Geochemical Baseline Establishment and Source-Oriented Ecological Risk Assessment of Heavy Metals in Lime Concretion Black Soil from a Typical Agricultural Area
Abstract
:1. Introduction
2. Materials and Methods
2.1. Study Area
2.2. Sample Collection and Analytical Method
2.3. Calculation Methods of GBV
2.4. PMF Receptor Model
2.5. Potential Ecological Risk Assessment
2.6. Data Statistical Analysis
3. Results and Discussion
3.1. General Descriptions of HM Concentrations in the Surface Soils
3.2. GBVs Determination
3.3. Source Analysis by PMF
3.4. Potential Ecological Risk Assessment
3.5. Source Apportionment of Ecological Risk
4. Conclusions
Author Contributions
Funding
Institutional Review Board Statement
Informed Consent Statement
Data Availability Statement
Acknowledgments
Conflicts of Interest
References
- Hu, J.; Wu, F.; Wu, S.; Sun, X.; Lin, X.; Wong, M.H. Phytoavailability and phytovariety codetermine the bioaccumulation risk of heavy metal from soils, focusing on Cd-contaminated vegetable farms around the Pearl River Delta, China. Ecotoxicol. Environ. Saf. 2013, 91, 18–24. [Google Scholar] [CrossRef] [PubMed]
- Cai, L.M.; Wang, Q.S.; Jie, L.; Chen, L.G.; Zhu, R.L.; Wang, S.; Tang, C.H. Heavy metal contamination and health risk as-sessment for children near a large Cu-smelter in central China. Sci. Total Environ. 2018, 650, 725–733. [Google Scholar] [CrossRef]
- Naila, A.; Meerdink, G.; Jayasena, V.; Sulaiman, A.Z.; Berta, G. A review on global metal accumulators—mechanism, en-hancement, commercial application, and research trend. Environ. Sci. Pollut. Res. 2019, 26, 26449–26471. [Google Scholar] [CrossRef] [PubMed]
- Zeng, L.; Zhou, F.; Zhang, X.; Qin, J.; Li, H. Distribution of heavy metals in soils and vegetables and health risk assessment in the vicinity of three contaminated sites in Guangdong Province, China. Hum. Ecol. Risk Assess. 2018, 24, 1901–1915. [Google Scholar] [CrossRef]
- Reimann, C.; Garrett, R.G. Geochemical background—concept and reality. Sci. Total Environ. 2005, 350, 12–27. [Google Scholar] [CrossRef]
- Gałuszka, A. A review of geochemical background concepts and an example using data from Poland. Environ. Earth Sci. 2006, 52, 861–870. [Google Scholar] [CrossRef]
- Karim, Z.; Qureshi, B.A.; Mumtaz, M. Geochemical baseline determination and pollution assessment of heavy metals in urban soils of Karachi, Pakistan. Ecol. Indic. 2015, 48, 358–364. [Google Scholar] [CrossRef]
