Assessment of Water Quality in A Tropical Reservoir in Mexico: Seasonal, Spatial and Multivariable Analysis
Abstract
1. Introduction
2. Materials and Methods
2.1. Study Area
2.2. Water Sampling and Analysis
2.3. Water Quality Assessment.
2.3.1. Descriptive Analysis
2.3.2. Spatial Analysis
2.3.3. Temporal Analysis
2.3.4. Multivariate Statistical Methods
2.4. Comprehensive Evaluation of Water Quality
3. Results and Discussion
3.1. Hydroclimatological Conditions
3.2. Water Quality Assessment.
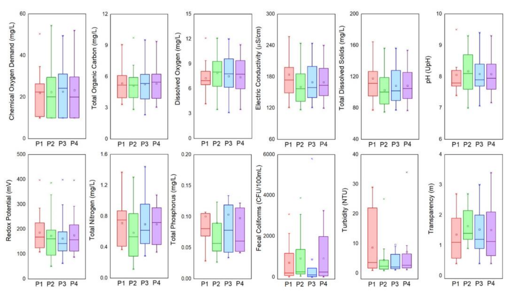
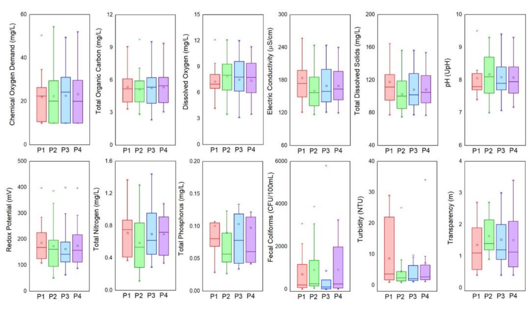
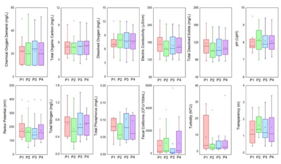
3.2.1. Descriptive Analysis.
3.2.2. Spatial Analysis.
3.2.3. Temporal analysis.
3.2.4. Multivariate Statistical Analysis
3.3. Comprehensive Evaluation of Water Quality
4. Conclusions
Supplementary Materials
Author Contributions
Funding
Institutional Review Board Statement
Informed Consent Statement
Acknowledgments
Conflicts of Interest
References
- Sajeev, S.; Sekar, S.; Kumar, B.; Senapathi, V.; Chung, S.Y.; Gopalakrishnan, G. Variations of water quality deterioration based on GIS techniques in surface and groundwater resources in and around Vembanad lake, Kerala, India. Chem. Erde. 2020, 80, 125626. [Google Scholar] [CrossRef]
- Bouaroudj, S.; Menad, A.; Bounamous, A.; Ali-Khodja, H.; Gherib, A.; Weigel, D.E.; Chenchouni, H. Assessment of water quality at the largest dam in Algeria (Beni Haroun dam) and effects of irrigation on soil characteristics of agricultural lands. Chemosphere 2019, 219, 76–88. [Google Scholar] [CrossRef] [PubMed]
- He, J.; Wu, X.; Zhang, Y.; Zheng, B.; Meng, D.; Zhou, H.; Shao, Z.; Deng, W.; Lu, L.; Qin, Y. Management of water quality targets based on river-lake water quality response relationships for lake basins – A case study of Dianchi lake. Environ. Res. 2020, 186, 109479–109479. [Google Scholar] [CrossRef]
- Han, Q.; Tong, R.; Sun, W.; Zhao, Y.; Yu, J.; Wang, G.; Jin, Y. Anthropogenic influences on the water quality of the Baiyangdian lake in north China over the last decade. Sci. Total Environ. 2020, 701, 134929. [Google Scholar] [CrossRef] [PubMed]
- Geng, M.; Wang, K.; Yang, N.; Li, F.; Zou, Y.; Chen, X.; Xie, Y. Evaluation and variation trends analysis of water quality in response to water regime changes in a typical river-connected lake (Dongting lake), China. Environ. Pollut. 2020, 268, 115761–115761. [Google Scholar] [CrossRef]
- Li, D.; Liu, S. Water Quality Detection for Lakes. Water Quality Monitoring and Management. Academic Press: Cambridge, MA, USA, 2019; pp. 221–231. [Google Scholar] [CrossRef]
- Rangel-Peraza, J.G.; de Anda, J.; González-Farias, F.; Erickson, D. Statistical assessment of water quality seasonality in large tropical reservoirs. Lakes and Reservoirs: Research and Management 2009, 14, 315–323. [Google Scholar] [CrossRef]
