Active Coping and Anxiety Symptoms during the COVID-19 Pandemic in Spanish Adults
Abstract
:1. Introduction
2. Materials and Methods
2.1. Participants
2.2. Measures
2.3. Procedure
2.4. Study Design and Data Analyses
3. Results
4. Discussion
5. Conclusions
Author Contributions
Funding
Institutional Review Board Statement
Informed Consent Statement
Acknowledgments
Conflicts of Interest
References
- World Health Organization. Rolling Updates on Coronavirus Disease (COVID-19). Available online: https://www.who.int/emergencies/diseases/novel-coronavirus-2019/events-as-they-happen (accessed on 15 March 2021).
- Hellewell, J.; Abbott, S.; Gimma, A.; Bosse, N.I.; Jarvis, C.I.; Russell, T.W.; Munday, J.D.; Kucharski, A.J.; Edmunds, W.J.; Funk, S.; et al. Feasibility of controlling COVID-19 outbreaks by isolation of cases and contacts. Lancet Glob. Health 2020, 8, e488–e496. [Google Scholar] [CrossRef] [Green Version]
- Ranaei, V.; Pilevar, Z.; Aghamolaei, T. Behavioral reactions and psychological responses to 2019-ncov: A narrative review. Iran. J. Psychiatry Behav. Sci. 2020, 14, e104727. [Google Scholar] [CrossRef]
- Cénat, J.M.; Blais-Rochette, C.; Kokou-Kpolou, C.K.; Noorishad, P.G.; Mukunzi, J.N.; McIntee, S.E.; Dalexis, R.D.; Goulet, M.A.; Labelle, P.R. Prevalence of symptoms of depression, anxiety, insomnia, posttraumatic stress disorder, and psychological distress among populations affected by the COVID-19 pandemic: A systematic review and meta-analysis. Psychiatry Res. 2021, 295, 113599. [Google Scholar] [CrossRef]
- López-Bueno, R.; Calatayud, J.; Casaña, J.; Casajús, J.A.; Smith, L.; Tully, M.A.; Andersen, L.L.; López-Sánchez, G.F. COVID-19 Confinement and health risk behaviors in Spain. Front. Psychol. 2020, 11, 1426. [Google Scholar] [CrossRef] [PubMed]
- Shigemura, J.; Ursano, R.J.; Morganstein, J.C.; Kurosawa, M.; Benedek, D.M. Public responses to the novel 2019 coronavirus (2019-nCoV) in Japan: Mental health consequences and target populations. Psychiatry Clin. Neurosci. 2020, 74, 281–282. [Google Scholar] [CrossRef]
- Xiang, Y.T.; Yang, Y.; Li, W.; Zhang, L.; Zhang, Q.; Cheung, T.; Ng, C.H. Timely mental health care for the 2019 novel coronavirus outbreak is urgently needed. Lancet Psychic. 2020, 7, 228–229. [Google Scholar] [CrossRef] [Green Version]
- Brooks, S.K.; Webster, R.K.; Smith, L.E.; Woodland, L.; Wessely, S.; Greenberg, N.; Rubin, G.J. The psychological impact of quarantine and how to reduce it: Rapid review of the evidence. Lancet 2020, 395, 912–920. [Google Scholar] [CrossRef] [Green Version]
- Mukhtar, S. Psychological health during the coronavirus disease 2019 pandemic outbreak. Int. J. Soc. Psychiatry 2020, 66, 512–516. [Google Scholar] [CrossRef]
- Fiorillo, A.; Gorwood, P. The consequences of the COVID-19 pandemic on mental health and implications for clinical practice. Eur. Psychic. 2020, 63, e32. [Google Scholar] [CrossRef] [Green Version]
- Chandu, V.C.; Marella, Y.; Panga, G.S.; Pachava, S.; Vadapalli, V. Measuring the impact of COVID-19 on mental health: A scoping review of the existing scales. Indian J. Psychol. Med. 2020, 42, 421–427. [Google Scholar] [CrossRef] [PubMed]
- Clemente-Suárez, V.J.; Dalamitros, A.A.; Beltran-Velasco, A.I.; Mielgo-Ayuso, J.; Tornero-Aguilera, J.F. Social and psychophysiological consequences of the COVID-19 pandemic: An extensive literature review. Front. Psychol. 2020, 11, 580225. [Google Scholar] [CrossRef] [PubMed]
- Wu, T.; Jia, X.; Shi, H.; Niu, J.; Yin, X.; Xie, J.; Wang, X. Prevalence of mental health problems during the COVID-19 pandemic: A systematic review and meta-analysis. J. Affect. Disord. 2021, 281, 91–98. [Google Scholar] [CrossRef] [PubMed]
- Zurcher, S.J. Prevalence of mental health problems during virus epidemics in the general public, health care workers and survivors: A rapid review of the evidence. Public Health Front. 2020, 8, 560389. [Google Scholar] [CrossRef] [PubMed]
