indicators showed significant differences in one-way repeated measures ANOVA, and 28 indicators showed significant differences in Tukey’s test for post hoc analysis. The results of ANOVA and post hoc tests of all indicators are presented in Appendix A and Appendix B. The results of this study are described based on a statistical analysis of the 88 people as mentioned above, and the results of ANOVA analysis for each group can be found in Appendix C.
3.1. Blood Pressure and Autonomic Nervous System
Cardiovascular-related indicators showed significant reductions in systolic and diastolic blood pressure and cholesterol levels in the post-test, consistent with prior studies showing significant reductions in blood pressure after forest healing programs as shown in Figure 4 [17,20,50,51]. The diastolic blood pressure decreased significantly in the follow-up test, but systolic blood pressure and cholesterol tended to increase in follow-up tests. This is in line with the results of prior studies that conducted an assessment more than a week after the forest healing program and reported that the effect of forest healing had been reduced within three to five days [20,50,51].
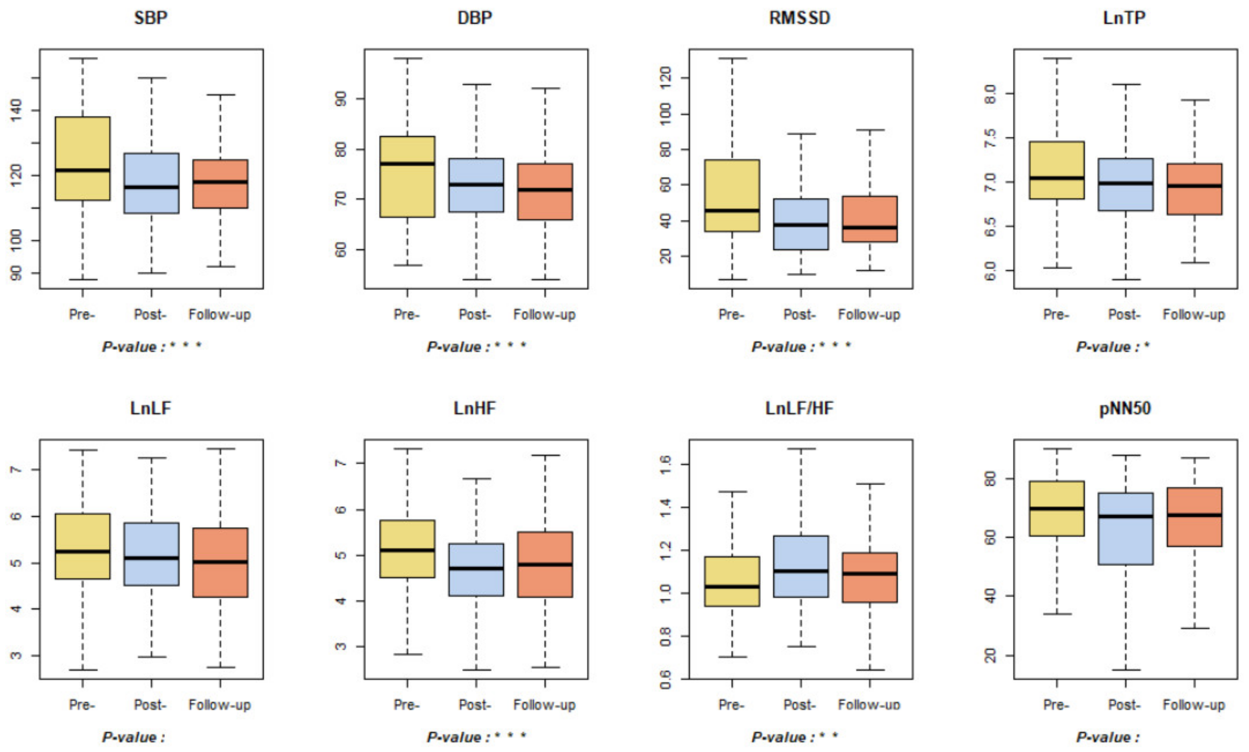
Figure 4.
Results of blood pressure and autonomic nervous system related indicators. * p < 0.05, ** p < 0.01, *** p < 0.001. Pre-: daily health conditions two weeks prior to the forest healing program; Post-: health conditions immediately after the forest healing program; Follow-up: daily health conditions one, two, and four weeks after the forest healing program; SBP: systolic blood pressure; DBP: diastolic blood pressure; RMSSD: root mean square of successive RR intervals (interbeat intervals between all successive heartbeats) differences; Ln: natural logarithm (the spectral power data were log transformed); TP: total power; LF: power in the low frequency range; HF: power in the high frequency range; pNN50: percentage of successive RR intervals that differ by more than 50 ms.
The analysis of the heart rate variability (HRV) indicators influencing stress responses showed that LnTP and RMSSD decreased significantly over the pre-, post-, and follow-up tests, and LnLF also tended to decrease over the pre-, post-, and follow-up tests, although not significantly. LnHF decreased significantly in the post-test compared to the pre-test but increased in the follow-up test. LnLF/LnHF significantly increased during the post-test but decreased during the follow-up test. As such, the increased LnHF and the decreased LnLF/LnHF levels after the forest healing program are consistent with the results of prior studies and considering that the effect could be observed in the follow-up test, not in the post-test, it is expected that the effect takes some time to appear [10,50]. Although no significant results were observed for pNN50, there was a significant decrease in the post-test compared to the pre-test in male participants. The results of the analysis of HRV indicators were generally insignificant or negative, and within the normal range. Further studies need to be conducted for the same.
Blood pressure and HRV levels are known to affect each other, and diastolic blood pressure is more closely related to the autonomic nervous system than systolic blood pressure [52,53]. Previous studies have shown that diastolic blood pressure is inversely correlated with RMSSD, LF, HF, and TP, and positively correlated with LF/HF. This is consistent with the results of this study, and although the diastolic blood pressure-related correlation analysis in this study did not show significant results for all of the above HRV indicators, the results confirmed that they tend to be the same as in prior studies as shown in Figure 5 [53,54]. However, in terms of systolic blood pressure, the present results differed from the previous literature; therefore, follow-up research is needed. In addition, there were strong positive linear correlations among the HRV-related indicators, except for LnLF/HF, and a significant positive correlation between systolic and diastolic blood pressure. A slightly stronger linear relationship in general was observed in the after-treatment results than in everyday conditions, including pre-treatment and follow-up results.
Figure 5.
Pearson’s correlation coefficient results for blood pressure and autonomic nervous system related indicators. Cells marked with X indicate that the correlation coefficient is not significant (p > 0.05). Daily analysis includes pre-treatment and follow-up test results, and after-treatment analysis includes post-treatment results.
3.2. Immune Function and Inflammation
When examining immune-related indicators, both CD16+CD56 (count) and CD16+CD56 (WB), which affect the activity of NK cells, decreased in the post-test compared to the pre-test, but increased significantly in the follow-up test. This result is consistent with prior studies showing that forest healing effectively increases NK cell activity and population [17,28,55]. In cytokine analysis, IFN-γ significantly increased in the pre-, post-, and follow-up tests, and IFN-γ is known to enhance immunity by activating NK cells and macrophages. Whereas previous studies have not identified significant changes in IFN-γ through forest healing programs, the results show that forest healing programs have a positive impact on anti-cancer and immune systems through an increase in IFN-γ [56]. IL-4 did not show significant changes, and IL-8 increased abnormally after the forest healing program in Groups one and two. This is because IL-8 is closely related to the allergic inflammatory reaction, and IL-8 levels increase in such cases [3,57,58]. Groups one and two showed a significantly higher sensitization to allergic antigens compared to Group three, and IL-8 levels showed a higher allergic sensitization rate in the group with a post-treatment increase than in the group with a post-treatment decrease compared to the pre-treatment (Appendix D). In particular, Group one showed a very high number of participants with plant-related allergic antigens compared to the other groups [59,60]. In the case of TNF-α, significant reductions were observed across the pre-, post-, and follow-up phases. As TNF-α causes a strong inflammatory response, the reduction in TNF-α indicates that forest healing programs help suppress inflammatory responses [61].
The indicator associated with inflammation, eNO, showed no significant difference, and the analysis of white blood cells (WBC) showed that the total number of WBC and basophils decreased in post-test compared to pre-test, but significantly increased in the follow-up test. Lymphocytes and monocytes tended to decrease over pre-, post-, and follow-up tests, in contrast to a prior study that observed significant increases in lymphocytes and monocytes [62,63]. The reason for this difference is that the proportion and total number of WBC elements, including lymphocytes, vary depending on age group; this study was conducted on adolescents, whereas the previous study was conducted on participants in their mid-40s.
Human immune function is achieved through the balance of two types of helper T cells, Th1 (Type 1) and Th2 (Type 2). Th1 is a regulator of cell-mediated immunity, which increases inflammation in infected cells; improves macrophage function in response to viral and bacterial infections; and plays a role in innate immunity, and elimination of infectious substances. [64,65,66,67,68,69]. Th2 is a modulator of humoral immunity, which improves the function of eosinophils, basophils, and mast cells to counteract parasitic infections and is immune to antigen antibody responses [64,68,69]. Among the indicators observed in this study, those corresponding to Th1 and Th2 cells are shown in Figure 6. If Th1 increases, autoimmune disease is known to increase; enhanced Th2 indicates the presence of allergic diseases [64,65,66,67,68,69]. Most of the indicators of Th1 and Th2 tracked in this study showed reductions after the forest healing program, which can be interpreted as a reduction in autoimmune and allergic diseases.
Figure 6.
Results of immune function and inflammation-related indicators. * p < 0.05, ** p < 0.01, *** p < 0.001. Pre-: daily health conditions two weeks prior to the forest healing program; Post-: health conditions immediately after the forest healing program; Follow-up: daily health conditions one, two, and four weeks after the forest healing program; IFN: interferon; TNF: tumor necrosis factor; IL: interleukin; IgA: Immunoglobulin A; eNO: exhaled nitric oxide; CD: cluster of differentiation molecule.
3.3. Oxidative Stress and Antioxidant
The analysis of 8-OHdG and d-ROMs, indicators related to oxidative stress, showed minimal changes (Figure 7). Although there is a lack of prior research on these indicators, based on the results of this study, it can be concluded that the forest healing program had a minimal impact on 8-OHdG and d-ROMs. BAP, an antioxidant-related indicator, increased significantly in post-test compared to pre-test, and decreased in the follow-up tests. This is consistent with the results of a previous study, where antioxidant levels increased significantly immediately after the forest healing program [70]. However, although the prior study did not conduct a further investigation into antioxidant functions, this study shows that antioxidant levels decreased again after a certain period of time had elapsed after the forest healing program.
Figure 7.
Results of oxidative stress and antioxidant-related indicators. *** p < 0.001. Pre-: daily health conditions 2 weeks prior to the forest healing program; Post-: health conditions immediately after the forest healing program; Follow-up: daily health conditions one, two, and four weeks after the forest healing program; 8-OHdG: 8-hydroxy-2-deoxyguanosine; d-ROMs: derivatives of reactive oxygen metabolites; BAP: biological antioxidant potential.
3.4. Stress (Hormone)
Neither cortisol (CIA) nor the cortisol (saliva) related to stress hormones showed significant changes (Figure 8). This result is in contrast to a previous study, which found that forest healing experiences had a positive effect on stress control by reducing cortisol levels [7]. However, the previous study was conducted with middle-aged women; it is expected that the effects were not apparent in this study because the participants were adolescents. Serotonin levels increased significantly over the course of the pre-, post-, and follow-up tests, which is consistent with the results of a previous study that showed significant increases in serotonin levels after the forest healing program [14].
Figure 8.
Results of stress (hormone)-related indicators. *** p < 0.001. Pre-: daily health conditions two weeks prior to the forest healing program; Post-: health conditions immediately after the forest healing program; Follow-up: daily health conditions one, two, and four weeks after the forest healing program.
3.5. Health Screening Parameters
Among the health screening indicators, 25-(OH) vitamin D increased significantly over the pre-, post-, and follow-up tests, while 1,25-(OH) 3 vitamin D decreased significantly during the post-test compared to the pre-test and increased again during the follow-up test (Figure 9). Glucose, an indicator of obesity, reduced significantly during the post-test, and increased during the follow-up test. A systematic review of the effects of forest healing observed a decrease in glucose levels immediately after a forest healing program; however, it was limited by the inability to demonstrate a continuous trend in blood sugar levels [71,72]. The results of the glucose levels obtained in this study demonstrate that blood sugar levels do not show a continuous trend of decline and tend to increase after forest healing. The BUN and creatine levels associated with renal function significantly decreased in the post-test compared to the pre-test and increased in the follow-up examinations. This is in the same vein as a prior study that demonstrated improved kidney function through forest healing programs, although the improvement was short-lived [7]. Among the indicators associated with liver function, bilirubin showed no significant results, and albumin and SGOT (AST) increased significantly in the post-test but decreased significantly in the follow-up test. The SGPT (ALT) and platelet counts increased significantly throughout the pre-, post-, and follow-up periods. As such, liver function was difficult to analyze due to a mixture of positive and negative results, but all the indicators changed within normal limits.
Figure 9.
Results of health screening-related indicators. *** p < 0.001. Pre-: daily health conditions two weeks prior to the forest healing program; Post-: health conditions immediately after the forest healing program; Follow-up: daily health conditions one, two, and four weeks after the forest healing program; BUN: blood urea nitrogen; SGOT: serum glutamic oxaloacetic transaminase; AST: aspartate aminotransferase; SGPT: serum glutamic pyruvic transaminase; ALT: alanine aminotransferase.
3.6. Mental Health
Among the psychological indicators, significant results were observed for resilience, self-esteem, and vigor (Figure 10). Resilience increased significantly in the post-test compared to the pre-test but decreased in the follow-up test. Self-esteem increased through the pre-, post-, and follow-up tests. On the other hand, vigor decreased through the pre-, post-, and follow-up tests. Further studies on the degradation of vigor levels are needed, as a systematic review suggests that forest healing has a positive effect on vigor [73].
Figure 10.
Results of mental health-related indicators. * p < 0.05, *** p < 0.001. Pre-: daily health conditions two weeks prior to the forest healing program; Post-: health conditions immediately after the forest healing program; Follow-up: daily health conditions one, two, and four weeks after the forest healing program.
4. Discussion
The forest healing program led to positive changes in several indicators. Of the 87 indicators, 46 showed significant changes, including systolic blood pressure, diastolic blood pressure, cholesterol, serotonin, vitamin D, CD16+CD56 count, IFN-γ, resilience, and self-esteem. IL-8 has been shown to be susceptible to interpersonal deviations, and cholesterol and BAP are considered appropriate for short-term effect observations. Long-term observation is required for indicators such as blood pressure, TNF-α, IFN-γ, and serotonin, for which effects were shown to last till the follow-up assessment, as well as for indicators such as CD16+CD56 (count, WB), IL-4, vitamin D, and interpersonal competency, for which the effects were not expressed immediately after the program but were observed in the follow-up tests.
Categorizing the results derived from this study according to health effects, the first health promotion effect that can be expected through forest healing programs is immunity enhancement (Figure 11). Among the various factors involved in forest healing, phytoncide is known to have excellent anti-bacterial and anti-inflammatory effects, as it activates Toll-like receptors in the body, reducing inflammatory cytokines, such as IL-6 and TNF-α, as well as oxidative stress. [74]. Additionally, it has been shown to inhibit the nuclear factor kappa-enhancer of activated B cells (NF-kB), which are essential for viral protein production, and inhibit the activation of mitogen-activated protein kinases. Prior studies have demonstrated the anti-inflammatory effects of phytoncide in the body [74]. This study also revealed the anti-inflammatory effects of forest healing in that both IL-8 and TNF-α, which are associated with inflammation in vivo, significantly decreased after the forest healing program. Meanwhile, phytoncide has significant effects on activating the natural killer (NK) cells in the body and increasing the number of NK cells. NK cells play an important role in eliminating cancer cells, and NK cell activation and an increase in their number facilitate anticancer activity [75]. In particular, as NK activity significantly increases in cells exposed to phytoncide for more than 144 h, it is important to reflect the long-term exposure to phytoncide during the establishment and planning of future forest healing programs [75]. Looking at the mechanism of chemotherapy through phytoncide, phytoncide promotes NK cell activation and increases the number of NK cells, which increases granzymes, perforin, and granulysin, which, in turn, cause necrosis of the target cells. It then increases cytochrome-C and an apoptosis inducing factor, which induces the apoptosis of cancer cells, resulting in anticancer activity in the body [75]. Therefore, the significant changes in CD16+CD56 (count), CD16+CD56 (WB), and IFN-γ through the forest healing program observed in this study demonstrate that forest healing programs have a positive effect on the activity of NK cells, and effectively enhance anticancer activity and immunity.
Figure 11.
Mechanism of the forest healing program. TLRs: Toll-like receptors; NF-kB: nuclear factor kappa-light-chain-enhancer of activated B cells; AIF: apoptosis-inducing factor; Cyt-C: cytochrome complex.