- Bern, C.; Holmberg, M.; Kisfalusi, Z. Effects of John Martin Dam, Colorado on water quality and quantity: Assessment by chemical, isotopic, and mass-balance methods. J. Hydrol. 2020, 7, 100051. [Google Scholar]
- Varol, M. Spatio-temporal changes in surface water quality and sediment phosphorus content of a large dam in Turkey. Environ. Pollut. 2020, 259, 113860. [Google Scholar] [CrossRef]
- Yaghoubi, B.; Hosseini, S. A.; Nazif, S.; Daghighi, A. Development of dam’s optimum operation rules considering water quality issues and climatic change data analysis. Sustain. Cities Soc. 2020, 63, 102467. [Google Scholar] [CrossRef]
- Roșca, O.M.; Dippong, T.; Marian, M.; Mihali, C.; Mihalescu, L.; Hoaghia, M.; Jelea, M. Impact of anthropogenic activities on water quality parameters of glacial lakes from Rodnei mountains, Romania. Environ. Res. 2020, 182, 109136. [Google Scholar] [CrossRef]
- Korkanç, Y.; Kayıkç, S.; Korkanç, M. Evaluation of spatial and temporal water quality in the Akkaya dam watershed (niğde, turkey) and management implications. J. Afr. Earth Sci. 2017, 129, 481–491. [Google Scholar] [CrossRef]
- Sekaluvu, L.; Zhang, L.; Gitau, M. Evaluation of constraints to water quality improvements in the western lake Erie basin. J. Environ. Manage. 2018, 205, 85–98. [Google Scholar] [CrossRef] [PubMed]
- Muñoz-Nájera, M.A.; Tapia-Silva, F.O.; Barrera-Escorcia, G.; Ramírez-Romero, P. Statistical and geostatistical spatial and temporal variability of physico-chemical parameters, nutrients, and contaminants in the Tenango dam, Puebla, Mexico. J. Geochem. Explor. 2020, 209, 106435. [Google Scholar] [CrossRef]
- Rocha, J.; Carvalho-Santos, C.; Diogo, P.; Beça, P.; Keizer, J.J.; Nunes, J.P. Impacts of climate change on dam water availability, quality and irrigation needs in a water scarce mediterranean region (southern Portugal). Sci. Total Environ. 2020, 736, 139477. [Google Scholar] [CrossRef] [PubMed]
- Vasistha, P.; Ganguly, R. Water quality assessment of natural lakes and its importance: An overview. Mater. Today 2020. [Google Scholar] [CrossRef]
- Loucif, K.; Menasria, T.; Cherif, M.; Houhamdi, M.; Chenchouni, H. Physico-chemical and bacteriological quality assessment of surface water at Lake Tonga in Algeria. Environ. Nanotechnol. Monit. Manag. 2020, 13, 100284. [Google Scholar] [CrossRef]
- Beltrán, A.R.; Sánchez, P.J.; Arroyo, B.G. Diagnóstico limnológico y pesquero de los principales embalses de Sinaloa. Editorial Cámara de Diputados, 2015. Available online: http://biblioteca.diputados.gob.mx/janium/bv/cedrssa/lxii/diag_limpes_prinemb_sin.pdf (accessed on 1 July 2021).
- Abarca, F.J. Técnicas para evaluación y monitoreo del estado de los humedales y otros ecosistemas acuáticos. In: Manual para el manejo y conservación de los humedales en México (eds F. J. Abarca and M. Herzig) 2002, 113–44. INE-SEMARNAT, Arizona Game & Fish Department, Phoenix, USA. 202, pp. 113–144. Available online: http://www2.inecc.gob.mx/publicaciones2/libros/533/tecnicas.pdf (accessed on 1 July 2021).
