Effects of Acute Low-Frequency Pulsed Electromagnetic Field Therapy on Aerobic Performance during a Preseason Training Camp: A Pilot Study
Abstract
:1. Introduction
2. Materials and Methods
2.1. Study Design
2.2. Participants
2.3. Assessments
2.4. Intervention
2.5. Statistical Analyses
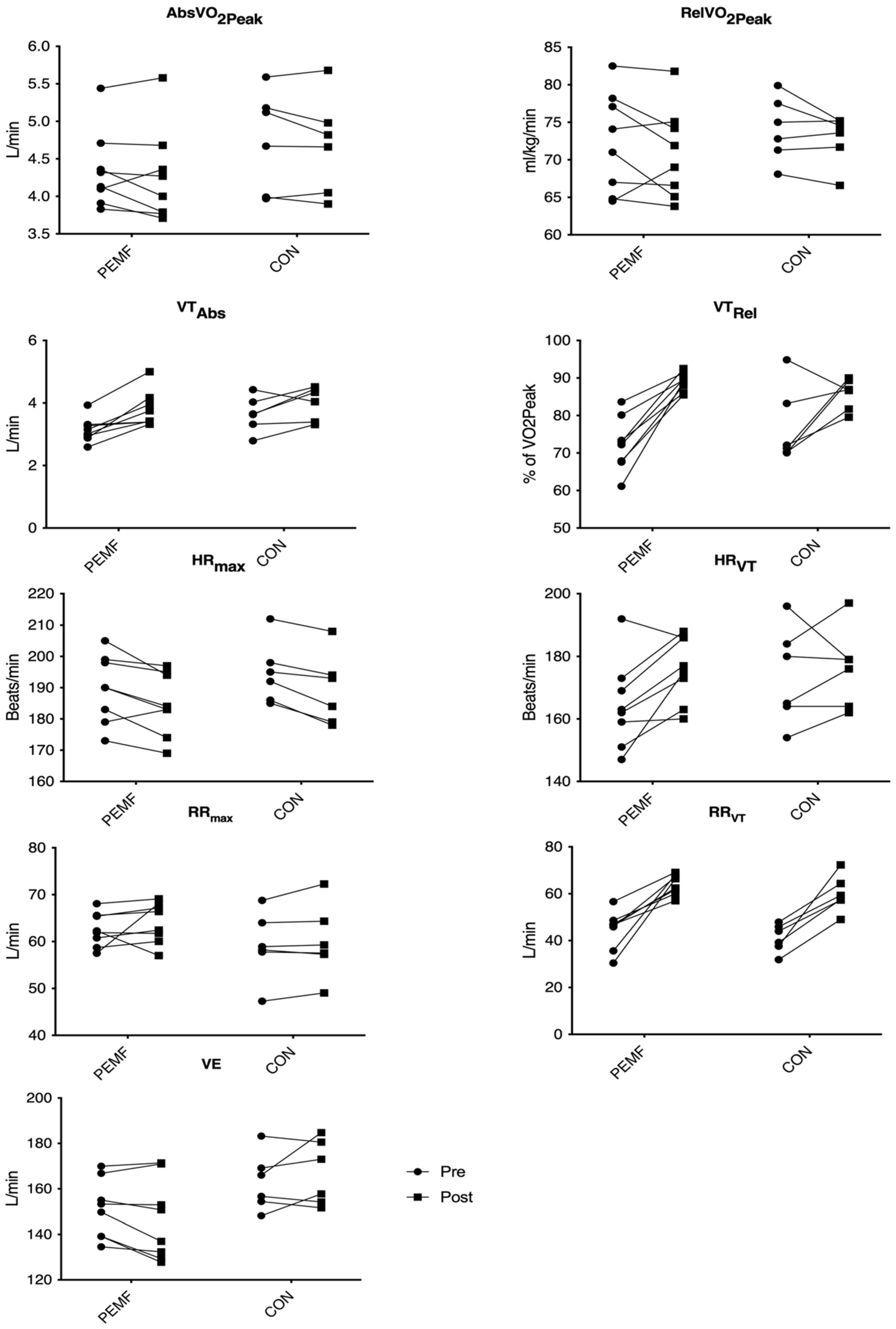
3. Results
Outcomes
- Despite dropouts, both groups were similar at baseline for AbsVO2Peak (p = 0.2497), RelVO2Peak (p = 0.5685), VE (p = 0.1098), VTAbs (p = 0.0965), VTRel (p = 0.3674), HRMax (p = 0.3840), HRVT (p = 0.2718), RRMax (p = 0.3296), or RRVT (p = 0.3577).
