Social Media Use and Vulnerable Narcissism: The Differential Roles of Oversensitivity and Egocentricity
Abstract
:1. Introduction
1.1. Narcissism and Social Media Use
1.2. Oversensitivity and Egocentricity
2. Materials and Methods
2.1. Participants
2.2. Measures
2.2.1. Hypersensitive Narcissism Scale (HSNS)
2.2.2. Social Media
2.3. Statistical Analysis
2.3.1. Factor Analysis
2.3.2. Hierarchical Regression
- Time: “On average, how much time do you spend looking at social media each day?”
- Frequency: “How often do you post to your social media accounts?”
- Likes/comments: “I care about the number of likes and/or comments I receive on the things I post, and I feel good about myself when this number is high”
- Jealousy: “I feel upset and/or jealous when I see other people posting positive updates about their life and I find myself comparing my life to theirs”
- Negative remarks: “One negative remark on my post would make me feel badly and would ruin my day”
- Portrayal difference: “How I portray myself on social media is different to how I am in real life”
2.3.3. ANOVA
3. Results
3.1. Descriptive Statistics of Participants
3.2. Factor Analysis of HSNS
3.3. Subfactors of Vulnerable Narcissism Which Are Associated with Social Media Use
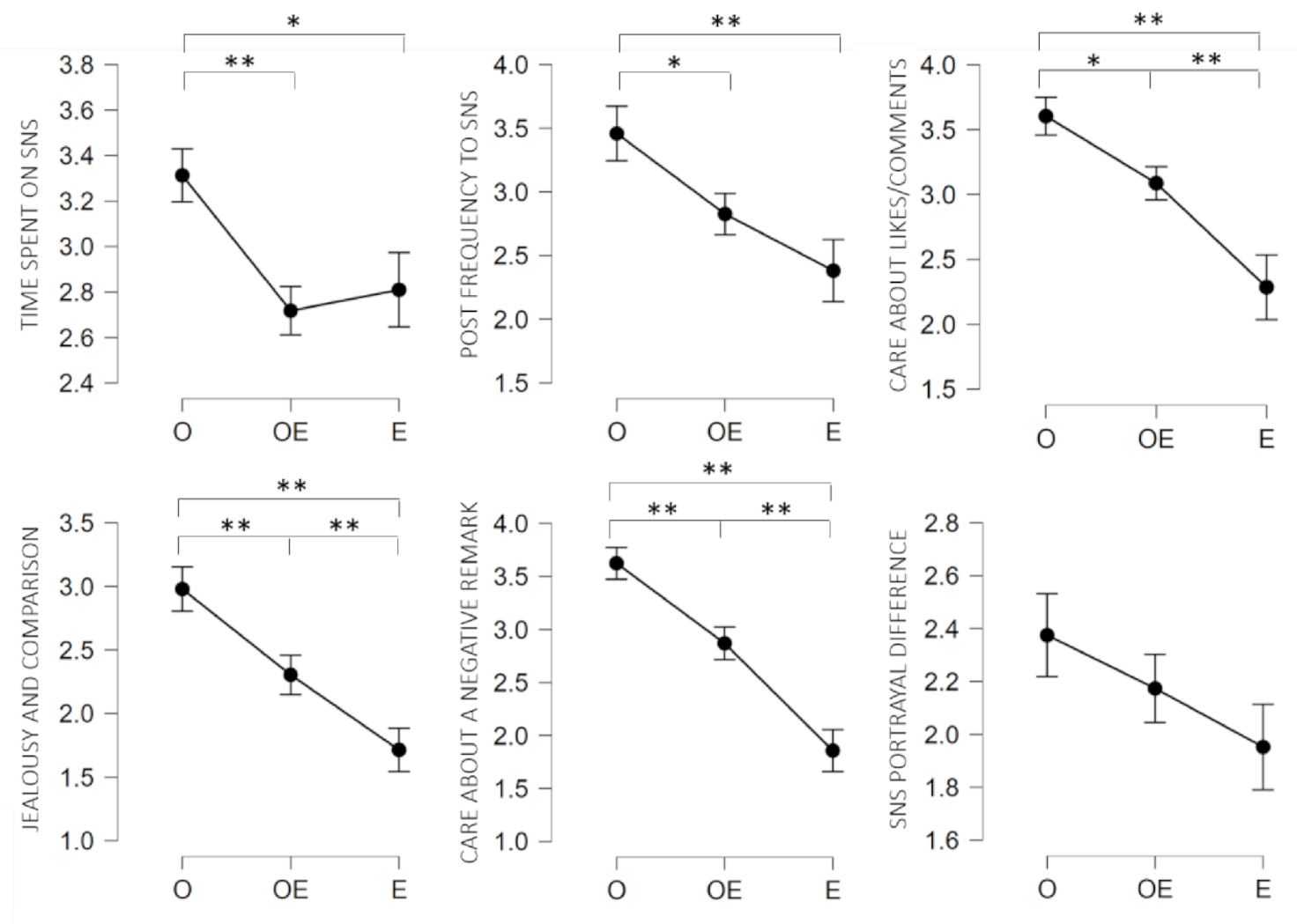
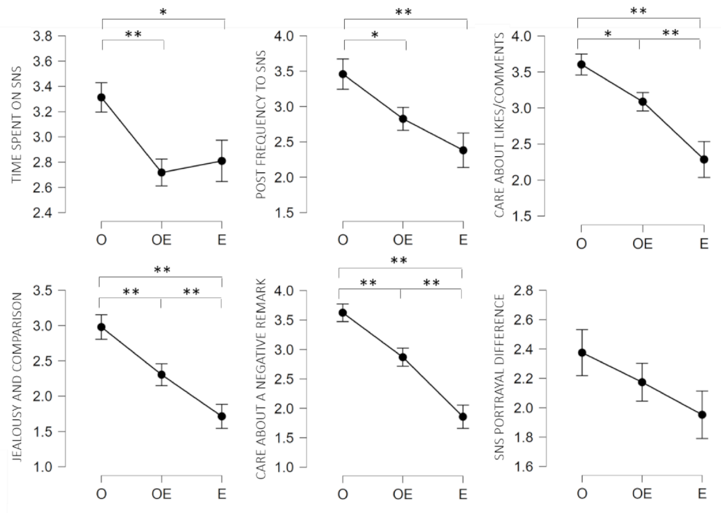
3.3.1. Time Spent on Social Media Sites
3.3.2. Frequency of Posts to Social Media
3.3.3. Likes and Comments
3.3.4. Jealousy
3.3.5. Negative Remarks
3.3.6. Portrayal Difference
3.3.7. Cross-Validation
3.4. Social Media Usage
3.4.1. Time of Usage
3.4.2. Reason for Usage
3.4.3. Vulnerable Narcissism Phenotypes
4. Discussion
4.1. Vulnerable Narcissism and Social Media Usage
4.2. Oversensitivity, Egocentricity, and Social Media
5. Limitations
6. Conclusions
Author Contributions
Funding
Institutional Review Board Statement
Informed Consent Statement
Data Availability Statement
Acknowledgments
Conflicts of Interest
References
- Jonason, P.K.; Webster, G.D.; Schmitt, D.P.; Li, N.P.; Crysel, L. The Antihero in Popular Culture: Life History Theory and the Dark Triad Personality Traits. Rev. Gen. Psychol. 2012, 16, 192–199. [Google Scholar] [CrossRef] [Green Version]
- Campbell, W.K.; Miller, J.D. The Handbook of Narcissism and Narcissistic Personality Disorder; Wiley: Hoboken, NJ, USA, 2011. [Google Scholar]
- Morf, C.C.; Rhodewalt, F. Unraveling the Paradoxes of Narcissism: A Dynamic Self-Regulatory Processing Model. Psychol. Inq. 2001, 12, 177–196. [Google Scholar] [CrossRef] [Green Version]
- Rose, P. The happy and unhappy faces of narcissism. Pers. Individ. Differ. 2002, 33, 379–391. [Google Scholar] [CrossRef]