The second expected health-promoting effect of forest healing programs demonstrated in this study is related to stress recovery (Figure 11). Theories of natural preferences posit that humans instinctively prefer nature, as explained through the biophilia and savannah hypotheses. [76] Furthermore, attention restoration theory interprets that humans who are constantly exposed to artificial environments instinctively visit nature [76,77]. In addition, psycho-evolutionary theory suggests that exposure to the natural environment leads to positive psychological changes and reduces stress. [76]. Meanwhile, forest healing shows excellent preventive medical effects by relieving physical fatigue and promoting immune function recovery through a natural recovery environment that stimulates the five senses [78]. Several prior studies have argued for the stress reduction effect of forest healing, and recently, attempts have been made to scientifically explain the effects and mechanisms of stress reduction by nature based on neuroimaging using functional magnetic resonance imaging. Sensory stimulation by looking at natural scenery or listening to natural sounds affects the autonomic nervous system and reduces stress [79,80]. Sensory stimulation through nature promotes an outward-directed focus of attention and rest-digest nervous system activity, and activates the posterior cingulate, a part of the brain that responds to emotions. These changes in the brain reduce stress-related hormones, such as cortisol and adrenaline, and increase serotonin levels. These hormonal changes cause physical stress relief, including reduced muscle tension, blood pressure, and pulse rate. This study found evidence to support these claims. Significant positive changes were observed in cardiovascular-related indicators, with no significant changes in cortisol levels, but significant increases in serotonin levels, which helps relieve stress. In addition, the study found that participants’ stress continued to decrease after the forest healing program.
It is important to note that this study has several limitations. The main limitation of this study is that there is no control group that includes participants who have not participated in the forest healing program; thus, the results of this study may need to be analyzed in conjunction with the results of subsequent studies that will involve control groups. This study conducted experiments on adolescents living relatively homogeneous lives, making it difficult to generalize the health promotion effects of the forest healing program. In addition, the analysis results may not have been accurate due to the effects of the growth period, and the lack of control over other factors, such as smoking and eating habits, remains a limitation. Therefore, future studies need to investigate and account for the life patterns and drinking and smoking habits of the participants that could negatively affect the results. Further, it is believed that fear, triggered by clinical assessments, may have affected the result outcomes of the participants.
While it is most desirable to measure changes in health conditions across the entire sample at five points during the study, including pre-, post-, and follow-up (one week, two weeks, and four weeks later) tests, the study design used only three time points for assessment considering that the participants were adolescents, and because it is difficult to track down all the participants for five examinations. Therefore, the participants were divided into three groups for more efficient clinical assessment. After testing for the homogeneity of the participants, the results of all the participants were presented in pre-, post-, and follow-up tests, and the follow-up test results were sub-divided into those conducted one, two, and four weeks after the program. Data collection was attempted at the same time of the day, but voluntary participation made it difficult to control the exact time of assessment. It is considered that significant results were difficult to observe for indicators such as cortisol and those related to circadian rhythm, as difficulty in controlling the timing of sample collection and fear of testing are likely to affect biological results.
In the case of saliva measurement, careful on-field examination is necessary because it was observed that there were too many missing values for analysis. On-site sampling of saliva is relatively easy and convenient, but researchers should be careful that analysis may be difficult. However, if the right measurement can be obtained at the site in the future, it will be beneficial to analyze the forest healing effects with relative ease.
This study is significant, as it assessed the health indicators of the effects of the forest healing program at three time points rather than only conducting a short-term analysis through pre- and post-treatment comparisons, such as that seen in previous studies. However, the preliminary examination was conducted two weeks before the program, which may not have accurately measured indicators, the results of which change rapidly in a short period of time, such as cortisol. Therefore, subsequent studies in which pre- and post-measurements can be performed within one day of the program should be conducted to increase the accuracy of the results.
In addition, this forest healing program included an indoor program; therefore, during the three-day and two-night program, the actual time spent in the forest was less than 10 h. However, based on the literature that shows that the short forest walking programs of 15–40 min had physical and psychological health promotion effects, the healing effect of the forest healing program conducted in this study is expected to be sufficient; nevertheless, increasing the proportion of forest activities in future forest healing programs is expected to have a more pronounced effect [16].
Furthermore, as the program was conducted for healthy individuals, and not patients, most indicators showed changes within the normal range, making it difficult to observe the dramatic health promotion effect of forest healing. However, after the forest healing program, the number of outliers (outcomes outside the normal range) was significantly reduced, and significant health promotion effects were observed in several indicators, including blood pressure.
Although forest healing had a positive impact on various health-related indicators, including the autonomic nervous system, it was also found that the nature of forest healing led to various allergic reactions in participants. Higher levels of inflammation were observed in several participants due to allergic sensitization reactions, suggesting that forest healing programs may have a negative effect on those with allergies as shown in Appendix D. Analysis of IL-8, an allergen-related indicator, showed an allergic sensitization rate of 54.93% in the group that showed increased levels of IL-8 after the forest healing program, which was much higher than 41.18%, which was the allergic sensitization rate of the group that showed decreased levels of IL-8 after the forest healing program. For both the groups with increased and decreased values, the t-test showed that the significance levels were below 0.001, indicating significant changes. However, no clear evidence has been found that forest healing programs cause allergic reactions and increase inflammation levels, and it is necessary to proceed with the program in consideration of this in the future. It is expected that when conducting a forest healing program, a process of selecting the appropriate place, time, and type of program will be needed for each participant.
Based on these limitations, future studies should attempt to build forest healing big data infrastructure and systems through sampling using non-invasive methods, investigating other influential factors affecting test results, and linking sensing and wearable technologies. This study is significant, as it involved a relatively large number of participants compared to small samples in the studies conducted previously, and also as it conducted a pilot study to quantify forest healing effects using various physiological indicators, such as urine and blood, as well as psychological indicators. Therefore, to establish an evidence-based forest healing program, time-series changes could be measured with varying frequency and duration, and the persistence and continuity as well as the frequency and cycle of forest healing effects could be investigated for indicators for which the effects have continued after the cessation of the forest healing program, or the appearance of effects has been relatively delayed.
5. Conclusions
The study showed that the three-day and two-night forest healing program had a generally positive effect on the physiological and psychological health of the participants. Of the 87 health-related indicators, significant impacts were observed for 46 indicators, such as cardiovascular, immune function, and mental health. In this study, the effectiveness of forest healing was assessed from various perspectives by using non-universal clinical indicators. Furthermore, beyond the comparison of pre- and post-treatment, changes were observed one week, two weeks, and four weeks after the program. Therefore, this study provides a basis for selecting appropriate indicators when developing a long-term follow-up survey system in the future and is significant as a framework for evaluating forest healing effects and promoting related policies.
Author Contributions
Conceptualization, S.P. and D.P.; methodology, S.P.; software, Y.C.; validation, G.K., E.K., and S.K.; formal analysis, Y.C.; investigation, G.K. and S.K.; resources, S.P. and D.P.; data curation, Y.C.; writing—original draft preparation, Y.C.; writing—review and editing, S.P. and G.K.; visualization, E.K. and S.K.; supervision, D.P.; project administration, S.P. All authors have read and agreed to the published version of the manuscript.
Funding
This research received no external funding.
Institutional Review Board Statement
The study was conducted in accordance with the guidelines of the Declaration of Helsinki, and was approved by the Institutional Review Board of Wonkwang University (protocol code: WKIRB-201705-BM-027; date of approval: 29 May 2017).
Informed Consent Statement
Informed consent was obtained from all participants involved in the study.
Data Availability Statement
The data presented in this study are available in the article and appendices.
Acknowledgments
This study was carried out with supports of ‘Forest Science Research (Project No. 1405003375)’ provided by Korea Forest Service (National Institute of Forest Science) and ‘R&D Program for Forest Science Technology (Project No. 2021388B10-2123-0102)’ provided by Korea Forest Service (Korea Forestry Promotion Institute).
Conflicts of Interest
The authors declare no conflict of interest.
Appendix A
Table A1.
Result Table of Descriptive Statistics, One-way RM ANOVA, and Paired t-Test.
Table A1.
Result Table of Descriptive Statistics, One-way RM ANOVA, and Paired t-Test.
| Classification | Indicators | Gender | Pre- | Post- | Follow-Up | p | Daily | Post- | p |
|---|---|---|---|---|---|---|---|---|---|
| M(SD) | M(SD) | M(SD) | M(SD) | M(SD) | |||||
| Blood Pressure and Autonomic Nervous System | Systolic BP | Total | 123.58(15.48) | 117.93(12.77) | 118.52(12.67) | *** | 121.05(14.33) | 117.93(12.77) | ** |
| Male | 127.49(15.58) | 120.04(13.66) | 122.78(13.45) | ** | 125.27(14.73) | 120.04(13.66) | ** | ||
| Female | 118.67(14.05) | 115.28(11.17) | 113.18(9.29) | * | 115.76(11.94) | 115.28(11.17) | |||
| Group 1 | 127.97(15.27) | 119.87(12.68) | 116.16(11.09) | *** | 121.92(14.73) | 119.87(12.68) | |||
| Group 2 | 129.00(15.26) | 116.45(14.30) | 125.21(12.93) | *** | 127.10(14.15) | 116.45(14.30) | *** | ||
| Group 3 | 113.62(10.41) | 117.48(11.14) | 114.59(11.52) | 114.10(10.90) | 117.48(11.14) | * | |||
| Diastolic BP | Total | 76.33(11.51) | 73.73(8.94) | 71.66(9.75) | *** | 73.99(10.89) | 73.73(8.94) | ||
| Male | 75.69(10.69) | 73.16(9.98) | 69.61(10.06) | *** | 72.74(10.82) | 73.16(9.98) | |||
| Female | 77.13(12.56) | 74.44(7.51) | 74.23(8.82) | 75.56(10.85) | 74.44(7.51) | ||||