- Messina, N.J.; Couture, R.; Norton, S.A.; Birkel, S.D.; Amirbahman, A. Modeling response of water quality parameters to land-use and climate change in a temperate, mesotrophic lake. Sci. Total Environ. 2020, 713, 136549. [Google Scholar] [CrossRef]
- Chang, N.; Luo, L.; Wang, X.C.; Song, J.; Han, J.; Ao, D. A novel index for assessing the water quality of urban landscape lakes based on water transparency. Sci. Total Environ. 2020, 735, 139351. [Google Scholar] [CrossRef]
- Awang, H.; Daud, Z.; Hatta, M.Z. Hydrology Properties and Water Quality Assessment of the Sembrong Dam, Johor, Malaysia. Procedia Soc. Behav. Sci. 2015, 195, 2868–2873. [Google Scholar] [CrossRef]
- Li, B.; Wan, R.; Yang, G.; Wang, S.; Wagner, P.D. Exploring the spatiotemporal water quality variations and their influencing factors in a large floodplain lake in China. Ecol. Indic. 2020, 115, 106454. [Google Scholar] [CrossRef]
- Saber, A.; James, D.E.; Hannoun, I.A. Effects of lake water level fluctuation due to drought and extreme winter precipitation on mixing and water quality of an alpine lake, case study: Lake Arrowhead, California. Sci. Total Environ. 2020, 714, 136762. [Google Scholar] [CrossRef] [PubMed]
- Azevêdo, E.; Medeiros, C.R.; Gomes, W.I.; Azevêdo, D.; Alves, R.R.; Dias, T.L.; Molozzi, J. The use of risk incidence and diversity indices to evaluate water quality of semi-arid dams. Ecol. Indic. 2018, 90, 90–100. [Google Scholar] [CrossRef]
- Luo, Z.; Shao, Q.; Zuo, Q.; Cui, Y. Impact of land use and urbanization on river water quality and ecology in a dam dominated basin. J. Hydrol. 2020, 584, 124655. [Google Scholar] [CrossRef]
- Brainwood, M.A.; Burgin, S.; Maheshwari, B. Temporal variations in water quality of farm dams: Impacts of land use and water sources. Agric. Water Manag. 2004, 70, 151–175. [Google Scholar] [CrossRef]
- Lopes, M.C. , Mello A.L., Lopes M.B., Martins M.V., Araújo R.C., Farias R., Torres N.E., Sanches L.F., Leal F.A., Tarlé T.C. A case study of factors controlling water quality in two warm monomictic tropical reservoirs located in contrasting agricultural watersheds. Sci. Total Environ. 2021, 762, 144511. [Google Scholar] [CrossRef]
- Pérez-Coyotl, I.; Galar-Martínez, M.; García-Medina, S.; Gómez-Oliván, L. M.; Gasca- Pérez, E.; Martínez-Galero, E.; Sánchez-Aceves, L. M. Polluted water from an urban reservoir (Madín dam, México) induces toxicity and oxidative stress in Cyprinus carpio embryos. Environ. Pollut. 2019. [Google Scholar] [CrossRef]
- Quevedo-Castro, A.; Rangel-Peraza, J.G.; Bandala, E.; Amabilis-Sosa, L.; Rodríguez-Mata, A.; Bustos-Terrones, Y. Developing a water quality index in a tropical dam using a measure of multiparameters. J. Water Sanit. Hyg. De. 2018, 8, 752–766. [Google Scholar] [CrossRef]
- Comisión Nacional del Agua. Gobierno de México. Mexican Standards on Water Analysis for natural, drinking, waste and treated wastewater. Available online: https://www.gob.mx/conagua/acciones-y-programas/normas-mexicanas-83266 (accessed on 30 June 2021).
