Fast Eccentric Movement Tempo Elicits Higher Physiological Responses than Medium Eccentric Tempo in Ice-Hockey Players
Abstract
1. Introduction
2. Material and Methods
2.1. Participants
2.2. Familiarization Session and 1RM Strength Test
2.3. Experimental Sessions
2.4. Squat Exercise
2.5. Bench Press Exercise
2.6. Countermovement Jump Test
2.7. Biochemical Analysis
2.8. Statistical Analyses
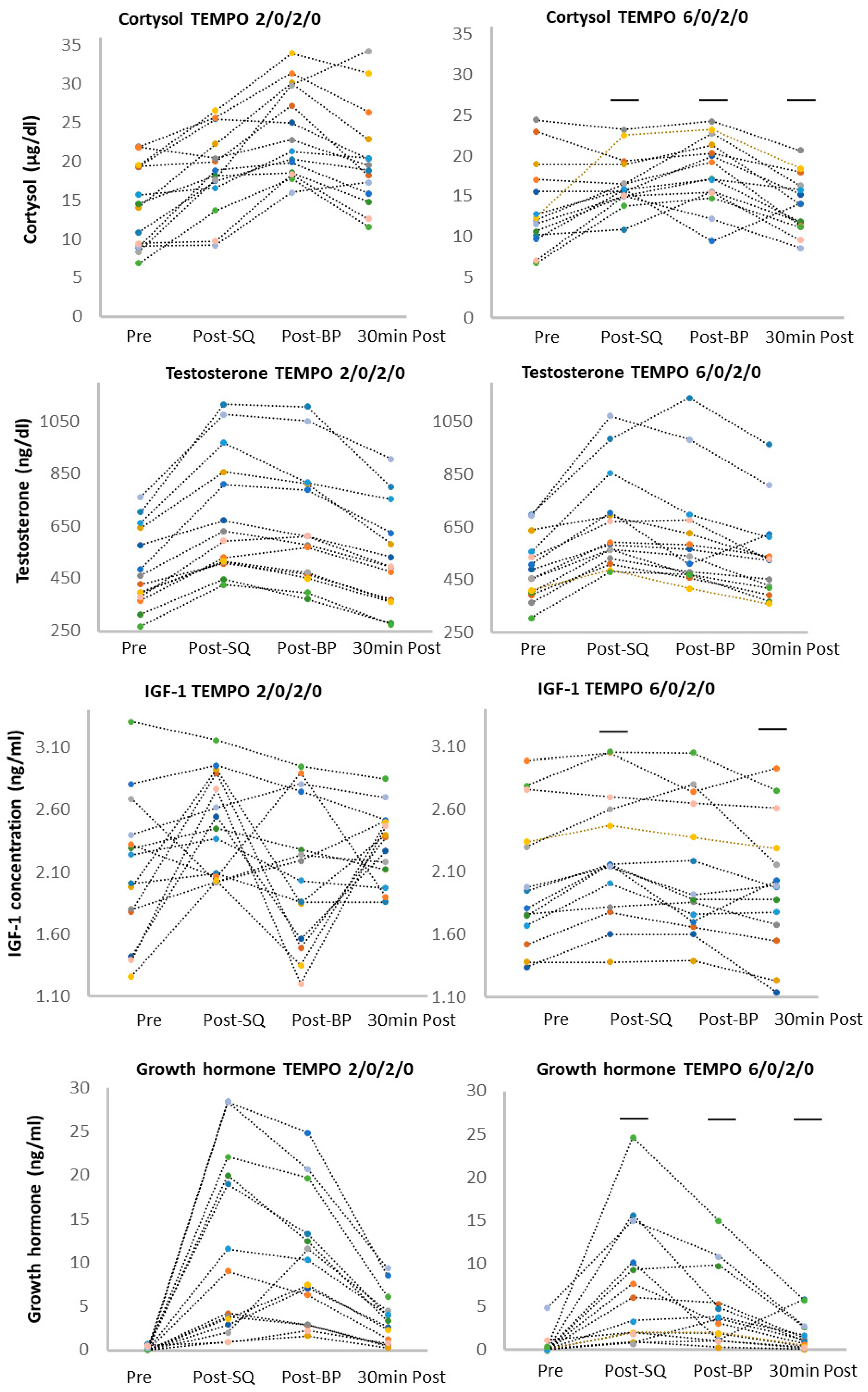
3. Results
4. Discussion
5. Conclusions
Author Contributions
Funding
Institutional Review Board Statement
Informed Consent Statement
Data Availability Statement
Acknowledgments
Conflicts of Interest
References
- Leiter, J.R.; Cordingley, D.M.; MacDonald, P.B. Development of Anaerobic Fitness in Top-Level Competitive Youth Ice Hockey Players. J. Strength Cond. Res. 2018, 32, 2612–2615. [Google Scholar] [CrossRef] [PubMed]
- Nightingale, S.C. A Strength and Conditioning Approach for Ice Hockey. Strength Cond. J. 2014, 36, 28–36. [Google Scholar] [CrossRef][Green Version]
- Neeld, K. Preparing for the Demands of Professional Hockey. Strength Cond. J. 2018, 40, 1–16. [Google Scholar] [CrossRef]
- Tarter, B.C.; Kirisci, L.; Tarter, R.E.; Weatherbee, S.; Jamnik, V.; McGuire, E.; Gledhill, N. Use of aggregate fitness indicators to predict transition into the National Hockey League. J. Strength Cond. Res. 2009, 23, 1828–1832. [Google Scholar] [CrossRef]
- Manners, T.W. Sport-specific training for ice hockey. Strength Cond. J. 2004, 26, 16–21. [Google Scholar] [CrossRef]
- Schoenfeld, B.J.; Ratamess, N.A.; Peterson, M.D.; Contreras, B.; Sonmez, G.; Alvar, B.A. Effects of different volume-equated resistance training loading strategies on muscular adaptations in well-trained men. J. Strength Cond. Res. 2014, 28, 2909–2918. [Google Scholar] [CrossRef]
- Wilk, M.; Golas, A.; Zmijewski, P.; Krzysztofik, M.; Filip, A.; Del Coso, J.; Tufano, J.J. The Effects of the Movement Tempo on the One-Repetition Maximum Bench Press Results. J. Hum. Kinet. 2020, 72, 151–159. [Google Scholar] [CrossRef]
- Wilk, M.; Tufano, J.J.; Zajac, A. The Influence of Movement Tempo on Acute Neuromuscular, Hormonal, and Mechanical Responses to Resistance Exercise—A Mini Review. J. Strength Cond. Res. 2020, 34, 2369–2383. [Google Scholar] [CrossRef]