| Group 1 | 74.84(13.72) | 72.87(7.64) | 70.06(11.61) | 72.23(12.83) | 72.87(7.64) | ||||
| Group 2 | 79.86(10.12) | 72.45(11.28) | 74.10(8.99) | *** | 76.98(9.93) | 72.45(11.28) | *** | ||
| Group 3 | 74.10(9.45) | 75.55(7.81) | 70.41(7.95) | ** | 72.83(9.03) | 75.55(7.81) | * | ||
| RMSSD | Total | 57.77(36.36) | 43.31(27.16) | 43.07(23.28) | *** | 50.42(31.32) | 43.31(27.16) | ** | |
| Male | 68.00(41.18) | 46.10(28.08) | 47.59(25.44) | *** | 57.86(35.54) | 46.10(28.08) | ** | ||
| Female | 44.92(24.09) | 39.79(25.90) | 37.38(19.07) | 41.08(21.90) | 39.79(25.90) | ||||
| Group 1 | 60.10(31.50) | 34.93(20.42) | 39.83(20.70) | *** | 49.97(28.33) | 34.93(20.42) | *** | ||
| Group 2 | 65.69(45.66) | 51.90(33.04) | 49.03(30.53) | 57.36(39.40) | 51.90(33.04) | ||||
| Group 3 | 47.45(28.53) | 43.38(24.85) | 40.45(15.91) | 43.95(23.16) | 43.38(24.85) | ||||
| LnTP | Total | 7.13(0.54) | 7.00(0.51) | 6.97(0.44) | * | 7.05(0.50) | 7.00(0.51) | ||
| Male | 7.33(0.56) | 7.10(0.48) | 7.07(0.42) | *** | 7.20(0.51) | 7.10(0.48) | * | ||
| Female | 6.87(0.41) | 6.87(0.53) | 6.84(0.43) | 6.85(0.41) | 6.87(0.53) | ||||
| Group 1 | 7.23(0.57) | 6.81(0.37) | 6.89(0.47) | *** | 7.06(0.55) | 6.81(0.37) | *** | ||
| Group 2 | 7.20(0.56) | 7.18(0.67) | 7.05(0.44) | 7.13(0.51) | 7.18(0.67) | ||||
| Group 3 | 6.93(0.45) | 7.01(0.39) | 6.98(0.39) | 6.96(0.42) | 7.01(0.39) | ||||
| LnLF | Total | 5.30(1.13) | 5.22(1.05) | 5.01(1.13) | 5.15(1.14) | 5.22(1.05) | |||
| Male | 5.69(1.04) | 5.42(1.01) | 5.27(1.05) | * | 5.48(1.06) | 5.42(1.01) | |||
| Female | 4.82(1.07) | 4.97(1.05) | 4.68(1.14) | 4.74(1.11) | 4.97(1.05) | ||||
| Group 1 | 5.35(1.09) | 4.78(0.82) | 4.92(1.15) | * | 5.14(1.13) | 4.78(0.82) | * | ||
| Group 2 | 5.52(1.19) | 5.53(1.33) | 5.11(1.18) | 5.31(1.19) | 5.53(1.33) | ||||
| Group 3 | 5.04(1.10) | 5.38(0.77) | 4.99(1.09) | 5.01(1.09) | 5.38(0.77) | ** | |||
| LnHF | Total | 5.12(1.15) | 4.72(0.98) | 4.76(1.02) | *** | 4.94(1.10) | 4.72(0.98) | ** | |
| Male | 5.45(1.04) | 4.83(0.97) | 4.95(1.00) | *** | 5.19(1.05) | 4.83(0.97) | *** | ||
| Female | 4.71(1.18) | 4.57(0.98) | 4.52(1.01) | 4.63(1.09) | 4.57(0.98) | ||||
| Group 1 | 5.41(1.04) | 4.47(0.81) | 4.60(1.04) | *** | 5.01(1.11) | 4.47(0.81) | *** | ||
| Group 2 | 5.14(1.23) | 4.96(1.18) | 4.86(1.16) | 5.00(1.19) | 4.96(1.18) | ||||
| Group 3 | 4.80(1.15) | 4.73(0.89) | 4.82(0.86) | 4.81(1.00) | 4.73(0.89) | ||||
| LnLF/LnHF | Total | 1.06(0.19) | 1.13(0.20) | 1.06(0.19) | ** | 1.06(0.19) | 1.13(0.20) | *** | |
| Male | 1.06(0.18) | 1.14(0.20) | 1.08(0.19) | * | 1.07(0.18) | 1.14(0.20) | ** | ||
| Female | 1.05(0.20) | 1.11(0.20) | 1.04(0.20) | 1.04(0.20) | 1.11(0.20) | ** | |||
| Group 1 | 1.00(0.17) | 1.09(0.22) | 1.08(0.14) | 1.04(0.16) | 1.09(0.22) | ||||
| Group 2 | 1.09(0.20) | 1.13(0.18) | 1.07(0.23) | 1.08(0.21) | 1.13(0.18) | ||||
| Group 3 | 1.07(0.19) | 1.16(0.18) | 1.05(0.21) | * | 1.06(0.20) | 1.16(0.18) | *** | ||
| pNN50 | Total | 67.10(15.87) | 62.84(16.84) | 64.27(17.08) | 65.69(16.50) | 62.84(16.84) | * | ||
| Male | 71.12(11.61) | 62.94(16.38) | 64.18(17.16) | *** | 67.74(15.05) | 62.94(16.38) | ** | ||
| Female | 62.05(18.96) | 62.72(17.60) | 64.38(17.19) | 63.10(17.93) | 62.72(17.60) | ||||
| Group 1 | 71.43(18.08) | 59.33(17.46) | 59.00(20.49) | ** | 65.22(20.16) | 59.33(17.46) | * | ||
| Group 2 | 65.55(16.32) | 67.03(16.92) | 64.24(16.36) | 64.90(16.21) | 67.03(16.92) | ||||
| Group 3 | 64.17(12.10) | 62.28(15.71) | 69.76(11.95) | * | 66.97(12.25) | 62.28(15.71) | * | ||
| Immune Function and Inflammation | CD16+CD56 (Count) | Total | 317.12(155.53) | 279.06(139.67) | 320.12(180.46) | * | 318.62(167.98) | 279.06(139.67) | *** |
| Male | 294.24(129.07) | 272.09(146.09) | 314.72(198.45) | 308.81(163.74) | 272.09(146.09) | * | |||
| Female | 345.85(181.14) | 287.81(132.51) | 326.92(157.24) | 330.94(173.42) | 287.81(132.51) | ** | |||
| Group 1 | 301.49(152.92) | 318.63(159.84) | 364.00(172.09) | ** | 332.74(164.45) | 318.63(159.84) | |||
| Group 2 | 284.50(155.22) | 250.83(108.97) | 268.57(204.46) | 276.53(180.10) | 250.83(108.97) | ||||
| Group 3 | 365.90(151.71) | 266.35(140.01) | 326.28(154.44) | ** | 346.09(153.04) | 266.35(140.01) | *** | ||
| CD16+CD56 (WB) | Total | 14.13(6.06) | 12.49(5.22) | 12.49(5.87) | ** | 13.31(6.00) | 12.49(5.22) | * | |
| Male | 13.61(5.23) | 12.35(5.63) | 12.56(6.82) | 13.28(5.94) | 12.35(5.63) | ||||
| Female | 14.79(6.97) | 12.67(4.70) | 12.40(4.48) | * | 13.36(6.12) | 12.67(4.70) | |||
| Group 1 | 13.53(6.24) | 14.66(6.35) | 15.01(5.97) | 14.27(6.10) | 14.66(6.35) | ||||
| Group 2 | 15.27(7.36) | 11.48(4.26) | 9.96(5.84) | *** | 12.61(7.11) | 11.48(4.26) | |||
| Group 3 | 13.62(4.18) | 11.25(4.12) | 12.42(4.73) | * | 13.02(4.47) | 11.25(4.12) | ** | ||
| IFN-γ HS M_Multiplex | Total | 31.81(15.90) | 32.52(21.35) | 34.86(18.51) | * | 33.33(17.27) | 32.52(21.35) | ||
| Male | 29.30(12.48) | 27.08(10.51) | 30.51(14.12) | * | 29.67(13.46) | 27.08(10.51) | *** | ||
| Female | 34.96(19.08) | 39.34(28.60) | 40.32(21.85) | 37.94(20.28) | 39.34(28.60) | ||||
| Group 1 | 28.44(11.72) | 29.47(13.63) | 36.11(15.70) | *** | 32.28(14.27) | 29.47(13.63) | ** | ||
| Group 2 | 32.47(12.38) | 26.74(9.21) | 33.75(16.38) | ** | 33.11(14.40) | 26.74(9.21) | *** | ||
| Group 3 | 34.64(21.67) | 41.45(31.81) | 34.67(23.20) | * | 34.66(22.25) | 41.45(31.81) | ** | ||
| TNF-α HS M_Multiplex | Total | 16.50(3.80) | 14.46(3.75) | 14.16(3.73) | *** | 15.33(3.93) | 14.46(3.75) | ** | |
| Male | 17.40(4.31) | 14.96(4.17) | 14.55(4.24) | *** | 16.08(4.46) | 14.96(4.17) | ** | ||
| Female | 15.36(2.68) | 13.84(3.09) | 13.67(2.96) | ** | 14.38(2.90) | 13.84(3.09) | |||
| Group 1 | 16.11(2.99) | 14.66(3.52) | 15.50(3.56) | * | 15.80(3.28) | 14.66(3.52) | ** | ||
| Group 2 | 17.66(3.81) | 12.84(3.36) | 13.22(2.57) | *** | 15.44(3.92) | 12.84(3.36) | *** | ||
| Group 3 | 15.74(4.34) | 15.88(3.83) | 13.71(4.52) | ** | 14.73(4.51) | 15.88(3.83) | * | ||
| IL-4 HS M_Multiplex | Total | 84.64(58.53) | 81.81(60.05) | 78.72(58.69) | 81.68(58.52) | 81.81(60.05) | |||
| Male | 80.06(50.30) | 74.46(44.46) | 74.56(48.07) | 76.71(49.46) | 74.46(44.46) | ||||
| Female | 90.40(67.71) | 91.04(74.84) | 83.95(70.12) | 87.93(68.04) | 91.04(74.84) | ||||
| Group 1 | 69.28(40.10) | 70.40(48.18) | 83.04(44.94) | ** | 76.16(42.80) | 70.40(48.18) | |||
| Group 2 | 100.70(67.04) | 77.72(48.14) | 88.74(60.56) | *** | 94.72(63.60) | 77.72(48.14) | *** | ||
| Group 3 | 84.48(62.96) | 97.70(77.87) | 64.24(67.84) | *** | 74.36(65.67) | 97.70(77.87) | *** | ||
| IL-8 M_Multiplex | Total | 20.52(24.31) | 73.70(81.42) | 20.94(27.62) | *** | 20.73(25.95) | 73.70(81.42) | *** | |
| Male | 20.71(26.97) | 80.70(77.90) | 22.80(34.68) | *** | 21.63(30.97) | 80.70(77.90) | *** | ||
| Female | 20.28(20.84) | 64.91(85.85) | 18.60(14.75) | *** | 19.60(17.87) | 64.91(85.85) | *** | ||
| Group 1 | 12.12(9.71) | 118.79(107.18) | 17.13(11.13) | *** | 14.73(10.68) | 118.79(107.18) | *** | ||
| Group 2 | 16.81(11.16) | 78.00(56.71) | 13.40(12.56) | *** | 15.11(11.90) | 78.00(56.71) | *** | ||
| Group 3 | 32.91(36.96) | 22.76(24.52) | 32.21(43.37) | * | 32.56(39.94) | 22.76(24.52) | ** | ||
| IgA(S) | Total | 183.66(65.05) | 183.11(62.12) | 179.10(59.99) | 181.38(62.43) | 183.11(62.12) | |||
| Male | 185.88(52.14) | 186.89(51.90) | 181.27(49.37) | ** | 183.04(50.69) | 186.89(51.90) | * | ||
| Female | 180.87(78.99) | 178.37(73.42) | 176.38(71.75) | 179.29(74.92) | 178.37(73.42) | ||||
| Group 1 | 178.43(54.04) | 180.78(52.18) | 178.06(52.73) | 178.25(52.94) | 180.78(52.18) | * | |||
| Group 2 | 182.48(57.38) | 181.32(54.42) | 175.86(53.26) | ** | 179.17(54.97) | 181.32(54.42) | |||
| Group 3 | 190.25(82.18) | 187.31(78.61) | 183.42(73.72) | 186.84(77.46) | 187.31(78.61) | ||||
| eNO | Total | 15.93(18.53) | 17.33(19.62) | 16.10(16.12) | 16.02(17.32) | 17.33(19.62) | * | ||
| Male | 18.41(22.09) | 20.39(24.06) | 19.10(19.77) | 18.40(20.88) | 20.39(24.06) | ||||
| Female | 12.82(12.33) | 13.49(11.09) | 12.41(8.70) | 13.03(10.78) | 13.49(11.09) | ||||
| Group 1 | 13.42(8.66) | 16.23(12.12) | 13.52(8.23) | * | 13.05(8.15) | 16.23(12.12) | * | ||
| Group 2 | 22.21(29.68) | 22.43(29.44) | 18.68(22.15) | * | 20.23(25.58) | 22.43(29.44) | * | ||
| Group 3 | 13.17(9.48) | 15.14(14.92) | 16.59(15.77) | 14.88(13.01) | 15.14(14.92) | ||||
| Basophil | Total | 0.90(0.39) | 0.71(0.29) | 0.76(0.32) | *** | 0.83(0.37) | 0.71(0.29) | *** | |
| Male | 0.95(0.39) | 0.76(0.25) | 0.78(0.36) | *** | 0.88(0.38) | 0.76(0.25) | * | ||
| Female | 0.85(0.39) | 0.64(0.32) | 0.74(0.28) | ** | 0.77(0.34) | 0.64(0.32) | *** | ||
| Group 1 | 0.74(0.33) | 0.74(0.33) | 0.75(0.35) | 0.74(0.34) | 0.74(0.33) | ||||
| Group 2 | 1.22(0.37) | 0.69(0.25) | 0.83(0.32) | *** | 1.03(0.39) | 0.69(0.25) | *** | ||
| Group 3 | 0.76(0.27) | 0.69(0.29) | 0.70(0.30) | 0.73(0.28) | 0.69(0.29) | ||||
| Lymphocyte | Total | 36.14(9.08) | 36.14(8.80) | 35.75(8.13) | 35.95(8.60) | 36.14(8.80) | |||
| Male | 36.83(9.35) | 37.15(8.10) | 36.64(8.52) | 37.03(8.79) | 37.15(8.10) | ||||
| Female | 35.28(8.77) | 34.87(9.57) | 34.63(7.58) | 34.59(8.20) | 34.87(9.57) | ||||
| Group 1 | 32.66(8.34) | 37.59(8.77) | 35.82(7.12) | ** | 34.24(7.85) | 37.59(8.77) | ** | ||
| Group 2 | 39.41(10.74) | 36.59(9.01) | 35.98(9.58) | * | 37.69(10.24) | 36.59(9.01) | |||
| Group 3 | 36.48(6.68) | 34.19(8.58) | 35.44(7.81) | 35.96(7.22) | 34.19(8.58) | ||||
| Eosinophil | Total | 2.34(1.84) | 3.03(2.27) | 2.52(2.61) | ** | 2.43(2.25) | 3.03(2.27) | *** | |
| Male | 2.53(1.92) | 3.21(2.37) | 2.79(3.25) | 2.67(2.66) | 3.21(2.37) | * | |||
| Female | 2.10(1.73) | 2.79(2.14) | 2.17(1.41) | ** | 2.12(1.56) | 2.79(2.14) | *** | ||
| Group 1 | 1.88(1.74) | 3.11(2.52) | 2.48(1.89) | *** | 2.18(1.82) | 3.11(2.52) | *** | ||
| Group 2 | 2.90(2.17) | 3.14(2.13) | 2.30(1.55) | ** | 2.60(1.89) | 3.14(2.13) | ** | ||
| Group 3 | 2.27(1.46) | 2.82(2.19) | 2.77(3.86) | 2.52(2.90) | 2.82(2.19) | ||||
| Monocyte | Total | 8.45(2.14) | 8.22(1.82) | 7.57(1.63) | *** | 8.01(1.95) | 8.22(1.82) | ||
| Male | 8.61(2.07) | 8.79(1.83) | 7.88(1.70) | ** | 8.32(1.92) | 8.79(1.83) | * | ||
| Female | 8.25(2.23) | 7.51(1.55) | 7.17(1.47) | *** | 7.62(1.92) | 7.51(1.55) | |||
| Group 1 | 7.81(1.82) | 8.32(1.88) | 7.26(1.43) | * | 7.54(1.65) | 8.32(1.88) | ** | ||
| Group 2 | 9.61(2.28) | 8.12(1.82) | 7.64(1.36) | *** | 8.63(2.11) | 8.12(1.82) | |||
| Group 3 | 7.96(1.86) | 8.22(1.82) | 7.81(2.03) | 7.88(1.93) | 8.22(1.82) | ||||
| Oxidative Stress and Antioxidant | 8-OHdG | Total | 12.31(6.96) | 13.14(5.89) | 11.92(5.93) | 12.11(6.45) | 13.14(5.89) | ||
| Male | 12.75(6.37) | 12.98(5.95) | 11.70(6.16) | 12.13(6.25) | 12.98(5.95) | ||||
| Female | 11.75(7.69) | 13.35(5.89) | 11.90(5.99) | 12.09(6.73) | 13.35(5.89) | * | |||
| Group 1 | 11.73(5.95) | 14.69(6.59) | 12.47(6.52) | 12.10(6.20) | 14.69(6.59) | * | |||
| Group 2 | 11.60(6.78) | 12.95(6.56) | 11.43(5.87) | 11.52(6.29) | 12.95(6.56) | ||||
| Group 3 | 13.61(8.08) | 11.73(3.91) | 11.42(5.91) | 12.72(6.90) | 11.73(3.91) | ||||
| d-ROMs | Total | 311.01(64.73) | 312.82(64.74) | 314.88(64.92) | 312.94(64.67) | 312.82(64.74) | |||
| Male | 299.88(57.26) | 297.33(61.65) | 299.24(58.55) | 296.56(54.35) | 297.33(61.65) | ||||
| Female | 325.00(71.34) | 332.28(64.01) | 334.51(67.89) | 333.53(70.80) | 332.28(64.01) | ||||
| Group 1 | 314.60(62.27) | 320.30(66.39) | 319.83(65.82) | 317.22(63.58) | 320.30(66.39) | ||||
| Group 2 | 314.24(72.53) | 314.90(68.87) | 307.45(73.36) | 310.84(72.38) | 314.90(68.87) | ||||
| Group 3 | 304.07(60.55) | 303.00(59.59) | 317.17(56.02) | * | 310.62(58.19) | 303.00(59.59) | |||
| BAP | Total | 2133.88(156.87) | 2182.43(162.15) | 1944.57(229.48) | *** | 2039.22(217.77) | 2182.43(162.15) | *** | |
| Male | 2180.98(146.73) | 2227.69(158.84) | 1973.63(231.93) | *** | 2078.82(220.65) | 2227.69(158.84) | *** | ||
| Female | 2074.69(150.63) | 2125.56(149.55) | 1908.05(223.96) | *** | 1989.47(204.82) | 2125.56(149.55) | *** | ||
| Group 1 | 2138.30(140.26) | 2171.33(166.45) | 1840.37(131.38) | *** | 1989.33(201.80) | 2171.33(166.45) | *** | ||
| Group 2 | 2130.21(173.30) | 2176.17(148.53) | 1850.76(204.81) | *** | 1990.48(235.00) | 2176.17(148.53) | *** | ||
| Group 3 | 2132.97(161.29) | 2200.17(174.47) | 2146.17(202.37) | 2139.57(181.50) | 2200.17(174.47) | ** | |||