- Prati, G.; Mancini, A.D. The psychological impact of COVID-19 pandemic lockdowns: A review and meta-analysis of longitudinal studies and natural experiments. Psychol. Med. 2021, 51, 201–211. [Google Scholar] [CrossRef]
- Salari, N.; Hosseinian-Far, A.; Jalali, R.; Vaisi-Raygani, A.; Rasoulpoor, S.; Mohammadi, M.; Rasoulpoor, S.; Khaledi-Paveh, B. Prevalence of stress, anxiety, depression among the general population during the COVID-19 pandemic: A systematic review and meta-analysis. Glob. Health 2020, 16, 57. [Google Scholar] [CrossRef]
- Cavicchioli, M.; Ferrucci, R.; Guidetti, M.; Canevini, M.P.; Pravettoni, G.; Galli, F. What will be the impact of the covid-19 quarantine on psychological distress? Considerations based on a systematic review of pandemic outbreaks. Healthcare 2021, 9, 101. [Google Scholar] [CrossRef]
- Li, W.; Yang, Y.; Liu, Z.H.; Zhao, Y.J.; Zhang, Q.; Zhang, L.; Cheung, T.; Xiang, Y.T. Progression of mental health services during the COVID-19 outbreak in China. Int. J. Biol. Sci. 2020, 16, 1732–1738. [Google Scholar] [CrossRef] [Green Version]
- Chew, Q.H.; Wei, K.C.; Vasoo, S.; Chua, H.C.; Sim, K. Narrative synthesis of psychological and coping responses towards emerging infectious disease outbreaks in the general population: Practical considerations for the COVID-19 pandemic. SMJ 2020, 61, 350–356. [Google Scholar] [CrossRef]
- Shamblaw, A.L.; Rumas, R.L.; Best, M.W. Coping during the COVID-19 pandemic: Relations with mental health and quality of life. Can. Psychol. 2021, 62, 92–100. [Google Scholar] [CrossRef]
- Bonanno, G.A.; Westphal, M.; Mancini, A.D. Resilience to loss and potential trauma. Annu. Rev. Clin. Psychol. 2011, 7, 511–535. [Google Scholar] [CrossRef] [Green Version]
- Fredrickson, B.L.; Tugade, M.M.; Waugh, C.E.; Larkin, G.R. What good are positive emotions in crises? A prospective study of resilience and emotions following the terrorist attacks on the United States on September 11th, 2001. J. Pers. Soc. Psychol. 2003, 84, 365–376. [Google Scholar] [CrossRef]
- Budimir, S.; Probst, T.; Pieh, C. Coping strategies and mental health during COVID-19 lockdown. J. Ment. Health 2021, 30, 156–163. [Google Scholar] [CrossRef] [PubMed]
- Cheng, C.; Wang, H.Y.; Ebrahimi, O.V. Adjustment to a “new normal:” Coping flexibility and mental health issues during the COVID-19 Pandemic. Front. Psychiat. 2021, 12, 353. [Google Scholar] [CrossRef] [PubMed]
- Dewa, L.H.; Crandell, C.; Choong, E.; Jaques, J.; Bottle, A.; Kilkenny, C.; Aylin, P.C.Y. Cope a mixed-methods coproduced study on the mental health status and coping strategies of young people during COVID-19 UK lockdown. J. Adoles. Health 2021, 68, 666–675. [Google Scholar] [CrossRef]
- Fluharty, M.; Bu, F.; Steptoe, A.; Fancourt, D. Coping strategies and mental health trajectories during the first 21 weeks of COVID-19 lockdown in the United Kingdom. Soc. Sci. Med. 2021, 279, 113958. [Google Scholar] [CrossRef] [PubMed]
- Humphrey, A.; Vari, O. Meaning Matters: The impact of Self-Perceived Meaning in Life and its predictors on Psychological Stressors associated with the COVID-19 Pandemic. Behav. Sci. 2021, 11, 50. [Google Scholar] [CrossRef]
- Kunzler, A.M.; Stoffers-Winterling, J.; Stoll, M.; Mancini, A.L.; Lehmann, S.; Blessin, M.; Gilan, D.; Helmreich, I.; Hufert, F.; Lieb, K. Mental health and psychosocial support strategies in highly contagious emerging disease outbreaks of substantial public concern: A systematic scoping review. PLoS ONE 2021, 16, e0244748. [Google Scholar] [CrossRef]
- Nitschke, J.P.; Forbes, P.A.G.; Ali, N.; Cutler, J.; Apps, M.A.J.; Lockwood, P.L.; Lamm, C. Resilience during uncertainty? Greater social connectedness during COVID-19 lockdown is associated with reduced distress and fatigue. Br. J. Health Psychol. 2021, 26, 553–569. [Google Scholar] [CrossRef]
- Patias, N.D.; Von Hohendorff, J.; Cozzer, A.J.; Flores, P.A.; Scorsolini-Comin, F. Mental health and coping strategies in undergraduate and graduate students during COVID-19 pandemic. Trends Psychol. 2021, 1–20. [Google Scholar] [CrossRef]