- Wilk, M.; Zajac, A.; Tufano, J.J. The Influence of Movement Tempo During Resistance Training on Muscular Strength and Hypertrophy Responses: A Review. Sports Med. 2021. [Google Scholar] [CrossRef]
- Brocherie, F.; Girard, O.; Millet, G.P. Updated analysis of changes in locomotor activities across periods in an international ice hockey game. Biol. Sport 2018, 35, 261. [Google Scholar] [CrossRef]
- Dæhlin, T.E.; Haugen, O.C.; Haugerud, S.; Hollan, I.; Raastad, T.; Rønnestad, B.R. Improvement of Ice Hockey Players’ On-Ice Sprint With Combined Plyometric and Strength Training. Int. J. Sports Physiol. Perform. 2017, 12, 893–900. [Google Scholar] [CrossRef]
- Wilk, M.; Petr, M.; Krzysztofik, M.; Zajac, A.; Stastny, P. Endocrine response to high intensity barbell squats performed with constant movement tempo and variable training volume. Neuro Endocrinol. Lett. 2018, 39, 342–348. [Google Scholar]
- Wilk, M.; Stastny, P.; Golas, A.; Nawrocka, M.; Jelen, K.; Zajac, A.; Tufano, J.J. Physiological responses to different neuromuscular movement task during eccentric bench press. Neuro Endocrinol. Lett. 2018, 39, 26–32. [Google Scholar]
- Wilk, M.; Krzysztofik, M.; Petr, M.; Zajac, A.; Stastny, P. The slow exercise tempo during conventional squat elicits higher glycolytic and muscle damage but not the endocrine response. Neuro Endocrinol. Lett. 2021, 41, 301–307. [Google Scholar]
- Mazzetti, S.; Douglass, M.S.; Yocum, A.; Harber, M. Effect of explosive versus slow contractions and exercise intensity on energy expenditure. Med. Sci. Sports Exerc. 2007, 39, 1291–1301. [Google Scholar] [CrossRef] [PubMed]
- Goto, K.; Takahashi, K.; Yamamoto, M.; Takamatsu, K. Hormone and recovery responses to resistance exercise with slow movement. J. Physiol. Sci. 2008, 58, 7–14. [Google Scholar] [CrossRef] [PubMed]
- Gotshalk, L.A.; Loebel, C.C.; Nindl, B.C.; Putukian, M.; Sebastianelli, W.J.; Newton, R.U.; Häkkinen, K.; Kraemer, W.J. Hormonal responses of multiset versus single-set heavy-resistance exercise protocols. Can. J. Appl. Physiol. 1997, 22, 244–255. [Google Scholar] [CrossRef] [PubMed]
- Goto, K.; Sato, K.; Takamatsu, K. A single set of low intensity resistance exercise immediately following high intensity resistance exercise stimulates growth hormone secretion in men. J. Phys. Fit. Sports Med. 2003, 43, 243–249. [Google Scholar]