| Stress (Hormone) | Cortisol (CIA) | Total | 6.43(2.47) | 6.62(2.64) | 6.59(2.91) | 6.51(2.69) | 6.62(2.64) | ||
| Male | 6.41(2.51) | 6.62(2.81) | 6.59(3.38) | 6.50(2.99) | 6.62(2.81) | ||||
| Female | 6.33(2.60) | 6.61(2.44) | 6.59(2.21) | 6.54(2.29) | 6.61(2.44) | ||||
| Group 1 | 5.81(2.78) | 6.23(2.54) | 5.55(1.96) | 5.79(2.27) | 6.23(2.54) | ||||
| Group 2 | 6.74(2.26) | 6.34(2.78) | 7.32(3.20) | 7.03(2.76) | 6.34(2.78) | ||||
| Group 3 | 6.55(2.61) | 7.30(2.55) | 6.94(3.19) | 6.74(2.90) | 7.30(2.55) | ||||
| Cortisol (Saliva) | Total | 0.10(0.08) | 0.10(0.06) | 0.11(0.07) | - | 0.11(0.07) | 0.10(0.06) | ||
| Male | 0.09(0.07) | 0.10(0.05) | 0.11(0.07) | - | 0.10(0.07) | 0.10(0.05) | |||
| Female | 0.11(0.09) | 0.09(0.06) | 0.11(0.06) | - | 0.11(0.07) | 0.09(0.06) | |||
| Group 1 | 0.09(0.09) | 0.10(0.03) | 0.10(0.05) | - | 0.09(0.06) | 0.10(0.03) | |||
| Group 2 | 0.09(0.05) | 0.07(0.04) | 0.15(0.09) | - | 0.12(0.08) | 0.07(0.04) | ** | ||
| Group 3 | 0.10(0.09) | 0.11(0.07) | 0.10(0.05) | - | 0.10(0.07) | 0.11(0.07) | |||
| Serotonin | Total | 145.97(48.27) | 150.45(62.59) | 168.88(62.81) | *** | 157.42(57.02) | 150.45(62.59) | * | |
| Male | 145.72(45.27) | 150.61(62.41) | 175.00(67.87) | *** | 161.04(58.94) | 150.61(62.41) | * | ||
| Female | 146.28(52.39) | 150.25(63.63) | 161.18(55.70) | 152.87(54.55) | 150.25(63.63) | ||||
| Group 1 | 152.26(44.52) | 138.55(41.34) | 177.58(50.76) | *** | 164.92(49.03) | 138.55(41.34) | *** | ||
| Group 2 | 155.76(52.38) | 186.54(79.57) | 192.77(74.88) | *** | 174.26(66.71) | 186.54(79.57) | |||
| Group 3 | 129.68(45.01) | 126.67(44.53) | 135.98(46.78) | * | 132.83(45.61) | 126.67(44.53) | |||
| Health Screening Parameters | 25-(OH) Vitamin D | Total | 20.03(6.10) | 21.11(5.60) | 21.72(5.38) | *** | 20.88(5.79) | 21.11(5.60) | |
| Male | 21.86(6.03) | 22.98(5.51) | 23.48(4.87) | *** | 22.74(5.39) | 22.98(5.51) | |||
| Female | 17.74(5.43) | 18.76(4.82) | 19.52(5.23) | ** | 18.54(5.45) | 18.76(4.82) | |||
| Group 1 | 21.89(7.08) | 21.31(6.59) | 21.72(6.53) | 21.81(6.75) | 21.31(6.59) | * | |||
| Group 2 | 19.62(4.47) | 21.15(5.02) | 21.63(4.59) | *** | 20.63(4.60) | 21.15(5.02) | |||
| Group 3 | 18.52(6.11) | 20.86(5.21) | 21.81(4.97) | *** | 20.17(5.76) | 20.86(5.21) | |||
| 1, 25-(OH) 3 Vitamin D | Total | 27.60(15.72) | 13.81(15.64) | 32.06(19.26) | *** | 29.83(17.67) | 13.81(15.64) | *** | |
| Male | 29.64(15.68) | 16.74(18.36) | 33.38(19.46) | *** | 31.63(17.54) | 16.74(18.36) | *** | ||
| Female | 25.03(15.59) | 10.13(10.45) | 30.42(19.13) | *** | 27.57(17.69) | 10.13(10.45) | *** | ||
| Group 1 | 29.18(16.63) | 8.53(7.23) | 23.37(16.7) | *** | 26.28(16.48) | 8.53(7.23) | *** | ||
| Group 2 | 27.86(14.34) | 23.16(22.31) | 22.97(12.12) | 25.41(13.39) | 23.16(22.31) | ||||
| Group 3 | 25.69(16.41) | 9.93(8.49) | 50.16(15.25) | *** | 37.93(19.97) | 9.93(8.49) | *** | ||
| Glucose | Total | 86.40(11.97) | 83.77(9.75) | 96.59(13.74) | *** | 91.49(13.83) | 83.77(9.75) | *** | |
| Male | 86.04(11.33) | 85.24(9.88) | 97.67(13.96) | *** | 91.47(13.82) | 85.24(9.88) | *** | ||
| Female | 86.85(12.86) | 81.92(9.38) | 95.23(13.51) | *** | 91.53(13.92) | 81.92(9.38) | *** | ||
| Group 1 | 83.77(12.40) | 80.80(9.48) | 97.63(13.27) | *** | 90.70(14.53) | 80.80(9.48) | *** | ||
| Group 2 | 88.62(9.33) | 87.76(8.96) | 98.93(10.60) | *** | 93.78(11.18) | 87.76(8.96) | ** | ||
| Group 3 | 86.90(13.63) | 82.86(9.76) | 93.17(16.51) | * | 90.03(15.34) | 82.86(9.76) | ** | ||
| BUN | Total | 12.17(3.06) | 11.03(2.68) | 12.53(2.60) | *** | 12.35(2.84) | 11.03(2.68) | *** | |
| Male | 12.65(2.88) | 11.29(2.18) | 12.92(2.52) | *** | 12.82(2.68) | 11.29(2.18) | *** | ||
| Female | 11.56(3.21) | 10.72(3.19) | 12.05(2.67) | * | 11.77(2.94) | 10.72(3.19) | *** | ||
| Group 1 | 11.23(2.86) | 9.97(2.85) | 13.27(3.05) | *** | 12.25(3.11) | 9.97(2.85) | *** | ||
| Group 2 | 11.90(3.02) | 10.93(2.51) | 11.62(2.51) | 11.76(2.75) | 10.93(2.51) | * | |||
| Group 3 | 13.41(2.98) | 12.24(2.20) | 12.69(1.91) | 13.05(2.51) | 12.24(2.20) | * | |||
| Creatinine | Total | 0.76(0.15) | 0.73(0.14) | 0.77(0.14) | *** | 0.77(0.15) | 0.73(0.14) | *** | |
| Male | 0.82(0.15) | 0.78(0.14) | 0.82(0.14) | ** | 0.83(0.14) | 0.78(0.14) | *** | ||
| Female | 0.69(0.13) | 0.66(0.10) | 0.70(0.12) | * | 0.69(0.11) | 0.66(0.10) | *** | ||
| Group 1 | 0.73(0.16) | 0.73(0.15) | 0.76(0.16) | 0.75(0.16) | 0.73(0.15) | ||||
| Group 2 | 0.78(0.15) | 0.75(0.12) | 0.79(0.13) | * | 0.79(0.14) | 0.75(0.12) | ** | ||
| Group 3 | 0.78(0.15) | 0.70(0.13) | 0.76(0.14) | *** | 0.77(0.15) | 0.70(0.13) | *** | ||
| Bilirubin | Total | 0.46(0.24) | 0.47(0.24) | 0.49(0.29) | 0.47(0.27) | 0.47(0.24) | |||
| Male | 0.51(0.23) | 0.51(0.25) | 0.53(0.29) | 0.52(0.26) | 0.51(0.25) | ||||
| Female | 0.39(0.23) | 0.43(0.22) | 0.43(0.29) | 0.41(0.26) | 0.43(0.22) | ||||
| Group 1 | 0.47(0.26) | 0.51(0.25) | 0.52(0.28) | 0.49(0.27) | 0.51(0.25) | ||||
| Group 2 | 0.54(0.24) | 0.48(0.20) | 0.51(0.28) | 0.52(0.26) | 0.48(0.20) | ||||
| Group 3 | 0.36(0.17) | 0.44(0.26) | 0.43(0.32) | 0.40(0.26) | 0.44(0.26) | ||||
| Albumin | Total | 4.65(0.23) | 4.87(0.23) | 4.86(0.28) | *** | 4.76(0.28) | 4.87(0.23) | *** | |
| Male | 4.67(0.24) | 4.91(0.23) | 4.88(0.27) | *** | 4.78(0.28) | 4.91(0.23) | *** | ||
| Female | 4.63(0.22) | 4.82(0.21) | 4.84(0.29) | *** | 4.72(0.27) | 4.82(0.21) | ** | ||
| Group 1 | 4.63(0.27) | 4.79(0.22) | 4.80(0.23) | *** | 4.71(0.27) | 4.79(0.22) | ** | ||
| Group 2 | 4.59(0.19) | 4.90(0.20) | 4.75(0.24) | *** | 4.67(0.23) | 4.90(0.20) | *** | ||
| Group 3 | 4.74(0.20) | 4.92(0.24) | 5.03(0.29) | *** | 4.89(0.29) | 4.92(0.24) | |||
| SGOT (AST) | Total | 15.72(3.57) | 18.58(5.17) | 17.59(5.11) | *** | 16.65(4.49) | 18.58(5.17) | *** | |
| Male | 16.35(3.45) | 19.51(5.25) | 18.43(5.34) | *** | 17.62(4.85) | 19.51(5.25) | *** | ||
| Female | 14.92(3.59) | 17.41(4.89) | 16.54(4.65) | ** | 15.44(3.67) | 17.41(4.89) | ** | ||
| Group 1 | 16.60(3.63) | 19.53(6.28) | 17.97(5.82) | ** | 17.28(4.86) | 19.53(6.28) | *** | ||
| Group 2 | 15.38(3.20) | 19.24(5.06) | 17.10(4.47) | *** | 16.24(3.95) | 19.24(5.06) | *** | ||
| Group 3 | 15.14(3.79) | 16.93(3.51) | 17.69(5.06) | ** | 16.41(4.61) | 16.93(3.51) | |||
| SGPT (ALT) | Total | 8.49(4.48) | 11.00(7.86) | 11.90(7.32) | *** | 10.19(6.29) | 11.00(7.86) | ||
| Male | 9.04(4.71) | 12.02(8.12) | 12.31(6.83) | *** | 11.16(6.94) | 12.02(8.12) | * | ||
| Female | 7.79(4.14) | 9.72(7.43) | 11.38(7.96) | *** | 8.97(5.16) | 9.72(7.43) | |||
| Group 1 | 8.90(4.57) | 11.23(10.26) | 10.30(6.93) | 9.60(5.86) | 11.23(10.26) | * | |||
| Group 2 | 9.28(5.16) | 12.45(7.92) | 13.69(8.34) | ** | 11.48(7.22) | 12.45(7.92) | |||
| Group 3 | 7.28(3.45) | 9.31(3.87) | 11.76(6.42) | *** | 9.52(5.59) | 9.31(3.87) | |||
| Platelet | Total | 272.75(67.65) | 282.78(68.62) | 288.07(65.45) | *** | 280.41(66.81) | 282.78(68.62) | ||
| Male | 262.27(61.68) | 281.53(68.36) | 284.35(60.26) | ** | 275.21(61.04) | 281.53(68.36) | |||
| Female | 279.64(74.74) | 284.36(69.81) | 292.74(71.97) | 286.94(73.31) | 284.36(69.81) | ||||
| Group 1 | 287.10(73.99) | 285.37(74.17) | 282.43(73.81) | 284.77(73.31) | 285.37(74.17) | ||||
| Group 2 | 245.38(53.63) | 270.31(57.19) | 279.66(58.92) | *** | 262.52(58.46) | 270.31(57.19) | * | ||
| Group 3 | 285.28(67.19) | 292.59(73.44) | 302.31(62.27) | 293.79(64.78) | 292.59(73.44) | ||||
| Mental Health | Resilience | Total | 3.45(0.42) | 3.72(0.55) | 3.72(0.61) | *** | 3.59(0.54) | 3.72(0.55) | *** |
| Male | 3.51(0.41) | 3.81(0.56) | 3.72(0.58) | *** | 3.62(0.51) | 3.81(0.56) | *** | ||
| Female | 3.38(0.42) | 3.62(0.53) | 3.71(0.65) | *** | 3.55(0.57) | 3.62(0.53) | |||
| Group 1 | 3.30(0.31) | 3.26(0.36) | 3.26(0.49) | 3.56(0.55) | 3.26(0.36) | ||||
| Group 2 | 3.29(0.38) | 3.44(0.39) | 3.37(0.47) | 3.54(0.52) | 3.44(0.39) | *** | |||
| Group 3 | 3.27(0.37) | 3.40(0.40) | 3.52(0.46) | ** | 3.65(0.54) | 3.40(0.40) | ** | ||
| Self-esteem | Total | 2.64(0.33) | 2.73(0.32) | 2.74(0.34) | * | 2.69(0.34) | 2.73(0.32) | ||
| Male | 2.71(0.33) | 2.80(0.34) | 2.77(0.36) | 2.74(0.34) | 2.80(0.34) | ||||
| Female | 2.55(0.32) | 2.64(0.28) | 2.69(0.32) | * | 2.62(0.33) | 2.64(0.28) | |||
| Group 1 | 2.83(0.47) | 2.85(0.54) | 2.86(0.54) | 2.73(0.32) | 2.85(0.54) | ||||
| Group 2 | 3.01(0.45) | 2.96(0.43) | 2.99(0.46) | 2.64(0.37) | 2.96(0.43) | *** | |||
| Group 3 | 2.97(0.38) | 2.98(0.34) | 2.99(0.44) | 2.70(0.34) | 2.98(0.34) | ||||
| Vigor | Total | 3.05(1.28) | 2.67(1.39) | 2.63(1.47) | * | 2.84(1.39) | 2.67(1.39) | ||
| Male | 3.02(1.30) | 2.79(1.43) | 2.75(1.51) | 2.88(1.41) | 2.79(1.43) | ||||
| Female | 3.09(1.26) | 2.51(1.33) | 2.47(1.42) | ** | 2.78(1.37) | 2.51(1.33) | |||
| Group 1 | 2.87(1.32) | 2.50(1.28) | 2.65(1.37) | 2.76(1.34) | 2.50(1.28) | ||||
| Group 2 | 3.06(1.21) | 3.08(1.56) | 2.66(1.59) | 2.86(1.42) | 3.08(1.56) | ||||
| Group 3 | 3.22(1.31) | 2.42(1.24) | 2.57(1.49) | 2.90(1.43) | 2.42(1.24) | * | |||
| Interpersonal Competency | Total | 3.74(0.63) | 3.79(0.70) | 3.84(0.75) | 3.79(0.69) | 3.79(0.70) | |||
| Male | 3.83(0.58) | 3.86(0.68) | 3.86(0.75) | 3.84(0.67) | 3.86(0.68) | ||||
| Female | 3.63(0.68) | 3.70(0.73) | 3.83(0.76) | 3.73(0.73) | 3.70(0.73) | ||||
| Group 1 | 3.69(0.59) | 3.69(0.82) | 3.69(0.82) | 3.68(0.71) | 3.69(0.82) | ||||
| Group 2 | 3.83(0.69) | 3.80(0.67) | 3.81(0.80) | 3.81(0.74) | 3.80(0.67) | ||||
| Group 3 | 3.71(0.62) | 3.90(0.68) | 4.05(0.60) | ** | 3.88(0.63) | 3.90(0.68) | |||
| Stress | Total | 1.87(0.68) | 1.82(0.70) | 1.80(0.74) | 1.84(0.71) | 1.82(0.70) | |||
| Male | 1.84(0.69) | 1.84(0.68) | 1.80(0.68) | 1.82(0.68) | 1.84(0.68) | ||||
| Female | 1.91(0.67) | 1.80(0.73) | 1.81(0.81) | 1.86(0.74) | 1.80(0.73) | ||||
| Group 1 | 1.95(0.91) | 2.01(0.90) | 1.81(0.87) | 1.98(0.75) | 2.01(0.90) | ||||
| Group 2 | 1.68(0.72) | 1.48(0.71) | 1.62(0.96) | 1.77(0.74) | 1.48(0.71) | ||||
| Group 3 | 1.67(0.72) | 1.59(0.69) | 1.58(0.69) | 1.76(0.61) | 1.59(0.69) |
BP: blood pressure; RMSSD: root mean square of successive differences between normal heartbeats; Ln: natural logarithm (the spectral power data were log transformed); TP: total power; LF: power in the low frequency range; HF: power in the high frequency range; pNN50: percentage of successive RR intervals (interbeat intervals between all successive heartbeats) that differ by more than 50 ms; CD: cluster of differentiation molecule; IFN: interferon; TNF: tumor necrosis factor; IL: interleukin; IgA: immunoglobulin A; eNO: exhaled nitric oxide; 8-OHdG: 8-hydroxy-2-deoxyguanosine; d-ROMs: derivatives of reactive oxygen metabolites; BAP: biological antioxidant potential; BUN: blood urea nitrogen; SGOT: serum glutamic-oxaloacetic transaminase; AST: aspartate transaminase; SGPT: serum glutamic-pyruvic transaminase; ALT: alanine transaminase. * p < 0.05, ** p < 0.01, *** p < 0.001.
Appendix B
Table A2.
Result Table of Tukey’s Test for Post hoc Analysis.
Table A2.
Result Table of Tukey’s Test for Post hoc Analysis.
| Indicators | Group | Difference | Lower CI | Upper CI | p | ||
|---|---|---|---|---|---|---|---|
| Physical Examination | Systolic BP | 2–1 | −5.6477 | −10.5174 | −0.7781 | 0.0183 | * |
| 3–1 | −5.0568 | −9.9265 | −0.1872 | 0.0398 | * | ||
| 3–2 | 0.5909 | −4.2788 | 5.4606 | 0.9559 | |||
| Diastolic BP | 2–1 | −2.6023 | −6.2004 | 0.9958 | 0.2053 | ||
| 3–1 | −4.6705 | −8.2686 | −1.0723 | 0.0069 | ** | ||
| 3–2 | −2.0682 | −5.6663 | 1.5299 | 0.3663 | |||
| Heart Rate Variability | FATIGUE | 2–1 | 0.1932 | −0.2527 | 0.6390 | 0.5641 | |
| 3–1 | 0.3864 | −0.0595 | 0.8322 | 0.1042 | |||
| 3–2 | 0.1932 | −0.2527 | 0.6390 | 0.5641 | |||
| LnTP | 2–1 | −0.1298 | −0.3071 | 0.0475 | 0.1977 | ||
| 3–1 | −0.1560 | −0.3333 | 0.0213 | 0.0972 | |||
| 3–2 | −0.0263 | −0.2036 | 0.1511 | 0.9351 | |||
| LnHF | 2–1 | −0.4049 | −0.7795 | −0.0303 | 0.0306 | * | |
| 3–1 | −0.3605 | −0.7350 | 0.0141 | 0.0621 | |||
| 3–2 | 0.0444 | −0.3301 | 0.4190 | 0.9578 | |||
| Norm LF | 2–1 | 6.8182 | 0.3605 | 13.2758 | 0.0357 | * | |
| 3–1 | 1.5909 | −4.8667 | 8.0486 | 0.8306 | |||
| 3–2 | −5.2273 | −11.6849 | 1.2304 | 0.1384 | |||
| Norm HF | 2–1 | −6.8182 | −13.2758 | −0.3605 | 0.0357 | * | |
| 3–1 | −1.5909 | −8.0486 | 4.8667 | 0.8306 | |||
| 3–2 | 5.2273 | −1.2304 | 11.6849 | 0.1384 | |||
| LnLF/HF | 2–1 | 0.0711 | 0.0026 | 0.1397 | 0.0400 | * | |