- Almeda, N.; García-Alonso, C.; Salvador-Carulla, L. Mental health planning at a very early stage of the COVID-19 crisis: A systematic review of online international strategies and recommendations. BMC Psychiatry 2021, 21, 43. [Google Scholar] [CrossRef]
- Cunningham, C.; O’Sullivan, R.; Caserotti, P.; Tully, M.A. Consequences of physical inactivity in older adults: A systematic review of reviews and meta-analyses. Scand. J. Med. Sci. Spor. 2020, 30, 816–827. [Google Scholar] [CrossRef]
- Gallè, F.; Sabella, E.A.; Da Molin, G.; De Giglio, O.; Caggiano, G.; Di Onofrio, V.; Ferracuti, S.; Montagna, M.T.; Liguori, G.; Orsi, G.B.; et al. Understanding knowledge and behaviors related to CoViD-19 epidemic in Italian undergraduate students: The EPICO Study. Int. J. Environ. Res. Public Health 2020, 17, 3481. [Google Scholar] [CrossRef]
- Hossain, M.; Sultana, A.; Purohit, N. Mental health outcomes of quarantine and isolation for infection prevention: A systematic umbrella review of the global evidence. Epidemiol. Health 2020. [Google Scholar] [CrossRef] [PubMed]
- Stockwell, S.; Trott, M.; Tully, M.; Shin, J.; Barnett, Y.; Butler, L.; Mcdermott, D.; Schuch, F.; Smith, L. Changes in physical activity and sedentary behaviours from before to during the COVID-19 pandemic lockdown: A systematic review. BMJ Open Sport Exerc. Med. 2021, 7, e000960. [Google Scholar] [CrossRef] [PubMed]
- Bowes, A.; Lomax, L.; Piasecki, J. The impact of the COVID-19 lockdown on elite sportswomen. Manag. Sport Leis. 2020, 48, 1–17. [Google Scholar] [CrossRef]
- Cancello, R.; Soranna, D.; Zambra, G.; Zambon, A.; Invitti, C. Determinants of the lifestyle changes during COVID-19 pandemic in the residents of Northern Italy. Int. J. Environ. Res. Public Health 2020, 17, 6287. [Google Scholar] [CrossRef] [PubMed]
- Constandt, B.; Thibaut, E.; De Bosscher, V.; Scheerder, J.; Ricour, M.; Willem, A. Exercising in times of lockdown: An analysis of the impact of COVID-19 on levels and patterns of exercise among adults in Belgium. Int. J. Environ. Res. Public Health 2020, 17, 4144. [Google Scholar] [CrossRef] [PubMed]
- Karuc, J.; Sorić, M.; Radman, I.; Mišigoj-Duraković, M. Moderators of change in physical activity levels during restrictions due to COVID-19 Pandemic in young urban adults. Sustainability 2020, 12, 6392. [Google Scholar] [CrossRef]
- Mandelkorn, U.; Genzer, S.; Choshen-Hillel, S.; Reiter, J.; Meira, E.; Cruz, M.; Hochner, H.; Kheirandish-Gozal, L.; Gozal, D.; Gileles-Hillel, A. Escalation of sleep disturbances amid the COVID-19 pandemic: A cross-sectional international study. J. Clin. Sleep Med. 2021, 17, 45–53. [Google Scholar] [CrossRef] [PubMed]
- Wang, X.; Lei, S.M.; Le, S.; Yang, Y.; Zhang, B.; Yao, W.; Gao, Z.; Cheng, S. Bidirectional Influence of the COVID-19 pandemic lockdowns on health behaviors and quality of life among Chinese adults. Int. J. Environ. Res. Public Health 2020, 17, 5575. [Google Scholar] [CrossRef]
- Caputo, E.L.; Reichert, F.F. Studies of physical activity and COVID-19 during the pandemic: A scoping review. J. Phys. Act. Health 2020, 17, 1275–1284. [Google Scholar] [CrossRef]
- Cheval, B.; Sivaramakrishnan, H.; Maltagliati, S.; Fessler, L.; Forestier, C.; Sarrazin, P.; Orsholits, D.; Chalabaev, A.; Sander, D.; Ntoumanis, N.; et al. Relationships between changes in self-reported physical activity, sedentary behaviour and health during the coronavirus (COVID-19) pandemic in France and Switzerland. J. Sports Sci. 2021, 39, 699–704. [Google Scholar] [CrossRef] [PubMed]
- Faulkner, J.; O’Brien, W.J.; McGrane, B.; Wadsworth, D.; Batten, J.; Askew, C.D.; Badenhorst, C.; Byrd, E.; Coulter, M.; Draper, N.; et al. Physical activity, mental health and well-being of adults during initial COVID-19 containment strategies: A multi-country cross-sectional analysis. J. Sci. Med. Sport 2021, 24, 320–326. [Google Scholar] [CrossRef] [PubMed]