- Bartier, P.M.; Keller, C.P. Multivariate interpolation to incorporate thematic surface data using inverse distance weighting (IDW). Comput and Geosci. 1996, 22(7), 795–799. [Google Scholar] [CrossRef]
- Koirala, S.R.; Gentry, R.W.; Perfect, E.; Schwartz, J.S.; Sayler, G.S. Temporal Variation and Persistence of Bacteria in Streams. J Environ Qual. 2008, 37, 1559–1566. [Google Scholar] [CrossRef]
- Wang, J.; Yang, C.; He, L.; Dao, G.; Du, J.; Han, Y.; Wu, G.; Wu, Q.; Hu, H. Meteorological factors and water quality changes of plateau lake Dianchi in China (1990–2015) and their joint influences on cyanobacterial blooms. Sci. Total Environ. 2019, 665, 406–418. [Google Scholar] [CrossRef] [PubMed]
- Pan, Y.; Yuan, Y.; Sun, T.; Wang, Y.; Xie, Y.; Fan, Z. Are the Water Quality Improvement Measures of China’s South-to-North Water Diversion Project Effective? A Case Study of Xuzhou Section in the East Route. Int. J. Environ. Res. Public Health 2020, 17, 6388. [Google Scholar] [CrossRef]
- Frîncu, R.M. Long-Term Trends in Water Quality Indices in the Lower Danube and Tributaries in Romania (1996–2017). Int. J. Environ. Res. Public Health 2021, 18, 1665. [Google Scholar] [CrossRef]
- Liu, L.; Qi, S.; Wang, W. Groundwater Quality in Agricultural Lands Near a Rapidly Urbanized Area, South China. Int. J. Environ. Res. Public Health 2021, 18, 1783. [Google Scholar] [CrossRef]
- Yang, W.; Zhao, Y.; Wang, D.; Wu, H.; Lin, A.; He, L. Using Principal Components Analysis and IDW Interpolation to Determine Spatial and Temporal Changes of Surface Water Quality of Xin’anjiang River in Huangshan, China. Int. J. Environ. Res. Public Health 2020, 17, 2942. [Google Scholar] [CrossRef]
- Tibebe, D.; Kassa, Y.; Melaku, A.; Lakew, S. Investigation of spatio-temporal variations of selected water quality parameters and trophic status of lake tana for sustainable management, Ethiopia. Microchem. J. 2019, 148, 374–384. [Google Scholar] [CrossRef]
- Shi, R.; Zhao, J.; Shi, W.; Song, S.; Wang, C. Comprehensive Assessment of Water Quality and Pollution Source Apportionment in Wuliangsuhai Lake, Inner Mongolia, China. Int. J. Environ. Res. Public Health 2020, 17, 5054. [Google Scholar] [CrossRef] [PubMed]
- Zhao, Y.; Xia. ; Yang, Z.; Wang, F. Assessment of water quality in Baiyangdian Lake using multivariate statistical techniques. Procedia Environ. Sci. 2012, 13, 1213–1226. [Google Scholar] [CrossRef]
- Zhan, L. Different methods for the evaluation of surface water quality: The Case of the Liao River, Liaoning Province, China. Int. Rev. Spat. Plan. Sustain. Dev. 2017, 5, 4–18. [Google Scholar]
- Yang, L. Fuzzy evaluation of water quality based on micronucleus technology of vicia faba root tip. Math. Probl. Eng. 2019, 1–6. [Google Scholar] [CrossRef]
- Li, X.; He, H.; Sun, Q. The shallow groundwater pollution’s assessment of west Liaohe plain (eastern). J. chem. Pharm. Res. 2013, 5, 290–295. [Google Scholar]
- Quevedo-Castro, A. , Lopez, J., Rangel-Peraza, J., Bandala, E., Bustos-Terrones, Y. Study of the water quality of a tropical reservoir. Environments 2019, 6, 7. [Google Scholar] [CrossRef]
- Davraz, A.; Sener, E.; Sener, S. Evaluation of climate and human effects on the hydrology and water quality of burdur lake, turkey. J. Afr. Earth Sci. 2019, 158, 103569. [Google Scholar] [CrossRef]