- Niu, S.; Gao, L.; Wang, X. Characterization of contamination levels of heavy metals in agricultural soils using geochemical baseline concentrations. J. Soils Sediments 2018, 19, 1697–1707. [Google Scholar] [CrossRef]
- Tack, H.; Vanhaesebroeck, T.; Verloo, M.; Van, R.K.; Van, R.E. Mercury baseline levels in Flemish soils (Belgium). Environ. Pollut. 2005, 134, 173–179. [Google Scholar] [CrossRef] [Green Version]
- Ballesta, R.J.; Bueno, P.C.; Rubi, J.A.M.; Giménez, R.G. Pedo-geochemical baseline content levels and soil quality reference values of trace elements in soils from the Mediterranean (Castilla La Mancha, Spain). Open Geosci. 2010, 2, 441–454. [Google Scholar] [CrossRef]
- Darnley, A.G. A global geochemical reference network: The foundation for geochemical baselines. J. Geochem. Explor. 1997, 60, 1–5. [Google Scholar] [CrossRef]
- Reimann, C. Agricultural soils in Northern Europe: A geochemical atlas. Acta Agric. Scand. 2003, 62, 181–198. [Google Scholar]
- Bravo, S.; Efrén, G.; Francisco, J.G.; José, A.; Caridad, P.; Raimundo, J.; José, M.; Eva, M.G.; Pablo, H. Geochemical distribution of major and trace elements in agricultural soils of Castilla-La Mancha (central Spain): Finding criteria for baselines and de-limiting regional anomalies. Environ. Sci. Pollut. Res. 2019, 26, 3100–3114. [Google Scholar] [CrossRef]
- Zhou, Y.; Gao, L.; Xu, D.; Gao, B. Geochemical baseline establishment, environmental impact and health risk assessment of vanadium in lake sediments, China. Sci. Total Environ. 2019, 660, 1338–1345. [Google Scholar] [CrossRef]
- Zhang, H.; Yu, M.; Xu, H.; Wen, H.; Fan, H.; Wang, T.; Liu, J. Geochemical baseline determination and contamination of heavy metals in the urban topsoil of Fuxin City, China. J. Arid. Land 2020, 12, 1001–1017. [Google Scholar] [CrossRef]
- Wang, S.; Wang, W.; Chen, J.; Zhao, L.; Zhang, B.; Jiang, X. Geochemical baseline establishment and pollution source deter-mination of heavy metals in lake sediments: A case study in Lihu lake, China. Sci. Total Environ. 2019, 657, 978–986. [Google Scholar] [CrossRef] [PubMed]
- Feng, J.; Gao, S.; Fu, Q.; Chen, X.; Chen, X.; Han, D.; Cheng, J. Indirect source apportionment of methyl mercaptan using CMB and PMF models: A case study near a refining and petrochemical plant. Environ. Sci. Pollut. Res. 2019, 26, 24305–24312. [Google Scholar] [CrossRef] [PubMed]
- Li, Y.; Kuang, H.; Hu, C.; Ge, G. Source Apportionment of Heavy Metal Pollution in Agricultural Soils around the Poyang Lake Region Using UNMIX Model. Sustainability 2021, 13, 5272. [Google Scholar] [CrossRef]
