Assessment of Color Perception and Preference with Eye-Tracking Analysis in a Dental Treatment Environment
Abstract
1. Introduction
2. Materials and Methods
2.1. Eye Tracking
2.1.1. Eye Tracking Apparatus and Subjects
2.1.2. Stimuli and Data Collection
2.1.3. Procedure
2.2. Analysis of Eye Tracking Movement
2.2.1. Setting the Visual Attention Time
2.2.2. Eye Tracking Analysis Method
2.3. Color Analysis Based on Color Preference and Psychological Color Image
Composition of the Survey
- (1)
- General characteristics: gender and age
- (2)
- Color preference: select the general color preference and the color preference for a dental unit chair.
- (3)
- Psychological color image associated with the color preference for a dental unit chair: select the adjectives describing the psychological color image associated with the color preference for a dental unit chair.
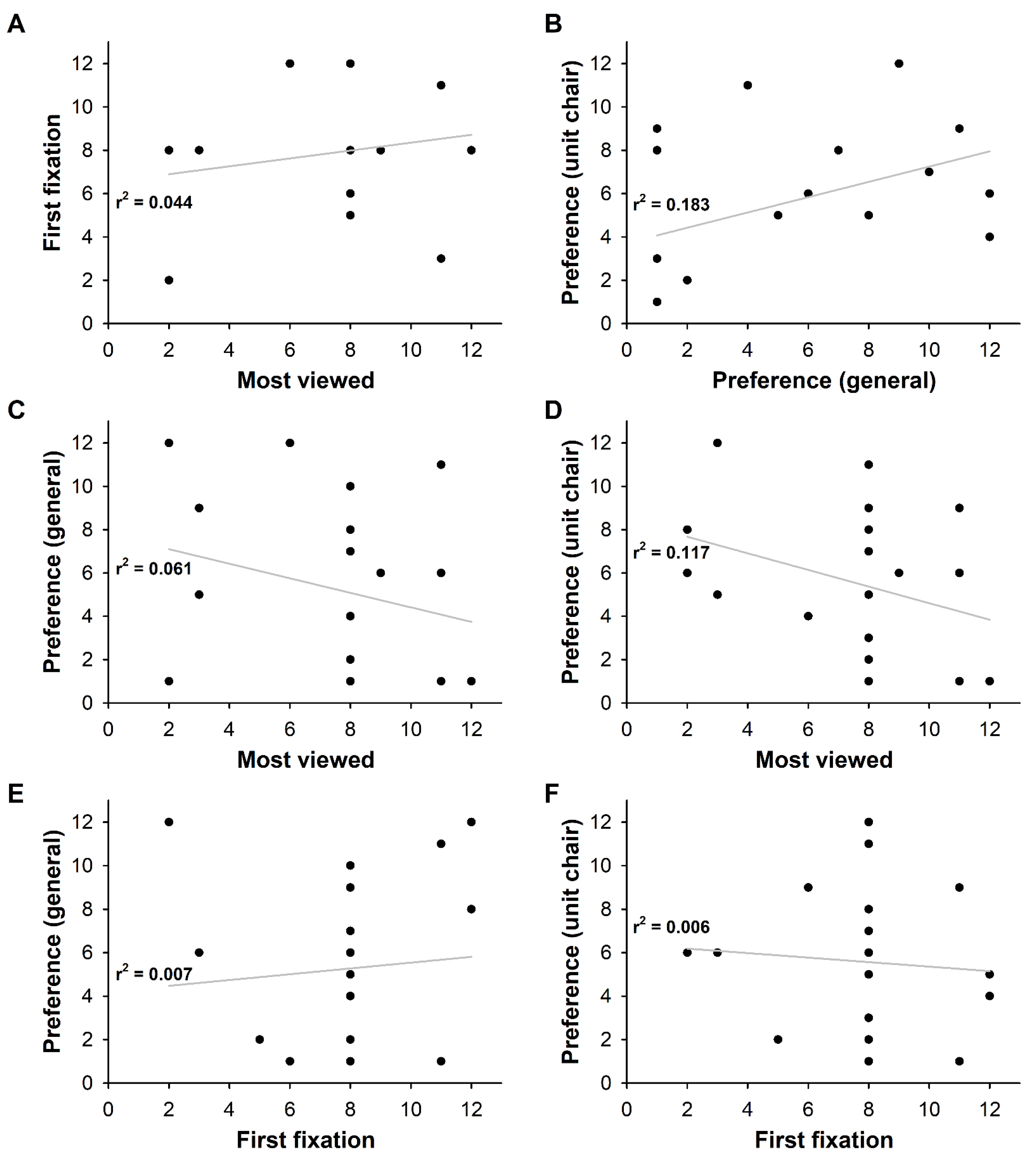
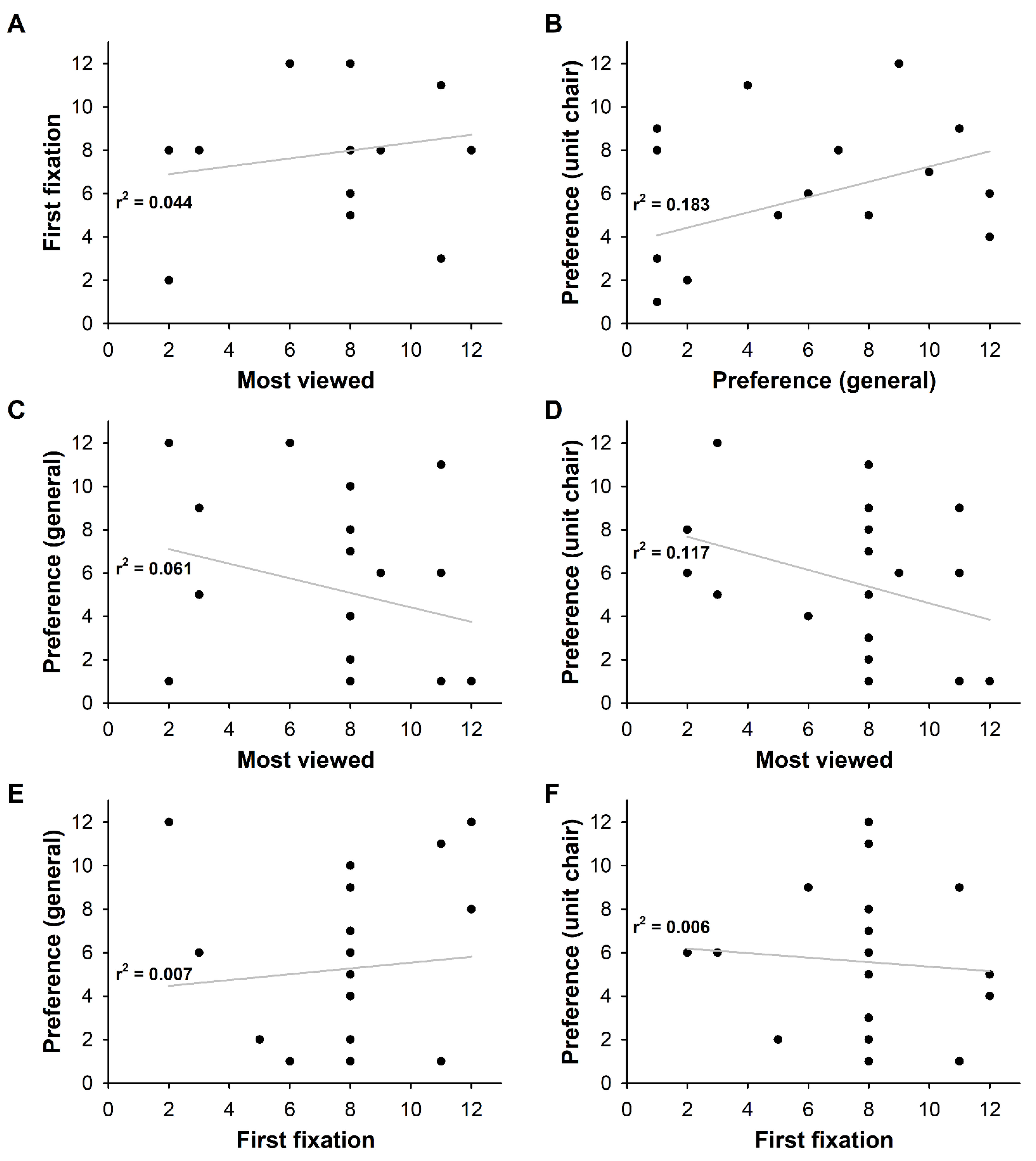
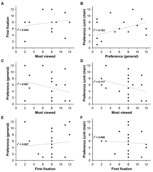