- Miller, J.D.; Hoffman, B.J.; Gaughan, E.T.; Gentile, B.; Maples, J.; Campbell, W.K. Grandiose and Vulnerable Narcissism: A Nomological Network Analysis. J. Pers. 2011, 79, 1013–1042. [Google Scholar] [CrossRef] [PubMed]
- Hirschi, A.; Jaensch, V.K. Narcissism and career success: Occupational self-efficacy and career engagement as mediators. Pers. Individ. Differ. 2015, 77, 205–208. [Google Scholar] [CrossRef]
- Sauls, D.; Zeigler-Hill, V. The narcissistic experience of friendship: The roles of agentic and communal orientations toward friendship. J. Soc. Pers. Relatsh. 2020, 37, 2693–2713. [Google Scholar] [CrossRef]
- Wink, P. Two faces of narcissism. J. Pers. Soc. Psychol. 1991, 61, 590. [Google Scholar] [CrossRef]
- Pincus, A.L.; Ansell, E.B.; Pimentel, C.A.; Cain, N.M.; Wright, A.G.C.; Levy, K.N. Initial construction and validation of the Pathological Narcissism Inventory. Psychol. Assess. 2009, 21, 365–379. [Google Scholar] [CrossRef]
- Back, M.D.; Schmukle, S.C.; Egloff, B. Why are narcissists so charming at first sight? Decoding the narcissism–popularity link at zero acquaintance. J. Pers. Soc. Psychol. 2010, 98, 132–145. [Google Scholar] [CrossRef] [Green Version]
- Dickinson, K.A.; Pincus, A.L. Interpersonal Analysis of Grandiose and Vulnerable Narcissism. J. Pers. Disord. 2003, 17, 188–207. [Google Scholar] [CrossRef] [Green Version]
- Miller, J.D.; Price, J.; Gentile, B.; Lynam, D.; Campbell, W.K. Grandiose and vulnerable narcissism from the perspective of the interpersonal circumplex. Pers. Individ. Differ. 2012, 53, 507–512. [Google Scholar] [CrossRef]
- McCain, J.L.; Campbell, W.K. Narcissism and social media use: A meta-analytic review. Psychol. Popul. Media Cult. 2018, 7, 308–327. [Google Scholar] [CrossRef]
- Miller, J.D.; Dir, A.; Gentile, B.; Wilson, L.; Pryor, L.R.; Campbell, W.K. Searching for a Vulnerable Dark Triad: Comparing Factor 2 Psychopathy, Vulnerable Narcissism, and Borderline Personality Disorder. J. Pers. 2010, 78, 1529–1564. [Google Scholar] [CrossRef] [PubMed]
- Campbell, W.K.; Foster, J.D. The narcissistic self: Background, an extended agency model, and ongoing controversies. In Self; Psychology Press: East Sussex, UK, 2007. [Google Scholar]
- Cain, N.M.; Pincus, A.L.; Ansell, E.B. Narcissism at the crossroads: Phenotypic description of pathological narcissism across clinical theory, social/personality psychology, and psychiatric diagnosis. Clin. Psychol. Rev. 2008, 28, 638–656. [Google Scholar] [CrossRef]
- Pincus, A.L.; Roche, M.J. Narcissistic Grandiosity and Narcissistic Vulnerability. In The Handbook of Narcissism and Narcissistic Personality Disorder: Theoretical Approaches, Empirical Findings, and Treatments; Wiley: Hoboken, NJ, USA, 2012; pp. 31–40. [Google Scholar] [CrossRef]