- Meyer, J.; McDowell, C.; Lansing, J.; Brower, C.; Smith, L.; Tully, M.; Herring, M. Changes in physical activity and sedentary behavior in response to COVID-19 and their associations with mental health in 3052 US adults. Int. J. Environ. Res. Public Health 2020, 17, 6469. [Google Scholar] [CrossRef] [PubMed]
- Werneck, A.O.; Silva, D.R.; Malta, D.C.; Lima, M.G.; Souza-Júnior, P.; Azevedo, L.O.; Barros, M.; Szwarcwald, C.L. The mediation role of sleep quality in the association between the incidence of unhealthy movement behaviors during the COVID-19 quarantine and mental health. Sleep Med. 2020, 76, 10–15. [Google Scholar] [CrossRef]
- Werneck, A.O.; Silva, D.R.; Malta, D.C.; Souza-Júnior, P.; Azevedo, L.O.; Barros, M.; Szwarcwald, C.L. Physical inactivity and elevated TV-viewing reported changes during the COVID-19 pandemic are associated with mental health: A survey with 43,995 Brazilian adults. J. Psychosom. Res. 2021, 140, 110292. [Google Scholar] [CrossRef]
- Di Corrado, D.; Magnano, P.; Muzii, B.; Coco, M.; Guarnera, M.; De Lucia, S.; Maldonato, N.M. Effects of social distancing on psychological state and physical activity routines during the COVID-19 pandemic. Sport Sci. Health 2020. [Google Scholar] [CrossRef] [PubMed]
- Gismero-González, E.; Bermejo-Toro, L.; Cagigal, V.; Roldán, A.; Martínez-Beltrán, M.J.; Halty, L. Emotional impact of COVID-19 lockdown among the Spanish population. Front. Psychol. 2020, 11, 616978. [Google Scholar] [CrossRef] [PubMed]
- Ruiz, M.C.; Devonport, T.J.; Chen-Wilson, C.J.; Nicholls, W.; Cagas, J.Y.; Fernandez-Montalvo, J.; Choi, Y.; Robazza, C. A cross-cultural exploratory study of health behaviors and wellbeing during COVID-19. Front. Psychol. 2021, 11, 608216. [Google Scholar] [CrossRef]
- Naughton, F.; Ward, E.; Khondoker, M.; Belderson, P.; Marie Minihane, A.; Dainty, J.; Hanson, S.; Holland, R.; Brown, T.; Notley, C. Health behaviour change during the UK COVID-19 lockdown: Findings from the first wave of the C-19 health behaviour and well-being daily tracker study. Br. J. Health Psychol. 2021. [Google Scholar] [CrossRef]
- Ginoux, C.; Isoard-Gautheur, S.; Teran-Escobar, C.; Forestier, C.; Chalabaev, A.; Clavel, A.; Sarrazin, P. Being active during the lockdown: The recovery potential of physical activity for well-being. Int. J. Environ. Res. Public Health 2021, 18, 1707. [Google Scholar] [CrossRef]
- Meira, C.M., Jr.; Meneguelli, K.S.; Leopoldo, M.; Florindo, A.A. Anxiety and leisure-domain physical activity frequency, duration, and intensity during COVID-19 pandemic. Front. Psychol. 2020, 11, 603770. [Google Scholar] [CrossRef] [PubMed]
- Sang, X.; Menhas, R.; Saqib, Z.A.; Mahmood, S.; Weng, Y.; Khurshid, S.; Iqbal, W.; Shahzad, B. The psychological impacts of COVID-19 home confinement and physical activity: A structural equation model analysis. Front. Psychol. 2021, 11, 614770. [Google Scholar] [CrossRef]
- Silva Moreira, P.; Ferreira, S.; Couto, B.; Machado-Sousa, M.; Fernández, M.; Raposo-Lima, C.; Sousa, N.; Picó-Pérez, M.; Morgado, P. Protective elements of mental health status during the COVID-19 outbreak in the Portuguese population. Int. J. Environ. Res. Public Health 2021, 18, 1910. [Google Scholar] [CrossRef]
- Nienhuis, C.P.; Lesser, I.A. The impact of COVID-19 on women’s physical activity behavior and mental well-being. Int. J. Environ. Res. Public Health 2020, 17, 9036. [Google Scholar] [CrossRef] [PubMed]
- Robinson, E.; Boyland, E.; Chisholm, A.; Harrold, J.; Maloney, N.G.; Marty, L.; Mead, B.R.; Noonan, R.; Hardman, C.A. Obesity, eating behavior and physical activity during COVID-19 lockdown: A study of UK adults. Appetite 2021, 156, 104853. [Google Scholar] [CrossRef]
- Stieger, S.; Lewetz, D.; Swami, V. Emotional well-being under conditions of lockdown: An experience sampling study in Austria during the COVID-19 pandemic. J. Happiness Stud. 2021, 1–18. [Google Scholar] [CrossRef]
- Amit Aharon, A.; Dubovi, I.; Ruban, A. Differences in mental health and health-related quality of life between the Israeli and Italian population during a COVID-19 quarantine. Qual. Life Res. 2021. [Google Scholar] [CrossRef]