- Takarada, Y.; Nakamura, Y.; Aruga, S.; Onda, T.; Miyazaki, S.; Ishii, N. Rapid increase in plasma growth hormone after low-intensity resistance exercise with vascular occlusion. J. Appl. Physiol. 2000, 88, 61–65. [Google Scholar] [CrossRef]
- Takarada, Y.; Takazawa, H.; Ishii, N. Applications of vascular occlusion diminish disuse atrophy of knee extensor muscles. Med. Sci. Sports Exerc. 2000, 32, 2035–2039. [Google Scholar] [CrossRef]
- Novak, D.; Tomasek, A.; Lipinska, P.; Stastny, P. The Specificity of Motor Learning Tasks Determines the Kind of Skating Skill Development in Older School-Age Children. Sports 2020, 8, 126. [Google Scholar] [CrossRef]
- Novák, D.; Lipinska, P.; Roczniok, R.; Spieszny, M.; Stastny, P. Off-Ice Agility Provide Motor Transfer to On-Ice Skating Performance and Agility in Adolescent Ice Hockey Players. J. Sports Sci. Med. 2019, 18, 680. [Google Scholar] [PubMed]
- Tai, W.; Peng, H.; Lin, J.; Lo, S.; Yu, H.; Huang, J. Biomechanical Characteristics of Single Leg Jump in Collegiate Basketball Players Based on Approach Technique. Appl. Sci. 2020, 10, 309. [Google Scholar] [CrossRef]
- Bracko, M.; Fellingham, G.; Hall, L.; Fisher, A.; Cryer, W. Performance skating characteristics of professional ice hockey forwards. Res. Sports Med. Int. J. 1998, 8, 251–263. [Google Scholar] [CrossRef]
- Janot, J.M.; Beltz, N.M.; Dalleck, L.D. Multiple off-ice performance variables predict onice skating performance in male and female division III ice hockey players. J. Sports Sci. Med. 2015, 14, 522–529. [Google Scholar] [PubMed]
- Vescovi, J.D.; Murray, T.M.; VanHeest, J.L. Positional performance profiling of elite ice hockey players. Int. J. Sports Physiol. Perform. 2006, 1, 84. [Google Scholar] [CrossRef]
- Vescovi, J.D.; Murray, T.M.; Fiala, K.A.; VanHeest, J.L. Off-ice performance and draft status of elite ice hockey players. Int. J. Sports Physiol. Perform. 2006, 1, 207. [Google Scholar] [CrossRef] [PubMed]
- Robbins, S.M.; Renaud, P.J.; Pearsall, D.J. Principal component analysis identifies differences in ice hockey skating stride between high-and low-calibre players. Sports Biomech. 2021, 20, 131–149. [Google Scholar] [CrossRef] [PubMed]
- Trybulski, R.; Gepfert, M.; Gawel, D.; Bichowska, M.; Fostiak, K.; Wojdala, G.; Trybek, G.; Krzysztofik, M.; Wilk, M. Impact of movement tempo on bar velocity and time under tension in resistance exercises with different external loads. Biol. Sport. 2021, 39, 547–554. [Google Scholar]