3. Results
3.1. Dominant Gaze Characteristics of All Subjects
3.2. Color Preference Survey
3.3. Results of Color Analysis Based on Color Preference and Psychological Color Image
- Natural: Plain, Intimate, Wholesome, Domestic
- Peaceful: Simple and Appealing, Peaceful, Gentle
4. Discussion
5. Conclusions
Author Contributions
Funding
Institutional Review Board Statement
Informed Consent Statement
Data Availability Statement
Conflicts of Interest
References
- Huisman, E.R.C.M.; Morales, E.; van Hoof, J.; Kort, H.S.M. Healing Environment: A Review of the Impact of Physical Environmental Factors on Users. Build. Environ. 2012, 58, 70–80. [Google Scholar] [CrossRef]
- Gedam, K.; Katre, A. Scenario-Based Assessment of Children and Parents Preferences towards a Paediatric Dental Setup—An Observational Study. IOSR J. Dent. Med. Sci. 2018, 17, 32–42. [Google Scholar]
- Rafeeq, D.A.; Mustafa, F.A. Evidence-Based Design: The Role of Inpatient Typology in Creating Healing Environment, Hospitals in Erbil City as a Case Study. Ain Shams Eng. J. 2021, 12, 1073–1087. [Google Scholar] [CrossRef]
- Aripin, S. Healing Architecture: Daylight in hospital design. In Proceedings of the Conference on Sustainable Building South-East Asia, Johor, Malaysia, 5–7 November 2007. [Google Scholar]
- Woo, J.-C.; Lin, Y.-L. Kids’ Perceptions toward Children’s Ward Healing Environments: A Case Study of Taiwan University Children’s Hospital. J. Healthc. Eng. 2016, 2016, 8184653. [Google Scholar] [CrossRef]
- Umamaheshwari, N.; Asokan, S.; Kumaran, T. Child Friendly Colors in a Pediatric Dental Practice. J. Indian Soc. Pedod. Prev. Dent. 2013, 31, 225–228. [Google Scholar] [CrossRef]
- Sojan, M.; Thakur, S.; Chauhan, D. Fundamentals in Paediatric Dental Clinic Set-up: A Comprehensive Review. Int. J. Res. Rep. Dent. 2021, 4, 1–6. Available online: https://www.journalijrrd.com/index.php/IJRRD/article/view/30135 (accessed on 5 April 2021).