- There were no significant changes in AbsVO2Peak (p = 0.1727) or RelVO2Peak (p = 0.1149) for either the PEMF group or the CON group after the training camp;
- There was no significant difference for VE pre- to post-testing for any groups (p = 0.9305).
- There was a significant effect of time for both VTAbs (p = 0.009) and VTRel (p ≤ 0.001). For PEMF, VTAbs changed significantly from pretesting to post-testing (p = 0.001), but CON showed a nonsignificant trend towards difference (p = 0.061). Furthermore, VTRel was significantly different between pre- and post-tests for PEMF (p ≤ 0.001), and a nonsignificant difference was observed for CON (p = 0.098).
- HRMax was significantly different from pre- to post-testing for both PEMF (p = 0.0212) and CON (p = 0.0251).
- Additionally, there was a significant time effect for HRVT (p = 0.0326). However, the post hoc test showed that while PEMF had a significant difference (p < 0.0422), CON did not (p = 0.9477).
- There was no significant difference for RRMax pre- to post-testing for any groups (p = 0.2557).
- There was a significant time effect for RRVT (p = 0.0005).
4. Discussion
Limitations
5. Conclusions
Author Contributions
Funding
Institutional Review Board Statement
Informed Consent Statement
Data Availability Statement
Acknowledgments
Conflicts of Interest
References
- Heckman, J.D.; Ingram, A.J.; Loyd, R.D.; Luck, J.V.; Mayer, P.W. Nonunion treatment with pulsed electromagnetic fields. Clin. Orthop. Relat. Res. 1981, 58–66. [Google Scholar] [CrossRef]
- Fu, Y.-C.; Lin, C.-C.; Chang, J.-K.; Chen, C.-H.; Tai, I.-C.; Wang, G.-J.; Ho, M.-L. A Novel Single Pulsed Electromagnetic Field Stimulates Osteogenesis of Bone Marrow Mesenchymal Stem Cells and Bone Repair. PLoS ONE 2014, 9, e91581. [Google Scholar] [CrossRef] [Green Version]
- Patino, O.; Grana, D.; Bolgiani, A.; Prezzavento, G.; Miño, J.; Merlo, A.; Benaim, F. Pulsed Electromagnetic Fields in Experimental Cutaneous Wound Healing in Rats. J. Burn Care Rehabil. 1996, 17, 528–531. [Google Scholar] [CrossRef]
- Stiller, M.J.; Pak, G.H.; Shupack, J.L.; Thaler, S.; Kenny, C.; Jondreau, L. A portable pulsed electromagnetic field (PEMF) device to enhance healing of recalcitrant venous ulcers: A double-blind, placebo-controlled clinical trial. Br. J. Dermatol. 1992, 127, 147–154. [Google Scholar] [CrossRef]
- Callaghan, M.J.; Chang, E.I.; Seiser, N.; Aarabi, S.; Ghali, S.; Kinnucan, E.R.; Simon, B.J.; Gurtner, G.C. Pulsed Electromagnetic Fields Accelerate Normal and Diabetic Wound Healing by Increasing Endogenous FGF-2 Release. Plast. Reconstr. Surg. 2008, 121, 130–141. [Google Scholar] [CrossRef]
- Athanasiou, A.; Karkambounas, S.; Batistatou, A.; Lykoudis, E.; Katsaraki, A.; Kartsiouni, T.; Papalois, A.; Evangelou, A. The effect of pulsed electromagnetic fields on secondary skin wound healing: An experimental study. Bioelectromagnetics 2007, 28, 362–368. [Google Scholar] [CrossRef]