- Brown, S.G.; Eberly, S.; Paatero, P.; Norris, G.A. Methods for estimating uncertainty in PMF solutions: Examples with ambient air and water quality data and guidance on reporting PMF results. Sci. Total Environ. 2015, 518–519, 626–635. [Google Scholar] [CrossRef] [Green Version]
- Lv, J.; Wang, Y. PMF receptor models and sequential Gaussian simulation to determine the quantitative sources and hazardous areas of potentially toxic elements in soils. Geoderma 2019, 353, 347–358. [Google Scholar] [CrossRef]
- Kuerban, M.; Maihemuti, B.; Waili, Y.; Tuerhong, T. Ecological risk assessment and source identification of heavy metal pol-lution in vegetable bases of Urumqi, China, using the positive matrix factorization (PMF) method. PLoS ONE 2020, 15, e0230191. [Google Scholar] [CrossRef] [PubMed] [Green Version]
- Zhang, Y.; Li, S.; Wang, F.; Chen, Z.; Chen, J.; Wang, L. An innovative expression model of human health risk based on the quantitative analysis of soil metals sources contribution in different spatial scales. Chemosphere 2018, 207, 60–69. [Google Scholar] [CrossRef] [PubMed]
- Wu, J.; Li, J.; Teng, Y.; Chen, H.; Wang, Y. A partition computing-based positive matrix factorization (PC-PMF) approach for the source apportionment of agricultural soil heavy metal contents and associated health risks. J. Hazard. Mater. 2020, 388, 121766. [Google Scholar] [CrossRef] [PubMed]
- Sun, X.; Zhang, L.; Lv, J. Spatial assessment models to evaluate human health risk associated to soil potentially toxic elements. Environ. Pollut. 2021, 268, 115699. [Google Scholar] [CrossRef]
- Li, J.; Song, L.; Chen, H.; Wu, J.; Teng, Y. Source apportionment of potential ecological risk posed by trace metals in the sediment of the Le’an River, China. J. Soils Sediments 2020, 20, 2460–2470. [Google Scholar] [CrossRef]
- Liu, J.; Liu, Y.J.; Liu, Y.; Liu, Z.; Zhang, A.N. Quantitative contributions of the major sources of heavy metals in soils to eco-system and human health risks: A case study of Yulin, China. Ecotoxicol. Environ. Saf. 2018, 164, 261–269. [Google Scholar] [CrossRef] [PubMed]
- Chen, L.; Li, F.; Li, W.; Ning, Q.; Li, J.; Zhang, J.; Ma, D.; Zhang, C. Organic amendment mitigates the negative impacts of mineral fertilization on bacterial communities in Shajiang black soil. Appl. Soil Ecol. 2020, 150, 103457. [Google Scholar] [CrossRef]
