Impact of Anthropic Activities on Soil Quality under Different Land Uses
Abstract
:1. Introduction
2. Materials and Methods
2.1. Study Area and Soil Sampling
2.2. Soil Chemical Analyses
2.3. Soil Biological Analyses
2.4. Soil Quality Index (SQI)
2.5. Statistical Analyses
3. Results
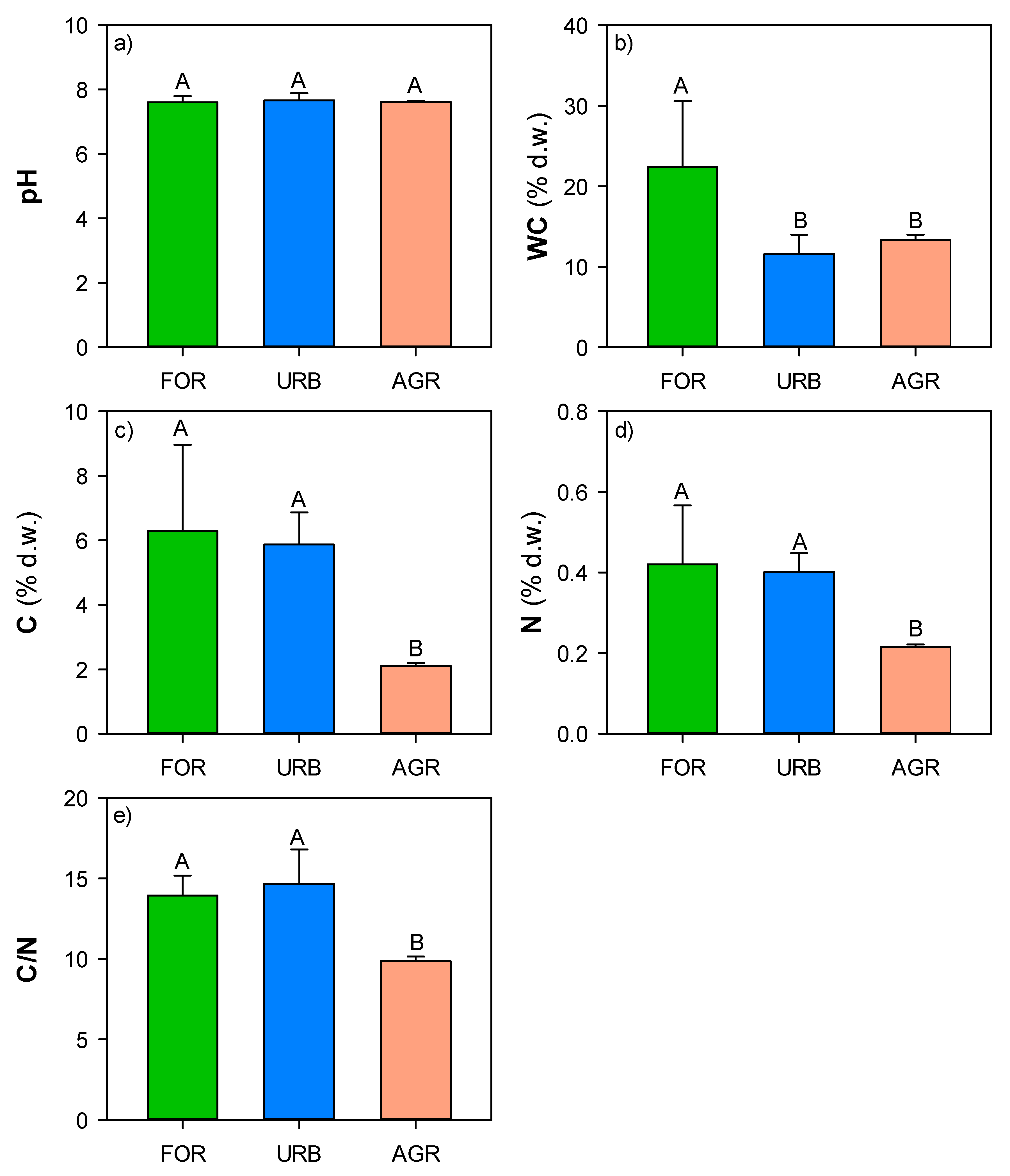
Soil Chemical Properties
4. Discussion
5. Conclusions
Author Contributions
Funding
Institutional Review Board Statement
Informed Consent Statement
Data Availability Statement
Conflicts of Interest
Appendix A
| PCs Parameter | PC1 | PC2 | PC3 | PC4 | PC5 |
|---|---|---|---|---|---|
| Eigenvalues | 8.138 | 3.1339 | 1.5285 | 1.095 | 0.1045 |
| Eigenvector/factor loading | |||||
| pH | 0.895744 | 0.358968 | 0.031448 | 0.214857 | 0.147078 |
| WC | 0.956437 | 0.124829 | 0.088252 | 0.123628 | 0.215811 |
| C | 0.954195 | 0.209599 | 0.202672 | 0.06557 | 0.014303 |
| N | 0.970817 | 0.221053 | 0.049699 | 0.075228 | 0.022825 |
| C/N | 0.521301 | 0.169629 | 0.710131 | 0.433836 | 0.083492 |
| Cutot | 0.806014 | 0.443014 | 0.154839 | 0.346369 | 0.100668 |
| Nitot | 0.360284 | 0.644527 | 0.629611 | 0.232527 | 0.065586 |
| Pbtot | 0.956026 | 0.276839 | 0.094666 | 0.012115 | 0.016335 |
| Cuava | 0.520954 | 0.259955 | 0.74684 | 0.30106 | 0.112351 |
| Niava | 0.991542 | 0.033216 | 0.047195 | 0.091613 | 0.071564 |
| Pbava | 0.994754 | 0.009244 | 0.068431 | 0.075475 | 0.000784 |
| BM | 0.246891 | 0.76601 | 0.445811 | 0.391464 | 0.016807 |
| BF | 0.534889 | 0.288051 | 0.124515 | 0.784217 | 0.020482 |
| Resp | 0.437643 | 0.813683 | 0.192015 | 0.329019 | 0.03557 |
| qCO2 | 0.159342 | 0.963696 | 0.039897 | 0.2103 | 0.00906 |
| PCs Parameters | PC1 | PC2 | PC3 | PC4 | PC5 |
|---|---|---|---|---|---|
| Eigenvalues | 8.8376 | 3.1039 | 1.0673 | 0.7979 | 0.1933 |
| Eigenvector/factor loading | |||||
| pH | 0.965252 | 0.12443 | 0.127632 | 0.110229 | 0.156096 |
| WC | 0.400124 | 0.667499 | 0.55355 | 0.293245 | 0.044003 |
| C | 0.112064 | 0.939637 | 0.237068 | 0.195888 | 0.099754 |
| N | 0.722896 | 0.394981 | 0.562111 | 0.073603 | 0.004984 |
| C/N | 0.345877 | 0.850053 | 0.164188 | 0.338133 | 0.128402 |
| Cutot | 0.960239 | 0.067421 | 0.133406 | 0.042756 | 0.231884 |
| Nitot | 0.197052 | 0.931127 | 0.192669 | 0.226417 | 0.076077 |
| Pbtot | 0.975271 | 0.014178 | 0.219861 | 0.004984 | 0.0168 |
| Cuava | 0.932098 | 0.008371 | 0.326496 | 0.130063 | 0.087216 |
| Niava | 0.972539 | 0.212811 | 0.021468 | 0.061145 | 0.068409 |
| Pbava | 0.956068 | 0.07921 | 0.037994 | 0.061597 | 0.272803 |
| BM | 0.590097 | 0.107177 | 0.234359 | 0.762359 | 0.064674 |
| BF | 0.519383 | 0.783516 | 0.303831 | 0.130159 | 0.084199 |
| Resp | 0.988405 | 0.096783 | 0.025929 | 0.094251 | 0.064283 |
| qCO2 | 0.978898 | 0.100066 | 0.011811 | 0.160773 | 0.075889 |