- Bassett, C.A.L. Pulsing Electromagnetic Field Treatment in Ununited Fractures and Failed Arthrodeses. JAMA J. Am. Med. Assoc. 1982, 247, 623. [Google Scholar] [CrossRef]
- Betti, E.; Marchetti, S.; Cadossi, R.; Faldini, C.; Faldini, A. Effect of Stimulation by Low-Frequency Pulsed Electromagnetic Fields in Subjects with Fracture of the Femoral Neck. In Electricity and Magnetism in Biology and Medicine; Springer: Boston, MA, USA, 1999; pp. 853–855. [Google Scholar]
- Sharrard, W. A double-blind trial of pulsed electromagnetic fields for delayed union of tibial fractures. J. Bone Jt. Surg. Br. 1990, 72-B, 347–355. [Google Scholar] [CrossRef] [PubMed]
- Jeon, H.-S.; Kang, S.-Y.; Park, J.-H.; Lee, H.-S. Effects of pulsed electromagnetic field therapy on delayed-onset muscle soreness in biceps brachii. Phys. Ther. Sport 2015, 16, 34–39. [Google Scholar] [CrossRef]
- Rasmussen, S.; Knudsen, C.; Skou, S.; Gronbech, M.; Olesen, J.; Rathleff, M. Pulsed electromagnetic field therapy may reduce thigh muscle soreness in marathon runners: A randomized controlled pilot study. Orthop. Proc. 2012, 94-B, 491. [Google Scholar] [CrossRef]
- Trock, D.H.; Bollet, A.J.; Markoll, R. A Double-Blind Trial of the Clinical Effects of Pulsed Electromagnetic Fields in Osteoarthritis. Clin. J. Pain 1993, 9, 59. [Google Scholar] [CrossRef]
- Trock, D.H.; Bollet, A.J.; Markoll, R. The effect of pulsed electromagnetic fields in the treatment of osteoarthritis of the knee and cervical spine. Report of randomized, double blind, placebo controlled trials. J. Rheumatol. 1994, 21, 1903–1911. [Google Scholar]
- Lee, E.W.C.; Maffulli, N.; Li, C.K.; Chan, K.M. Pulsed magnetic and electromagnetic fields in experimental Achilles tendonitis in the rat: A prospective randomized study. Arch. Phys. Med. Rehabil. 1997. [Google Scholar] [CrossRef]
- Markov, M.; Pilla, A. Review: Electromagnetic field stimulation of soft tissues: Pulsed radio frequency treatment of post-operative pain and edema. Wounds 1995, 7, 143–151. [Google Scholar]
- Markov, M.S. Expanding Use of Pulsed Electromagnetic Field Therapies. Electromagn. Biol. Med. 2007, 26, 257–274. [Google Scholar] [CrossRef] [PubMed]
- Hug, K.; Röösli, M. Therapeutic effects of whole-body devices applying pulsed electromagnetic fields (PEMF): A systematic literature review. Bioelectromagnetics 2012, 33, 95–105. [Google Scholar] [CrossRef] [PubMed]
- Gazurek, D.; Spodaryk, K. Effect of extremely weak pulsed magnetic field type Bemer 3000 on ratings of perceived exertion. Biol. Sport 2008, 25, 147–165. [Google Scholar]
- López, J.A.; Zheng, Y. Synthetic microvessels. J. Thromb. Haemost. 2013, 11, 67–74. [Google Scholar] [CrossRef] [PubMed] [Green Version]