- Xu, M.L.; Li, M.B.; Wu, L.Y. Study on the trend of pH value and organic matter content of lime concretion black soil in Lingbi County. Anhui Agric. Sci. Bull. 2016, 22, 60–62. (In Chinese) [Google Scholar]
- Newman, B.; Watling, R. Definition of baseline metal concentrations for assessing metal enrichment of sediment from the south-eastern Cape coastline of South Africa. Water SA 2019, 33, 675–691. [Google Scholar] [CrossRef] [Green Version]
- Paatero, P.; Tapper, U. Analysis of different modes of factor analysis as least squares fit problems. Chemom. Intell. Lab. Syst. 1993, 18, 183–194. [Google Scholar] [CrossRef]
- Pekey, H.; Dogan, G. Application of Positive Matrix Factorization for the source apportionment of heavy metals in the sedi-ments: A comparison with a previous factor analysis study. Microchem. J. 2013, 106, 233–237. [Google Scholar] [CrossRef]
- Riyad, A.; AbdulHammed, M.J.A.; Fatima, H.A.A. Pollution loads and ecological risk assessment of heavy metals in the urban soil affected by various anthropogenic activities. Int. J. Adv. Res. 2015, 3, 104–110. [Google Scholar]
- Ouali, N.; Belabed, B.-E.; Chenchouni, H. Modelling environment contamination with heavy metals in flathead grey mullet Mugil cephalus and upper sediments from north African coasts of the Mediterranean Sea. Sci. Total Environ. 2018, 639, 156–174. [Google Scholar] [CrossRef]
- Bhattacharya, P.; Welch, A.H.; Stollenwerk, K.G.; McLaughlin, M.J.; Bundschuh, J.; Panaullah, G. Arsenic in the environment: Biology and Chemistry. Sci. Total Environ. 2007, 379, 109–120. [Google Scholar] [CrossRef]
- Kelepertzis, E. Accumulation of heavy metals in agricultural soils of Mediterranean: Insights from Argolida basin, Peloponnese, Greece. Geoderma 2014, 221–222, 82–90. [Google Scholar] [CrossRef]
- Shi, T.; Zhang, Y.; Gong, Y.; Ma, J.; Wei, H.; Wu, X.; Zhao, L.; Hou, H. Status of cadmium accumulation in agricultural soils across China (1975–2016): From temporal and spatial variations to risk assessment. Chemosphere 2019, 230, 136–143. [Google Scholar] [CrossRef]
- Cai, L.; Xu, Z.; Ren, M.; Guo, Q.; Hu, X.; Hu, G.; Wan, H.; Peng, P. Source identification of eight hazardous heavy metals in agricultural soils of Huizhou, Guangdong Province, China. Ecotoxicol. Environ. Saf. 2012, 78, 2–8. [Google Scholar] [CrossRef] [PubMed]
- Šajn, R.; Halami, J.; Peh, Z.; Galovi, L.; Alijagi, J. Assessment of the natural and anthropogenic sources of chemical elements in alluvial soils from the Drava river using multivariate statistical methods. J. Geochem. Explor. 2011, 110, 278–289. [Google Scholar] [CrossRef]