- Folayan, M.O.; Adekoya-Sofowora, C.A.; Otuyemi, O.D.; Ufomata, D. Parental Anxiety as a Possible Predisposing Factor to Child Dental Anxiety in Patients Seen in a Suburban Dental Hospital in Nigeria. Int. J. Paediatr. Dent. 2002, 12, 255–259. [Google Scholar] [CrossRef] [PubMed]
- Yamada, M.K.M.; Tanabe, Y.; Sano, T.; Noda, T. Cooperation during Dental Treatment: The Children’s Fear Survey Schedule in Japanese Children. Int. J. Paediatr. Dent. 2002, 12, 404–409. [Google Scholar] [CrossRef] [PubMed]
- Guo, B.; Liu, J.; Yang, F.; Xie, S.J.; Que, K.H.; Zhang, Q. The prevalence of dental anxiety in the aged people. Int. J. Stomatol. 2007, 34, 162–164. [Google Scholar]
- Townend, E.; Dimigen, G.; Fung, D. A Clinical Study of Child Dental Anxiety. Behav. Res. Ther. 2000, 38, 31–46. [Google Scholar] [CrossRef]
- Mohammad, K. A Standard Pediatric Dental Clinic. Mod. App. Dent. Oral Health 2018, 3, 152. [Google Scholar] [CrossRef]
- American Dental Association. Building or Refreshing Your Dental Practice: A Guide to Dental Office Design; American Dental Association: Chicago, IL, USA, 2017; pp. 1–312. [Google Scholar]
- Kamali, N.J.; Abbas, M.Y. Healing Environment: Enhancing Nurses’ Performance through Proper Lighting Design. Procedia Soc. Behav. Sci. 2012, 35, 205–212. [Google Scholar] [CrossRef]
- Aripin, S. Healing architecture: A study on the physical aspects of healing environment in hospital design. In Proceedings of the 40th Annual Conference of the Architectural Science Association (ANZAScA), Adelaide, Australia, 22–25 November 2006; Shannon, S., Soebarto, V., Williamson, T., Eds.; Architectural Science Association (ASA): Adelaide, Australia, 2006; pp. 342–349. [Google Scholar]
- Kobayashi, S. The Aim and Method of the Color Image Scale. Col. Res. Appl. 1981, 6, 93–107. [Google Scholar] [CrossRef]
- Baek, C.-H.; Park, S.-O.; Kim, H.-S. The Analysis of Emotion Adjective for LED Light Colors by Using Kobayashi Scale and I.R.I Scale. J. Korean Ins. Illuminat. Electric. Install. Eng. 2011, 25, 1–13. [Google Scholar] [CrossRef]
- Guilford, J.P.; Smith, P.C. A system of color-preferences. Am. J. Psychol. 1959, 72, 487–502. [Google Scholar] [CrossRef] [PubMed]
- Wexner, L.B. The Degree to Which Colors (Hues) Are Associated with Mood-Tones. J. App. Psychol. 1954, 38, 432–435. [Google Scholar] [CrossRef]
- Adams, F.M.; Osgood, C.E. A Cross-Cultural Study of the Affective Meanings of Color. J. Cr. Cul. Psychol. 1973, 4, 135–156. [Google Scholar] [CrossRef]
- Manav, B. Color-emotion associations and color preferences: A case study for residences. Col. Res. App. 2007, 32, 144–150. [Google Scholar] [CrossRef]
- Palmer, S.E.; Schloss, K.B. An ecological valence theory of human color preference. Proc. Natl. Acad. Sci. USA 2010, 107, 8877–8882. [Google Scholar] [CrossRef]
- Lee, C.J.; Andrade, E. The effect of emotion on color preferences. ACR N. Am. Adv. 2010, 37, 846–847. Available online: https://www.acrwebsite.org/volumes/15490/volumes/v37/NA-37 (accessed on 3 May 2021).