| PCs Parameters | PC1 | PC2 | PC3 | PC4 | PC5 |
|---|---|---|---|---|---|
| Eigenvalues | 6.2427 | 3.3448 | 2.3889 | 1.3719 | 0.6517 |
| Eigenvector/factor loading | |||||
| pH | 0.751027 | 0.534799 | 0.345853 | 0.1483 | 0.091331 |
| WC | 0.062185 | 0.941679 | 0.122692 | 0.286528 | 0.110557 |
| C | 0.896551 | 0.37068 | 0.10184 | 0.207473 | 0.073322 |
| N | 0.736896 | 0.319929 | 0.12034 | 0.495273 | 0.30798 |
| C/N | 0.366353 | 0.836352 | 0.216562 | 0.27916 | 0.203645 |
| Cutot | 0.637388 | 0.507315 | 0.523503 | 0.197993 | 0.152022 |
| Nitot | 0.472339 | 0.102708 | 0.101683 | 0.844982 | 0.204971 |
| Pbtot | 0.67527 | 0.592615 | 0.318694 | 0.295984 | 0.060371 |
| Cuava | 0.865706 | 0.333171 | 0.032579 | 0.117073 | 0.353246 |
| Niava | 0.94335 | 0.083479 | 0.186051 | 0.166895 | 0.201628 |
| Pbava | 0.930795 | 0.017651 | 0.338169 | 0.08853 | 0.105424 |
| BM | 0.3477 | 0.478205 | 0.739579 | 0.091992 | 0.308196 |
| BF | 0.117099 | 0.016367 | 0.887072 | 0.10162 | 0.434508 |
| Resp | 0.649887 | 0.44278 | 0.528798 | 0.278506 | 0.156203 |
| qCO2 | 0.381179 | 0.852423 | 0.32551 | 0.148729 | 0.000926 |
References
- El Khalil, H.; Schwartz, C.; El Hamiani, O.; Kubiniok, J.; Morel, J.L.; Boularbah, A. Distribution of major elements and trace metals as indicators of technosolisation of urban and suburban soils. J. Soils Sediments 2013, 13, 519–530. [Google Scholar] [CrossRef]
- Vitousek, P.M.; Mooney, H.A.; Lubchenco, J.; Melillo, J.M. Human domination of earth’s ecosystems. Sci. New Ser. 1997, 277, 494–499. [Google Scholar] [CrossRef] [Green Version]
- Manzo, S.; De Luca Picione, F.; Rocco, A.; Carotenuto, R.; Maisto, G. Urban and agricultural soil ecotoxicity and heavy metal contamination. Fresenius Environ. Bull. 2010, 19, 1749–1755. [Google Scholar]
- Morel, J.; Schwartz, C.; Florentin, L. Urban soils. Encycl. Soils Environ. 2005, 335, 202–208. [Google Scholar]
- Joimel, S.; Cortet, J.; Jolivet, C.; Saby, N.; Chenot, E.D.; Branchu, P.; Consalès, J.N.; Lefort, C.; Morel, J.L.; Schwartz, C. Physico-chemical characteristics of topsoil for contrasted forest, agricultural, urban and industrial land uses in France. Sci. Total Environ. 2016, 545–546, 40–47. [Google Scholar] [CrossRef] [Green Version]
- Vukicevich, E.; Lowery, T.; Bowen, P.; Úrbez-Torres, J.R.; Hart, M. Cover crops to increase soil microbial diversity and mitigate decline in perennial agriculture. A review. Agron. Sustain. Dev. 2016, 36, 48. [Google Scholar] [CrossRef] [Green Version]
- Stolte, J.; Tesfai, M.; Øygarden, L.; Kværnø, S.; Keizer, J.; Verheijen, F.; Panagos, P.; Ballabio, C.; Hessel, R. Soil Threats in Europe; Publications Office Luxembourg: Luxembourg, 2015. [Google Scholar]