- Facchinelli, A.; Sacchi, E.; Mallen, L. Multivariate statistical and GIS-based approach to identify heavy metal sources in soils. Environ. Pollut. 2001, 114, 313–324. [Google Scholar] [CrossRef]
- Chen, S.; Wu, C.; Hong, S.; Chen, Q. Assessment, Distribution and Regional Geochemical Baseline of Heavy Metals in Soils of Densely Populated Area: A Case Study. Int. J. Environ. Res. Public Health 2020, 17, 2269. [Google Scholar] [CrossRef] [PubMed] [Green Version]
- Fei, X.; Lou, Z.; Xiao, R.; Ren, Z.; Lv, X. Contamination assessment and source apportionment of heavy metals in agricultural soil through the synthesis of PMF and GeogDetector models. Sci. Total Environ. 2020, 747, 141293. [Google Scholar] [CrossRef]
- Tian, D.; Gu, M.; Zhao, J.; Wang, C.; Du, L. Distribution Characteristics and Pollution Assessment of Hg in Soil around Coal Gangue in Fengfeng Mining Area. IOP Conf. Ser. Earth Environ. Sci. 2021, 680, 012109. [Google Scholar] [CrossRef]
- Huang, S.L.; Han, Y.F. Speciation characteristics and health risk assessment of Hg and As in atmospheric deposition from coal mine area. J. Fuyang Teach. Coll. 2015, 32, 56–61. (In Chinese) [Google Scholar]
- Khairy, M.A.; Barakat, A.O.; Mostafa, A.R.; Wade, T.L. Multielement determination by flame atomic absorption of road dust samples in Delta Region, Egypt. Microchem. J. 2011, 97, 234–242. [Google Scholar] [CrossRef]
- Preciado, H.F.; Li, L.Y. Evaluation of Metal Loadings and Bioavailability in Air, Water and Soil Along Two Highways of British Columbia, Canada. Water Air Soil Pollut. 2006, 172, 81–108. [Google Scholar] [CrossRef]
- Yang, Y.Y.; Zhang, J.X.; Xiao, X.; Du, M.; Luan, H.J.; Yu, Q.X.; Liang, Y. Speciation and Potential Ecological Risk of Heavy Metals in Soils from Overlapped Areas of Farmland and Coal Resources in Northern Xuzhou, China. Bull. Environ. Contam. Toxicol. 2021. [Google Scholar] [CrossRef] [PubMed]







| Items | Cr | Zn | Pb | Ni | Hg | Cu | Cd | As | Mn | Co | |
|---|---|---|---|---|---|---|---|---|---|---|---|
| Reference value (mg/kg) | 67 | 100 | 61 | 27.4 | 0.46 | 32 | 0.25 | 18 | 441 | 13.6 | |
| Measured values (mg/kg) | nN | 10 | 10 | 10 | 10 | 10 | 10 | 10 | 10 | 10 | 10 |
| Max | 71.7 | 108 | 66.5 | 28.9 | 0.48 | 33.0 | 0.28 | 18.9 | 481 | 14.0 | |
| Min | 62.1 | 91 | 58.2 | 25.0 | 0.41 | 30.0 | 0.23 | 16.2 | 415 | 12.9 | |
| Mean | 67.6 | 99 | 62.3 | 27.2 | 0.45 | 31.1 | 0.26 | 17.7 | 454 | 13.5 | |