- Weaver, R.H.; Jackson, A.; Lanigan, J.; Power, T.G.; Anderson, A.; Cox, A.E.; Eddy, L.; Parker, L.; Sano, Y.; Weybright, E. Health behaviors at the onset of the COVID-19 pandemic. Am. J. Health Behav. 2021, 45, 44–61. [Google Scholar] [CrossRef] [PubMed]
- Antunes, R.; Frontini, R. Physical activity and mental health in COVID-19 times: An editorial. Sleep Med. 2021, 77, 295–296. [Google Scholar] [CrossRef]
- Puyat, J.H.; Ahmad, H.; Avina-Galindo, A.M.; Kazanjian, A.; Gupta, A.; Ellis, U.; Ashe, M.C.; Vila-Rodriguez, F.; Halli, P.; Salmon, A.; et al. A rapid review of home-based activities that can promote mental wellness during the COVID-19 pandemic. PLoS ONE 2020, 15, e0243125. [Google Scholar] [CrossRef]
- Violant-Holz, V.; Gallego-Jiménez, M.G.; González-González, C.S.; Muñoz-Violant, S.; Rodríguez, M.J.; Sansano-Nadal, O.; Guerra-Balic, M. Psychological health and physical activity levels during the COVID-19 Pandemic: A systematic review. Int. J. Environ. Res. Public Health 2020, 17, 9419. [Google Scholar] [CrossRef]
- Fernandez-Rio, J.; Cecchini, J.A.; Mendez-Gimenez, A.; Carriedo, A. Mental well-being profiles and physical activity in times of social isolation by the COVID-19: A latent class analysis. J. Sport Exerc. Psychol. 2021. [CrossRef]
- Khan, A.A.; Lodhi, F.S.; Rabbani, U.; Ahmed, Z.; Abrar, S.; Arshad, S.; Irum, S.; Khan, M.I. Impact of coronavirus disease (COVID-19) pandemic on psychological well-being of the Pakistani general population. Front. Psychiatry 2021, 11, 564364. [Google Scholar] [CrossRef]
- Lyons, Z.; Wilcox, H.; Leung, L.; Dearsley, O. COVID-19 and the mental well-being of Australian medical students: Impact, concerns and coping strategies used. Australas. Psychiatry 2020, 28, 649–652. [Google Scholar] [CrossRef] [PubMed]
- Martínez, M.; Luis, E.O.; Oliveros, E.Y.; Fernández-Berrocal, P.; Sarrionandia, A.; Vidaurreta, M.; Bermejo-Martins, E. Validity and reliability of the Self-Care Activities Screening Scale (SASS-14) during COVID-19 lockdown. Health Qual. Life Outcomes 2021, 19, 1. [Google Scholar] [CrossRef] [PubMed]
- Solé, B.; Verdolini, N.; Amoretti, S.; Montejo, L.; Rosa, A.R.; Hogg, B.; Garcia-Rizo, C.; Mezquida, G.; Bernardo, M.; Martinez-Aran, A.; et al. Effects of the COVID-19 pandemic and lockdown in Spain: Comparison between community controls and patients with a psychiatric disorder. Preliminary results from the BRIS-MHC STUDY. J. Affect. Disord. 2021, 281, 13–23. [Google Scholar] [CrossRef]
- Shechter, A.; Diaz, F.; Moise, N.; Anstey, D.E.; Ye, S.; Agarwal, S.; Birk, J.L.; Brodie, D.; Cannone, D.E.; Chang, B.; et al. Psychological distress, coping behaviors, and preferences for support among New York healthcare workers during the COVID-19 pandemic. Gen. Hosp. Psychiatry 2020, 66, 1–8. [Google Scholar] [CrossRef]
- Sallis, J.F.; Adlakha, D.; Oyeyemi, A.; Salvo, D. An international physical activity and public health research agenda to inform coronavirus disease-2019 policies and practices. J. Sport Health Sci. 2020, 9, 328–334. [Google Scholar] [CrossRef] [PubMed]
- Hulley, S.B.; Cummings, S.R.; Browner, W.S.; Grady, D.; Newman, T.B. Designing Clinical Research: An Epidemiologic Approach, 4th ed.; Lippincott Williams & Wilkins: Philadelphia, PA, USA, 2013; Appendix 6C; p. 79. [Google Scholar]
- Lusilla, M.P.; Sánchez, A.; Sanz, C.; López, J. Validación estructural de la escala heteroevaluada de ansiedad de Zung. An. Psicol. 1990, 6, 39. [Google Scholar]
- Tanaka-Matsumi, J.; Kameoka, V.A. Reliabilities and concurrent validities of popular self-report measures of depression, anxiety, and social desirability. J. Consult. Clin. Psychol. 1986, 54, 328. [Google Scholar] [CrossRef] [PubMed]
- Dunstan, D.A.; Scott, N. Norms for Zung’s Self-rating Anxiety Scale. BMC Psychiatry 2020, 20, 90. [Google Scholar] [CrossRef] [Green Version]
- Zhang, Y.; Kong, D.; Li, S.; Yang, N. The effects of social support on sleep quality of medical staff treating patients with coronavirus disease 2019 (COVID-19) in 34699 January and February 2020 in China. Med. Sci. Monit. 2020, 26, e923549. [Google Scholar]