- Tscharntke, T.; Clough, Y.; Wanger, T.C.; Jackson, L.; Motzke, I.; Perfecto, I.; Vandermeer, J.; Whitbread, A. Global food security, biodiversity conservation and the future of agricultural intensification. Biol. Conserv. 2012, 151, 53. [Google Scholar] [CrossRef]
- Memoli, V.; Esposito, F.; De Marco, A.; Arena, C.; Vitale, L.; Tedeschi, A.; Magliulo, V.; Maisto, G. Metal compartmentalization in different biomass portions of Helianthus annuus L. and Sorghum bicolor L. grown in an agricultural field inside an urban fabric. App. Soil Ecol. 2017, 121, 118–126. [Google Scholar] [CrossRef]
- Wolińska, A.; Rekosz-Burlaga, H.; Goryluk-Salmonowicz, A.; Błaszczyk, M.; Stępniewska, Z. Bacterial Abundance and Dehydrogenase Activity in Selected Agricultural Soils from Lublin Region. Pol. J. Environ. Stud. 2015, 24, 2677–2682. [Google Scholar] [CrossRef]
- Yang, T.; Siddique, K.H.M.; Liu, K. Cropping systems in agriculture and their impact on soil health-A review. Glob. Ecol. Conserv. 2020, 23, e01118. [Google Scholar] [CrossRef]
- De Nicola, F.; Alfani, A.; Maisto, G. Polycyclic aromatic hydrocarbon contamination in an urban area assessed by Q. ilex leaves and soil. Environ. Sci. Pollut. Res. 2014, 21, 7616–7623. [Google Scholar] [CrossRef] [PubMed] [Green Version]
- Memoli, V.; De Marco, A.; Esposito, F.; Panico, S.C.; Barile, R.; Maisto, G. Seasonality, altitude and human activities control soil quality in a national park surrounded by an urban area. Geoderma 2019, 337, 1–10. [Google Scholar] [CrossRef]
- Santorufo, L.; Cortet, L.; Arena, C.; Goudon, R.; Rakoto, A.; Morel, J.L.; Maisto, G. An assessment of the influence of the urban environment oncollembolan communities in soils using taxonomy- and trait-based approaches. Appl. Soil Ecol. 2014, 78, 48–56. [Google Scholar] [CrossRef]
- Santorufo, L.; Cortet, J.; Nahmani, J.; Pernin, C.; Salmon, S.; Pernot, A.; Morel, J.L.; Maisto, G. Responses of functional and taxonomic collembolan community structure to site management in Mediterranean urban and surrounding areas. Eur. J. Soil Biol. 2015, 70, 46–57. [Google Scholar] [CrossRef]
- Memoli, V.; Eymar, E.; García-Delgado, C.; Esposito, F.; Santorufo, L.; De Marco, A.; Barile, R.; Maisto, G. Total and fraction content of elements in volcanic soil: Natural or anthropogenic derivation. Sci. Total Environ. 2018, 625, 16–26. [Google Scholar] [CrossRef] [Green Version]
- Schindelbeck, R.R.; van Esa, H.M.; Abawi, G.S.; Wolfe, D.W.; Whitlow, T.L.; Gugino, B.K.; Idowu, O.J.; Moebius-Clune, B.N. Comprehensive assessment of soil quality for landscape and urban management. Lands. Urban Plan. 2008, 88, 73–80. [Google Scholar] [CrossRef] [Green Version]
- Herrmann, D.L.; Shuster, W.D.; Garmestan, A.S. Vacant urban lot soils and their potential to support ecosystem services. Plant Soil 2017, 413, 45–57. [Google Scholar] [CrossRef]
