Normalization of Muscle Strength Measurements in the Assessment of Cardiometabolic Risk Factors in Adolescents
Abstract
:1. Introduction
2. Materials and Methods
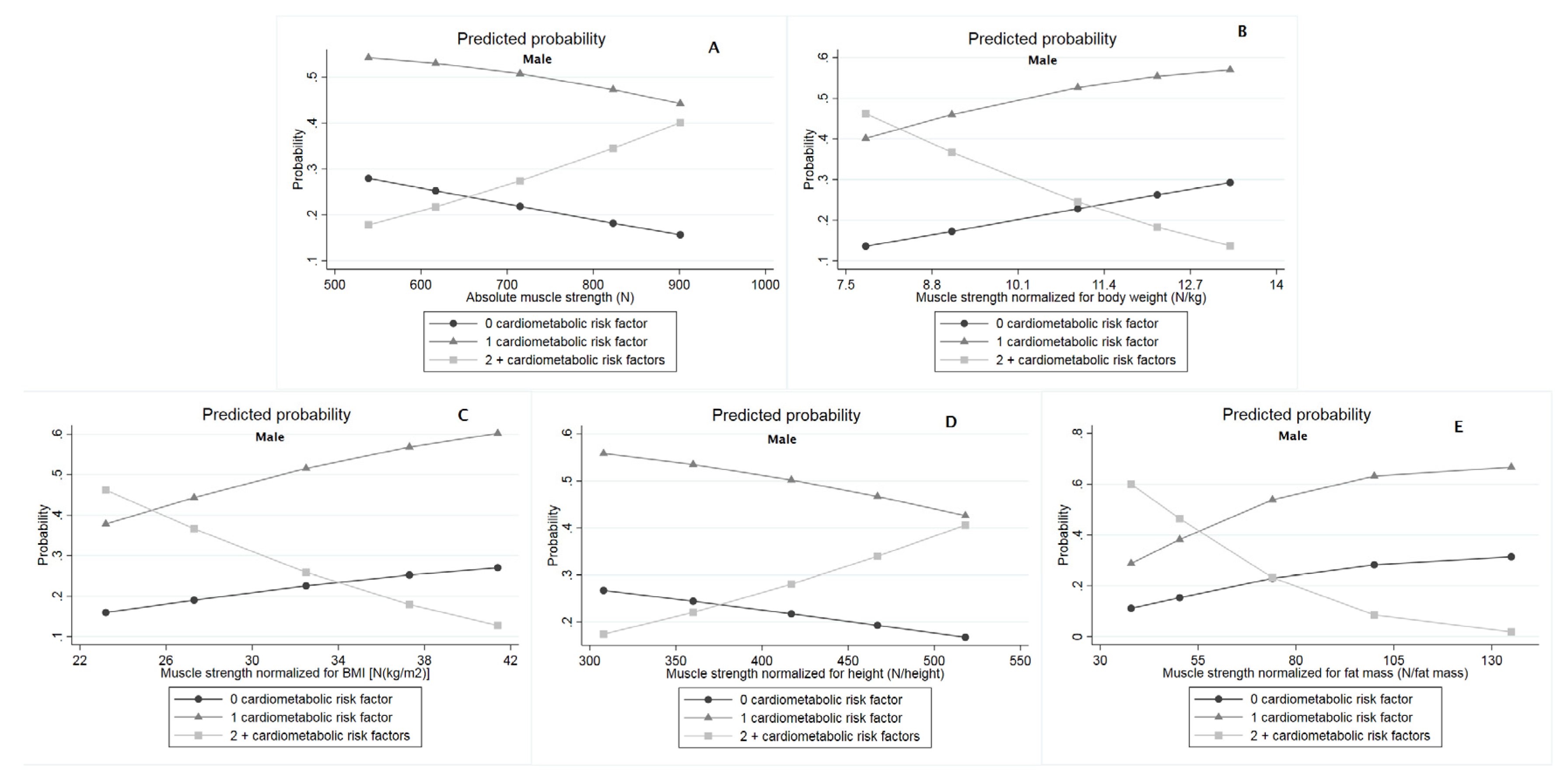
3. Results
4. Discussion
5. Conclusions
Supplementary Materials
Author Contributions
Funding
Institutional Review Board Statement
Informed Consent Statement
Data Availability Statement
Acknowledgments
Conflicts of Interest
References
- Smith, J.J.; Eather, N.; Morgan, P.J.; Plotnikoff, R.C.; Faigenbaum, A.D.; Lubans, D.R. The health benefits of muscular fitness for children and adolescents: A systematic review and meta-analysis. Sports Med. 2014, 44, 1209–1223. [Google Scholar] [CrossRef]
- De Lima, T.R.; Martins, P.C.; Guerra, P.H.; Silva, D.A.S. Muscular fitness and cardiovascular risk factors in children and adolescents: A systematic review. J. Strength Cond. Res. 2020, 34, 2394–2406. [Google Scholar] [CrossRef]
- De Lima, T.R.; Martins, P.C.; Torre, G.L.; Mannocci, A.; Silva, K.S.; Silva, D.A. Association between muscle strength and risk factors for metabolic syndrome in children and adolescents: A systematic review. J. Pediatr. Endocrinol. Metab. 2020, 34, 1–12. [Google Scholar] [CrossRef] [PubMed]
- Cohen, D.D.; Gómez-Arbeláez, D.; Camacho, P.A.; Pinzon, S.; Hormiga, C.; Trejos-Suarez, J.; Duperly, J.; Lopez-Jaramillo, P.J. Low muscle strength is associated with metabolic risk factors in Colombian children: The ACFIES study. PLoS ONE 2014, 9, e93150. [Google Scholar] [CrossRef]
- Blakeley, C.E.; Van Rompay, M.I.; Schultz, N.S.; Sacheck, J.M. Relationship between muscle strength and dyslipidemia, serum 25 (OH) D, and weight status among diverse schoolchildren: A cross-sectional analysis. BMC Pediatr. 2018, 18, 23. [Google Scholar] [CrossRef] [Green Version]
- Li, S.; Zhang, R.; Pan, G.; Zheng, L.; Li, C.J. Handgrip strength is associated with insulin resistance and glucose metabolism in adolescents: Evidence from National Health and Nutrition Examination Survey 2011 to 2014. Pediatr. Diabetes 2018, 19, 375–380. [Google Scholar] [CrossRef] [PubMed]
- Zhang, R.; Li, C.; Liu, T.; Zheng, L.; Li, S. Handgrip strength and blood pressure in children and adolescents: Evidence from NHANES 2011 to 2014. Am. J. Hypertens. 2018, 31, 792–796. [Google Scholar] [CrossRef] [Green Version]
- Tomlinson, D.; Erskine, R.; Morse, C.; Winwood, K.; Onambélé-Pearson, G. The impact of obesity on skeletal muscle strength and structure through adolescence to old age. Biogerontology 2016, 17, 467–483. [Google Scholar] [CrossRef] [Green Version]
- Artero, E.G.; Lee, D.-c.; Lavie, C.J.; España-Romero, V.; Sui, X.; Church, T.S.; Blair, S.N. Effects of muscular strength on cardiovascular risk factors and prognosis. J. Cardiopulm. Rehabil. Prev. 2012, 32, 351–358. [Google Scholar] [CrossRef] [Green Version]