- Buchheit, M.; Racinais, S.; Bilsborough, J.C.; Bourdon, P.C.; Voss, S.C.; Hocking, J.; Cordy, J.; Mendez-Villanueva, A.; Coutts, A.J. Monitoring fitness, fatigue and running performance during a pre-season training camp in elite football players. J. Sci. Med. Sport 2013, 16, 550–555. [Google Scholar] [CrossRef]
- Samuels, C. Sleep, Recovery, and Performance: The New Frontier in High-Performance Athletics. Neurol. Clin. 2008, 26, 169–180. [Google Scholar] [CrossRef] [PubMed]
- Grote, V.; Lackner, H.; Kelz, C.; Trapp, M.; Aichinger, F.; Puff, H.; Moser, M. Short-term effects of pulsed electromagnetic fields after physical exercise are dependent on autonomic tone before exposure. Eur. J. Appl. Physiol. 2007, 101, 495–502. [Google Scholar] [CrossRef]
- de Waal, S.J.; Gomez-Ezeiza, J.; Venter, R.E.; Lamberts, R.P. Physiological Indicators of Trail Running Performance: A Systematic Review. Int. J. Sports Physiol. Perform. 2021, 16, 325–332. [Google Scholar] [CrossRef]
- Sanchez, K.R. Physiological Adaptations to Training and Associations with Performance in Division I Cross-Country Runners. Master’s Thesis, Eastern Washington University, Cheney, WA, USA, 2020. [Google Scholar]
- Baumann, C.W.; Wetter, T.J. Aerobic And Anaerobic Changes In Collegiate Male Runners Across A Cross-County Season. Int. J. Exerc. Sci. 2010, 3, 225–232. [Google Scholar]
- Costill, D.L.; Thomason, H.; Roberts, E. Fractional utilization of the aerobic capacity during distance running. Med. Sci. Sport. Exerc. 1973, 5, 248–252. [Google Scholar] [CrossRef]
- Milanović, Z.; Sporiš, G.; Weston, M. Effectiveness of High-Intensity Interval Training (HIT) and Continuous Endurance Training for VO2max Improvements: A Systematic Review and Meta-Analysis of Controlled Trials. Sport. Med. 2015, 45, 1469–1481. [Google Scholar] [CrossRef]
- Caiozzo, V.J.; Davis, J.A.; Ellis, J.F.; Azus, J.L.; Vandagriff, R.; Prietto, C.A.; McMaster, W.C. A comparison of gas exchange indices used to detect the anaerobic threshold. J. Appl. Physiol. 1982, 53, 1184–1189. [Google Scholar] [CrossRef] [Green Version]
- Moulton, L.h. Covariate-based constrained randomization of group-randomized trials. Clin. Trials 2004, 1, 297–305. [Google Scholar] [CrossRef]
- Peng, L.; Fu, C.; Liang, Z.; Zhang, Q.; Xiong, F.; Chen, L.; He, C.; Wei, Q. Pulsed Electromagnetic Fields Increase Angiogenesis and Improve Cardiac Function After Myocardial Ischemia in Mice. Circ. J. 2020, 84, 186–193. [Google Scholar] [CrossRef]
- Pan, Y.; Dong, Y.; Hou, W.; Ji, Z.; Zhi, K.; Yin, Z.; Wen, H.; Chen, Y. Effects of PEMF on microcirculation and angiogenesis in a model of acute hindlimb ischemia in diabetic rats. Bioelectromagnetics 2013, 34, 180–188. [Google Scholar] [CrossRef]
- Delle Monache, S.; Alessandro, R.; Iorio, R.; Gualtieri, G.; Colonna, R. Extremely low frequency electromagnetic fields (ELF-EMFs) induce in vitro angiogenesis process in human endothelial cells. Bioelectromagnetics 2008, 29, 640–648. [Google Scholar] [CrossRef] [PubMed]