- Xu, H.J.; Li, S.; Su, J.Q.; Nie, S.; Gibson, V.; Li, H.; Zhu, Y.G. Does urbanization shape bacterial community composition in urban park soils? A case study in 16 representative Chinese cities based on the pyrosequencing method. FEMS Microbiol. Ecol. 2014, 87, 182–192. [Google Scholar] [CrossRef] [PubMed] [Green Version]
- Yan, B.; Li, J.; Xiao, N.; Qi, Y.; Fu, G.; Liu, G.; Qiao, M. Urban-development-induced Changes in the Diversity and Composition of the Soil Bacterial Community in Beijing. Sci. Rep. 2016, 9, 38811. [Google Scholar] [CrossRef] [Green Version]
- Joimel, S.; Schwartz, C.; Hedde, M.; Kiyota, S.; Krogh, P.H.; Nahmani, J.; Pérès, G.; Vergnes, A.; Cortet, J. Urban and industrial land uses have a higher soil biological quality than expected from physicochemical quality. Sci. Total Environ. 2017, 584–585, 614–621. [Google Scholar] [CrossRef] [PubMed]
- Kondratyeva, A.; Knapp, S.; Durka, W.; Kühn, I.; Vallet, J.; Machon, N.; Martin, G.; Motard, E.; Grandcolas, P.; Pavoine, S. Urbanization Effects on Biodiversity Revealed by a Two-Scale Analysis of Species Functional Uniqueness vs. Redundancy. Front. Ecol. Evol. 2020, 8, 73. [Google Scholar] [CrossRef] [Green Version]
- McKinney, M.L. Urbanization as a major cause of biotic homogenization. Biol. Conserv. 2006, 127, 247–260. [Google Scholar] [CrossRef]
- Panagos, P.; Imeson, A.; Meusburger, K.; Borrelli, P.; Poesen, J.; Alewell, C. Soil conservation in Europe: Wish or reality? Land Degrad. Dev. 2016, 27, 1547–1551. [Google Scholar] [CrossRef] [Green Version]
- Morel, J.L.; Chenu, C.; Lorenz, K. Ecosystem services provided by soils of urban, industrial, traffic, mining, and military areas (SUITMAs). J. Soils Sediments 2014, 15, 1659–1666. [Google Scholar] [CrossRef]
- Lima, A.C.R.; Brussaard, L.; Totola, M.R.; Hoogmoed, W.B.; de Goede, R.G.M. A functional evaluation of three indicator sets for assessing soil quality. Appl. Soil Ecol. 2013, 64, 194–200. [Google Scholar] [CrossRef]
- Panico, S.C.; Memoli, V.; Napoletano, P.; Esposito, F.; Colombo, C.; Maisto, G.; De Marco, A. Variation of the chemical and biological properties of a Technosol during seven years after a single application of compost. Appl. Soil Ecol. 2019, 138, 156–159. [Google Scholar] [CrossRef]
- Memoli, V.; Panico, S.C.; Santorufo, L.; Barile, R.; Di Natale, G.; Di Nunzio, A.; Toscanesi, M.; Trifuoggi, M.; De Marco, A.; Maisto, G. Do Wildfires Cause Changes in Soil Quality in the Short Term? Int. J. Environ. Res. Public Health 2020, 17, 5343. [Google Scholar] [CrossRef]
- Santorufo, L.; Memoli, V.; Panico, S.C.; Santini, G.; Barile, R.; Giarra, A.; Di Natale, G.; Trifuoggi, M.; De Marco, A.; Maisto, G. Combined Effects of Wildfire and Vegetation Cover Type on Volcanic Soil (Functions and Properties) in a Mediterranean Region: Comparison of Two Soil Quality Indices. Int. J. Environ. Res. Public Health 2021, 18, 5926. [Google Scholar] [CrossRef] [PubMed]