- Xiao, H.; Zhang, Y.; Kong, D.; Li, S.; Yang, N. Social capital and sleep quality in individuals who self-isolated for 14 days during the coronavirus disease 2019 (covid-19) outbreak in January 2020 in China. Med. Sci. Monit. 2020, 26, e923921. [Google Scholar] [CrossRef]
- Herrera-Espiñeira, C.; del Aguila, M.D.M.R.; del Castillo, M.R.; Valdivia, A.F.; Sánchez, I.R. Relationship between anxiety level of patients and their satisfaction with different aspects of healthcare. Health Policy 2009, 89, 37–45. [Google Scholar] [CrossRef]
- Fernández-Abascal, E.G. Estilos y estrategias de afrontamiento. In Cuaderno de Prácticas de Motivación y Emoción; Fernández-Abascal, E.G., Palmero, F., Chóliz, M., Martínez, F., Eds.; Pirámide: Madrid, Spain, 1997. [Google Scholar]
- Martín, M.J.; Jiménez, M.P.; Fernández Abascal, E. Estudio sobre la escala de estilos y estrategias de afrontamiento (E3A). REME 1997, 3, 1. [Google Scholar]
- Stubbs, B.; Koyanagi, A.; Hallgren, M.; Firth, J.; Richards, J.; Schuch, F.; Rosenbaum, S.; Mugisha, J.; Veronese, N.; Lahti, J.; et al. Physical activity and anxiety: A perspective from the World Health Survey. J. Affect. Disord. 2017, 208, 545–552. [Google Scholar] [CrossRef] [PubMed] [Green Version]
- Aylett, E.; Small, N.; Bower, P. Exercise in the treatment of clinical anxiety in general practice- a systematic review and meta-analysis. BMC Health Serv. Res. 2018, 18, 559. [Google Scholar] [CrossRef]
- McDowell, C.P.; Dishman, R.K.; Gordon, B.R.; Herring, M.P. Physical activity and anxiety: A systematic review and meta-analysis of prospective cohort studies. Am. J. Prev. Med. 2019, 57, 545–556. [Google Scholar] [CrossRef] [PubMed]
- Schuch, F.B.; Stubbs, B.; Meyer, J.; Heissel, A.; Zech, P.; Vancampfort, D.; Hiles, S.A. Physical activity protects from incident anxiety: A meta-analysis of prospective cohort studies. Depress. Anxiety 2019, 36, 846–858. [Google Scholar] [CrossRef] [PubMed]
- Edwards, M.K.; Loprinzi, P.D. Experimentally increasing sedentary behavior results in increased anxiety in an active young adult population. J. Affect. Disord. 2016, 204, 166–173. [Google Scholar] [CrossRef]
- Weinstein, A.A.; Koehmstedt, C.; Kop, W.J. Mental health consequences of exercise withdrawal: A systematic review. Gen. Hosp. Psychiatry 2017, 49, 11–18. [Google Scholar] [CrossRef] [PubMed]
- Wolf, S.; Zeibig, J.; Seiffer, B.; Welkerling, J.; Brokmeier, L.; Atrott, B.; Ehring, T.; Schuch, F.B. Can physical activity protect against depression and anxiety during the COVID-19 pandemic? A rapid systematic review. Res. Sq. 2020. Preprint PPR218366. [Google Scholar] [CrossRef]
- Allen, M.S.; Walter, E.E.; Swann, C. Sedentary behaviour and risk of anxiety: A systematic review and meta-analysis. J. Affect. Disord. 2019, 242, 5–13. [Google Scholar] [CrossRef] [PubMed]
- Stanczykiewicz, B.; Banik, A.; Knoll, N.; Keller, J.; Hohl, D.H.; Rosińczuk, J.; Luszczynska, A. Sedentary behaviors and anxiety among children, adolescents and adults: A systematic review and meta-analysis. BMC Public Health 2019, 19, 459. [Google Scholar] [CrossRef] [PubMed]
- Ensari, I.; Greenlee, T.A.; Motl, R.W.; Petruzzello, S.J. Meta-analysis of acute exercise effects on state anxiety: An update of randomized controlled trials over the past 25 years. Depress. Anxiety 2015, 32, 624–634. [Google Scholar] [CrossRef]
- Stubbs, B.; Vancampfort, D.; Rosenbaum, S.; Firth, J.; Cosco, T.; Veronese, N.; Salum, G.A.; Schuch, F.B. An examination of the anxiolytic effects of exercise for people with anxiety and stress-related disorders: A meta-analysis. Psychic Res. 2017, 249, 102–108. [Google Scholar] [CrossRef]



| Conditions | N | % | |
|---|---|---|---|
| Sex | Women | 140 | 70 |
| Men | 60 | 30 | |
| Age range | Young adulthood: 18–44 yr. | 170 | 85 |
| Middle and older adulthood: 45–74 yr. | 30 | 15 | |
| Marital status | In a relationship/Married | 32 | 16 |
| Single | 136 | 68 | |