- Peng, L.; Fu, C.; Wang, L.; Zhang, Q.; Liang, Z.; He, C.; Wei, Q. The Effect of Pulsed Electromagnetic Fields on Angiogenesis. Bioelectromagnetics 2021, 42, 250–258. [Google Scholar] [CrossRef]
- Richardson, R.S.; Noyszewski, E.A.; Kendrick, K.F.; Leigh, J.S.; Wagner, P.D. Myoglobin O2 desaturation during exercise. Evidence of limited O2 transport. J. Clin. Investig. 1995, 96, 1916–1926. [Google Scholar] [CrossRef] [PubMed] [Green Version]
- Hao, C.-N.; Huang, J.-J.; Shi, Y.-Q.; Cheng, X.-W.; Li, H.-Y.; Zhou, L.; Guo, X.-G.; Li, R.-L.; Lu, W.; Zhu, Y.-Z.; et al. Pulsed electromagnetic field improves cardiac function in response to myocardial infarction. Am. J. Transl. Res. 2014, 6, 281–290. [Google Scholar]
- Sharon, T.A. An Investigation of the Effects of Pulsed Electromagnetic Field Therapy on Plantar Skin Blood Perfusion in People with Diabetes Mellitus Type 2: A Pilot Study. Ph.D. Thesis, Brandman University, Irvine, CA, USA, 2015. [Google Scholar]
- Wade, B. A Review of Pulsed Electromagnetic Field (PEMF) Mechanisms at a Cellular Level: A Rationale for Clinical Use. Am. J. Health Res. 2013, 1, 51. [Google Scholar] [CrossRef]
- Bekhite, M.M.; Finkensieper, A.; Abou–Zaid, F.A.; El-Shourbagy, I.K.; Omar, K.M.; Figulla, H.-R.; Sauer, H.; Wartenberg, M. Static Electromagnetic Fields Induce Vasculogenesis and Chondro-Osteogenesis of Mouse Embryonic Stem Cells by Reactive Oxygen Species-Mediated Up-Regulation of Vascular Endothelial Growth Factor. Stem Cells Dev. 2010, 19, 731–743. [Google Scholar] [CrossRef]
- Varani, K.; Vincenzi, F.; Ravani, A.; Pasquini, S.; Merighi, S.; Gessi, S.; Setti, S.; Cadossi, M.; Borea, P.A.; Cadossi, R. Adenosine Receptors as a Biological Pathway for the Anti-Inflammatory and Beneficial Effects of Low Frequency Low Energy Pulsed Electromagnetic Fields. Mediat. Inflamm. 2017, 2017, 1–11. [Google Scholar] [CrossRef]


| Day | Distance | Time | AltitudeMin | AltitudeMax | AltitudeAvg | SpeedAvg |
|---|---|---|---|---|---|---|
| m | mins | m | m | m | m/s | |
| Day 1 | 16,093.44 | 74 | 1007.36 | 1205.79 | 1106.58 | 3.62 |
| Day 2 | 16,093.44 | 71 | 753.77 | 809.85 | 781.81 | 3.78 |
| Day 3 | 19,312.13 | 76.5 | 892.30 | 902.82 | 897.5598 | 4.21 |
| Day 4 | 19,312.13 | 87 | 667.82 | 822.05 | 744.93 | 3.70 |
| Day 5 | 16,415.31 | 77 | 1061.31 | 1388.36 | 1224.84 | 3.55 |
| Day 6 | 11,265.41 | 66 | 904.95 | 1157.33 | 1031.14 | 2.84 |
| PEMF | CON | ||||||||
|---|---|---|---|---|---|---|---|---|---|
| Pre | Post | MD | 95% CI | Pre | Post | MD | 95% CI | ||
| AbsVO2Peak | L/min | 4.35 ± 0.52 | 4.27 ± 0.63 | −0.08 ± 0.07 | −0.23 to 0.07 | 4.75 ± 0.66 | 4.68 ± 0.65 | −0.07 ± 0.08 | −0.24 to 0.10 |
| RelVO2Peak | mL/kg/min | 72.40 ± 6.67 | 70.94 ± 6.03 | −1.46 ± 1.06 | −3.77 to 0.84 | 74.10 ± 4.28 | 72.82 ± 3.32 | −1.28 ± 1.22 | −3.94 to 1.38 |