| Recovery (%) | Max | 107 | 108 | 109 | 105 | 105 | 103 | 113 | 105 | 109 | 103 |
| Min | 93 | 91 | 95 | 91 | 89 | 94 | 93 | 90 | 94 | 95 | |
| Mean | 101 | 99 | 102 | 99 | 98 | 97 | 105 | 98 | 103 | 99 | |
| Element | Mean (mg/kg) | Median (mg/kg) | SD 1 (mg/kg) | CV 2 (%) | Minimum (mg/kg) | Maximum (mg/kg) | BV 3 (mg/kg) |
|---|---|---|---|---|---|---|---|
| Cr | 60.3 | 60.0 | 11.3 | 18.7 | 38.5 | 93.5 | 66.5 |
| Zn | 83.1 | 79.9 | 24.8 | 29.9 | 43.0 | 127.1 | 62.0 |
| Pb | 22.4 | 21.2 | 5.2 | 23.0 | 14.9 | 46.2 | 26.6 |
| Ni | 35.1 | 31.6 | 10.1 | 28.9 | 18.2 | 62.8 | 29.8 |
| Hg | 0.10 | 0.09 | 0.04 | 38.6 | 0.04 | 0.46 | 0.033 |
| Cu | 24.3 | 23.3 | 7.2 | 29.7 | 11.2 | 52.4 | 20.4 |
| Cd | 0.17 | 0.16 | 0.05 | 31.4 | 0.06 | 0.56 | 0.097 |
| As | 17.1 | 16.6 | 4.3 | 25.1 | 9.7 | 31.1 | 9.0 |
| Mn | 437.0 | 430.0 | 75.2 | 17.2 | 279.8 | 621.7 | 530 |
| Co | 10.7 | 10.6 | 1.4 | 12.8 | 7.3 | 15.0 | 16.3 |
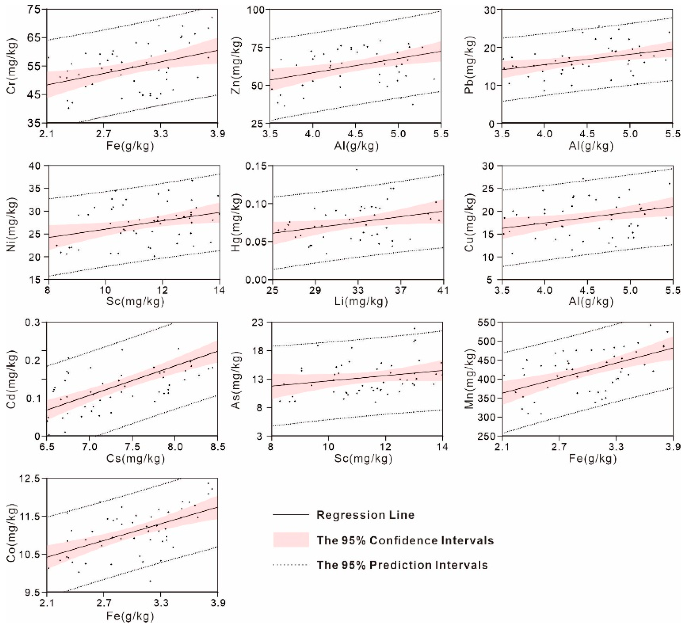
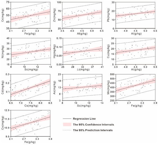
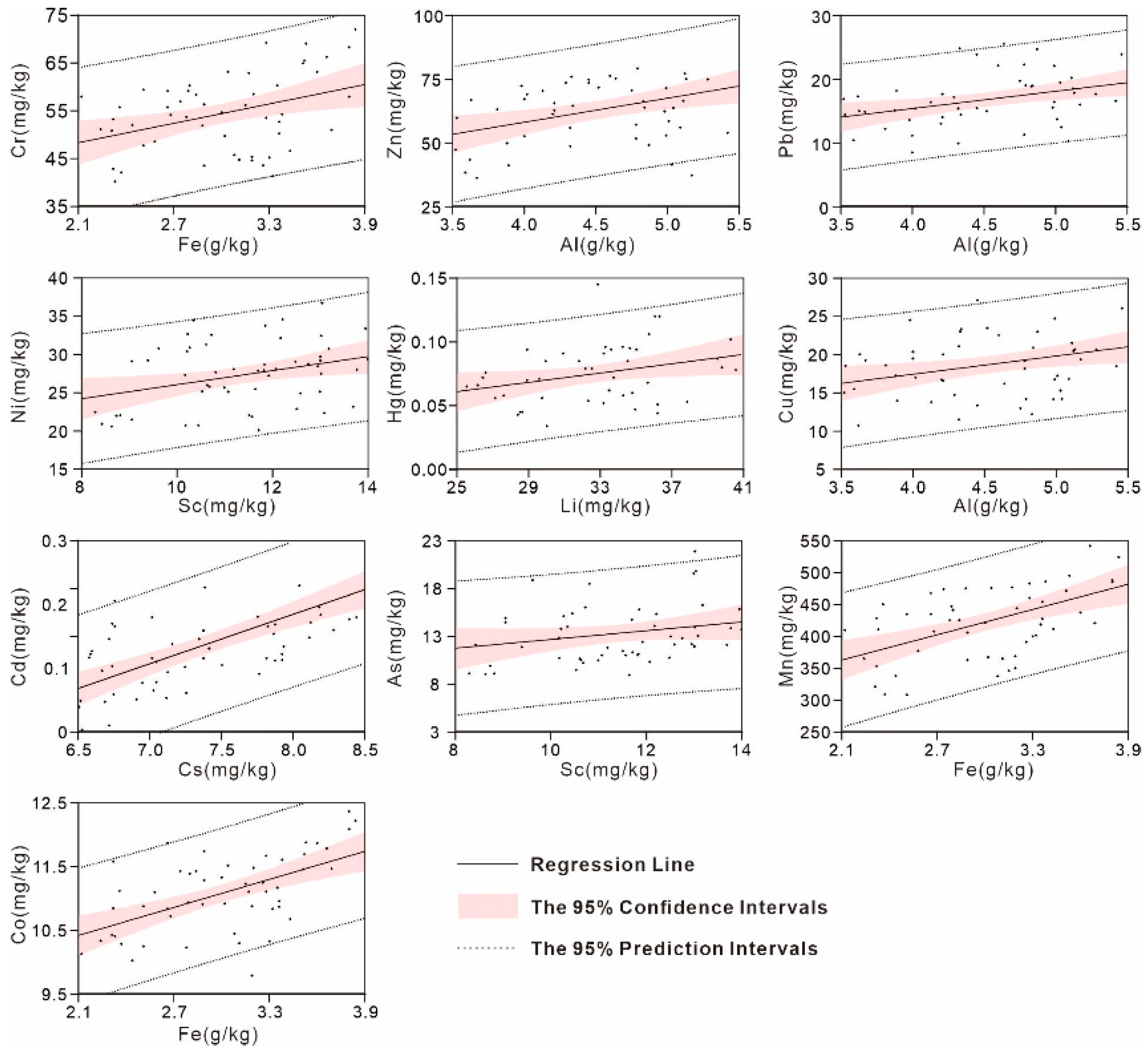
| Element | Reference Metal Normalization Method | Cumulative Frequency Curve (mg/kg) | Final Value (mg/kg) | |||
|---|---|---|---|---|---|---|
| Regression Equation | R2 | p | Baseline Values (mg/kg) | |||
| Cr | Cr = 3.45 × Fe + 43.80 | 0.82 | 0.01 | 53.7 | 53.5 | 53.6 |
| Zn | Zn = 9.36 × Al + 21.44 | 0.83 | 0.01 | 63.9 | 59.1 | 61.5 |
| Pb | Pb = 2.29 × Al + 6.31 | 0.88 | 0.01 | 20.3 | 19.2 | 19.8 |
| Ni | Ni = 0.98 × Sc + 16.07 | 0.83 | 0.01 | 27.8 | 27.3 | 27.6 |
| Hg | Hg = 0.002 × Li + 0.025 | 0.77 | 0.01 | 0.08 | 0.08 | 0.08 |
| Cu | Cu = 2.40 × Al + 7.90 | 0.83 | 0.01 | 18.5 | 18.3 | 18.4 |
| Cd | Cd = 0.06 × Cs − 0.30 | 0.96 | 0.01 | 0.15 | 0.12 | 0.13 |
| As | As = 0.37 × Sc + 9.01 | 0.67 | 0.01 | 13.5 | 12.6 | 12.9 |
| Mn | Mn = 33.73 × Fe + 316.79 | 0.75 | 0.01 | 414.8 | 417.4 | 416.1 |
| Co | Co = 0.69 × Fe + 6.96 | 0.93 | 0.01 | 10.9 | 11.1 | 11.0 |
| Items | Cr | Zn | Pb | Ni | Hg | Cu | Cd | As | Mn | Co |
|---|---|---|---|---|---|---|---|---|---|---|
| R2 | 0.98 | 0.90 | 0.80 | 0.88 | 0.99 | 0.89 | 0.75 | 0.95 | 0.99 | 0.97 |
| P/O | 0.87 | 0.94 | 0.86 | 0.83 | 0.99 | 0.85 | 0.66 | 0.94 | 0.99 | 1.22 |
| Items | Ej 1 | RI 2 | |||||||||
|---|---|---|---|---|---|---|---|---|---|---|---|
| Cr | Zn | Pb | Ni | Hg | Cu | Cd | As | Mn | Co | ||
| Mean | 2.2 | 1.4 | 7.1 | 6.4 | 45.7 | 6.6 | 38.5 | 13.3 | 1.1 | 4.9 | 127.0 |
| SD | 0.4 | 0.4 | 1.6 | 1.8 | 16.8 | 2.0 | 12.1 | 3.3 | 0.2 | 0.6 | 21.4 |