- Tanner, J.M. Growth at Adolescence, 2nd ed.; Thomas: Springfield, IL, USA, 1962. [Google Scholar]
- Sayer, A.A.; Syddall, H.; Martin, H.; Patel, H.; Baylis, D.; Cooper, C. The developmental origins of sarcopenia. J. Nutr. Health Aging 2008, 12, 427–432. [Google Scholar] [CrossRef] [Green Version]
- Jaric, S. Muscle strength testing. Sports Med. 2002, 32, 615–631. [Google Scholar] [CrossRef]
- Umer, A.; Kelley, G.A.; Cottrell, L.E.; Giacobbi, P.; Innes, K.E.; Lilly, C.L. Childhood obesity and adult cardiovascular disease risk factors: A systematic review with meta-analysis. BMC Pubic Health 2017, 17, 683. [Google Scholar] [CrossRef] [Green Version]
- De Ferranti, S.D.; Steinberger, J.; Ameduri, R.; Baker, A.; Gooding, H.; Kelly, A.S.; Mietus-Snyder, M.; Mitsnefes, M.M.; Peterson, A.L.; St-Pierre, J. Cardiovascular risk reduction in high-risk pediatric patients: A scientific statement from the American Heart Association. Circulation 2019, 139, e603–e634. [Google Scholar] [CrossRef]
- Wind, A.E.; Takken, T.; Helders, P.J.; Engelbert, R.H. Is grip strength a predictor for total muscle strength in healthy children, adolescents, and young adults? Eur. J. Pediatr. 2010, 169, 281–287. [Google Scholar] [CrossRef]
- Kuhnen, M.; Boing, A.F.; Oliveira, M.C.d.; Longo, G.Z.; Njaine, K. Smoking and associated factors in Brazilian adults: A population-based study. Rev. Bras. Epidemiol. 2009, 12, 615–626. [Google Scholar] [CrossRef] [Green Version]
- Cohen, J. Statistical power analysis. Curr. Dir. Psychol. Sci. 1992, 1, 98–101. [Google Scholar] [CrossRef]
- Ulijaszek, S.J.; Kerr, D.A. Anthropometric measurement error and the assessment of nutritional status. Br. J. Nutr. 1999, 82, 165–177. [Google Scholar] [CrossRef] [Green Version]
- Silva, D.A.S.; Pelegrini, A.; Pires-Neto, C.S.; Vieira, M.F.S.; Petroski, E.L. The anthropometrist in the search for more reliable data. Rev. Bras. Cineantropom. Desempenho Hum. 2011, 13, 82–85. [Google Scholar] [CrossRef]
- Stewart, A.; Marfell-Jones, M.; Olds, T.; Ridder, H. International Standards for Anthropometric Assessment; International Society for the Advancement of Kinanthropometry: Lower Hutt, New Zealand, 2011; pp. 50–63. [Google Scholar]
- Zimmet, P.; Alberti, K.G.M.; Kaufman, F.; Tajima, N.; Silink, M.; Arslanian, S.; Wong, G.; Bennett, P.; Shaw, J.; Caprio, S. The metabolic syndrome in children and adolescents—An IDF consensus report. Pediatr. Diabetes 2007, 8, 299–306. [Google Scholar] [CrossRef]
- de Onis, M.; Onyango, A.W.; Borghi, E.; Siyam, A.; Nishida, C.; Siekmann, J. Development of a WHO growth reference for school-aged children and adolescents. Bull. World Health Organ. 2007, 85, 660–667. [Google Scholar] [CrossRef]
- Lohman, T.G. Applicability of body composition techniques and constants for children and youths. Exerc. Sport Sci. Rev. 1986, 14, 325–357. [Google Scholar] [CrossRef]