| VE | L/min | 150.98 ± 13.00 | 146.58 ± 17.78 | −4.4 ± 2.62 | −10.11 to 1.31 | 162.96 ± 12.58 | 167.00 ± 14.30 | 4.04 ± 3.03 | −2.55 to 10.64 |
| VTAbs | L/min | 3.14 ± 0.39 | 3.80 ± 0.57 * | 0.66 ± 0.15 | 0.33 to 1.00 | 3.64 ± 0.57 | 4.01 ± 0.54 | 0.37 ± 0.18 | −0.02 to 0.75 |
| VTRel | % of RelVO2Peak | 72.38 ± 7.14 | 88.95 ± 2.41 * | 16.58 ± 2.95 | 10.16 to 22.99 | 76.97 ± 10.07 | 85.72 ± 4.19 ^ | 8.75 ± 3.40 | 1.34 to 16.16 |
| HRMax | Beats/min | 189.63 ± 10.88 | 184.88 ± 10.08 * | −4.75 ± 1.37 | −7.74 to −1.76 | 194.67 ± 9.87 | 189.33 ± 11.38 * | −5.33 ± 1.58 | −8.79 to −1.88 |
| HRVT | Beats/min | 164.50 ± 14.02 | 176.00 ± 10.56 * | 11.50 ± 3.75 | 3.33 to 19.67 | 173.83 ± 15.50 | 176.17 ± 12.64 | 2.33 ± 4.33 | −7.10 to 11.77 |
| RRMax | Breaths/min | 62.56 ± 3.62 | 64.02 ± 4.33 | 1.46 ± 1.23 | −1.22 to 4.14 | 59.18 ± 7.22 | 59.97 ± 7.79 | 0.78 ± 1.42 | −2.31 to 3.88 |
| RRVT | Breaths/min | 44.69 ± 8.10 | 54.04 ± 4.29 * | 9.35 ± 2.53 | 0.01 to 3.84 | 41.09 ± 5.97 | 49.89 ± 8.66 * | 8.80 ± 2.92 | 2.44 to 15.16 |
Publisher’s Note: MDPI stays neutral with regard to jurisdictional claims in published maps and institutional affiliations. |
© 2021 by the authors. Licensee MDPI, Basel, Switzerland. This article is an open access article distributed under the terms and conditions of the Creative Commons Attribution (CC BY) license (https://creativecommons.org/licenses/by/4.0/).
Share and Cite
Tamulevicius, N.; Wadhi, T.; Oviedo, G.R.; Anand, A.S.; Tien, J.-J.; Houston, F.; Vlahov, E. Effects of Acute Low-Frequency Pulsed Electromagnetic Field Therapy on Aerobic Performance during a Preseason Training Camp: A Pilot Study. Int. J. Environ. Res. Public Health 2021, 18, 7691. https://doi.org/10.3390/ijerph18147691
Tamulevicius N, Wadhi T, Oviedo GR, Anand AS, Tien J-J, Houston F, Vlahov E. Effects of Acute Low-Frequency Pulsed Electromagnetic Field Therapy on Aerobic Performance during a Preseason Training Camp: A Pilot Study. International Journal of Environmental Research and Public Health. 2021; 18(14):7691. https://doi.org/10.3390/ijerph18147691
Chicago/Turabian StyleTamulevicius, Nauris, Tanuj Wadhi, Guillermo R. Oviedo, Ashmeet S. Anand, Jung-Jung Tien, Fraser Houston, and Eric Vlahov. 2021. "Effects of Acute Low-Frequency Pulsed Electromagnetic Field Therapy on Aerobic Performance during a Preseason Training Camp: A Pilot Study" International Journal of Environmental Research and Public Health 18, no. 14: 7691. https://doi.org/10.3390/ijerph18147691
APA StyleTamulevicius, N., Wadhi, T., Oviedo, G. R., Anand, A. S., Tien, J.-J., Houston, F., & Vlahov, E. (2021). Effects of Acute Low-Frequency Pulsed Electromagnetic Field Therapy on Aerobic Performance during a Preseason Training Camp: A Pilot Study. International Journal of Environmental Research and Public Health, 18(14), 7691. https://doi.org/10.3390/ijerph18147691