- Martínez-Cava, A.; Morán-Navarro, R.; Sánchez-Medina, L.; González-Badillo, J.J.; Pallarés, J.G. Velocityand power-load relationships in the half, parallel and full back squat. J. Sports Sci. 2019, 37, 1088–1096. [Google Scholar] [CrossRef] [PubMed]
- Pallarés, J.G.; Sánchez-Medina, L.; Pérez, C.E.; De La Cruz-Sánchez, E.; Mora-Rodriguez, R. Imposing a pause between the eccentric and concentric phases increases the reliability of isoinertial strength assessments. J. Sports Sci. 2014, 32, 1165–1175. [Google Scholar] [CrossRef]
- Wilk, M.; Gepfert, M.; Krzysztofik, M.; Golas, A.; Mostowik, A.; Maszczyk, A.; Zajac, A. The Influence of Grip Width on Training Volume During the Bench Press with Different Movement Tempos. J. Hum. Kinet. 2019, 21, 49–57. [Google Scholar] [CrossRef]
- Whitehead, P.N.; Conners, R.T.; Shimizu, T.S. The effect of in-season demands on lower-body power and fatigue in male collegiate hockey players. J. Strength Cond. Res. 2019, 33, 1035–1042. [Google Scholar] [CrossRef] [PubMed]
- Vigh-Larsen, J.F.; Haverinen, M.T.; Panduro, J.; Ermidis, G.; Andersen, T.B.; Overgaard, K.; Mohr, M. On-Ice and Off-Ice Fitness Profiles of Elite and U20 Male Ice Hockey Players of Two Different National Standards. J. Strength Cond. Res. 2020, 34, 3369–3376. [Google Scholar] [CrossRef] [PubMed]
- Larson-Hall, J. A Guide to Doing Statistics in Second Language Research Using SPSS. Ibérica 2010, 20, 167–204. [Google Scholar]
- Cohen, J. Statistical Power Analysis for the Behavioral Sciences, 2nd ed.; Laurence Erlbaum Associates: Hillsdale, NJ, USA, 1988. [Google Scholar]
- Headley, S.A.; Henry, K.; Nindl, B.C.; Thompson, B.A.; Kraemer, W.J.; Jones, M.T. Effects of lifting tempo on one repetition maximum and hormonal responses to a bench press protocol. J. Strength Cond. Res. 2011, 25, 406–413. [Google Scholar] [CrossRef]
- Smilios, I.; Tsoukos, P.; Zafeiridis, A.; Spassis, A.; Tokmakidisa, S.P. Hormonal responses after resistance exercise performed with maximum and submaximum movement velocities. Appl. Physiol. Nutr. Metab. 2014, 39, 351–357. [Google Scholar] [CrossRef]
- Pareja-Blanco, F.; Rodríguez-Rosell, D.; Sánchez-Medina, L.; Gorostiaga, E.M.; Gonzalez-Badillo, J.J. Effect of movement velocity during resistance training on neuromuscular performance. Int. J. Sports Med. 2014, 35, 916–924. [Google Scholar] [CrossRef] [PubMed]