| Separated/Divorced/Widow-er | 32 | 16 | |
| Education level | Primary school | 5 | 2.5 |
| High School | 22 | 11 | |
| University (current) | 58 | 29 | |
| University (finished) | 94 | 47 | |
| Postgraduate studies | 21 | 10.5 | |
| Employment situation | Employed | 61 | 30.5 |
| Studying | 131 | 65.5 | |
| Unemployed, including housework | 6 | 3 | |
| Retired, pensioner | 2 | 1 | |
| COVID-19 | Without symptoms/negative diagnosis | 184 | 92 |
| Symptomatic but not diagnosed | 4 | 2 | |
| Positive diagnosis | 12 | 6 | |
| Number of cohabitants | 0–1 | 20 | 10 |
| 2–3 | 131 | 65.5 | |
| 4 or more | 49 | 24.5 | |
| Number of children | 0 | 165 | 82.5 |
| 1–2 | 28 | 14 | |
| 3 or more | 7 | 3.5 | |
| Pre-pandemic physical activity | Sedentary | 41 | 20.5 |
| Mild activity | 44 | 22 | |
| Active | 115 | 57.5 | |
| Physical activity during the pandemic | Sedentary | 173 | 86.5 |
| Mild activity | 5 | 2.5 | |
| Active | 22 | 11 | |
| Variables (Possible Range of Scores) | M | SD | Anxiety r | Exercise r |
|---|---|---|---|---|
| Anxiety (20–80) | 42.43 | 9.52 | - | 0.07 |
| Coping strategies(0–12): | ||||
| 1. Positive reappraisal | 6.19 | 2.57 | −0.29 ** | 0.10 |
| 2. Depressive reaction | 4.81 | 2.01 | 0.07 | −0.07 |
| 3. Denial | 2.83 | 2.08 | 0.17 * | −0.09 |
| 4. Planning | 6.07 | 2.40 | −0.10 | 0.18 ** |
| 5. Acceptance | 6.20 | 2.12 | −0.23 ** | 0.14 |
| 6. Cognitive disconnection | 4.84 | 2.35 | 0.15 * | −0.06 |
| 7. Personal development | 7.56 | 2.53 | −0.20 ** | 0.17 ** |
| 8. Emotional concealment | 5.15 | 2.50 | 0.08 | 0.02 |
| 9. Emotional distancing | 4.52 | 1.83 | 0.18 * | 0.04 |
| 10. Suppression of distracting activities | 4.18 | 1.92 | −0.05 | −0.02 |
| 11. Coping restrainment | 5.37 | 2.20 | 0.01 | 0.06 |
| 12. Coping suppression | 3.96 | 2.02 | −0.03 | −0.08 |
| 13. Problem solving | 6.15 | 2.37 | −0.18 * | 0.16 * |
| 14. Social support for problem solving | 3.14 | 2.10 | 0.16 * | −0.01 |
| 15. Behavioral disconnection | 3.30 | 1.85 | 0.05 | −0.10 |
| 16. Emotional expression | 5.76 | 2.38 | 0.08 | 0.12 |
| 17. Emotional social support | 5.98 | 2.81 | 0.02 | 0.11 |
| 18. Palliative response | 2.54 | 2.10 | 0.29 ** | −0.07 |
| Coping styles: | ||||
| Active method (0–72) | 35.91 | 10.32 | −0.18 * | 0.17 * |
| Passive method (0–72) | 30.65 | 7.82 | −0.03 | 0.08 |
| Avoidant method (0–72) | 21.97 | 8.53 | 0.20 ** | −0.09 |
| Response-focused (0–72) | 27.34 | 7.71 | −0.05 | 0.02 |
| Problem-focused (0–72) | 29.69 | 7.66 | −0.05 | 0.10 |
| Emotion-focused (0–72) | 31.51 | 7.80 | 0.11 | 0.13 |
| Behavioral activity (0–108) | 48.16 | 11.40 | −0.05 | 0.09 |
| Cognitive activity (0–108) | 40.38 | 11.09 | 0.06 | 0.05 |
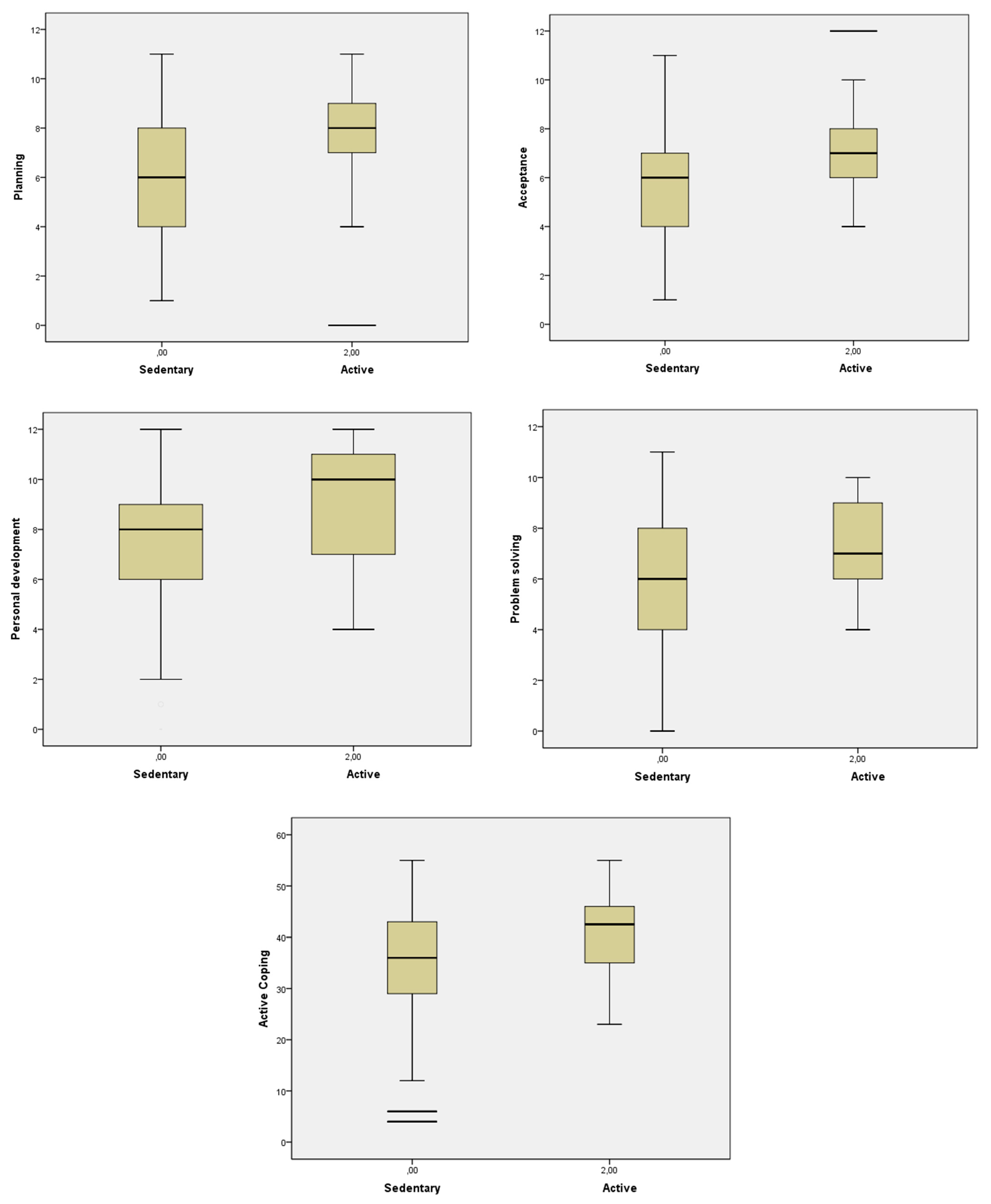
| VARIABLES (Min–Max) | SA (86.5%) | LA (2.5%) | AA (11%) | SA vs. AA t (p) | |||
|---|---|---|---|---|---|---|---|
| M | SD | M | SD | M | SD | ||
| Positive reappraisal (0–12) | 6.11 | 2.59 | 6.00 | 3.46 | 6.91 | 2.25 | −1.382 (0.169) |
| Depressive reaction (0–12) | 4.86 | 2.04 | 4.80 | 1.64 | 4.41 | 1.89 | 0.974 (0.331) |
| Denial (0–12) | 2.90 | 2.08 | 3.00 | 2.12 | 2.27 | 2.10 | 1.323 (0.188) |
| Planning (0–12) | 5.90 | 2.35 | 6.60 | 2.79 | 7.27 | 2.45 | −2.561 (0.011 *) |
| Acceptance (0–12) | 6.12 | 2.08 | 4.60 | 2.30 | 7.23 | 2.02 | −2.366 (0.019 *) |
| Cognitive disconnection (0–12) | 4.90 | 2.22 | 4.40 | 1.52 | 4.45 | 3.36 | 0.823 (0.412) |
| Personal development (0–12) | 7.42 | 2.48 | 6.60 | 2.19 | 8.91 | 2.60 | −2.633 (0.009 *) |
| Emotional concealment (0–12) | 5.13 | 2.54 | 4.60 | 1.67 | 5.36 | 2.36 | −0.405 (0.686) |
| Emotional distancing (0–12) | 4.48 | 1.92 | 5.60 | 0.55 | 4.59 | 1.14 | −0.266 (0.791) |
| Suppression of distracting activities (0–12) | 4.20 | 1.92 | 3.00 | 1.73 | 4.23 | 2.00 | −0.057 (0.954) |
| Coping restrainment (0–12) | 5.34 | 2.16 | 4.40 | 2.19 | 5.86 | 2.51 | −1.050 (0.295) |
| Coping suppression (0–12) | 4.03 | 2.08 | 3.20 | 0.45 | 3.59 | 1.71 | 0.947 (0.345) |
| Problem solving (0–12) | 6.01 | 2.39 | 6.00 | 2.83 | 7.27 | 1.83 | −2.388 (0.018 *) |