| 3–1 | 0.0088 | −0.0598 | 0.0773 | 0.9514 | |||
| 3–2 | −0.0624 | −0.1310 | 0.0062 | 0.0831 | |||
| RMSSD | 2–1 | −14.4659 | −24.9313 | −4.0005 | 0.0036 | ** | |
| 3–1 | −14.7045 | −25.1700 | −4.2391 | 0.0030 | ** | ||
| 3–2 | −0.2386 | −10.7040 | 10.2268 | 0.9984 | |||
| Complete Blood Count | RBC | 2–1 | 0.0095 | −0.1582 | 0.1773 | 0.9901 | |
| 3–1 | −0.0797 | −0.2474 | 0.0881 | 0.5030 | |||
| 3–2 | −0.0892 | −0.2570 | 0.0785 | 0.4229 | |||
| Hemoglobin | 2–1 | −0.1341 | −0.6838 | 0.4156 | 0.8336 | ||
| 3–1 | −0.3205 | −0.8702 | 0.2292 | 0.3560 | |||
| 3–2 | −0.1864 | −0.7361 | 0.3633 | 0.7039 | |||
| Hematocrit | 2–1 | 0.2500 | −1.2020 | 1.7020 | 0.9133 | ||
| 3–1 | −1.2080 | −2.6600 | 0.2441 | 0.1241 | |||
| 3–2 | −1.4580 | −2.9100 | −0.0059 | 0.0488 | * | ||
| Platelet | 2–1 | 10.0341 | −13.8645 | 33.9327 | 0.5840 | ||
| 3–1 | 15.3182 | −8.5804 | 39.2168 | 0.2875 | |||
| 3–2 | 5.2841 | −18.6145 | 29.1827 | 0.8611 | |||
| WBC (Total) | 2–1 | −0.1445 | −0.7572 | 0.4681 | 0.8434 | ||
| 3–1 | 0.8806 | 0.2679 | 1.4932 | 0.0023 | ** | ||
| 3–2 | 1.0251 | 0.4125 | 1.6377 | 0.0003 | *** | ||
| Monocytes | 2–1 | −0.2341 | −0.9002 | 0.4320 | 0.6857 | ||
| 3–1 | −0.8864 | −1.5525 | −0.2203 | 0.0054 | ** | ||
| 3–2 | −0.6523 | −1.3184 | 0.0138 | 0.0564 | |||
| Eosinophils | 2–1 | 0.6852 | −0.1179 | 1.4883 | 0.1115 | ||
| 3–1 | 0.1750 | −0.6281 | 0.9781 | 0.8648 | |||
| 3–2 | −0.5102 | −1.3133 | 0.2929 | 0.2938 | |||
| Basophils | 2–1 | −0.1966 | −0.3168 | −0.0764 | 0.0004 | *** | |
| 3–1 | −0.1443 | −0.2645 | −0.0241 | 0.0138 | * | ||
| 3–2 | 0.0523 | −0.0679 | 0.1725 | 0.5616 | |||
| Biochemical Examination | Serotonin | 2–1 | 4.4818 | −16.2303 | 25.1939 | 0.8665 | |
| 3–1 | 22.9057 | 2.1936 | 43.6178 | 0.0261 | * | ||
| 3–2 | 18.4239 | −2.2882 | 39.1360 | 0.0925 | |||
| 25-(OH) Vitamin D | 2–1 | 1.0739 | −0.9514 | 3.0991 | 0.4250 | ||
| 3–1 | 1.6886 | −0.3366 | 3.7139 | 0.1229 | |||
| 3–2 | 0.6148 | −1.4105 | 2.6400 | 0.7545 | |||
| 1,25-(OH)3 Vitamin D | 2–1 | −13.7830 | −19.8088 | −7.7571 | 0.0000 | *** | |
| 3–1 | 4.4682 | −1.5577 | 10.4940 | 0.1895 | |||
| 3–2 | 18.2511 | 12.2253 | 24.2770 | 0.0000 | *** | ||
| BAP | 2–1 | 48.5568 | −17.4669 | 114.5806 | 0.1947 | ||
| 3–1 | −189.3068 | −255.3306 | −123.2831 | 0.0000 | *** | ||
| 3–2 | −237.8636 | −303.8874 | −171.8399 | 0.0000 | *** | ||
| Amylase | 2–1 | −0.8523 | −9.7808 | 8.0763 | 0.9725 | ||
| 3–1 | 3.1136 | −5.8149 | 12.0422 | 0.6897 | |||
| 3–2 | 3.9659 | −4.9626 | 12.8945 | 0.5479 | |||
| Protein | 2–1 | 0.1443 | 0.0324 | 0.2562 | 0.0073 | ** | |
| 3–1 | 0.1523 | 0.0404 | 0.2641 | 0.0043 | ** | ||
| 3–2 | 0.0080 | −0.1039 | 0.1198 | 0.9846 | |||
| Albumin | 2–1 | 0.2205 | 0.1325 | 0.3084 | 0.0000 | *** | |
| 3–1 | 0.2114 | 0.1235 | 0.2993 | 0.0000 | *** | ||
| 3–2 | −0.0091 | −0.0970 | 0.0788 | 0.9678 | |||
| Creatinine | 2–1 | −0.0352 | −0.0868 | 0.0163 | 0.2429 | ||
| 3–1 | 0.0045 | −0.0470 | 0.0561 | 0.9765 | |||
| 3–2 | 0.0398 | −0.0118 | 0.0913 | 0.1655 | |||
| BUN | 2–1 | −1.1365 | −2.1267 | −0.1460 | 0.0199 | * | |
| 3–1 | 0.3636 | −0.6267 | 1.3540 | 0.6625 | |||
| 3–2 | 1.5000 | 0.5096 | 2.4904 | 0.0012 | ** | ||
| SGOT (AST) | 2–1 | 2.8636 | 1.2026 | 4.5247 | 0.0002 | *** | |
| 3–1 | 1.8750 | 0.2140 | 3.5360 | 0.0225 | * | ||
| 3–2 | −0.9886 | −2.6497 | 0.6724 | 0.3408 | |||
| SGPT (ALT) | 2–1 | 2.5114 | 0.1228 | 4.8999 | 0.0367 | * | |
| 3–1 | 3.4091 | 1.0205 | 5.7977 | 0.0025 | ** | ||
| 3–2 | 0.8977 | −1.4908 | 3.2863 | 0.6497 | |||
| Uric Acid | 2–1 | −0.0511 | −0.4302 | 0.3279 | 0.9458 | ||
| 3–1 | 0.2818 | −0.0972 | 0.6609 | 0.1878 | |||
| 3–2 | 0.3330 | −0.0461 | 0.7120 | 0.0980 | |||
| Cholesterol (Total) | 2–1 | −4.1705 | −12.4234 | 4.0825 | 0.4595 | ||
| 3–1 | 0.3750 | −7.8780 | 8.6280 | 0.9937 | |||
| 3–2 | 4.5455 | −3.7075 | 12.7984 | 0.3974 | |||
| Glucose | 2–1 | −2.6250 | −6.8645 | 1.6145 | 0.3122 | ||
| 3–1 | 10.1932 | 5.9537 | 14.4326 | 0.0000 | *** | ||
| 3–2 | 12.8182 | 8.5787 | 17.0576 | 0.0000 | *** | ||
| Ca | 2–1 | 0.2114 | 0.1073 | 0.3155 | 0.0000 | *** | |
| 3–1 | 0.1125 | 0.0084 | 0.2166 | 0.0306 | * | ||
| 3–2 | −0.0989 | −0.2030 | 0.0052 | 0.0667 | |||
| Na | 2–1 | −1.3295 | −1.9576 | −0.7015 | 0.0000 | *** | |
| 3–1 | 0.2273 | −0.4008 | 0.8554 | 0.6704 | |||
| 3–2 | 1.5568 | 0.9287 | 2.1849 | 0.0000 | *** | ||
| Cl | 2–1 | 0.0455 | −0.6537 | 0.7446 | 0.9871 | ||
| 3–1 | 0.5455 | −0.1537 | 1.2446 | 0.1590 | |||
| 3–2 | 0.5000 | −0.1992 | 1.1992 | 0.2126 | |||
| Immuno- serological Examination | CD16+CD56 (count) | 2–1 | −38.0581 | −94.7144 | 18.5982 | 0.2546 | |
| 3–1 | 3.0067 | −53.6497 | 59.6630 | 0.9914 | |||
| 3–2 | 41.0648 | −15.5916 | 97.7211 | 0.2039 | |||
| CD16+CD56 (WB) | 2–1 | −1.6455 | −3.6798 | 0.3889 | 0.1388 | ||
| 3–1 | −1.6432 | −3.6775 | 0.3911 | 0.1396 | |||
| 3–2 | 0.0023 | −2.0320 | 2.0366 | 1.0000 | |||
| IL-8 M_Multiplex | 2–1 | 53.1813 | 34.8497 | 71.5129 | 0.0000 | *** | |
| 3–1 | 0.4193 | −17.9123 | 18.7509 | 0.9984 | |||
| 3–2 | −52.7620 | −71.0937 | −34.4304 | 0.0000 | *** | ||
| TNF-α HS M_Multiplex | 2–1 | −2.0337 | −3.3696 | −0.6977 | 0.0012 | ** | |
| 3–1 | −2.3386 | −3.6745 | −1.0026 | 0.0001 | *** | ||
| 3–2 | −0.3049 | −1.6408 | 1.0311 | 0.8527 | |||
| IFN-γ HS M_Multiplex | 2–1 | 0.7074 | −5.9449 | 7.3597 | 0.9660 | ||
| 3–1 | 3.0468 | −3.6054 | 9.6991 | 0.5276 | |||
| 3–2 | 2.3394 | −4.3129 | 8.9917 | 0.6854 | |||
| CRP | 2–1 | 0.0730 | −0.0068 | 0.1527 | 0.0806 | ||
| 3–1 | 0.0223 | −0.0574 | 0.1020 | 0.7877 | |||
| 3–2 | −0.0507 | −0.1304 | 0.0290 | 0.2933 | |||
| Urine | pH (RU) | 2–1 | 0.0682 | −0.2054 | 0.3418 | 0.8270 | |
| 3–1 | 0.3409 | 0.0673 | 0.6145 | 0.0101 | * | ||
| 3–2 | 0.2727 | −0.0009 | 0.5463 | 0.0510 | |||
| Flow cytometry | 2–1 | 0.0114 | −0.0834 | 0.1061 | 0.9569 | ||
| (E.P. CELL) | 3–1 | 0.1136 | 0.0189 | 0.2084 | 0.0140 | * | |
| 3–2 | 0.1023 | 0.0075 | 0.1971 | 0.0309 | * | ||
| Flow cytometry | 2–1 | 0.1477 | 0.0475 | 0.2480 | 0.0017 | ** | |
| (OTHER) | 3–1 | −0.0114 | −0.1116 | 0.0889 | 0.9614 | ||
| 3–2 | −0.1591 | −0.2593 | −0.0589 | 0.0007 | *** | ||
| Psychological Examination | Resilience | 2–1 | 0.2710 | 0.0822 | 0.4598 | 0.0024 | ** |
| 3–1 | 0.2660 | 0.0772 | 0.4548 | 0.0029 | ** | ||
| 3–2 | −0.0051 | −0.1939 | 0.1838 | 0.9978 | |||
| Self-esteem | 2–1 | 0.0920 | −0.0261 | 0.2102 | 0.1597 | ||
| 3–1 | 0.0955 | −0.0227 | 0.2136 | 0.1394 | |||
| 3–2 | 0.0034 | −0.1147 | 0.1215 | 0.9975 | |||
| Vigor | 2–1 | −0.3818 | −0.8718 | 0.1082 | 0.1597 | ||
| 3–1 | −0.4205 | −0.9105 | 0.0696 | 0.1088 | |||
| 3–2 | −0.0386 | −0.5287 | 0.4514 | 0.9811 | |||
1: Pre-treatment assessment, 2: Post-treatment assessment, 3: Follow up assessment. BP: blood pressure; Ln: natural logarithm (the spectral power data were log transformed); TP: total power; HF: power in the high frequency range; LF: power in the low frequency range; RMSSD: root mean square of successive differences between normal heartbeats; RBC: red blood cells; WBC: white blood cells; BAP: biological antioxidant potential; BUN: blood urea nitrogen; SGOT: serum glutamic-oxaloacetic transaminase; AST: aspartate transaminase; SGPT: serum glutamic-pyruvic transaminase; ALT: alanine transaminase; Ca: calcium; Na: sodium; Cl: chlorine; CD: cluster of differentiation molecule; IL: interleukin; TNF: tumor necrosis factor; IFN: interferon; CRP: c-reactive protein; pH: potential hydrogen; RU: ratio urine; E.P. Cell: epithelial cell. * p < 0.05, ** p < 0.01, *** p < 0.001.
Appendix C
Table A3.
Result Table of RM ANOVA by Groups.
Table A3.
Result Table of RM ANOVA by Groups.
| Indices | Group | N | Pre-Treatment Assessment | Post- Treatment Assessment | Follow-Up Assessment | F | p | ||
|---|---|---|---|---|---|---|---|---|---|
| M(SD) | M(SD) | M(SD) | |||||||
| Physiological | Systolic BP | 1 | 30 | 127.97(15.27) | 119.87(12.68) | 116.16(11.09) | 14.619 | 0.000 | *** |
| Indices | 2 | 29 | 129.00(15.26) | 116.45(14.30) | 125.21(12.93) | 100.612 | 0.000 | *** | |
| 3 | 29 | 113.62(10.41) | 117.48(11.14) | 114.59(11.52) | 1.857 | 0.166 | |||
| Diastolic BP | 1 | 30 | 74.84(13.72) | 72.87(7.64) | 70.06(11.61) | 2.209 | 0.119 | ||
| 2 | 29 | 79.86(10.12) | 72.45(11.28) | 74.10(8.99) | 9.897 | 0.000 | *** | ||
| 3 | 29 | 74.10(9.45) | 75.55(7.81) | 70.41(7.95) | 6.362 | 0.003 | ** | ||
| Pulse | 1 | 30 | 74.94(12.46) | 78.84(10.65) | 80.03(9.53) | 3.118 | 0.051 | ||
| 2 | 29 | 74.17(9.24) | 72.24(11.39) | 75.83(10.59) | 2.153 | 0.126 | |||
| 3 | 29 | 81.86(11.03) | 75.76(9.09) | 78.33(12.26) | 3.563 | 0.035 | * | ||
| Body | 1 | 30 | 36.69(0.30) | 36.61(0.35) | 36.70(0.31) | 1.224 | 0.301 | ||
| Temperature | 2 | 29 | 36.67(0.28) | 36.66(0.26) | 36.64(0.36) | 0.104 | 0.902 | ||
| 3 | 29 | 36.83(0.37) | 36.73(0.28) | 36.72(0.45) | 1.443 | 0.245 | |||
| eNO | 1 | 30 | 13.42(8.66) | 16.23(12.12) | 13.52(8.23) | 3.245 | 0.046 | * | |
| 2 | 29 | 22.21(29.68) | 22.43(29.44) | 18.68(22.15) | 3.244 | 0.047 | * | ||
| 3 | 29 | 13.17(9.48) | 15.14(14.92) | 16.59(15.77) | 2.064 | 0.136 | |||
| HR | 1 | 30 | 75.77(12.89) | 83.33(10.74) | 83.73(10.85) | 9.542 | 0.000 | *** | |
| 2 | 29 | 77.72(10.65) | 78.52(10.86) | 79.03(10.68) | 0.276 | 0.760 | |||
| 3 | 29 | 84.00(8.90) | 79.97(7.79) | 79.55(7.77) | 3.851 | 0.027 | * | ||
| SDNN | 1 | 30 | 61.90(29.48) | 49.70(26.06) | 53.13(24.22) | 3.357 | 0.042 | * | |
| 2 | 29 | 71.14(34.35) | 68.45(45.17) | 59.45(29.91) | 1.139 | 0.327 | |||
| 3 | 29 | 55.10(27.26) | 58.83(27.98) | 49.14(17.31) | 1.442 | 0.245 | |||
| RMSSD | 1 | 30 | 60.10(31.50) | 34.93(20.42) | 39.83(20.70) | 14.921 | 0.000 | *** | |
| 2 | 29 | 65.69(45.66) | 51.90(33.04) | 49.03(30.53) | 3.113 | 0.052 | |||
| 3 | 29 | 47.45(28.53) | 43.38(24.85) | 40.45(15.91) | 0.694 | 0.504 | |||
| HRV Index | 1 | 30 | 11.81(3.16) | 10.58(2.83) | 10.31(3.23) | 4.989 | 0.010 | * | |
| 2 | 29 | 12.02(3.72) | 12.23(3.73) | 11.62(4.03) | 0.355 | 0.703 | |||
| 3 | 29 | 11.01(3.74) | 11.60(3.22) | 11.24(3.35) | 0.347 | 0.708 | |||
| pNN50 | 1 | 30 | 71.43(18.08) | 59.33(17.46) | 59.00(20.49) | 8.216 | 0.001 | ** | |
| 2 | 29 | 65.55(16.32) | 67.03(16.92) | 64.24(16.36) | 0.649 | 0.527 | |||
| 3 | 29 | 64.17(12.10) | 62.28(15.71) | 69.76(11.95) | 3.338 | 0.043 | * | ||
| LnTP | 1 | 30 | 7.23(0.57) | 6.81(0.37) | 6.89(0.47) | 11.107 | 0.000 | *** | |
| 2 | 29 | 7.20(0.56) | 7.18(0.67) | 7.05(0.44) | 1.203 | 0.308 | |||
| 3 | 29 | 6.93(0.45) | 7.01(0.39) | 6.98(0.39) | 0.405 | 0.669 | |||
| LnVLF | 1 | 30 | 6.70(0.39) | 6.47(0.33) | 6.49(0.30) | 7.181 | 0.002 | ** | |
| 2 | 29 | 6.63(0.37) | 6.33(0.31) | 6.59(0.28) | 0.226 | 0.799 | |||
| 3 | 29 | 6.48(0.24) | 6.57(0.27) | 6.57(0.22) | 1.704 | 0.191 | |||
| LnLF | 1 | 30 | 5.35(1.09) | 4.78(0.82) | 4.92(1.15) | 3.624 | 0.033 | * | |
| 2 | 29 | 5.52(1.19) | 5.53(1.33) | 5.11(1.18) | 1.571 | 0.217 | |||
| 3 | 29 | 5.04(1.10) | 5.38(0.77) | 4.99(1.09) | 2.486 | 0.092 | |||
| LnHF | 1 | 30 | 5.41(1.04) | 4.47(0.81) | 4.60(1.04) | 14.700 | 0.000 | *** | |
| 2 | 29 | 5.14(1.23) | 4.96(1.18) | 4.86(1.16) | 0.988 | 0.379 | |||
| 3 | 29 | 4.80(1.15) | 4.73(0.89) | 4.82(0.86) | 0.138 | 0.871 | |||
| Norm LF | 1 | 30 | 48.57(18.60) | 56.07(18.96) | 57.43(14.11) | 3.226 | 0.047 | * | |
| 2 | 29 | 58.21(19.97) | 62.31(17.56) | 55.38(21.00) | 1.496 | 0.233 | |||
| 3 | 29 | 55.28(16.24) | 64.10(14.40) | 53.76(20.65) | 5.262 | 0.008 | ** | ||
| Norm HF | 1 | 30 | 51.43(18.60) | 43.93(18.96) | 42.57(14.11) | 3.226 | 0.047 | * | |
| 2 | 29 | 41.79(19.97) | 37.69(17.56) | 44.62(21.00) | 1.496 | 0.233 | |||
| 3 | 29 | 44.72(16.24) | 35.90(14.40) | 46.24(20.65) | 5.262 | 0.008 | ** | ||
| LnLF/HF | 1 | 30 | 1.00(0.17) | 1.09(0.22) | 1.08(0.14) | 2.978 | 0.059 | ||
| 2 | 29 | 1.09(0.20) | 1.13(0.18) | 1.07(0.23) | 1.153 | 0.323 | |||
| 3 | 29 | 1.07(0.19) | 1.16(0.18) | 1.05(0.21) | 4.302 | 0.018 | * | ||
| PSI | 1 | 30 | 4.83(0.63) | 5.03(0.62) | 5.00(0.67) | 2.090 | 0.133 | ||
| 2 | 29 | 4.67(0.80) | 4.72(0.70) | 4.85(0.80) | 0.674 | 0.514 | |||
| 3 | 29 | 4.92(0.72) | 4.82(0.62) | 4.98(0.52) | 0.749 | 0.478 | |||
| STRESS | 1 | 30 | 4.43(2.30) | 5.70(1.74) | 5.60(2.42) | 4.667 | 0.013 | * | |
| 2 | 29 | 4.10(2.54) | 4.17(2.42) | 4.72(2.39) | 0.946 | 0.394 | |||
| 3 | 29 | 5.24(2.43) | 4.52(1.99) | 5.24(2.36) | 1.886 | 0.161 | |||
| HEALTH | 1 | 30 | 78.87(6.49) | 76.00(6.92) | 75.13(9.24) | 2.573 | 0.085 | ||