- Hurlbert, A.; Owen, A. Biological, cultural, and developmental influences on color preferences. In Handbook of Color Psychology; Elliot, A.J., Fairchild, M.D., Franklin, A., Eds.; Cambridge University Press: Cambridge, UK, 2015; pp. 454–477. [Google Scholar]
- Robert, L.S. Cognition and the Visual Arts; The MIT Press: Cambridge, MA, USA, 1996. [Google Scholar]
- Gratzer, M.A.; McDowell, R.D. Adaptation of an Eye Movement Recorder to Esthetic Environmental Mensuration; Research Report; Storrs Agricultural Experiment Station, University of Connecticut: Storrs, CT, USA, 1971; Volume 36, pp. 3–29. [Google Scholar]
- Deubel, H. The Time Course of Presaccadic Attention Shifts. Psychol. Res. 2008, 72, 630–640. [Google Scholar] [CrossRef] [PubMed]
- Lovegrove, W.J.; Garzia, R.P.; Nicholson, S.B. Experimental evidence for a transient system deficit in specific reading disability. J. Am. Optom. Assoc. 1990, 61, 137–146. [Google Scholar] [PubMed]
- Berger, A.A. Seeing Is Believing: An Introduction to Visual Communication. J. Aesthet. Art Crit. 1991, 49, 101–102. [Google Scholar] [CrossRef]
- Grisham, D. Developing Ocular Motor and Visual Perceptual Skills: An Activity Workbook. Optom. Vis. Sci. 2005, 82, 941–942. [Google Scholar] [CrossRef][Green Version]
- Itti, L.; Koch, C.; Niebur, E. A Model of Saliency-Based Visual Attention for Rapid Scene Analysis. IEEE Trans. Pat. Anal. Mach. Int. 1998, 20, 1254–1259. [Google Scholar] [CrossRef]
- Zhao, Q.; Koch, C. Learning a Saliency Map Using Fixated Locations in Natural Scenes. J. Vis. 2011, 11, 9. [Google Scholar] [CrossRef]
- Murray, D.C.; Deabler, H.L. Colors and Mood-Tones. J. Appl. Psychol. 1957, 41, 279–283. [Google Scholar] [CrossRef]







| Gaze Time | Definition | Previous Literature |
|---|---|---|
| 0.2~0.25 s | Minimum time to focus on the object | Robert [25] |
| 0.2 s | Minimum time to focus on the object | Gratzer [26] |
| 0.25 s | Time of pre-saccadic attention shifts | Deubel [27] |
| 0.25 s | Visual-fixed average time | Lovegrove [28] |
| 0.05 s | Minimum time to visual continuity | Berger [29] |
| 0.02~0.04 s | Visual-fixed minimum time | David [30] |
| Analysis Method | Definition |
|---|---|
| 1. First fixation point | User’s first gaze point |
| 2. Duration of first fixation points | Time of user’s first gaze point |
| 3. Most viewed point | Most repeated user’s gaze point |
| 4. Fixation count of most viewed point | Count of most repeated user’s gaze point |
| 5. Total duration of fixations | Accumulated time of user’s gaze point (fixed time > 0.1 s) |
| Selected Image | Mosaic Analysis | Color Palette Extraction | Extracted Data | |
|---|---|---|---|---|
![]() | ![]() | ![]() | ![]() | |
| RGB | 3,185,378 | |||
| Hex Code | DA354E | |||
| Dental Unit Chair | Extracted Color | Color Value | Dental Unit Chair | Extracted Color | Color Value | ||
|---|---|---|---|---|---|---|---|
| RGB | Hex Code | RGB | Hex Code | ||||
![]() | ![]() | 110,196,230 | 6EC4E6 | ![]() | ![]() | 13,277,149 | 844D95 |
![]() | ![]() | 218,115,156 | DA739C | ![]() | ![]() | 249,227,140 | F9E38C |
![]() | ![]() | 5,014,081 | 328c51 | ![]() | ![]() | 2,491,420 | F98E00 |
![]() | ![]() | 3,185,378 | DA354E | ![]() | ![]() | 16,621,595 | A6D75F |