- Pires-Neto, C.; Petroski, E. Issues about body fat equations related to children and youth. In Communication, Movement and Media in Physical Education; Pires-Neto, C., Petroski, E., Eds.; Federal University of Santa Catarina: Florianópolis, Brazil, 1996; Volume 3, pp. 21–30. (In Portuguese) [Google Scholar]
- Brazilian Institute of Geography and Statistics. Brazilian Institute of Geography and Statistics, 2010 Census; Brazilian Institute of Geography and Statistics: Brasilia, Brazil, 2011.
- Falkner, B.; Daniels, S.R. Summary of the fourth report on the diagnosis, evaluation, and treatment of high blood pressure in children and adolescents. Hypertension 2004, 44, 387–388. [Google Scholar] [CrossRef] [Green Version]
- National High Blood Pressure Education Program. The fourth report on the diagnosis, evaluation, and treatment of high blood pressure in children and adolescents. Pediatrics 2005, 114 (Suppl. S2), 555–576. [Google Scholar] [CrossRef]
- Malachias, M.; Koch, V.; Colombo, F.; Silva, A.; Guimarães, I.; Nogueira, P.K. 7th Brazilian guideline of arterial hypertension: Chapter 10-hypertension in children and adolescents. Arq. Bras. Cardiol. 2016, 107, 53–63. [Google Scholar] [CrossRef]
- Matthews, D.; Hosker, J.; Rudenski, A.; Naylor, B.; Treacher, D.; Turner, R. Homeostasis model assessment: Insulin resistance and β-cell function from fasting plasma glucose and insulin concentrations in man. Diabetologia 1985, 28, 412–419. [Google Scholar] [CrossRef] [PubMed] [Green Version]
- Faludi, A.A.; Izar, M.C.d.O.; Saraiva, J.F.K.; Chacra, A.P.M.; Bianco, H.T.; Afiune Neto, A.; Bertolami, A.; Pereira, A.C.; Lottenberg, A.M.; Sposito, A.C. Update of the Brazilian guideline on dyslipidemia and prevention of atherosclerosis—2017. Arq. Bras. Cardiol. 2017, 109, 1–76. [Google Scholar] [CrossRef]
- Brazilian Diabetes Society. Diretrizes da Sociedade Brasileira de Diabetes 2019–2020; Clannad Editora Científica: São Paulo, Brazil, 2019; p. 490. [Google Scholar]
- Keskin, M.; Kurtoglu, S.; Kendirci, M.; Atabek, M.E.; Yazici, C. Homeostasis model assessment is more reliable than the fasting glucose/insulin ratio and quantitative insulin sensitivity check index for assessing insulin resistance among obese children and adolescents. Pediatrics 2005, 115, e500–e503. [Google Scholar] [CrossRef] [PubMed] [Green Version]
- Giannini, D.; Kuschnir, M.; De Oliveira, C.; Bloch, K.; Schaan, B.; Cureau, F.; De Carvalho, K.; Dias, G.; Szklo, M. C-reactive protein in Brazilian adolescents: Distribution and association with metabolic syndrome in ERICA survey. Eur. J. Clin. Nutr. 2017, 71, 1206–1211. [Google Scholar] [CrossRef]
- Gledhill, N.; Jamnik, V. Canadian Physical Activity, Fitness and Lifestyle Approach; Canadian Society for Exercise Physiology: Ottawa, CA, Canada, 2003. [Google Scholar]