- Casale, S.; Fioravanti, G.; Rugai, L. Grandiose and vulnerable narcissists: Who is at higher risk for social networking addiction? Cyberpsychol. Behav. Soc. Netw. 2016, 19, 510–515. [Google Scholar] [CrossRef]
- Rathvon, N.; Holmstrom, R.W. An MMPI-2 Portrait of Narcissism. J. Pers. Assess. 1996, 66, 1–19. [Google Scholar] [CrossRef]
- Fossati, A.; Somma, A.; Borroni, S.; Pincus, A.L.; Markon, K.E.; Krueger, R.F. Profiling pathological narcissism according to DSM–5 domains and traits: A study on consecutively admitted Italian psychotherapy patients. Psychol. Assess. 2017, 29, 1400–1411. [Google Scholar] [CrossRef]
- Kuss, D.J.; Griffiths, M.D. Online Social Networking and Addiction—A Review of the Psychological Literature. Int. J. Environ. Res. Public Heal. 2011, 8, 3528–3552. [Google Scholar] [CrossRef] [Green Version]
- Allen, K.-A.; Ryan, T.; Gray, D.L.; McInerney, D.; Waters, L. Social Media Use and Social Connectedness in Adolescents: The Positives and the Potential Pitfalls. Aust. Educ. Dev. Psychol. 2014, 31, 18–31. [Google Scholar] [CrossRef]
- Casale, S.; Banchi, V. Narcissism and problematic social media use: A systematic literature review. Addict. Behav. Rep. 2020, 11, 100252. [Google Scholar] [CrossRef] [PubMed]
- Barry, C.T.; McDougall, K.H. Social Media: Platform or Catalyst for Narcissism. In Handbook of Trait Narcissism; Springer: Cham, Switzerland, 2018; pp. 435–441. [Google Scholar]
- Ozimek, P.; Baer, F.; Förster, J. Materialists on Facebook: The self-regulatory role of social comparisons and the objectification of Facebook friends. Heliyon 2017, 3, e00449. [Google Scholar] [CrossRef]
- Lee, W.K. The relationship between Narcissism and problematic social networking sites (SNS) use: Mediating role of attachment instability. Int. J. Emerg. Ment. Health Hum. Resil. 2017, 19, 1–5. [Google Scholar]
- Liu, C.; Ma, J. Development and validation of the Chinese social media addiction scale. Pers. Individ. Differ. 2018, 134, 55–59. [Google Scholar] [CrossRef]
- Shin, M.; Lee, J.; Chyung, Y.J.; Kim, P.W.; Jung, S.Y. Integrating Psychosocial and Cognitive Predictors of Social Networking Service Addiction Tendency Using Structural Equation Modeling. Psychologia 2016, 59, 182–201. [Google Scholar] [CrossRef] [Green Version]
- Ozimek, P.; Bierhoff, H.-W.; Hanke, S. Do vulnerable narcissists profit more from Facebook use than grandiose narcissists? An examination of narcissistic Facebook use in the light of self-regulation and social comparison theory. Pers. Individ. Differ. 2018, 124, 168–177. [Google Scholar] [CrossRef]