| 2 | 29 | 80.03(8.49) | 79.14(7.93) | 77.5(8.73) | 1.501 | 0.230 | |||
| 3 | 29 | 77.59(9.23) | 80.34(6.56) | 77.55(7.59) | 2.145 | 0.127 | |||
| FATIGUE | 1 | 30 | 2.30(1.02) | 2.97(1.03) | 2.97(1.40) | 4.411 | 0.016 | * | |
| 2 | 29 | 2.10(1.37) | 2.34(1.20) | 2.52(1.45) | 1.295 | 0.282 | |||
| 3 | 29 | 2.66(1.34) | 2.31(1.04) | 2.72(1.25) | 2.188 | 0.122 | |||
| RBC | 1 | 30 | 4.80(0.41) | 4.88(0.43) | 4.76(0.40) | 9.513 | 0.000 | *** | |
| 2 | 29 | 4.95(0.55) | 4.91(0.50) | 4.84(0.50) | 4.633 | 0.014 | * | ||
| 3 | 29 | 4.78(0.49) | 4.78(0.48) | 4.69(0.47) | 3.719 | 0.030 | * | ||
| Hb | 1 | 30 | 13.40(1.55) | 13.46(1.54) | 13.17(1.54) | 8.489 | 0.001 | ** | |
| 2 | 29 | 14.32(1.59) | 13.99(1.44) | 13.86(1.54) | 9.834 | 0.000 | *** | ||
| 3 | 29 | 13.80(1.57) | 13.66(1.57) | 13.52(1.47) | 4.202 | 0.020 | * | ||
| Hct | 1 | 30 | 42.31(3.97) | 43.09(4.06) | 40.89(3.91) | 36.392 | 0.000 | *** | |
| 2 | 29 | 44.47(4.24) | 44.21(4.00) | 41.85(3.92) | 33.646 | 0.000 | *** | ||
| 3 | 29 | 41.44(4.08) | 41.65(3.84) | 41.86(4.07) | 1.135 | 0.329 | |||
| Platelet | 1 | 30 | 287.10(73.99) | 285.37(74.17) | 282.43(73.81) | 0.308 | 0.736 | ||
| 2 | 29 | 245.38(53.63) | 270.31(57.19) | 279.66(58.92) | 38.796 | 0.000 | *** | ||
| 3 | 29 | 285.28(67.19) | 292.59(73.44) | 302.31(62.27) | 2.886 | 0.064 | |||
| WBC | 1 | 30 | 7.08(1.39) | 6.00(1.59) | 6.89(1.73) | 8.786 | 0.000 | *** | |
| 2 | 29 | 5.00(1.40) | 6.10(1.34) | 7.69(1.78) | 56.835 | 0.000 | *** | ||
| 3 | 29 | 7.36(1.48) | 6.94(1.86) | 7.54(1.73) | 3.472 | 0.038 | * | ||
| Neutrophil | 1 | 30 | 56.92(9.55) | 50.24(9.54) | 53.68(8.69) | 10.437 | 0.000 | *** | |
| Seg. | 2 | 29 | 46.86(12.17) | 51.46(9.88) | 53.25(9.87) | 7.835 | 0.001 | ** | |
| 3 | 29 | 52.53(6.88) | 54.09(9.12) | 53.28(8.36) | 0.436 | 0.649 | |||
| Lymphocyte | 1 | 30 | 32.66(8.34) | 37.59(8.77) | 35.82(7.12) | 6.755 | 0.002 | ** | |
| 2 | 29 | 39.41(10.74) | 36.59(9.01) | 35.98(9.58) | 3.283 | 0.045 | * | ||
| 3 | 29 | 36.48(6.68) | 34.19(8.58) | 35.44(7.81) | 1.181 | 0.315 | |||
| Monocyte | 1 | 30 | 7.81(1.82) | 8.32(1.88) | 7.26(1.43) | 4.921 | 0.011 | * | |
| 2 | 29 | 9.61(2.28) | 8.12(1.82) | 7.64(1.36) | 14.476 | 0.000 | *** | ||
| 3 | 29 | 7.96(1.86) | 8.22(1.82) | 7.81(2.03) | 1.070 | 0.350 | |||
| Eosinophil | 1 | 30 | 1.88(1.74) | 3.11(2.52) | 2.48(1.89) | 10.419 | 0.000 | *** | |
| 2 | 29 | 2.90(2.17) | 3.14(2.13) | 2.30(1.55) | 6.426 | 0.003 | ** | ||
| 3 | 29 | 2.27(1.46) | 2.82(2.19) | 2.77(3.86) | 0.823 | 0.444 | |||
| Basophil | 1 | 30 | 0.74(0.33) | 0.74(0.33) | 0.75(0.35) | 0.036 | 0.965 | ||
| 2 | 29 | 1.22(0.37) | 0.69(0.25) | 0.83(0.32) | 26.099 | 0.000 | *** | ||
| 3 | 29 | 0.76(0.27) | 0.69(0.29) | 0.70(0.30) | 1.817 | 0.172 | |||
| IL-4 HS | 1 | 30 | 69.28(40.10) | 70.40(48.18) | 83.04(44.94) | 6.215 | 0.004 | ** | |
| M_Multiplex | 2 | 29 | 100.70(67.04) | 77.72(48.14) | 88.74(60.56) | 10.753 | 0.000 | *** | |
| 3 | 29 | 84.48(62.96) | 97.70(77.87) | 64.24(67.84) | 32.681 | 0.000 | *** | ||
| IL-8 | 1 | 30 | 12.12(9.71) | 118.79(107.18) | 17.33(11.13) | 31.546 | 0.000 | *** | |
| M Multiplex | 2 | 29 | 16.81(11.16) | 78.00(56.71) | 13.40(12.56) | 39.377 | 0.000 | *** | |
| 3 | 29 | 32.91(36.96) | 22.76(24.52) | 32.21(43.37) | 3.194 | 0.049 | * | ||
| TNF-α HS | 1 | 30 | 16.11(2.99) | 14.66(3.52) | 15.50(3.56) | 3.988 | 0.024 | * | |
| M Multiplex | 2 | 29 | 17.66(3.81) | 12.84(3.36) | 13.22(2.57) | 66.652 | 0.000 | *** | |
| 3 | 29 | 15.74(4.34) | 15.88(3.83) | 13.71(4.52) | 6.699 | 0.002 | ** | ||
| IFN-γ HS | 1 | 30 | 28.44(11.72) | 29.47(13.63) | 36.11(15.70) | 19.251 | 0.000 | *** | |
| M Multiplex | 2 | 29 | 32.47(12.38) | 26.74(9.21) | 33.75(16.38) | 8.188 | 0.001 | ** | |
| 3 | 29 | 34.64(21.67) | 41.45(31.81) | 34.67(23.20) | 4.495 | 0.015 | * | ||
| CD16+ | 1 | 30 | 301.49(152.92) | 318.63(159.84) | 364.00(172.09) | 5.228 | 0.008 | ** | |
| CD56 (count) | 2 | 29 | 284.50(155.22) | 250.83(108.97) | 268.57(204.46) | 0.441 | 0.645 | ||
| 3 | 29 | 365.90(151.71) | 266.35(140.01) | 326.28(154.44) | 6.856 | 0.002 | ** | ||
| CD16+ | 1 | 30 | 13.53(6.24) | 14.66(6.35) | 15.01(5.97) | 2.034 | 0.140 | ||
| CD56 (WB) | 2 | 29 | 15.27(7.36) | 11.48(4.26) | 9.96(5.84) | 12.399 | 0.000 | *** | |
| 3 | 29 | 13.62(4.18) | 11.25(4.12) | 12.42(4.73) | 4.265 | 0.019 | * | ||
| CRP | 1 | 30 | 0.08(0.18) | 0.16(0.35) | 0.14(0.36) | 0.996 | 0.375 | ||
| 2 | 29 | 0.04(0.07) | 0.09(0.22) | 0.04(0.09) | 1.984 | 0.147 | |||
| 3 | 29 | 0.06(0.11) | 0.14(0.29) | 0.06(0.10) | 2.803 | 0.069 | |||
| IgA (S) | 1 | 30 | 178.43(54.04) | 180.78(52.18) | 178.06(52.73) | 1.366 | 0.263 | ||
| 2 | 29 | 182.48(57.38) | 181.32(54.42) | 175.86(53.26) | 5.108 | 0.009 | ** | ||
| 3 | 29 | 190.25(82.18) | 187.31(78.61) | 183.42(73.72) | 0.120 | 0.887 | |||
| Protein, | 1 | 30 | 7.21(0.29) | 7.29(0.28) | 7.25(0.26) | 1.767 | 0.180 | ||
| total | 2 | 29 | 7.08(0.29) | 7.31(0.34) | 7.27(0.34) | 11.232 | 0.000 | *** | |
| 3 | 29 | 7.32(0.25) | 7.44(0.29) | 7.54(0.35) | 6.811 | 0.002 | ** | ||
| Albumin | 1 | 30 | 4.63(0.27) | 4.79(0.22) | 4.80(0.23) | 14.911 | 0.000 | *** | |
| 2 | 29 | 4.59(0.19) | 4.90(0.20) | 4.75(0.24) | 33.338 | 0.000 | *** | ||
| 3 | 29 | 4.74(0.20) | 4.92(0.24) | 5.03(0.29) | 20.248 | 0.000 | *** | ||
| Creatinine | 1 | 30 | 0.73(0.16) | 0.73(0.15) | 0.76(0.16) | 2.027 | 0.141 | ||
| 2 | 29 | 0.78(0.15) | 0.75(0.12) | 0.79(0.13) | 4.039 | 0.023 | * | ||
| 3 | 29 | 0.78(0.15) | 0.70(0.13) | 0.76(0.14) | 8.790 | 0.000 | *** | ||
| BUN | 1 | 30 | 11.23(2.86) | 9.97(2.85) | 13.27(3.05) | 27.655 | 0.000 | *** | |
| 2 | 29 | 11.90(3.02) | 10.93(2.51) | 11.62(2.51) | 1.985 | 0.147 | |||
| 3 | 29 | 13.41(2.98) | 12.24(2.20) | 12.69(1.91) | 2.736 | 0.073 | |||
| Bilirubin, | 1 | 30 | 0.47(0.26) | 0.51(0.25) | 0.52(0.28) | 0.546 | 0.582 | ||
| total | 2 | 29 | 0.54(0.24) | 0.48(0.20) | 0.51(0.28) | 1.304 | 0.280 | ||
| 3 | 29 | 0.36(0.17) | 0.44(0.26) | 0.43(0.32) | 3.031 | 0.056 | |||
| AST (SGOT) | 1 | 30 | 16.60(3.63) | 19.53(6.28) | 17.97(5.82) | 5.443 | 0.007 | ** | |
| 2 | 29 | 15.38(3.20) | 19.24(5.06) | 17.10(4.47) | 11.640 | 0.000 | *** | ||
| 3 | 29 | 15.14(3.79) | 16.93(3.51) | 17.69(5.06) | 5.602 | 0.006 | ** | ||
| ALT (SGPT) | 1 | 30 | 8.90(4.57) | 11.23(10.26) | 10.30(6.93) | 2.808 | 0.069 | ||
| 2 | 29 | 9.28(5.16) | 12.45(7.92) | 13.69(8.34) | 6.618 | 0.003 | ** | ||
| 3 | 29 | 7.28(3.45) | 9.31(3.87) | 11.76(6.42) | 17.924 | 0.000 | *** | ||
| ALP | 1 | 30 | 154.87(113.04) | 156.83(117.04) | 152.83(112.45) | 1.148 | 0.324 | ||
| 2 | 29 | 133.55(92.53) | 136.41(94.25) | 128.17(86.82) | 7.051 | 0.002 | ** | ||
| 3 | 29 | 118.76(67.82) | 116.83(64.60) | 115.41(60.99) | 0.229 | 0.796 | |||
| Uric Acid | 1 | 30 | 5.20(1.09) | 5.34(1.11) | 5.92(1.08) | 19.052 | 0.000 | *** | |
| 2 | 29 | 5.60(1.10) | 5.45(1.14) | 5.83(1.02) | 5.567 | 0.006 | ** | ||
| 3 | 29 | 5.51(0.91) | 5.36(1.04) | 5.39(1.08) | 0.893 | 0.415 | |||
| Cholesterol, | 1 | 30 | 144.20(20.05) | 137.60(20.94) | 141.27(20.82) | 5.042 | 0.010 | * | |
| total | 2 | 29 | 148.10(26.69) | 148.90(28.00) | 153.21(26.17) | 2.237 | 0.116 | ||
| 3 | 29 | 151.03(18.96) | 144.41(20.26) | 150.10(24.15) | 4.130 | 0.021 | * | ||
| Glucose (S) | 1 | 30 | 83.77(12.40) | 80.80(9.48) | 97.63(13.27) | 25.270 | 0.000 | *** | |
| 2 | 29 | 88.62(9.33) | 87.76(8.96) | 98.93(10.60) | 12.857 | 0.000 | *** | ||
| 3 | 29 | 86.90(13.63) | 82.86(9.76) | 93.17(16.51) | 4.105 | 0.022 | * | ||
| Inorganic- | 1 | 30 | 4.13(0.84) | 3.99(0.69) | 4.35(0.62) | 8.244 | 0.001 | ** | |
| phosphorus | 2 | 29 | 3.81(0.42) | 4.16(0.59) | 4.00(0.51) | 8.020 | 0.001 | ** | |
| 3 | 29 | 4.38(0.58) | 4.30(0.46) | 4.28(0.48) | 0.499 | 0.610 | |||
| Calcium | 1 | 30 | 9.54(0.28) | 9.79(0.24) | 9.54(0.20) | 19.572 | 0.000 | *** | |
| 2 | 29 | 9.76(0.27) | 9.88(0.37) | 9.87(0.24) | 2.626 | 0.081 | |||
| 3 | 29 | 9.56(0.25) | 9.83(0.31) | 9.79(0.30) | 14.308 | 0.000 | *** | ||
| Na (Sodium) | 1 | 30 | 141.33(1.99) | 140.60(1.81) | 141.53(1.55) | 4.592 | 0.014 | * | |
| 2 | 29 | 141.76(1.41) | 139.48(1.12) | 140.45(1.53) | 30.133 | 0.000 | *** | ||
| 3 | 29 | 141.34(1.70) | 140.34(1.90) | 143.14(1.57) | 26.990 | 0.000 | *** | ||
| K | 1 | 30 | 4.22(0.36) | 4.04(0.37) | 4.12(0.35) | 4.374 | 0.017 | * | |
| (Potassium) | 2 | 29 | 4.34(0.25) | 4.27(0.28) | 4.29(0.26) | 1.183 | 0.314 | ||
| 3 | 29 | 4.07(0.31) | 4.16(0.30) | 4.28(0.24) | 7.040 | 0.002 | ** | ||
| Cl (Chlorine) | 1 | 30 | 100.97(2.51) | 101.17(2.29) | 101.60(2.44) | 1.576 | 0.215 | ||
| 2 | 29 | 101.52(1.64) | 100.93(1.41) | 100.31(1.28) | 9.509 | 0.000 | *** | ||
| 3 | 29 | 100.66(1.49) | 101.17(1.69) | 102.86(1.64) | 23.843 | 0.000 | *** | ||
| Cortisol | 1 | 30 | 5.81(2.78) | 6.23(2.54) | 5.55(1.96) | 0.730 | 0.486 | ||
| (CIA) | 2 | 29 | 6.74(2.26) | 6.34(2.78) | 7.32(3.20) | 1.412 | 0.252 | ||
| 3 | 29 | 6.55(2.61) | 7.30(2.55) | 6.94(3.19) | 0.667 | 0.517 | |||
| Serotonin | 1 | 30 | 152.26(44.52) | 138.55(41.34) | 177.58(50.76) | 29.350 | 0.000 | *** | |
| (HPLC) | 2 | 29 | 155.76(52.38) | 186.54(79.57) | 192.77(74.88) | 9.905 | 0.000 | *** | |
| 3 | 29 | 129.68(45.01) | 126.67(44.53) | 135.98(46.78) | 0.737 | 0.483 | * | ||
| 1,25-(OH)2 | 1 | 30 | 29.18(16.63) | 8.53(7.23) | 23.37(16.07) | 31.386 | 0.000 | *** | |
| vitamin D | 2 | 29 | 27.86(14.34) | 23.16(22.31) | 22.97(12.12) | 1.314 | 0.277 | ||
| 3 | 29 | 25.69(16.41) | 9.93(8.49) | 50.16(15.25) | 79.349 | 0.000 | *** | ||
| 25-(OH) | 1 | 30 | 21.89(7.08) | 21.31(6.59) | 21.72(6.53) | 1.931 | 0.154 | ||
| vitamin D | 2 | 29 | 19.62(4.47) | 21.15(5.02) | 21.63(4.59) | 16.818 | 0.000 | *** | |
| 3 | 29 | 18.52(6.11) | 20.86(5.21) | 21.81(4.97) | 15.277 | 0.000 | *** | ||
| d-ROMs | 1 | 30 | 314.60(62.27) | 320.30(66.39) | 319.83(65.82) | 0.640 | 0.531 | ||
| 2 | 29 | 314.24(72.53) | 314.90(68.87) | 307.45(73.36) | 1.054 | 0.355 | |||
| 3 | 29 | 304.07(60.55) | 303.00(59.59) | 317.17(56.02) | 3.484 | 0.037 | * | ||
| BAP | 1 | 30 | 2138.30(140.26) | 2171.33(166.45) | 1840.37(131.38) | 139.420 | 0.000 | *** | |
| 2 | 29 | 2130.21(173.30) | 2176.17(148.53) | 1850.76(204.81) | 85.761 | 0.000 | *** | ||
| 3 | 29 | 2132.97(161.29) | 2200.17(174.47) | 2146.17(202.37) | 2.739 | 0.073 | |||
| Amylase (S) | 1 | 30 | 74.23(31.09) | 72.50(26.43) | 75.70(31.16) | 0.624 | 0.539 | ||
| 2 | 29 | 62.00(20.77) | 62.14(15.72) | 66.28(27.20) | 2.009 | 0.144 | |||
| 3 | 29 | 64.93(20.30) | 64.00(20.80) | 68.59(26.25) | 3.143 | 0.051 | |||
| α-Amylase | 1 | 30 | 16.87(13.41) | 12.34(10.65) | 24.57(15.83) | 3.261 | 0.056 | ||
| (Saliva) | 2 | 29 | 8.90(9.64) | 8.85(7.69) | 7.56(7.08) | 0.121 | 0.887 | ||
| 3 | 29 | 18.44(13.25) | 8.55(5.71) | 7.51(7.47) | 10.077 | 0.000 | *** | ||
| Secretory | 1 | 30 | 19.75(16.11) | 117.79(102.80) | 70.54(55.36) | 7.401 | 0.004 | ** | |
| IgA (Saliva) | 2 | 29 | 34.25(30.46) | 65.83(51.01) | 91.33(64.76) | 12.037 | 0.000 | *** | |
| 3 | 29 | 78.76(66.31) | 87.63(84.92) | 115.48(57.67) | 3.110 | 0.054 | |||
| Cortisol | 1 | 30 | 0.09(0.09) | 0.10(0.03) | 0.10(0.05) | 0.086 | 0.918 | ||
| (Saliva) | 2 | 29 | 0.09(0.05) | 0.07(0.04) | 0.15(0.09) | 8.906 | 0.001 | ** | |
| 3 | 29 | 0.10(0.09) | 0.11(0.07) | 0.10(0.05) | 0.071 | 0.931 | |||
| Creatinine | 1 | 30 | 145.86(70.55) | 166.46(64.90) | 174.75(53.43) | 1.891 | 0.160 | ||
| (RU) | 2 | 29 | 152.81(91.06) | 177.76(89.02) | 139.09(70.60) | 2.869 | 0.065 | ||
| 3 | 29 | 178.62(85.26) | 181.72(60.52) | 181.18(86.84) | 0.018 | 0.982 | |||
| pH | 1 | 30 | 6.15(0.87) | 6.15(0.72) | 6.63(0.63) | 4.517 | 0.015 | * | |
| (RU) | 2 | 29 | 5.88(0.88) | 6.12(0.66) | 6.16(0.90) | 1.358 | 0.266 | ||
| 3 | 29 | 6.12(0.82) | 6.09(0.58) | 6.38(0.76) | 1.968 | 0.149 | |||
| Specific | 1 | 30 | 1.02(0.01) | 1.02(0.01) | 1.03(0.00) | 5.286 | 0.008 | ** | |
| Gravity (RU) | 2 | 29 | 1.02(0.01) | 1.02(0.01) | 1.02(0.01) | 1.638 | 0.203 | ||
| 3 | 29 | 1.02(0.01) | 1.03(0.01) | 1.02(0.01) | 1.933 | 0.154 | |||
| 8-OHdG (U) | 1 | 30 | 11.73(5.95) | 14.69(6.59) | 12.47(6.52) | 2.467 | 0.094 | ||
| 2 | 29 | 11.60(6.78) | 12.95(6.56) | 11.43(5.87) | 0.794 | 0.457 | |||
| 3 | 29 | 13.61(8.08) | 11.73(3.91) | 11.42(5.91) | 1.336 | 0.271 | |||
| Psychological | Resilience | 1 | 30 | 3.30(0.31) | 3.26(0.36) | 3.26(0.49) | 0.244 | 0.784 | |
| Indices | 2 | 29 | 3.29(0.38) | 3.44(0.39) | 3.37(0.47) | 2.212 | 0.119 | ||
| 3 | 29 | 3.27(0.37) | 3.40(0.40) | 3.52(0.46) | 6.630 | 0.003 | ** | ||