![]() | ![]() | 24,419,162 | F4BF3E | ![]() | ![]() | 604,848 | 3C3030 |
![]() | ![]() | 1,482,140 | 0E528C | ![]() | ![]() | 242,192,215 | F2C0D7 |
| Tester | Recording Time (s) | Most Viewed | Total Duration of Fixation (s)/Avg/Max | First Fixation | Fixation Count of Most Viewed | Duration of First Fixation |
|---|---|---|---|---|---|---|
| 1 | 4.90 | Pink | 4.96/1.24/2.08 | Pink | 5 | 0.38 |
| 2 | 4.93 | Pink | 3.53/1.675/2/1 | Red | 6 | 0.34 |
| 3 | 4.87 | Green | 2.34/1.17/1.57 | Pink | 2 | 0.31 |
| 4 | 4.84 | Pink | 1.95/0.975/1.1 | Brown | 4 | 0.52 |
| 5 | 4.89 | Yellow | 2.94/0.98/1.32 | Yellow | 6 | 0.31 |
| 6 | 4.86 | Brown | 3.95/1.975/2.37 | Purple | 5 | 0.95 |
| 7 | 4.79 | Pink | 4.46/1.115/1.55 | Purple | 3 | 0.54 |
| 8 | 4.89 | Light-pink | 2.7/1.35/1.42 | Light-pink | 4 | 0.31 |
| 9 | 4.92 | Yellow | 1.74/0.87/0.97 | Blue | 3 | 0.37 |
| 10 | 4.93 | Purple | 4.25/1.417/2.53 | Pink | 2 | 0.73 |
| 11 | 4.79 | Blue | 1.92/0.96/1.02 | - | 4 | - |
| 12 | 4.79 | Blue | 2.93/0.977/1.31 | Pink | 5 | 0.36 |
| 13 | 4.83 | Pink | 5.11/1.7/2.19 | Pink | 6 | 0.42 |
| 14 | 4.84 | Light-pink | 5.27/1.76/2.4 | Pink | 6 | 0.62 |
| 15 | 4.78 | Orange | 3.56/1.78/2.86 | Orange | 9 | 0.46 |
| 16 | 4.75 | Pink | 6.02/1.50/1.75 | Pink | 3 | 0.43 |
| 17 | 4.76 | Yellow | 2.86/0.95/1.74 | Yellow | 3 | 0.3 |
| 18 | 4.73 | Pink | 4.01/1.34/1.88 | Pink | 2 | 2.12 |
| 19 | 4.80 | Pink | 6.71/1.68/2.4 | Pink | 2 | 1.34 |
| 20 | 4.72 | Pink | 3.67/1.84/2.19 | Pink | 6 | 0.5 |
| 21 | 4.87 | Purple | 3.14/1.05/1.32 | - | 5 | - |
| 22 | 4.99 | Blue | 3.38/1.69/2.55 | Pink | 3 | 0.37 |
Publisher’s Note: MDPI stays neutral with regard to jurisdictional claims in published maps and institutional affiliations. |
© 2021 by the authors. Licensee MDPI, Basel, Switzerland. This article is an open access article distributed under the terms and conditions of the Creative Commons Attribution (CC BY) license (https://creativecommons.org/licenses/by/4.0/).
Share and Cite
Song, E.-S.; Kim, W.-H.; Lee, B.-H.; Han, D.-W.; Lee, J.-H.; Kim, B. Assessment of Color Perception and Preference with Eye-Tracking Analysis in a Dental Treatment Environment. Int. J. Environ. Res. Public Health 2021, 18, 7981. https://doi.org/10.3390/ijerph18157981
Song E-S, Kim W-H, Lee B-H, Han D-W, Lee J-H, Kim B. Assessment of Color Perception and Preference with Eye-Tracking Analysis in a Dental Treatment Environment. International Journal of Environmental Research and Public Health. 2021; 18(15):7981. https://doi.org/10.3390/ijerph18157981
Chicago/Turabian StyleSong, Eun-Sung, Won-Hyeon Kim, Beom-Hui Lee, Dong-Wook Han, Jong-Ho Lee, and Bongju Kim. 2021. "Assessment of Color Perception and Preference with Eye-Tracking Analysis in a Dental Treatment Environment" International Journal of Environmental Research and Public Health 18, no. 15: 7981. https://doi.org/10.3390/ijerph18157981
APA StyleSong, E.-S., Kim, W.-H., Lee, B.-H., Han, D.-W., Lee, J.-H., & Kim, B. (2021). Assessment of Color Perception and Preference with Eye-Tracking Analysis in a Dental Treatment Environment. International Journal of Environmental Research and Public Health, 18(15), 7981. https://doi.org/10.3390/ijerph18157981





