- Ozimek, P.; Bierhoff, H.-W.; Rohmann, E. How Downward and Upward Comparisons on Facebook Influence Grandiose and Vulnerable Narcissists’ Self-Esteem—A Priming Study. Behav. Sci. 2021, 11, 39. [Google Scholar] [CrossRef] [PubMed]
- Burrow, A.L.; Rainone, N. How many likes did I get? Purpose moderates links between positive social media feedback and self-esteem. J. Exp. Soc. Psychol. 2017, 69, 232–236. [Google Scholar] [CrossRef]
- Tandon, A.; Dhir, A.; Mäntymäki, M. Jealousy due to social media? A systematic literature review and framework of social media-induced jealousy. Internet Res. 2021. [Google Scholar] [CrossRef]
- De Vries, D.A.; Möller, A.M.; Wieringa, M.S.; Eigenraam, A.W.; Hamelink, K. Social Comparison as the Thief of Joy: Emotional Consequences of Viewing Strangers’ Instagram Posts. Media Psychol. 2018, 21, 222–245. [Google Scholar] [CrossRef]
- Valkenburg, P.M.; Peter, J.; Schouten, A. Friend Networking Sites and Their Relationship to Adolescents’ Well-Being and Social Self-Esteem. CyberPsychology Behav. 2006, 9, 584–590. [Google Scholar] [CrossRef]
- Bailey, E.R.; Matz, S.C.; Youyou, W.; Iyengar, S.S. Authentic self-expression on social media is associated with greater subjective well-being. Nat. Commun. 2020, 11, 4889. [Google Scholar] [CrossRef]
- Grieve, R.; March, E.; Watkinson, J. Inauthentic self-presentation on facebook as a function of vulnerable narcissism and lower self-esteem. Comput. Hum. Behav. 2020, 102, 144–150. [Google Scholar] [CrossRef]
- Hendin, H.M.; Cheek, J.M. Assessing Hypersensitive Narcissism: A Reexamination of Murray’s Narcism Scale. J. Res. Pers. 1997, 31, 588–599. [Google Scholar] [CrossRef] [Green Version]
- Stone, B.M.; Bartholomay, E.M. A two-factor structure of the hypersensitive narcissism scale describes gender-dependent manifestations of covert narcissism. Curr. Psychol. 2020. [Google Scholar] [CrossRef]
- Fossati, A.; Borroni, S.; Grazioli, F.; Dornetti, L.; Marcassoli, I.; Maffei, C.; Cheek, J. Tracking the hypersensitive dimension in narcissism: Reliability and validity of the Hypersensitive Narcissism Scale. Pers. Ment. Health 2009, 3, 235–247. [Google Scholar] [CrossRef]
- Miller, J.D.; McCain, J.; Lynam, D.R.; Few, L.R.; Gentile, B.; MacKillop, J.; Campbell, W.K. A comparison of the criterion validity of popular measures of narcissism and narcissistic personality disorder via the use of expert ratings. Psychol. Assess. 2014, 26, 958–969. [Google Scholar] [CrossRef] [PubMed]
- Cohen, J. Set Correlation and Contingency Tables. Appl. Psychol. Meas. 1988, 12, 425–434. [Google Scholar] [CrossRef]
- Schimmack, U. The replicability-index: Quantifying statistical research integrity. 2016. Available online: https://wordpress.com/post/replication-index.wordpress.com/920 (accessed on 24 August 2021).