| Interpersonal | 1 | 30 | 3.69(0.59) | 3.69(0.82) | 3.69(0.82) | 0.000 | 1.000 | ||
| Competency | 2 | 29 | 3.83(0.69) | 3.80(0.67) | 3.81(0.80) | 0.046 | 0.956 | ||
| 3 | 29 | 3.71(0.62) | 3.90(0.68) | 4.05(0.60) | 5.216 | 0.008 | ** | ||
| Self-esteem | 1 | 30 | 2.83(0.47) | 2.85(0.54) | 2.86(0.54) | 0.121 | 0.886 | ||
| 2 | 29 | 3.01(0.45) | 2.96(0.43) | 2.99(0.46) | 0.240 | 0.787 | |||
| 3 | 29 | 2.97(0.38) | 2.98(0.34) | 2.99(0.44) | 0.044 | 0.957 | |||
| Stress | 1 | 30 | 1.95(0.91) | 2.01(0.90) | 1.81(0.87) | 2.015 | 0.143 | ||
| 2 | 29 | 1.68(0.72) | 1.48(0.71) | 1.62(0.96) | 1.067 | 0.351 | |||
| 3 | 29 | 1.67(0.72) | 1.59(0.69) | 1.58(0.69) | 0.314 | 0.732 | |||
| Vigor | 1 | 30 | 2.87(1.32) | 2.50(1.28) | 2.65(1.37) | 0.953 | 0.392 | ||
| 2 | 29 | 3.06(1.21) | 3.08(1.56) | 2.66(1.59) | 1.008 | 0.371 | |||
| 3 | 29 | 3.22(1.31) | 2.42(1.24) | 2.57(1.49) | 5.930 | 0.005 | |||
Group 1: 1-week-after group; Group 2: 2-weeks-after group; Group 3: 4-weeks-after group; BP: blood pressure; eNO: exhaled nitric oxide; HR: heart rate; SDNN: standard deviation of normal-to-normal intervals; RMSSD: root mean square of successive differences between normal heartbeats; HRV: heart rate variability; pNN50: percentage of successive RR intervals (interbeat intervals between all successive heartbeats) that differ by more than 50 ms; Ln: natural logarithm (the spectral power data were log transformed); TP: total power; VLF: power in the very low frequency range; LF: power in the low frequency range; HF: power in the high frequency range; PSI: physiological strain index; RBC: red blood cells; Hb: hemoglobin; Hct: hematocrit; WBC: white blood cells; Seg.: segmented; IL: interleukin; TNF: tumor necrosis factor; IFN: interferon; CD: cluster of differentiation molecule; CRP: c-reactive protein; IgA: immunoglobulin A; BUN: blood urea nitrogen; AST: aspartate transaminase; SGOT: serum glutamic-oxaloacetic transaminase; ALT: alanine transaminase; SGPT: serum glutamic-pyruvic transaminase; ALP: alkaline phosphatase; d-ROMs: derivatives of reactive oxygen metabolites; BAP: biological antioxidant potential; pH: potential hydrogen; 8-OHdG: 8-hydroxy-2-deoxyguanosine. * p < 0.05, ** p < 0.01, *** p < 0.001.
Appendix D
Table A4.
Result Table of Participant’s Allergy Status.
Table A4.
Result Table of Participant’s Allergy Status.
| Classification | Allergens | Results | Groups | Total | ||
|---|---|---|---|---|---|---|
| Group 1 | Group 2 | Group 3 | ||||
| Plants | Grass | Negative | 31 | 26 | 28 | 85 |
| Positive | 2 | 3 | 1 | 6 | ||
| Tree 1 (bloom in early spring) | Negative | 28 | 28 | 28 | 84 | |
| Positive | 5 | 1 | 0 | 6 | ||
| Tree 2 (bloom in late spring) | Negative | 28 | 27 | 28 | 83 | |
| Positive | 5 | 2 | 0 | 7 | ||
| Mugwort | Negative | 31 | 29 | 29 | 89 | |
| Positive | 2 | 0 | 0 | 2 | ||
| Birch | Negative | 28 | 27 | 28 | 83 | |
| Positive | 4 | 2 | 0 | 6 | ||
| Nettle | Negative | 31 | 27 | 28 | 86 | |
| Positive | 2 | 2 | 0 | 4 | ||
| Oak | Negative | 28 | 27 | 28 | 83 | |
| Positive | 5 | 1 | 0 | 6 | ||
| Alder | Negative | 29 | 28 | 28 | 85 | |
| Positive | 4 | 1 | 0 | 5 | ||
| Humulus Japonicus | Negative | 28 | 28 | 28 | 84 | |
| Positive | 5 | 1 | 0 | 6 | ||
| Bermuda grass | Negative | 30 | 28 | 29 | 87 | |
| Positive | 3 | 1 | 0 | 4 | ||
| Orchard grass | Negative | 30 | 27 | 29 | 86 | |
| Positive | 3 | 2 | 0 | 5 | ||
| Poplar | Negative | 30 | 29 | 29 | 88 | |
| Positive | 3 | 0 | 0 | 3 | ||
| Ragweed | Negative | 31 | 29 | 29 | 89 | |
| Positive | 2 | 0 | 0 | 2 | ||
| Engl. Plantain | Negative | 28 | 28 | 29 | 85 | |
| Positive | 5 | 1 | 0 | 6 | ||
| Timothy grass | Negative | 32 | 26 | 29 | 87 | |
| Positive | 1 | 3 | 0 | 4 | ||
| Meadow Fescue | Negative | 31 | 27 | 29 | 87 | |
| Positive | 2 | 2 | 0 | 4 | ||
| Total Allergy Reaction Counts | 53 | 22 | 1 | 76 | ||
| Molds | Mold 1 | Negative | 33 | 28 | 29 | 90 |
| Positive | 0 | 1 | 0 | 1 | ||
| Mold 2 | Negative | 32 | 27 | 29 | 88 | |
| Positive | 1 | 2 | 0 | 3 | ||
| Alternaria | Negative | 31 | 26 | 25 | 82 | |
| Positive | 2 | 3 | 3 | 8 | ||
| Aspergillus | Negative | 31 | 28 | 29 | 88 | |
| Positive | 2 | 1 | 0 | 3 | ||
| Candida | Negative | 33 | 29 | 29 | 91 | |
| Positive | 0 | 0 | 0 | 0 | ||
| Cladosporium | Negative | 32 | 27 | 29 | 88 | |
| Positive | 1 | 2 | 0 | 3 | ||
| Penicillium | Negative | 32 | 27 | 29 | 88 | |
| Positive | 1 | 2 | 0 | 3 | ||
| Total Allergy Reaction Counts | 7 | 11 | 3 | 21 | ||
| Animals, Pests, and Dust Mites | Dog | Negative | 31 | 29 | 29 | 89 |
| Positive | 2 | 0 | 0 | 2 | ||
| Cat | Negative | 28 | 28 | 27 | 83 | |
| Positive | 5 | 1 | 2 | 8 | ||
| D. Farinae | Negative | 24 | 19 | 26 | 69 | |
| Positive | 9 | 10 | 3 | 22 | ||
| D. pteronys | Negative | 21 | 19 | 24 | 64 | |
| Positive | 12 | 10 | 5 | 27 | ||
| Tyrophagus | Negative | 28 | 24 | 29 | 81 | |
| Positive | 5 | 5 | 0 | 10 | ||
| Cockroach | Negative | 31 | 24 | 28 | 83 | |
| Positive | 2 | 4 | 1 | 7 | ||
| Total Allergy Reaction Counts | 35 | 30 | 11 | 76 | ||
Group 1: 1-week-after group; Group 2: 2-weeks-after group; Group 3: 4-weeks-after group.
References
- Ma, B.; Zhou, T.; Lei, S.; Wen, Y.; Htun, T.T. Effects of urban green spaces on residents’ well-being. Environ. Dev. Sustain. 2019, 21, 2793–2809. [Google Scholar] [CrossRef]
- Shanahan, D.F.; Bush, R.; Gaston, K.J.; Lin, B.B.; Dean, J.; Barber, E.; Fuller, R.A. Health benefits from nature experiences depend on dose. Sci. Rep. 2016, 6, 1–10. [Google Scholar] [CrossRef]
- Dadvand, P.; Villanueva, C.M.; Font-Ribera, L.; Martinez, D.; Basagaña, X.; Belmonte, J.; Vrijheid, M.; Gražulevičienė, R.; Kogevinas, M.; Nieuwenhuijsen, M.J. Risks and benefits of green spaces for children: A cross-sectional study of associations with sedentary behavior, obesity, asthma, and allergy. Environ. Health Perspect. 2014, 122, 1329–1335. [Google Scholar] [CrossRef] [PubMed]
- Bell, J.F.; Wilson, J.S.; Liu, G.C. Neighborhood greenness and 2-year changes in body mass index of children and youth. Am. J. Prev. Med. 2008, 35, 547–553. [Google Scholar] [CrossRef]
- Lee, A.C.; Maheswaran, R. The health benefits of urban green spaces: A review of the evidence. J. Public Health 2011, 33, 212–222. [Google Scholar] [CrossRef]
- Richardson, E.A.; Pearce, J.; Mitchell, R.; Kingham, S. Role of physical activity in the relationship between urban green space and health. Public Health 2013, 127, 318–324. [Google Scholar] [CrossRef]
- Ochiai, H.; Ikei, H.; Song, C.; Kobayashi, M.; Takamatsu, A.; Miura, T.; Kagawa, T.; Li, Q.; Kumeda, S.; Imai, M. Physiological and psychological effects of forest therapy on middle-aged males with high-normal blood pressure. Int. J. Environ. Res. Public Health 2015, 12, 2532–2542. [Google Scholar] [CrossRef] [PubMed]
- Barton, J.; Griffin, M.; Pretty, J. Exercise-, nature-and socially interactive-based initiatives improve mood and self-esteem in the clinical population. Perspect. Public Health 2012, 132, 89–96. [Google Scholar] [CrossRef] [PubMed]
- Barton, J.; Pretty, J. What is the best dose of nature and green exercise for improving mental health? A multi-study analysis. Environ. Sci. Technol. 2010, 44, 3947–3955. [Google Scholar] [CrossRef]
- Lee, J.; Tsunetsugu, Y.; Takayama, N.; Park, B.-J.; Li, Q.; Song, C.; Komatsu, M.; Ikei, H.; Tyrväinen, L.; Kagawa, T. Influence of forest therapy on cardiovascular relaxation in young adults. Evid.-Based Complement. Altern. Med. 2014, 2014. [Google Scholar] [CrossRef]
- Li, Q.; Kawada, T. Effect of forest therapy on the human psycho-neuro-endocrino-immune network. Nihon Eiseigaku Zasshi Jpn. J. Hyg. 2011, 66, 645–650. [Google Scholar] [CrossRef] [PubMed]
- Han, J.-W.; Choi, H.; Jeon, Y.-H.; Yoon, C.-H.; Woo, J.-M.; Kim, W. The effects of forest therapy on coping with chronic widespread pain: Physiological and psychological differences between participants in a forest therapy program and a control group. Int. J. Environ. Res. Public Health 2016, 13, 255. [Google Scholar] [CrossRef] [PubMed]
- Sung, J.; Woo, J.-M.; Kim, W.; Lim, S.-K.; Chung, E.-J. The Effect of Cognitive Behavior Therapy-based “Forest Therapy” Program on blood pressure, salivary cortisol level, and quality of life in elderly hypertensive patients. Clin. Exp. Hypertens. 2012, 34, 1–7. [Google Scholar] [CrossRef]
- Park, B.-J.; Shin, C.-S.; Shin, W.-S.; Chung, C.-Y.; Lee, S.-H.; Kim, D.-J.; Kim, Y.-H.; Park, C.-E. Effects of forest therapy on health promotion among middle-aged women: Focusing on physiological indicators. Int. J. Environ. Res. Public Health 2020, 17, 4348. [Google Scholar] [CrossRef] [PubMed]
- Bielinis, E.; Bielinis, L.; Krupińska-Szeluga, S.; Łukowski, A.; Takayama, N. The effects of a short forest recreation program on physiological and psychological relaxation in young polish adults. Forests 2019, 10, 34. [Google Scholar] [CrossRef]
- Twohig-Bennett, C.; Jones, A. The health benefits of the great outdoors: A systematic review and meta-analysis of greenspace exposure and health outcomes. Environ. Res. 2018, 166, 628–637. [Google Scholar] [CrossRef] [PubMed]
- Lyu, B.; Zeng, C.; Xie, S.; Li, D.; Lin, W.; Li, N.; Jiang, M.; Liu, S.; Chen, Q. Benefits of a three-day bamboo forest therapy session on the psychophysiology and immune system responses of male college students. Int. J. Environ. Res. Public Health 2019, 16, 4991. [Google Scholar] [CrossRef]
- Lee, I.; Choi, H.; Bang, K.-S.; Kim, S.; Song, M.; Lee, B. Effects of forest therapy on depressive symptoms among adults: A systematic review. Int. J. Environ. Res. Public Health 2017, 14, 321. [Google Scholar] [CrossRef]
- Chun, M.H.; Chang, M.C.; Lee, S.-J. The effects of forest therapy on depression and anxiety in patients with chronic stroke. Int. J. Neurosci. 2017, 127, 199–203. [Google Scholar] [CrossRef] [PubMed]
- Ohe, Y.; Ikei, H.; Song, C.; Miyazaki, Y. Evaluating the relaxation effects of emerging forest-therapy tourism: A multidisciplinary approach. Tour. Manag. 2017, 62, 322–334. [Google Scholar] [CrossRef]
- Song, C.; Ikei, H.; Lee, J.; Park, B.-J.; Kagawa, T.; Miyazaki, Y. Individual differences in the physiological effects of forest therapy based on Type A and Type B behavior patterns. J. Physiol. Anthropol. 2013, 32, 1–7. [Google Scholar] [CrossRef]
- Shin, W.S.; Shin, C.S.; Yeoun, P.S. The influence of forest therapy camp on depression in alcoholics. Environ. Health Prev. Med. 2012, 17, 73–76. [Google Scholar] [CrossRef] [PubMed]
- Tsunetsugu, Y.; Park, B.-J.; Lee, J.; Kagawa, T.; Miyazaki, Y. Psychological relaxation effect of forest therapy: Results of field experiments in 19 forests in Japan involving 228 participants. Nihon Eiseigaku Zasshi Jpn. J. Hyg. 2011, 66, 670–676. [Google Scholar] [CrossRef] [PubMed]
- Poulsen, D.V.; Stigsdotter, U.K.; Djernis, D.; Sidenius, U. ‘Everything just seems much more right in nature’: How veterans with Post-Traumatic Stress Disorder experience nature-based activities in a forest therapy garden. Health Psychol. Open 2016, 3. [Google Scholar] [CrossRef]
- Shin, W.S.; Yeoun, P.S.; Yoo, R.W.; Shin, C.S. Forest experience and psychological health benefits: The state of the art and future prospect in Korea. Environ. Health Prev. Med. 2010, 15, 38–47. [Google Scholar] [CrossRef] [PubMed]
- Lee, H.J.; Son, Y.-H.; Kim, S.; Lee, D.K. Healing experiences of middle-aged women through an urban forest therapy program. Urban For. Urban Green. 2019, 38, 383–391. [Google Scholar] [CrossRef]
- Fong, K.C.; Hart, J.E.; James, P. A review of epidemiologic studies on greenness and health: Updated literature through 2017. Curr. Environ. Health Rep. 2018, 5, 77–87. [Google Scholar] [CrossRef] [PubMed]
- Antonelli, M.; Donelli, D.; Barbieri, G.; Valussi, M.; Maggini, V.; Firenzuoli, F. Forest volatile organic compounds and their effects on human health: A state-of-the-art review. Int. J. Environ. Res. Public Health 2020, 17, 6506. [Google Scholar] [CrossRef]
- Woo, J.; Lee, C.J. Sleep-enhancing effects of phytoncide via behavioral, electrophysiological, and molecular modeling approaches. Exp. Neurobiol. 2020, 29, 120–129. [Google Scholar] [CrossRef] [PubMed]