| Minimum | 1.4 | 0.7 | 4.7 | 3.3 | 16.7 | 3.0 | 12.6 | 7.5 | 0.7 | 3.3 | 89.3 |
| Maximum | 3.5 | 2.1 | 14.6 | 11.4 | 218.6 | 14.2 | 125.6 | 24.1 | 1.5 | 6.8 | 283.7 |
| Percentage (%) | 1.8 | 1.1 | 5.6 | 5.0 | 36.0 | 5.2 | 30.3 | 10.5 | 0.8 | 3.8 | |
| Element | Ejk | |||
|---|---|---|---|---|
| Factor 1 | Factor 2 | Factor 3 | Factor 4 | |
| Cr | 0.4 | 1.6 | 0.2 | 0.1 |
| Zn | 0.7 | 0.4 | 0.1 | 0.1 |
| Pb | 1.3 | 2.4 | 0.7 | 2.6 |
| Ni | 1.0 | 2.1 | 0.5 | 2.6 |
| Hg | 0.1 | 14.1 | 28.2 | 5.5 |
| Cu | 1.0 | 2.2 | 0.5 | 2.8 |
| Cd | 15.1 | 21.3 | 0.9 | 0.0 |
| As | 5.5 | 5.6 | 2.0 | 0.1 |
| Mn | 0.2 | 0.8 | 0.1 | 0.0 |
| Co | 0.8 | 3.2 | 0.5 | 0.3 |
| Total | 26.1 | 53.6 | 33.9 | 14.2 |
| Rk (%) | 20.4 | 42.0 | 26.5 | 11.1 |
Publisher’s Note: MDPI stays neutral with regard to jurisdictional claims in published maps and institutional affiliations. |
© 2021 by the authors. Licensee MDPI, Basel, Switzerland. This article is an open access article distributed under the terms and conditions of the Creative Commons Attribution (CC BY) license (https://creativecommons.org/licenses/by/4.0/).
Share and Cite
Li, Q.; Zhang, J.; Ge, W.; Sun, P.; Han, Y.; Qiu, H.; Zhou, S. Geochemical Baseline Establishment and Source-Oriented Ecological Risk Assessment of Heavy Metals in Lime Concretion Black Soil from a Typical Agricultural Area. Int. J. Environ. Res. Public Health 2021, 18, 6859. https://doi.org/10.3390/ijerph18136859
Li Q, Zhang J, Ge W, Sun P, Han Y, Qiu H, Zhou S. Geochemical Baseline Establishment and Source-Oriented Ecological Risk Assessment of Heavy Metals in Lime Concretion Black Soil from a Typical Agricultural Area. International Journal of Environmental Research and Public Health. 2021; 18(13):6859. https://doi.org/10.3390/ijerph18136859
Chicago/Turabian StyleLi, Qi, Jinming Zhang, Wen Ge, Peng Sun, Yafen Han, Husen Qiu, and Shoubiao Zhou. 2021. "Geochemical Baseline Establishment and Source-Oriented Ecological Risk Assessment of Heavy Metals in Lime Concretion Black Soil from a Typical Agricultural Area" International Journal of Environmental Research and Public Health 18, no. 13: 6859. https://doi.org/10.3390/ijerph18136859
APA StyleLi, Q., Zhang, J., Ge, W., Sun, P., Han, Y., Qiu, H., & Zhou, S. (2021). Geochemical Baseline Establishment and Source-Oriented Ecological Risk Assessment of Heavy Metals in Lime Concretion Black Soil from a Typical Agricultural Area. International Journal of Environmental Research and Public Health, 18(13), 6859. https://doi.org/10.3390/ijerph18136859