- Field, A. Logistic regression. Discov. Stat. Using SPSS 2009, 264, 315. [Google Scholar]
- Chan, Y.H. Biostatistics 201: Linear regression analysis. Singap. Med. J. 2004, 45, 140. [Google Scholar]
- Rohmann, E.; Neumann, E.; Herner, M.J.; Bierhoff, H.-W. Grandiose and Vulnerable Narcissism. Eur. Psychol. 2012, 17, 279–290. [Google Scholar] [CrossRef]
- Brailovskaia, J.; Ströse, F.; Schillack, H.; Margraf, J. Less Facebook use—More well-being and a healthier lifestyle? An experimental intervention study. Comput. Hum. Behav. 2020, 108, 106332. [Google Scholar] [CrossRef]
- Grieve, R.; March, E. ‘Just checking’: Vulnerable and grandiose narcissism subtypes as predictors of phubbing. Mob. Media Commun. 2021, 9, 195–209. [Google Scholar] [CrossRef]
- Krizan, Z.; Johar, O. Envy divides the two faces of narcissism. J. Pers. 2012, 80, 1415–1451. [Google Scholar] [CrossRef]
- Neufeld, D.C.; Johnson, E.A. Burning with Envy? Dispositional and Situational Influences on Envy in Grandiose and Vulnerable Narcissism. J. Pers. 2015, 84, 685–696. [Google Scholar] [CrossRef] [PubMed]
- Atlas, G.D.; Them, M.A. Narcissism and Sensitivity to Criticism: A Preliminary Investigation. Curr. Psychol. 2008, 27, 62–76. [Google Scholar] [CrossRef]
- Chopik, W.J.; Grimm, K.J. Longitudinal changes and historic differences in narcissism from adolescence to older adulthood. Psychol. Aging 2019, 34, 1109–1123. [Google Scholar] [CrossRef] [Green Version]
- Somerville, L.H. The Teenage Brain: Sensitivity to Social Evaluation. Curr. Dir. Psychol. Sci. 2013, 22, 121–127. [Google Scholar] [CrossRef] [PubMed] [Green Version]
- Yeung, R.; Leadbeater, B. Adults make a difference: The protective effects of parent and teacher emotional support on emotional and behavioral problems of peer-victimized adolescents. J. Community Psychol. 2010, 38, 80–98. [Google Scholar] [CrossRef] [Green Version]
- Tan, P.Z.; Lee, K.H.; Dahl, R.E.; Nelson, E.; Stroud, L.J.; Siegle, G.J.; Morgan, J.K.; Silk, J. Associations between maternal negative affect and adolescent’s neural response to peer evaluation. Dev. Cogn. Neurosci. 2014, 8, 28–39. [Google Scholar] [CrossRef] [Green Version]

| Items | Oversensitivity | Egocentricity |
|---|---|---|
| (1) I can become entirely absorbed in thinking about my personal affairs, my health, my cares, or my relations to others. | 0.335 | 0.348 * |
| (2) My feelings are easily hurt by ridicule or the slighting remarks of others. | 0.786 * | −0.137 |
| (3) When I enter a room, I often become self-conscious and feel that the eyes of others are upon me. | 0.739 * | 0.115 |
| (4) I dislike sharing the credit of an achievement with others. | −0.108 | 0.548 * |