- Matsuo, A.L.; Figueiredo, C.R.; Arruda, D.C.; Pereira, F.V.; Scutti, J.A.B.; Massaoka, M.H.; Travassos, L.R.; Sartorelli, P.; Lago, J.H. α-Pinene isolated from Schinus Terebinthifolius Raddi (Anacardiaceae) induces Apoptosis and Confers Antimetastatic Protection in a Melanoma Model. Biochem. Biophys. Res. Commun. 2011, 411, 449–454. [Google Scholar] [CrossRef] [PubMed]
- Kim, T.; Song, B.; Cho, K.S.; Lee, I.-S. Therapeutic potential of volatile terpenes and terpenoids from forests for inflammatory diseases. Int. J. Mol. Sci. 2020, 21, 2187. [Google Scholar] [CrossRef] [PubMed]
- Rufino, A.T.; Ribeiro, M.; Sousa, C.; Judas, F.; Salgueiro, L.; Cavaleiro, C.; Mendes, A.F. Evaluation of the anti-inflammatory, anti-catabolic and pro-anabolic effects of E-Caryophyllene, Myrcene and Limonene in a cell model of osteoarthritis. Eur. J. Pharmacol. 2015, 750, 141–150. [Google Scholar] [CrossRef] [PubMed]
- Souto-Maior, F.N.; de Carvalho, F.L.; de Morais, L.C.S.L.; Netto, S.M.; de Sousa, D.P.; de Almeida, R.N. Anxiolytic-like effects of inhaled linalool oxide in experimental mouse anxiety models. Pharmacol. Biochem. Behav. 2011, 100, 259–263. [Google Scholar] [CrossRef]
- Hirota, R.; Nakamura, H.; Bhatti, S.A.; Ngatu, N.R.; Muzembo, B.A.; Dumavibhat, N.; Eitoku, M.; Sawamura, M.; Suganuma, N. Limonene inhalation reduces allergic airway inflammation in dermatophagoides farinae-treated mice. Inhal. Toxicol. 2012, 24, 373–381. [Google Scholar] [CrossRef]
- Yun, J. Limonene inhibits methamphetamine-induced locomotor activity via regulation of 5-HT neuronal function and dopamine release. Phytomedicine 2014, 21, 883–887. [Google Scholar] [CrossRef]
- Yoshida, N.; Takada, T.; Yamamura, Y.; Adachi, I.; Suzuki, H.; Kawakami, J. Inhibitory effects of terpenoids on multidrug resistance-associated protein 2-and breast cancer resistance protein-mediated transport. Drug Metab. Dispos. 2008, 36, 1206–1211. [Google Scholar] [CrossRef] [PubMed]
- Chen, W.; Liu, Y.; Li, M.; Mao, J.; Zhang, L.; Huang, R.; Jin, X.; Ye, L. Anti-tumor effect of α-Pinene on human hepatoma cell lines through inducing G2/M cell cycle arrest. J. Pharmacol. Sci. 2015, 127, 332–338. [Google Scholar] [CrossRef]
- Aydin, Y.M.; Yaman, B.; Koca, H.; Altiok, H.; Dumanoglu, Y.; Kara, M.; Bayram, A.; Tolunay, D.; Odabasi, M.; Elbir, T. Comparison of Biogenic Volatile Organic Compound Emissions from Broad Leaved and Coniferous Trees in Turkey. WIT Trans. Ecol. Environ. 2014, 181, 647–658. [Google Scholar]
- Guenther, A.B.; Zimmerman, P.R.; Harley, P.C.; Monson, R.K.; Fall, R. Isoprene and Monoterpene Emission Rate Variability: Model Evaluations and Sensitivity Analyses. J. Geophys. Res. 1993, 98, 12609. [Google Scholar] [CrossRef]
- Lee, K.-H.; Kim, H.-C.; Hu, C.-G. A Study on the Estimation of BVOCs Emission in Jeju Island: Emission Characteristic and Situation. J. Environ. Sci. Int. 2015, 24, 207–219. [Google Scholar] [CrossRef]
- Choi, Y.; Kim, G.; Park, S.; Kim, E.; Kim, S. Prediction of Natural Volatile Organic Compounds Emitted by Bamboo Groves in Urban Forests. Forests 2021, 12, 543. [Google Scholar] [CrossRef]
- Valtchanov, D.; Barton, K.R.; Ellard, C. Restorative Effects of Virtual Nature Settings. Cyberpsychol. Behav. Soc. Netw. 2010, 13, 503–512. [Google Scholar] [CrossRef]
- Yu, C.-P.; Lee, H.-Y.; Luo, X.-Y. The Effect of Virtual Reality Forest and Urban Environments on Physiological and Psychological Responses. Urban For. Urban Green. 2018, 35, 106–114. [Google Scholar] [CrossRef]
- Hedblom, M.; Gunnarsson, B.; Iravani, B.; Knez, I.; Schaefer, M.; Thorsson, P.; Lundström, J.N. Reduction of Physiological Stress by Urban Green Space in a Multisensory Virtual Experiment. Sci. Rep. 2019, 9, 1–11. [Google Scholar] [CrossRef]
- Chiang, Y.-C.; Li, D.; Jane, H.-A. Wild or Tended Nature? The Effects of Landscape Location and Vegetation Density on Physiological and Psychological Responses. Landsc. Urban Plan. 2017, 167, 72–83. [Google Scholar] [CrossRef]
- Ulrich, R.S. Natural versus urban scenes: Some psychophysiological effects. Environ. Behav. 1981, 13, 523–556. [Google Scholar] [CrossRef]
- James, P.; Hart, J.E.; Banay, R.F.; Laden, F. Exposure to greenness and mortality in a nationwide prospective cohort study of women. Environ. Health Perspect. 2016, 124, 1344–1352. [Google Scholar] [CrossRef] [PubMed]
- James, P.; Banay, R.F.; Hart, J.E.; Laden, F. A review of the health benefits of greenness. Curr. Epidemiol. Rep. 2015, 2, 131–142. [Google Scholar] [CrossRef]
- Browning, M.; Lee, K. Within what distance does “greenness” best predict physical health? A systematic review of articles with GIS buffer analyses across the lifespan. Int. J. Environ. Res. Public Health 2017, 14, 675. [Google Scholar] [CrossRef]
- Rajoo, K.S.; Karam, D.S.; Aziz, N.A.A. Developing an effective forest therapy program to manage academic stress in conservative societies: A multi-disciplinary approach. Urban For. Urban Green. 2019, 43, 126353. [Google Scholar] [CrossRef]
- Song, C.; Ikei, H.; Miyazaki, Y. Sustained effects of a forest therapy program on the blood pressure of office workers. Urban For. Urban Green. 2017, 27, 246–252. [Google Scholar] [CrossRef]
- Kim, B.J.; Jeong, H.; Park, S.; Lee, S. Forest adjuvant anti-cancer therapy to enhance natural cytotoxicity in urban women with breast cancer: A preliminary prospective interventional study. Eur. J. Integr. Med. 2015, 7, 474–478. [Google Scholar] [CrossRef]
- Mori, H.; Saito, I.; Eguchi, E.; Maruyama, K.; Kato, T.; Tanigawa, T. Heart rate variability and blood pressure among Japanese men and women: A community-based cross-sectional study. Hypertens. Res. 2014, 37, 779–784. [Google Scholar] [CrossRef]
- Lutfi, M.F.; Sukkar, M.Y. Effect of blood pressure on heart rate variability. Khartoum Med. J. 2011, 4, 548–553. [Google Scholar]
- Lee, I.S.; Bang, K.S.; Kim, S.J.; Choi, H.S.; Lee, B.H.; Song, M.K. Effect of forest program on atopic dermatitis in children-a systematic review. J. Korean Inst. For. Recreat. 2016, 20, 1–13. [Google Scholar] [CrossRef][Green Version]
- Daig, R.; Andus, T.; Aschenbrenner, E.; Falk, W.; Schölmerich, J.; Gross, V. Increased interleukin 8 expression in the colon mucosa of patients with inflammatory bowel disease. Gut 1996, 38, 216–222. [Google Scholar] [CrossRef] [PubMed]
- Lovasi, G.S.; O’Neil-Dunne, J.P.; Lu, J.W.; Sheehan, D.; Perzanowski, M.S.; MacFaden, S.W.; King, K.L.; Matte, T.; Miller, R.L.; Hoepner, L.A. Urban tree canopy and asthma, wheeze, rhinitis, and allergic sensitization to tree pollen in a New York City birth cohort. Environ. Health Perspect. 2013, 121, 494–500. [Google Scholar] [CrossRef]
- Keddem, S.; Barg, F.K.; Glanz, K.; Jackson, T.; Green, S.; George, M. Mapping the urban asthma experience: Using qualitative GIS to understand contextual factors affecting asthma control. Soc. Sci. Med. 2015, 140, 9–17. [Google Scholar] [CrossRef]
- Mukaida, N.; Harada, A.; Matsushima, K. Interleukin-8 (IL-8) and monocyte chemotactic and activating factor (MCAF/MCP-1), chemokines essentially involved in inflammatory and immune reactions. Cytokine Growth Factor Rev. 1998, 9, 9–23. [Google Scholar] [CrossRef]
- Sethi, G.; Sung, B.; Aggarwal, B.B. TNF: A master switch for inflammation to cancer. Front. Biosci. 2008, 13, 5094–5107. [Google Scholar] [CrossRef]
- Li, Q.; Morimoto, K.; Nakadai, A.; Inagaki, H.; Katsumata, M.; Shimizu, T.; Hirata, Y.; Hirata, K.; Suzuki, H.; Miyazaki, Y. Forest bathing enhances human natural killer activity and expression of anti-cancer proteins. Int. J. Immunopathol. Pharmacol. 2007, 20 (Suppl. 2), 3–8. [Google Scholar] [CrossRef] [PubMed]
- Li, Q.; Morimoto, K.; Kobayashi, M.; Inagaki, H.; Katsumata, M.; Hirata, Y.; Hirata, K.; Shimizu, T.; Li, Y.J.; Wakayama, Y. A forest bathing trip increases human natural killer activity and expression of anti-cancer proteins in female subjects. J. Biol. Regul. Homeost. Agents 2008, 22, 45–55. [Google Scholar]
- Wen, Y.; Yan, Q.; Pan, Y.; Gu, X.; Liu, Y. Medical empirical research on forest bathing (Shinrin-Yoku): A systematic review. Environ. Health Prev. Med. 2019, 24, 1–21. [Google Scholar] [CrossRef] [PubMed]
- Yamanishi, Y.; Miyake, K.; Iki, M.; Tsutsui, H.; Karasuyama, H. Recent advances in understanding Basophil-Mediated Th2 immune responses. Immunol. Rev. 2017, 278, 237–245. [Google Scholar] [CrossRef]
- Romagnani, S. Induction of TH1 and TH2 responses: A key role for the “natural” immune response? Immunol. Today 1992, 13, 379–381. [Google Scholar] [CrossRef]
- Ebihara, I.; Hirayama, K.; Yamamoto, S.; Muro, K.; Yamagata, K.; Koyama, A. Th2 predominance at the single-cell level in patients with IgA nephropathy. Nephrol. Dial. Transplant. 2001, 16, 1783–1789. [Google Scholar] [CrossRef][Green Version]
- Kisuya, J.; Chemtai, A.; Raballah, E.; Keter, A.; Ouma, C. The diagnostic accuracy of Th1 (IFN-γ, TNF-α, and IL-2) and Th2 (IL-4, IL-6 and IL-10) cytokines response in AFB microscopy smear negative PTB- HIV co-infected patients. Sci. Rep. 2019, 9, 2966. [Google Scholar] [CrossRef]
- Bickel, M. The role of interleukin-8 in inflammation and mechanisms of regulation. J. Periodontol. 1993, 64 (Suppl. S5), 456–460. [Google Scholar]
- Truyen, E.; Coteur, L.; Dilissen, E.; Overbergh, L.; Dupont, L.; Ceuppens, J.; Bullens, D. Evaluation of airway inflammation by quantitative Th1/Th2 Cytokine MRNA measurement in sputum of asthma patients. Thorax 2006, 61, 202–208. [Google Scholar] [CrossRef]
- Farrow, M.R.; Washburn, K. A review of field experiments on the effect of forest bathing on anxiety and heart rate variability. Glob. Adv. Health Med. 2019, 8. [Google Scholar] [CrossRef] [PubMed]
- Rajoo, K.S.; Karam, D.S.; Abdullah, M.Z. The physiological and psychosocial effects of forest therapy: A systematic review. Urban For. Urban Green. 2020, 126744. [Google Scholar] [CrossRef]
- Ohtsuka, Y.; Yabunaka, N.; Takayama, S. Significance of “Shinrin-Yoku (forest-air bathing and walking)” as an exercise therapy for elderly patients with diabetes mellitus. Jpn. Soc. Balneol. Climatol. Phys. Med. 1998, 61, 101–105. [Google Scholar]
- Stier-Jarmer, M.; Throner, V.; Kirschneck, M.; Immich, G.; Frisch, D.; Schuh, A. The psychological and physical effects of forests on human health: A systematic review of systematic reviews and meta-analyses. Int. J. Environ. Res. Public Health 2021, 18, 1770. [Google Scholar] [CrossRef] [PubMed]
- Araruna, M.E.; Serafim, C.; Alves Júnior, E.; Hiruma-Lima, C.; Diniz, M.; Batista, L. Intestinal anti-inflammatory activity of terpenes in experimental models (2010–2020): A review. Molecules 2020, 25, 5430. [Google Scholar] [CrossRef]
- Li, Q. Effect of forest bathing trips on human immune function. Environ. Health. Prev. Med. 2010, 15, 9–17. [Google Scholar] [CrossRef]
- Hartig, T.; van den Berg, A.E.; Hagerhall, C.M.; Tomalak, M.; Bauer, N.; Hansmann, R.; Ojala, A.; Syngollitou, E.; Carrus, G.; van Herzele, A.; et al. Health benefits of nature experience: Psychological, social and cultural processes. In Forests, Trees and Human Health; Nilsson, K., Sangster, M., Gallis, C., Hartig, T., de Vries, S., Seeland, K., Schipperijn, J., Eds.; Springer: Dordrecht, The Netherlands, 2011; pp. 127–168. [Google Scholar] [CrossRef]
- Kaplan, S. The restorative benefits of nature: Toward an integrative framework. J. Environ. Psychol. 1995, 15, 169–182. [Google Scholar] [CrossRef]
- Song, C.; Ikei, H.; Miyazaki, Y. Physiological effects of nature therapy: A review of the research in Japan. Int. J. Environ. Res. Public Health 2016, 13, 781. [Google Scholar] [CrossRef]
- Chang, D.H.F.; Jiang, B.; Wong, N.H.L.; Wong, J.J.; Webster, C.; Lee, T.M.C. The human posterior cingulate and the stress-response benefits of viewing green urban landscapes. NeuroImage 2021, 226, 117555. [Google Scholar] [CrossRef]
- Van Praag, C.D.G.; Garfinkel, S.N.; Sparasci, O.; Mees, A.; Philippides, A.O.; Ware, M.; Ottaviani, C.; Critchley, H.D. Mind-wandering and alterations to default mode network connectivity when listening to naturalistic versus artificial sounds. Sci. Rep. 2017, 7, 1–12. [Google Scholar] [CrossRef] [PubMed]
Publisher’s Note: MDPI stays neutral with regard to jurisdictional claims in published maps and institutional affiliations. |
© 2021 by the authors. Licensee MDPI, Basel, Switzerland. This article is an open access article distributed under the terms and conditions of the Creative Commons Attribution (CC BY) license (https://creativecommons.org/licenses/by/4.0/).