- Quinn, R.; Rushton, K.; Parker, A. An examination of the hydrological system of a sand dam during the dry season leading to water balances. J. Hydrol. 2019, 4, 100035. [Google Scholar] [CrossRef]
- Mesquita, J.B.; Lima, I.E.; Raabe, A.; de Araújo, J.C. The influence of hydroclimatic conditions and water quality on evaporation rates of a tropical lake. J. Hydrol. 2020, 590, 125456. [Google Scholar] [CrossRef]
- Me, W.; Hamilton, D.; McBride, C.; Abell, J.; Hicks, B. Modelling hydrology and water quality in a mixed land use catchment and eutrophic lake: Effects of nutrient load reductions and climate change. Environ. Model. Softw. 2018, 109, 114–133. [Google Scholar] [CrossRef]
- Ignatius, A.; Rasmussen, T. Small dam effects on headwater water quality in therural-urban fringe, Georgia Piedmont, USA. J. Hydrol. Reg. 2016, 8, 145–161. [Google Scholar]
- Donia, N.; Bahgat, M. Water quality management for Lake Mariout. Ain Shams Eng. J. 2016, 7, 527–541. [Google Scholar] [CrossRef]
- Wang, J.; Fu, Z.; Qiao, H.; Liu, F. Assessment of eutrophication and water quality in the estuarine area of lake Wuli, Lake Taihu, China. Sci. Total Environ. 2019, 650, 1392–1402. [Google Scholar] [CrossRef] [PubMed]
- Zhou, Z.; Huang, T.; Ma, W.; Li, Y.; Zeng, K. Impacts of water quality variation and rainfall runoff on Jinpen Dam, in Northwest China. Water Sci. Eng. 2015, 8, 301–308. [Google Scholar] [CrossRef]
- Romeiro, N.; Castro, R.; Cirilo, E.; Natti, P. Local calibration of coliforms parameters of water quality problem at Igapó I Lake, Londrina, Paraná, Brazil. Ecol. Model. 2011, 222, 1888–1896. [Google Scholar] [CrossRef][Green Version]
- Jiang, J.; Zheng, Y.; Pang, T.; Wang, B.; Chachan, R.; &, *!!! REPLACE !!!*; Tian, Y. A comprehensive study on spectral analysis and anomaly detection of river water quality dynamics with high time resolution measurements. J. Hydrol. 2020, 589. [Google Scholar] [CrossRef]
- Rajwa-Kuligiewicz, A.; Bialik, R.J.; Rowiński, P.M. Dissolved oxygen and water temperature dynamics in lowland rivers over various timescales. J Hydrol Hydromech. 2015, 63(4), 353–363. [Google Scholar] [CrossRef]
- Guadayol, Ò.; Silbiger, N.J.; Donahue, M.J.; Thomas, F.I.M. Patterns in Temporal Variability of Temperature, Oxygen and pH along an Environmental Gradient in a Coral Reef. PLoS One 2014, 9. [Google Scholar] [CrossRef]








| Parameters | Units | Local Regulations | Present Study (Mean Value) | Other Studies | Ref. |
|---|---|---|---|---|---|
| Chlorophyll a | mg/m3 | - | 8.33 | 29.19 | [52] |
| 9.8 | [9] | ||||
| Total Organic Carbon | mg/L | 25 | 5.2745 | 2.5 | [53] |
| Biochemical Oxygen Demand | mg/L | 75 | 4.22 | 3.73 | [22] |
| 1.32 | [5] | ||||
| 6.01 | [51] | ||||
| Chemical Oxygen Demand | mg/L | 100 | 22.6023 | 34.98 | [51] |
| 301.76 | [12] | ||||
| 4.44 | [52] | ||||
| Ammonia | mg/L | 20 | 0.6739 | 0.18 | [22] |
| 0.26 | [5] | ||||
| Nitrates | mg/L | - | 0.01 | 0.55 | [14] |
| 0.44 | [12] | ||||
| 0.10 | [52] | ||||
| Nitrites | mg/L | - | 0.08 | 0.82 | [17] |
| 0.189 | [51] | ||||
| 0.005 | [14] | ||||
| Organic nitrogen | mg/L | 40 | 0.48 | 4.184 | [51] |
| Total nitrogen | mg/L | 20 | 0.6739 | 1.49 | [5] |
| 89.5 | [12] | ||||
| Total Phosphorus | mg/L | 12 | 0.0981333 | 0.09 | [5] |
| 0.157 | [51] | ||||
| 2.49 | [14] | ||||