- Smith, J.J.; Eather, N.; Weaver, R.G.; Riley, N.; Beets, M.W.; Lubans, D.R. Behavioral correlates of muscular fitness in children and adolescents: A systematic review. Sports Med. 2019, 49, 887–904. [Google Scholar] [CrossRef]
- Brazilian Association of Research Companies. Brazil Economic Classification Criterion; Brazilian Association of Research Companies: São Paulo, Brazil, 2010. [Google Scholar]
- Guedes, D.P.; Lopes, C.C. Validation of the Brazilian version of the 2007 youth risk behavior survey. Rev. Saúde Pública 2010, 44, 840–850. [Google Scholar] [CrossRef] [PubMed] [Green Version]
- Bull, F.C.; Al-Ansari, S.S.; Biddle, S.; Borodulin, K.; Buman, M.P.; Cardon, G.; Carty, C.; Chaput, J.-P.; Chastin, S.; Chou, R. World Health Organization 2020 guidelines on physical activity and sedentary behaviour. Br. J. Sports Med. 2020, 54, 1451–1462. [Google Scholar] [CrossRef]
- Silva, K.S.; Lopes, A.d.S.; Hoefelmann, L.P.; Cabral, L.G.dA.; Bem, M.F.L.d.; Barros, M.V.G.; Nahas, M.V. Projeto COMPAC (comportamentos dos adolescentes catarinenses): Aspectos metodológicos, operacionais e éticos. Rev. Bras. Cineantropom. Desempenho Hum. 2013, 15, 1–15. [Google Scholar] [CrossRef] [Green Version]
- Añez, C.R.; Reis, R.S.; Petroski, E.L. Brazilian version of a lifestyle questionnaire: Translation and validation for young adults. Arq. Bras. Cardiol. 2008, 91, 92–98. [Google Scholar] [CrossRef] [Green Version]
- Adami, F.; Vasconcelos, F.A.G. Obesity and early sexual maturation among students from Florianopolis-SC. Rev. Bras. Epidemiol. 2008, 11, 549–560. [Google Scholar] [CrossRef] [Green Version]
- Maughan, R.; Watson, J.S.; Weir, J. Strength and cross-sectional area of human skeletal muscle. J. Physiol. 1983, 338, 37–49. [Google Scholar] [CrossRef] [PubMed]
- Bussler, S.; Penke, M.; Flemming, G.; Elhassan, Y.S.; Kratzsch, J.; Sergeyev, E.; Lipek, T.; Vogel, M.; Spielau, U.; Körner, A. Novel insights in the metabolic syndrome in childhood and adolescence. Horm. Res. Paediatr. 2017, 88, 181–193. [Google Scholar] [CrossRef] [PubMed]
- Kang, Y.; Park, S.; Kim, S.; Koh, H. Handgrip strength among Korean adolescents with metabolic syndrome in 2014–2015. J. Clin. Densitom. 2020, 23, 271–277. [Google Scholar] [CrossRef]
- Kostek, M.; Hubal, M.J.; Pescatello, L.S. The role of genetic variation in muscle strength. Am. J. Lifestyle Med. 2011, 5, 156–170. [Google Scholar] [CrossRef]
- Orsso, C.E.; Tibaes, J.R.; Rubin, D.A.; Field, C.J.; Heymsfield, S.B.; Prado, C.M.; Haqq, A.M. Metabolic implications of low muscle mass in the pediatric population: A critical review. Metabolism 2019, 99, 102–112. [Google Scholar] [CrossRef] [PubMed]