- Kraemer, W.J.; Ratamess, N.A. Hormonal responses and adaptations to resistance exercise and training. Sports Med. 2005, 35, 339–361. [Google Scholar] [CrossRef]
- Tyler, T.F.; Nicholas, S.J.; Campbell, R.J.; Donellan, S.; McHugh, M.P. The effectiveness of a preseason exercise program to prevent adductor muscle strains in professional ice hockey players. Am. J. Sports Med. 2002, 30, 680–683. [Google Scholar] [CrossRef]
- Tyler, T.F.; Nicholas, S.J.; Campbell, R.J.; McHugh, M.P. The association of hip strength and flexibility with the incidence of adductor muscle strains in professional ice hockey players. Am. J. Sports Med. 2001, 29, 124–128. [Google Scholar] [CrossRef] [PubMed]





| Medium TEMPO | Fast TEMPO | |||||||
|---|---|---|---|---|---|---|---|---|
| Pre-Squat | Post-Squat | Post-Bench Press | Post-Session 30 min | Pre-Squat | Post-Squat | Post-Bench Press | Post-Session 30 min | |
| CMJ Vmax (m/s) | 2.93 ± 0.05; 2.81–3.04 | 2.83 ± 0.04; 2.72–2.94 | 2.85 ± 0.06; 2.73–2.96 | -- | 2.98 ± 0.06; 2.86–3.09 | 2.75 ± 0.06; 2.64–2.87 | 2.82 ± 0.06; 2.71–2.94 | -- |
| CMJ Pmax (W/kg) | 34.36 ± 1.43; 31.16–37.56 | 33.31 ± 1.27; 30.12–36.49 | 32.40 ± 1.55; 29.49–35.31 | -- | 35.90 ± 1.69; 32.70–39.10 | 31.33 ± 1.81; 28.15–34.52 | 31.63 ± 1.28; 28.73–34.54 | -- |
| Cortisol (µg/dL) | 13.74 ± 1.45; 10.59–16.87 | 16.76 ± 0.88; 14.84–18.66 | 18.08 ± 1.15; 15.59–20.57 | 14.08 ± 0.94; 12.04–16.13 | 14.30 ± 1.45 11.33–17.27 | 18.72 ± 1.43; 16.26–21.17 | 23.76 ± 1.55; 20.95–26.57 | 20.32 ± 1.75; 17.42–23.22 |
| GH (ng/mL) | 0.52 ± 0.35; −0.24–1.27 | 7.20 ± 1.92; 3.04–11.34 | 4.59 ± 1.16; 2.06–7.11 | 1.76 ± 0.52; 0.65–2.88 | 0.15 ± 0.05; 0.04–0.27 | 11.21 ± 2.75; 5.26–17.15 | 10.23 ± 1.98; 5.96–14.50 | 3.43 ± 0.78; 1.73–5.12 |
| IGF-1 (ng/mL) | 202.43 ± 14.25; 171.79–233.07 | 222.07 ± 13.54; 192.81–251.32 | 211.29 ± 13.96; 181.11–241.46 | 200.00 ± 14.08; 169.57–230.42 | 212.14 ± 15.53; 178.58–245.70 | 249.50 ± 10.85; 226.05–272.95 | 210.43 ± 15.74; 176.42–244.43 | 233.07 ± 7.91; 215.99–250.15 |
| Testosterone (ng/dL) | 492.10 ± 32.24; 422.42–561.76 | 663.43 ± 49.45; 556.58–770.28 | 615.01 ± 55.70; 494.68–735.34 | 539.05 ± 45.80; 440.08–638.01 | 488.90 ± 41.36; 399.69–578.19 | 690.27 ± 62.50; 555.23–825.30 | 649.91 ± 62.14; 515.65–784.17 | 521.81 ± 51.85; 409.80–633.82 |