- Andrews, S.S.; Karlen, D.L.; Cambardella, C.A. The soil management assessment framework: A quantitative soil quality evaluation method. Soil Sci. Soc. Am. J. 2004, 68, 1942–1962. [Google Scholar] [CrossRef]
- Panico, S.C.; Memoli, V.; Santorufo, L.; Esposito, F.; De Marco, A.; Barile, R.; Maisto, G. Linkage between Site Features and Soil Characteristics within a Mediterranean Volcanic Area. Front. For. Glob. Chang. 2021, 3, 621231. [Google Scholar] [CrossRef]
- Di Gennaro, A. I Sistemi di Terre Della Campania; Assessorato Regionale alla Ricerca Scientifica: Firenze, Italy, 2002. [Google Scholar]
- Santorufo, L.; Van Gestel, C.A.M.; Maisto, G. Ecotoxicological assessment of metal-polluted urban soils using bioassays with three soil invertebrates. Chemosphere 2012, 88, 418–425. [Google Scholar] [CrossRef] [PubMed]
- Lindsay, W.N.; Norwell, W.A. Development of a DTPA micronutrient soil test. Agron. Abstr. 1969, 69–87. [Google Scholar]
- Commission of the European Communities. Certification of the Total Contents (Mass Fractions) of Cd, Co, Cu, Pb, Mn, Hg and Ni, and the Aqua Regia Soluble Contents (Mass Fractions) of Cd, Pb, Ni and Zn in a Light Sandy Soil; CRM 142R; EUR 15283 EN; Bureau Community of Reference: Bruxelles, Brussels, 1994. [Google Scholar]
- Anderson, T.H.; Domsch, K.H. A physiological method for the quantitative measurements of microbial biomass in soil. Soil Biol. Biochem. 1978, 10, 215–221. [Google Scholar] [CrossRef]
- Panico, S.C.; Esposito, F.; Memoli, V.; Vitale, L.; Polimeno, F.; Magliulo, V.; Maisto, G.; De Marco, A. Variations of agricultural soil quality during the growth stages of sorghum and sunflower. Appl. Soil Ecol. 2020, 152, 103569. [Google Scholar] [CrossRef]
- Froment, A. Soil respiration in a mixed oak forest. Oikos 1972, 23, 273–277. [Google Scholar] [CrossRef]
- Sundman, V.; Sivelä, S. A comment on the membrane filter technique for the estimation of length of fungal hyphae in soil. Soil Biol. Biochem. 1978, 10, 399–401. [Google Scholar] [CrossRef]
- Memoli, V.; Santorufo, L.; Panico, S.C.; Barile, R.; Di Natale, G.; Trifuoggi, M.; De Marco, A.; Maisto, G. Stability of Mediterranean burnt soils under different plant covers. Catena 2021, 206, 105581. [Google Scholar] [CrossRef]
- Olson, F.C.W. Quantitative estimates of filamentous algae. Trans. Am. Microsc. Soc. 1950, 69, 272–279. [Google Scholar] [CrossRef]
- Leitgib, L.; Kálmán, J.; Gruiz, K. Comparison of bioassays by testing whole soil and their water extract from contaminated sites. Chemosphere 2007, 66, 428–434. [Google Scholar] [CrossRef]
- Marzaioli, R.; D’Ascoli, R.; De Pascale, R.A.; Rutigliano, F.A. Soil quality in a Mediterranean area of Southern Italy as related to different land use types. Appl. Soil Ecol. 2010, 44, 205–212. [Google Scholar] [CrossRef]