| Social support for problem solving (0–12) | 3.15 | 2.08 | 3.40 | 3.29 | 3.05 | 2.01 | 0.223 (0.824) |
| Behavioral disconnection (0–12) | 3.36 | 1.82 | 3.80 | 2.17 | 2.68 | 1.94 | 1.631 (0.105) |
| Emotional expression (0–12) | 5.64 | 2.37 | 6.60 | 4.16 | 6.50 | 1.92 | −1.633 (0.104) |
| Emotional social support (0–12) | 5.87 | 2.76 | 6.60 | 3.72 | 6.77 | 2.98 | −1.435 (0.153) |
| Palliative response (0–12) | 2.57 | 2.06 | 3.60 | 2.19 | 2.00 | 2.35 | 1.207 (0.229) |
| Active method (0–72) | 35.29 | 10.19 | 34.80 | 15.58 | 41.09 | 8.97 | −2.546 (0.012 *) |
| Passive method (0–72) | 30.46 | 7.83 | 28.40 | 8.14 | 32.68 | 7.66 | −1.256 (0.211) |
| Avoidant method (0–72) | 22.23 | 8.44 | 23.60 | 5.32 | 19.59 | 9.71 | 1.359 (0.176) |
| Response-focused (0–72) | 27.43 | 7.90 | 24.40 | 3.91 | 27.27 | 6.77 | 0.091 (0.927) |
| Problem-focused (0–72) | 29.43 | 7.47 | 28.80 | 9.83 | 31.95 | 8.61 | −1.464 (0.145) |
| Emotion-focused (0–72) | 31.12 | 7.88 | 33.60 | 7.30 | 34.14 | 6.95 | −1.715 (0.088) |
| Behavioral activity (0–108) | 47.81 | 11.54 | 46.20 | 7.66 | 51.41 | 10.83 | −1.388 (0.167) |
| Cognitive activity (0–108) | 40.17 | 11.03 | 40.60 | 12.01 | 41.95 | 11.77 | −0.708 (0.480) |
| Variable | Predictor | Cor.R2 | Stand. β | t (p) | |
|---|---|---|---|---|---|
| Anxiety (F = 4.103, p < 00.01) | Step 1 | Education level | 0.002 | 0.07 | 0.937 (0.350) |
| Pre-pandemic exercise level | −0.07 | −1.010 (0.314) | |||
| Step 2 | Active coping style | 0.070 | −0.31 | −3.255 (0.001 **) | |
| Passive coping style | 0.13 | 1.254 (0.211) | |||
| Avoidant coping style | 0.20 | 2.511 (0.013 **) | |||
| Step 3 | Current exercise level | 0.086 | 0.15 | 2.072 (0.040 *) | |
| Exercise during pandemic (F = 2.930, p < 0.05) | Step 1 | Education level | 0.016 | −0.09 | −1.239 (0.217) |
| Pre-pandemic exercise level | 0.14 | 1.972 (0.050 †) | |||
| Step 2 | Anxiety | 0.019 | 0.15 | 2.072 (0.040 *) | |
| Step 3 | Active coping style | 0.055 | 0.20 | 2.030 (0.044 *) | |
| Passive coping style | 0.02 | 0.160 (0.873) | |||
| Avoidant coping style | −0.16 | −1.938 (0.054 †) |
Publisher’s Note: MDPI stays neutral with regard to jurisdictional claims in published maps and institutional affiliations. |
© 2021 by the authors. Licensee MDPI, Basel, Switzerland. This article is an open access article distributed under the terms and conditions of the Creative Commons Attribution (CC BY) license (https://creativecommons.org/licenses/by/4.0/).
Share and Cite
Lara, R.; Fernández-Daza, M.; Zabarain-Cogollo, S.; Olivencia-Carrión, M.A.; Jiménez-Torres, M.; Olivencia-Carrión, M.D.; Ogallar-Blanco, A.; Godoy-Izquierdo, D. Active Coping and Anxiety Symptoms during the COVID-19 Pandemic in Spanish Adults. Int. J. Environ. Res. Public Health 2021, 18, 8240. https://doi.org/10.3390/ijerph18168240
Lara R, Fernández-Daza M, Zabarain-Cogollo S, Olivencia-Carrión MA, Jiménez-Torres M, Olivencia-Carrión MD, Ogallar-Blanco A, Godoy-Izquierdo D. Active Coping and Anxiety Symptoms during the COVID-19 Pandemic in Spanish Adults. International Journal of Environmental Research and Public Health. 2021; 18(16):8240. https://doi.org/10.3390/ijerph18168240
Chicago/Turabian StyleLara, Raquel, Martha Fernández-Daza, Sara Zabarain-Cogollo, María Angustias Olivencia-Carrión, Manuel Jiménez-Torres, María Demelza Olivencia-Carrión, Adelaida Ogallar-Blanco, and Débora Godoy-Izquierdo. 2021. "Active Coping and Anxiety Symptoms during the COVID-19 Pandemic in Spanish Adults" International Journal of Environmental Research and Public Health 18, no. 16: 8240. https://doi.org/10.3390/ijerph18168240
APA StyleLara, R., Fernández-Daza, M., Zabarain-Cogollo, S., Olivencia-Carrión, M. A., Jiménez-Torres, M., Olivencia-Carrión, M. D., Ogallar-Blanco, A., & Godoy-Izquierdo, D. (2021). Active Coping and Anxiety Symptoms during the COVID-19 Pandemic in Spanish Adults. International Journal of Environmental Research and Public Health, 18(16), 8240. https://doi.org/10.3390/ijerph18168240