| Ortho phosphates | µg/L | - | 0.03 | 5.81 | [17] |
| 0.03 | [52] | ||||
| Fecal coliforms | MPN/100 mL | 1000 | 853.017 | 11,000 | [54] |
| True color | Pt/Co | - | 19.41 | - | - |
| Transparency | m | - | 1.50817 | 0.55 | [52] |
| Total dissolved solids | mg/L | - | 109.467 | 1383 | [1] |
| 246.69 | [52] | ||||
| 500 | [16] | ||||
| Total Suspended Solids | mg/L | 20 | 31.53 | 17.2 | [22] |
| 101.94 | [12] | ||||
| Turbidity | NTU | - | 7.45967 | 9.58 | [17] |
| 77.11 | [12] | ||||
| Redox potential | mV | - | 174.705 | 90–350 | [27] |
| 101.94 | [12] | ||||
| Electric Conductivity | µS/cm | - | 171.045 | 1380 | [17] |
| 1049.5 | [12] | ||||
| 2160.8 | [1] | ||||
| Total hardness | mg CaCO3/L | - | 71.52 | 196.12 | [14] |
| 920 | [1] | ||||
| 200 | [16] | ||||
| pH | UpH | 6.5–8.5 | 8.08875 | 6.82 | [22] |
| 7.72 | [5] | ||||
| 8.06 | [12] | ||||
| Dissolved oxygen | mg/L | - | 7.47946 | 4.3 | [22] |
| 0.69 | [17] | ||||
| 13.18 | [14] | ||||
| Water temperature | °C | 35 | 27-31 | 21.5 | [51] |
| 17.95 | [12] |
| Variable | PC 1 | PC 2 | PC 3 | PC 4 | PC 5 | PC 6 | PC 7 | PC 8 | PC 9 | PC 10 |
|---|---|---|---|---|---|---|---|---|---|---|
| Cl-a | 0.093642 | −0.08079 | −0.256383 | −0.11115 | 0.442164 | −0.37555 | 0.165643 | −0.198969 | −0.233707 | 0.049873 |
| FC | 0.079252 | −0.04591 | 0.161651 | 0.283621 | 0.217865 | −0.09066 | 0.293433 | 0.519364 | −0.446964 | 0.235624 |
| TOC | 0.293138 | 0.127541 | −0.059318 | 0.038531 | 0.0538972 | −0.28805 | −0.091082 | −0.1177 | −0.067432 | −0.11705 |
| BOD | 0.042001 | −0.19675 | 0.351427 | −0.223067 | −0.185203 | −0.14144 | −0.109491 | 0.019477 | −0.334639 | 0.003483 |
| COD | 0.109562 | −0.17085 | 0.169393 | −0.24709 | −0.028079 | 0.111502 | −0.554146 | −0.025284 | −0.183265 | 0.428234 |
| NH3 | 0.017003 | 0.072504 | −0.243513 | 0.0831134 | −0.470178 | −0.33534 | −0.203399 | −0.138189 | −0.448654 | −0.23007 |
| NO2 | 0.216122 | −0.00818 | −0.25849 | 0.0593796 | −0.13165 | 0.456893 | 0.15635 | −0.098924 | −0.216865 | 0.128716 |
| NO3 | 0.35154 | 0.002797 | −0.018794 | 0.0859606 | −0.102378 | 0.224842 | 0.167402 | 0.003526 | −0.015972 | −0.06025 |
| N-Org | −0.01671 | 0.251032 | 0.483505 | −0.041062 | 0.099928 | −0.13352 | 0.010985 | −0.166192 | 0.190377 | 0.063674 |
| TN | 0.16313 | 0.279022 | 0.382432 | 0.0319605 | −0.121184 | −0.13178 | 0.026129 | −0.217264 | 0.020167 | −0.03942 |
| TP | 0.345179 | 0.007821 | −0.109822 | 0.083719 | −0.0823408 | −0.00098 | −0.12557 | −0.104184 | 0.110346 | 0.235091 |
| O-PO4 | 0.193558 | −0.12779 | 0.0965129 | −0.272364 | 0.0554454 | −0.06736 | 0.441099 | −0.394754 | −0.043425 | 0.248274 |
| TC | 0.334995 | −0.02744 | 0.136476 | 0.061004 | −0.160985 | 0.005661 | 0.125513 | 0.266404 | 0.066588 | −0.21787 |
| Trans | −0.18421 | −0.22460 | −0.17536 | −0.227029 | −0.225287 | −0.18441 | 0.267344 | −0.026372 | 0.105945 | 0.292235 |
| TDS | −0.04327 | 0.41796 | 0.003925 | −0.24717 | 0.00611645 | 0.243933 | 0.097429 | −0.036629 | −0.193714 | 0.032304 |
| TSS | 0.356304 | 0.022048 | −0.107402 | 0.100228 | −0.0575834 | 0.018721 | −0.117571 | −0.056193 | 0.006652 | 0.243823 |
| Turb | 0.345226 | −0.02429 | 0.192403 | 0.047943 | −0.004730 | −0.02786 | 0.048495 | 0.148968 | 0.0711072 | −0.05476 |
| RP | 0.266409 | 0.036175 | −0.160538 | 0.061433 | 0.396313 | −0.07019 | −0.181032 | −0.142109 | 0.148797 | −0.14274 |