- Hamza, M.A.; Anderson, W.K. Soil compaction in cropping systems. A review of the nature, causes and possible solutions. Soil Till. Res. 2005, 85, 121–145. [Google Scholar] [CrossRef]
- Sarker, J.R.; Singh, B.P.; Dougherty, W.J.; Fang, Y.; Badgery, W.; Hoyle, F.C.; Dalal, R.C.; Cowie, A.L. Impact of agricultural management practices on the nutrient supply potential of soil organic matter under long-term farming systems. Soil Till. Res. 2018, 175, 71–81. [Google Scholar] [CrossRef]
- Belon, E.; Boisson, M.; Deportes, I.Z.; Eglin, T.K.; Feix, I.; Bispo, A.O.; Galsomies, L.; Leblon, S.; Guellier, C.R. An inventory of trace elements inputs to French agricultural soils. Sci. Total Environ. 2012, 439, 87–95. [Google Scholar] [CrossRef]
- Jurišić, M.; Radočaj, D.; Krčmar, S.; Plaščak, I.; Gašparović, M. Geostatistical Analysis of Soil C/N Deficiency and Its Effect on Agricultural Land Management of Major Crops in Eastern Croatia. Agronomy 2020, 10, 1996. [Google Scholar] [CrossRef]
- Memoli, V.; Esposito, F.; Santorufo, L.; Panico, S.C.; Trifuoggi, M.; Di Natale, G.; Maisto, G. Relationships Between Leaf Exposure Time to Air Pollution and Metal and Particulate Matter Accumulation for Holm Oak Leaves. Water Air Soil Pollut. 2020, 231, 529. [Google Scholar] [CrossRef]
- Ventorino, V.; De Marco, A.; Pepe, O.; Virzo De Santo, A.; Moschetti, G. Impact of Innovative Agricultural Practices of Carbon Sequestration on Soil Microbial Community. In Carbon Sequestration in Agricultural Soils. A Multidisciplinary Approach to Innovative Methods; Piccolo, A., Ed.; Springer: Berlin/Heidelberg, Germany, 2012; pp. 145–177. [Google Scholar]
- Bainard, L.D.; Navarro-Borrell, A.; Hamel, C.; Braun, K.; Hanson, K.; Gan, Y. Increasing the frequency of pulses in crop rotations reduces soil fungal diversity and increases the proportion of fungal pathotrophs in a semiarid agroecosystem. Agric. Ecosyst. Environ. 2017, 240, 206–214. [Google Scholar] [CrossRef]
- Panico, S.C.; Memoli, V.; Esposito, F.; Maisto, G.; De Marco, A. Plant cover and management practices as drivers of soil quality. Appl. Soil Ecol. 2018, 129, 128–135. [Google Scholar] [CrossRef]
- Joimel, S.; Capiaux, H.; Schwartz, C.; Hedde, M.; Lebeau, T.; Le Guern, C.; Nahmani, J.; Pernin, C.; Salmon, S.; Santorufo, L.; et al. Effect of Geogenic Lead on Fungal and Collembolan Communities in Garden Topsoil. Pedosphere 2018, 28, 215–226. [Google Scholar] [CrossRef] [Green Version]
- Rui, Y.; Murphy, D.; Wang, X.; Hoyle, F.C. Microbial respiration, but not biomass, responded linearly to increasing light fraction organic matter input: Consequences for carbon sequestration. Sci. Rep. 2016, 6, 35496. [Google Scholar] [CrossRef] [Green Version]