| (5) I feel that I have enough on my hands without worrying about other people’s troubles. | −0.078 | 0.652 * |
| (6) I feel that I am temperamentally different from most people. | 0.378 | 0.539 * |
| (7) I often interpret the remarks of others in a personal way. | 0.839 * | 0.044 |
| (8) I easily become wrapped up in my own interests and forget the existence of others. | 0.154 | 0.581 * |
| (9) I dislike being with a group unless I know that I am appreciated by at least one of those present. | 0.635 * | 0.121 |
| (10) I am secretly “put out” or annoyed when other people come to me with their troubles, asking me for my time and sympathy. | 0.096 | 0.638 * |
| Independent Variables | ||||||
|---|---|---|---|---|---|---|
| Oversensitivity | Egocentricity | |||||
| Dependent Variables | β | t | p | β | t | p |
| Time online | 0.30 | 3.20 | 0.002 ** | −0.06 | −0.69 | 0.492 |
| Post frequency | 0.24 | 2.56 | 0.012 * | 0.12 | 1.29 | 0.200 |
| Likes/comments | 0.46 | 5.30 | <0.001 ** | 0.14 | 1.57 | 0.122 |
| Jealousy | 0.50 | 5.91 | <0.001 ** | 0.04 | 0.47 | 0.636 |
| Negative remarks | 0.62 | 7.98 | <0.001 ** | −0.18 | −2.34 | 0.021 * |
| Portrayal difference | 0.35 | 3.93 | <0.001 ** | 0.20 | 2.27 | 0.025 * |
Publisher’s Note: MDPI stays neutral with regard to jurisdictional claims in published maps and institutional affiliations. |
© 2021 by the authors. Licensee MDPI, Basel, Switzerland. This article is an open access article distributed under the terms and conditions of the Creative Commons Attribution (CC BY) license (https://creativecommons.org/licenses/by/4.0/).
Share and Cite
Fegan, R.B.; Bland, A.R. Social Media Use and Vulnerable Narcissism: The Differential Roles of Oversensitivity and Egocentricity. Int. J. Environ. Res. Public Health 2021, 18, 9172. https://doi.org/10.3390/ijerph18179172
Fegan RB, Bland AR. Social Media Use and Vulnerable Narcissism: The Differential Roles of Oversensitivity and Egocentricity. International Journal of Environmental Research and Public Health. 2021; 18(17):9172. https://doi.org/10.3390/ijerph18179172
Chicago/Turabian StyleFegan, Rebecca B., and Amy R. Bland. 2021. "Social Media Use and Vulnerable Narcissism: The Differential Roles of Oversensitivity and Egocentricity" International Journal of Environmental Research and Public Health 18, no. 17: 9172. https://doi.org/10.3390/ijerph18179172
APA StyleFegan, R. B., & Bland, A. R. (2021). Social Media Use and Vulnerable Narcissism: The Differential Roles of Oversensitivity and Egocentricity. International Journal of Environmental Research and Public Health, 18(17), 9172. https://doi.org/10.3390/ijerph18179172