| Variable | Protocol TEMPO | Pre-Exercise Post-Squat | Post-Squat Post-Bench Press | Post-Squat Post-30 min | Pre-Exercise Post-Bench Press | Pre-Exercise Post 30 min | Post-Bench Press Post-30 min | Between TEMPO Difference Post-Squa t Post-Bench Press Post-30 min | ||
|---|---|---|---|---|---|---|---|---|---|---|
| CMJ Vmax (m/s) | fast | 0.9 | 0.3 | - | 0.6 | - | - | 0.4 | 0.1 | - |
| medium | 0.5 | 0.1 | - | 0.3 | - | - | ||||
| CMJ Pmax (W/kg) | fast | 0.7 | 0.1 | - | 0.7 | - | - | 0.3 | 0.2 | - |
| medium | 0.2 | 0.2 | - | 0.3 | - | - | ||||
| Cortisol (µg/dL) | fast | 0.7 | 0.9 | 0.4 | 1.6 | 1 | 0.3 | 0.5 | 1.2 | 1.2 |
| medium | 0.7 | 0.3 | 0.8 | 0.9 | 0.1 | 2.9 | ||||
| GH (ng/mL) | fast | 1.5 | 0.1 | 1.0 | 2.2 | 1.6 | 1.2 | 0.5 | 0.9 | 0.7 |
| medium | 1.3 | 0.5 | 1.0 | 1.3 | 0.7 | 0.8 | ||||
| IGF-1 (ng/mL) | fast | 0.8 | 0.8 | 0.5 | 0.0 | 0.5 | 0.5 | 0.6 | 0.0 | 0.8 |
| medium | 0.4 | 0.2 | 0.4 | 0.2 | 0.00 | 0.2 | ||||
| Testosterone (ng/dL) | fast | 1.0 | 0.2 | 0.8 | 0.8 | 0.2 | 0.6 | 0.1 | 0.2 | 0.1 |
| medium | 1.1 | 0.2 | 0.7 | 0.7 | 0.3 | 0.4 | ||||
| Variable | Protocol TEMPO | Pre-Exercise Post-Squat | Post-Squat Post-Bench Press | Post-Squat Post-30 min | Pre-Exercise Post-Bench Press | Pre-Exercise Post 30 min | Post-Bench Press Post-30 min |
|---|---|---|---|---|---|---|---|
| CMJ Vmax (m/s) | fast | −0.22 ± 0.15 −0.30–−0.14 | 0.07 ± 0.16 −0.01–0.14 | - | −0.16 ± 0.18 −0.20–0.01 | - | - |
| medium | −0.09 ± 0.11 −0.15–0.04 | 0.02 ± 0.14 −0.08–0.06 | - | −0.08 ± 0.12 −0.14–0.02 | - | - | |
| CMJ Pmax (W/kg) | fast | −4.57 ± 4.90 −7.09–−2.05 | 0.3 ± 4.09 −1.80–2.40 | - | −4.27 ± 4.81 −6.75–−1.79 | - | - |
| medium | −1.05 ± 3.10 −2.64–0.54 | −0.91 ± 3.49 −2.70–0.88 | - | −1.96 ± 3.58 −3.80–0.11 | - | - | |
| Cortisol (µg/dL) | fast | 4.42 ± 3.79 2.23–6.61 | 5.04 ± 3.57 2.98–7.10 | 3.44 ± 3.49 1.42–5.46 | 9,46 ± 5.25 6.43–12.49 | 6.02 ± 7.02 1.97–10.07 | −3.44 ± 3.49 −5.46–−1.42 |
| medium | 3.02 ± 3.97 0.73–5.32 | 1.32 ± 3.11 −0.47–3.12 | −4.00 ± 0.07 −5.77–−2.22 | 4.34 ± 4.22 1.91–6.78 | 0.34 ± 4.08 −2.01–2.07 | −4.00 ± 3.07 −5.78–−2.22 | |
| GH (ng/mL) | fast | 11.05 ± 10.27 5.12–19.98 | −0.97 ± 4.75 −3.71–1.77 | −7.77 ± 7.95 −12.37–−3.18 | 10.08 ± 7.38 5.82–14.35 | 3.27 ± 2.92 1.58–4.96 | −6.80 ± 4.63 −9.49–−4.13 |