- Blagodatskaya, E.V.; Blagodatsky, S.A.; Anderson, T.H.; Kuzyakov, Y. Microbial growth and carbon use efficiency in the rhizosphere and root-free soil. PLoS ONE 2014, 9, e93282. [Google Scholar] [CrossRef] [PubMed]
- Leclercq-Dransart, J.; Santorufo, L.; Pernin, C.; Louvel, B.; Demuynck, S.; Grumiaux, F.; Douay, F.; Leprêtre, A. Litter breakdown as a tool for assessment of the efficiency of afforestation and ash-aided phytostabilization on metal-contaminated soils functioning in Northern France. Environ. Sci. Pollut. Res. 2018, 25, 18579–18595. [Google Scholar] [CrossRef] [PubMed]
- Raiesi, F. A minimum data set and soil quality index to quantify the effect of land use conversion on soil quality and degradation in native rangelands of upland arid and semiarid regions. Ecol. Indic. 2017, 75, 307–320. [Google Scholar] [CrossRef]
- Askari, M.S.; Holden, N.M. Quantitative soil quality indexing of temperate arable management systems. Soil Tillage Res. 2015, 150, 57–67. [Google Scholar] [CrossRef]






Publisher’s Note: MDPI stays neutral with regard to jurisdictional claims in published maps and institutional affiliations. |
© 2021 by the authors. Licensee MDPI, Basel, Switzerland. This article is an open access article distributed under the terms and conditions of the Creative Commons Attribution (CC BY) license (https://creativecommons.org/licenses/by/4.0/).
Share and Cite
Santorufo, L.; Memoli, V.; Panico, S.C.; Esposito, F.; Vitale, L.; Di Natale, G.; Trifuoggi, M.; Barile, R.; De Marco, A.; Maisto, G. Impact of Anthropic Activities on Soil Quality under Different Land Uses. Int. J. Environ. Res. Public Health 2021, 18, 8423. https://doi.org/10.3390/ijerph18168423
Santorufo L, Memoli V, Panico SC, Esposito F, Vitale L, Di Natale G, Trifuoggi M, Barile R, De Marco A, Maisto G. Impact of Anthropic Activities on Soil Quality under Different Land Uses. International Journal of Environmental Research and Public Health. 2021; 18(16):8423. https://doi.org/10.3390/ijerph18168423
Chicago/Turabian StyleSantorufo, Lucia, Valeria Memoli, Speranza Claudia Panico, Francesco Esposito, Luca Vitale, Gabriella Di Natale, Marco Trifuoggi, Rossella Barile, Anna De Marco, and Giulia Maisto. 2021. "Impact of Anthropic Activities on Soil Quality under Different Land Uses" International Journal of Environmental Research and Public Health 18, no. 16: 8423. https://doi.org/10.3390/ijerph18168423
APA StyleSantorufo, L., Memoli, V., Panico, S. C., Esposito, F., Vitale, L., Di Natale, G., Trifuoggi, M., Barile, R., De Marco, A., & Maisto, G. (2021). Impact of Anthropic Activities on Soil Quality under Different Land Uses. International Journal of Environmental Research and Public Health, 18(16), 8423. https://doi.org/10.3390/ijerph18168423