- Orsso, C.E.; Tibaes, J.R.; Oliveira, C.L.; Rubin, D.A.; Field, C.J.; Heymsfield, S.B.; Prado, C.M.; Haqq, A.M. Low muscle mass and strength in pediatrics patients: Why should we care? Clin. Nutr. 2019, 38, 2002–2015. [Google Scholar] [CrossRef]
- Lafortuna, C.; Maffiuletti, N.; Agosti, F.; Sartorio, A. Gender variations of body composition, muscle strength and power output in morbid obesity. Int. J. Obes. 2005, 29, 833–841. [Google Scholar] [CrossRef] [PubMed] [Green Version]



| Outcomes | Absolute Muscle Strength (N) | Muscle Strength Normalized for Body Weight (N/kg) | Muscle Strength Normalized for BMI [N/(kg/m2)] | Muscle Strength Normalized for Height (N/Height) | Muscle Strength Normalized for Fat Mass (N/Fat Mass) | |||||
|---|---|---|---|---|---|---|---|---|---|---|
| lnOR | (95% CI) | lnOR | (95% CI) | lnOR | (95% CI) | lnOR | (95% CI) | lnOR | (95% CI) | |
| Obesity b | ||||||||||
| Yes | 0.011 | (−0.051; 0.086) | −4.605 * | (−4.803; −3.912) | −1.609 * | (−2.120; −1.171) | 0.487 | (−0.051; 0.157) | −1.204 * | (−1.897; −0.511) |
| Dyslipidemia b | ||||||||||
| Yes | 0.019 | (−0.010; 0.048) | 0.157 | (−2.525; 2.827) | 0.285 | (−0.174; 0.742) | 0.029 | (−0.040; 0.104) | 0.003 | (−0.128; 0.122) |
| Glucose Imbalance b | ||||||||||
| Yes | 0.009 | (−0.116; 0.113) | −3.219 * | (−4.605; −2.040) | −0.844 | (−3.912; 2.131) | 0.007 | (−0.198; 0.199) | −0.162 | (−0.527; 0.215) |
| High blood pressure b | ||||||||||
| Yes | 0.020 | (−0.030; 0.077) | −2.525 | (−4.711; 0.342) | −0.635* | (−1.108; −0.162) | 0.029 | (−0.020; 0.086) | −0.174 | (−0.693; 0.343) |
| High Inflammation Marker b | ||||||||||
| Yes | −0.030 | (−0.072; 0.010) | −2.040 * | (−3.912; −0.020) | −0.616 | (−1.272; 0.048) | −0.051 | (−0.116; 0.010) | −0.128 | (−0.713; 0.470) |
| Outcomes | Absolute Muscle Strength (N) | Muscle Strength Normalized for Body Weight (N/kg) | Muscle Strength Normalized for BMI [N/(kg/m2)] | Muscle Strength Normalized for Height (N/Height) | Muscle Strength Normalized for Fat Mass (N/Fat Mass) | |||||
|---|---|---|---|---|---|---|---|---|---|---|
| lnOR | (95% CI) | lnOR | (95% CI) | lnOR | (95% CI) | lnOR | (95% CI) | lnOR | (95% CI) | |
| Obesity b | ||||||||||
| Yes | 0.058 | (−0.020; 0.113) | −4.605 * | (−4.764; −3.912) | −1.897 * | (−3.219; −0.713) | 0.104 | (−0.20; 0.231) | −2.302 * | (−3.912; −0.821) |
| Dyslipidemia b | ||||||||||
| Yes | 0.001 | (−0.072; 0.077) | −2.408 * | (−2.996; −1.714) | −0.755 * | (−1.514; −0.020) | 0.004 | (−0.094; 0.095) | −0.287 | (−0.654; 0.095) |
| Glucose Imbalance b | ||||||||||
| Yes | −0.030 | (−0.151; 0.086) | −3.219 * | (−3.506; −2.995) | −1.204 * | (−1.427; −0.994) | −0.051 | (−0.248; 0.140) | −0.314 * | (−0.446; −0.186) |
| High blood pressure b | ||||||||||
| Yes | 0.029 | (−0.020; 0.077) | 0.378 | (−4.606; 1.795) | 0.343 | (−1.660; 3.040) | 0.039 | (−0.010; 0.095) | −0.116 | (−1.203; 0.947) |
| High Inflammation Marker b | ||||||||||