| medium | 6.67 ± 6.8 2.70–10.64 | −2.60 ± 4.34 −5.11–−0.10 | −5.43 ± 5.90 −8.84–−2.03 | 4.07 ± 4.00 1.76–6.38 | 1.25 ± 2.16 −0.01–2.50 | −2.82 ± 3.56 −4.88–−0.76 | |
| IGF-1 (ng/mL) | fast | 37.36 ± 60 2.69–72.02 | −39.07 ± 68 −78–0.24 | −16 ± 33.64 −35.86–2.99 | 1.71 ± 30 −15.97–19.39 | 20.92 ± 60 −14.15–56.01 | 22.64 ± 62 −13.26–58.55 |
| medium | 19.64 ± 14.18 11.45–27.83 | −10.78 ± 17.58 −20.93–0.63 | −22.07 ± 11.51 −28.71–15.42 | 8.85 ± 19.02 2.23–19.95 | −2.42 ± 12.08 −9.40–4.54 | −11.28 ± 24.92 −25.67–3.1 | |
| Testosterone (ng/dL) | fast | 201.37 ± 100 143–259 | −40.36 ± 44.61 −66–−15 | −168.46 ± 66 −206–−130 | 161.01 ± 112 95–226 | 32.91 ± 78 −13–78 | −128.10 ± 67 −167–−90 |
| medium | 171.32 ± 92 117–224 | −48 ± 82 −95–−1 | −124 ± 72 −166–−82 | 122 ± 120 53–192 | 46 ± 93 −7–100 | −75 ± 72 −117–−34 |
Publisher’s Note: MDPI stays neutral with regard to jurisdictional claims in published maps and institutional affiliations. |
© 2021 by the authors. Licensee MDPI, Basel, Switzerland. This article is an open access article distributed under the terms and conditions of the Creative Commons Attribution (CC BY) license (https://creativecommons.org/licenses/by/4.0/).
Share and Cite
Gepfert, M.; Trybulski, R.; Stastny, P.; Wilk, M. Fast Eccentric Movement Tempo Elicits Higher Physiological Responses than Medium Eccentric Tempo in Ice-Hockey Players. Int. J. Environ. Res. Public Health 2021, 18, 7694. https://doi.org/10.3390/ijerph18147694
Gepfert M, Trybulski R, Stastny P, Wilk M. Fast Eccentric Movement Tempo Elicits Higher Physiological Responses than Medium Eccentric Tempo in Ice-Hockey Players. International Journal of Environmental Research and Public Health. 2021; 18(14):7694. https://doi.org/10.3390/ijerph18147694
Chicago/Turabian StyleGepfert, Mariola, Robert Trybulski, Petr Stastny, and Michał Wilk. 2021. "Fast Eccentric Movement Tempo Elicits Higher Physiological Responses than Medium Eccentric Tempo in Ice-Hockey Players" International Journal of Environmental Research and Public Health 18, no. 14: 7694. https://doi.org/10.3390/ijerph18147694
APA StyleGepfert, M., Trybulski, R., Stastny, P., & Wilk, M. (2021). Fast Eccentric Movement Tempo Elicits Higher Physiological Responses than Medium Eccentric Tempo in Ice-Hockey Players. International Journal of Environmental Research and Public Health, 18(14), 7694. https://doi.org/10.3390/ijerph18147694