| EC | −0.04328 | 0.41796 | 0.003929 | −0.247165 | 0.006119 | 0.243934 | 0.097421 | −0.036628 | −0.193708 | 0.03231 |
| Hard | 0.040492 | 0.212772 | −0.083059 | −0.361879 | 0.319424 | −0.05047 | −0.174383 | 0.278312 | −0.203139 | −0.12273 |
| pH | −0.1785 | 0.166988 | 0.138901 | 0.414444 | −0.0492071 | −0.16648 | 0.124452 | −0.190678 | −0.194629 | 0.13992 |
| DO | −0.1717 | 0.101235 | 0.00265046 | 0.441366 | 0.220383 | 0.165802 | −0.214601 | −0.193923 | −0.109769 | 0.270465 |
| RT | 0.032146 | 0.297811 | −0.154259 | −0.04490 | −0.138326 | −0.30507 | −0.045245 | 0.365422 | 0.287046 | 0.471987 |
| WT | 0.012042 | 0.411747 | −0.225532 | 0.008933 | −0.162245 | −0.11790 | 0.0704453 | 0.0234009 | 0.068275 | 0.029991 |
| Eigenvalue | 6.36643 | 3.98247 | 2.58991 | 2.34522 | 1.61355 | 1.17261 | 1.11478 | 0.866124 | 0.726191 | 0.672713 |
| Explained variance (%) | 26.527 | 16.594 | 10.791 | 9.772 | 6.723 | 4.886 | 4.645 | 3.609 | 3.026 | 2.803 |
| Cumulative % of variance | 26.527 | 43.12 | 53.912 | 63.683 | 70.407 | 75.292 | 79.937 | 83.546 | 86.572 | 89.375 |
| Sampling Point | p Value | Classification Water Quality |
|---|---|---|
| Dry season | ||
| SP1 | 0.3397 | Sub-cleanness |
| SP2 | 0.3104 | Sub-cleanness |
| SP3 | 0.3825 | Sub-cleanness |
| SP4 | 0.3058 | Sub-cleanness |
| Rainy season | ||
| SP1 | 0.3650 | Sub-cleanness |
| SP2 | 0.4173 | Slight pollution |
| SP3 | 0.3619 | Sub-cleanness |
| SP4 | 0.3825 | Sub-cleanness |
Publisher’s Note: MDPI stays neutral with regard to jurisdictional claims in published maps and institutional affiliations. |
© 2021 by the authors. Licensee MDPI, Basel, Switzerland. This article is an open access article distributed under the terms and conditions of the Creative Commons Attribution (CC BY) license (https://creativecommons.org/licenses/by/4.0/).
Share and Cite
Loaiza, J.G.; Rangel-Peraza, J.G.; Sanhouse-García, A.J.; Monjardín-Armenta, S.A.; Mora-Félix, Z.D.; Bustos-Terrones, Y.A. Assessment of Water Quality in A Tropical Reservoir in Mexico: Seasonal, Spatial and Multivariable Analysis. Int. J. Environ. Res. Public Health 2021, 18, 7456. https://doi.org/10.3390/ijerph18147456
Loaiza JG, Rangel-Peraza JG, Sanhouse-García AJ, Monjardín-Armenta SA, Mora-Félix ZD, Bustos-Terrones YA. Assessment of Water Quality in A Tropical Reservoir in Mexico: Seasonal, Spatial and Multivariable Analysis. International Journal of Environmental Research and Public Health. 2021; 18(14):7456. https://doi.org/10.3390/ijerph18147456
Chicago/Turabian StyleLoaiza, Juan G., Jesús Gabriel Rangel-Peraza, Antonio Jesús Sanhouse-García, Sergio Alberto Monjardín-Armenta, Zuriel Dathan Mora-Félix, and Yaneth A. Bustos-Terrones. 2021. "Assessment of Water Quality in A Tropical Reservoir in Mexico: Seasonal, Spatial and Multivariable Analysis" International Journal of Environmental Research and Public Health 18, no. 14: 7456. https://doi.org/10.3390/ijerph18147456
APA StyleLoaiza, J. G., Rangel-Peraza, J. G., Sanhouse-García, A. J., Monjardín-Armenta, S. A., Mora-Félix, Z. D., & Bustos-Terrones, Y. A. (2021). Assessment of Water Quality in A Tropical Reservoir in Mexico: Seasonal, Spatial and Multivariable Analysis. International Journal of Environmental Research and Public Health, 18(14), 7456. https://doi.org/10.3390/ijerph18147456