| Yes | 0.010 | (−0.010; 0.029) | −3.912 | (−4.599; 0.131) | −1.514 * | (−2.813; −0.174) | 0.029 | (−0.010; 0.058) | −0.654 | (−1.514; 0.207) |
| Outcomes | Absolute Muscle Strength (N) | Muscle Strength Normalized for Body Weight (N/kg) | Muscle Strength Normalized for BMI [N/(kg/m2)] | Muscle Strength Normalized for Height (N/Height) | Muscle Strength Normalized for Fat Mass (N/Fat Mass) | |||||
|---|---|---|---|---|---|---|---|---|---|---|
| lnOR | (95% CI) | lnOR | (95% CI) | lnOR | (95% CI) | lnOR | (95% CI) | lnOR | (95% CI) | |
| Male | ||||||||||
| Number of cardiometabolic risk factors | ||||||||||
| 0 (reference) | ||||||||||
| 1 | 0.010 | (−0.10; 0.029) | 0.190 | (−3.912; 1.982) | 0.322 | (−0.580; 1.215) | 0.020 | (−0.020; 0.049) | 0.002 | (−0.248; 0.262) |
| 2+ | 0.029 * | (0.010; 0.048) | −4.605 | (−4.723; 1.572) | −0.654 | (−1.660; 0.336) | 0.048 * | (0.010; 0.086) | −0.261 | (−1.078; 0.425) |
| Female | ||||||||||
| Number of cardiometabolic risk factors | ||||||||||
| 0 (reference) | ||||||||||
| 1 | 0.008 | (−0.010; 0.010) | −1.832 | (−4.605; 2.297) | −0.562 | (−2.040; 0.883) | −0.010 | (−0.030; 0.010) | −0.151 | (−0.342; 0.029) |
| 2+ | 0.039 | (−0.072; 0.157) | −3.912 * | (−4.609; −0.061) | −1.560 * | (−2.813; −0.342) | 0.058 | (−0.127; 0.254) | −1.021 * | (−1.714; −0.301) |
Publisher’s Note: MDPI stays neutral with regard to jurisdictional claims in published maps and institutional affiliations. |
© 2021 by the authors. Licensee MDPI, Basel, Switzerland. This article is an open access article distributed under the terms and conditions of the Creative Commons Attribution (CC BY) license (https://creativecommons.org/licenses/by/4.0/).
Share and Cite
de Lima, T.R.; Sui, X.; Silva, D.A.S. Normalization of Muscle Strength Measurements in the Assessment of Cardiometabolic Risk Factors in Adolescents. Int. J. Environ. Res. Public Health 2021, 18, 8428. https://doi.org/10.3390/ijerph18168428
de Lima TR, Sui X, Silva DAS. Normalization of Muscle Strength Measurements in the Assessment of Cardiometabolic Risk Factors in Adolescents. International Journal of Environmental Research and Public Health. 2021; 18(16):8428. https://doi.org/10.3390/ijerph18168428
Chicago/Turabian Stylede Lima, Tiago Rodrigues, Xuemei Sui, and Diego Augusto Santos Silva. 2021. "Normalization of Muscle Strength Measurements in the Assessment of Cardiometabolic Risk Factors in Adolescents" International Journal of Environmental Research and Public Health 18, no. 16: 8428. https://doi.org/10.3390/ijerph18168428
APA Stylede Lima, T. R., Sui, X., & Silva, D. A. S. (2021). Normalization of Muscle Strength Measurements in the Assessment of Cardiometabolic Risk Factors in Adolescents. International Journal of Environmental Research and Public Health, 18(16), 8428. https://doi.org/10.3390/ijerph18168428

