Purification Efficiency of Three Combinations of Native Aquatic Macrophytes in Artificial Wastewater in Autumn
Abstract
1. Introduction
2. Materials and Methods
2.1. Plant Species
2.2. Wastewater Preparation
2.3. Experimental Design
2.4. Chemical Analysis
2.5. Statistical Analysis
3. Results
3.1. Variations in T, pH, and DO in Wastewater
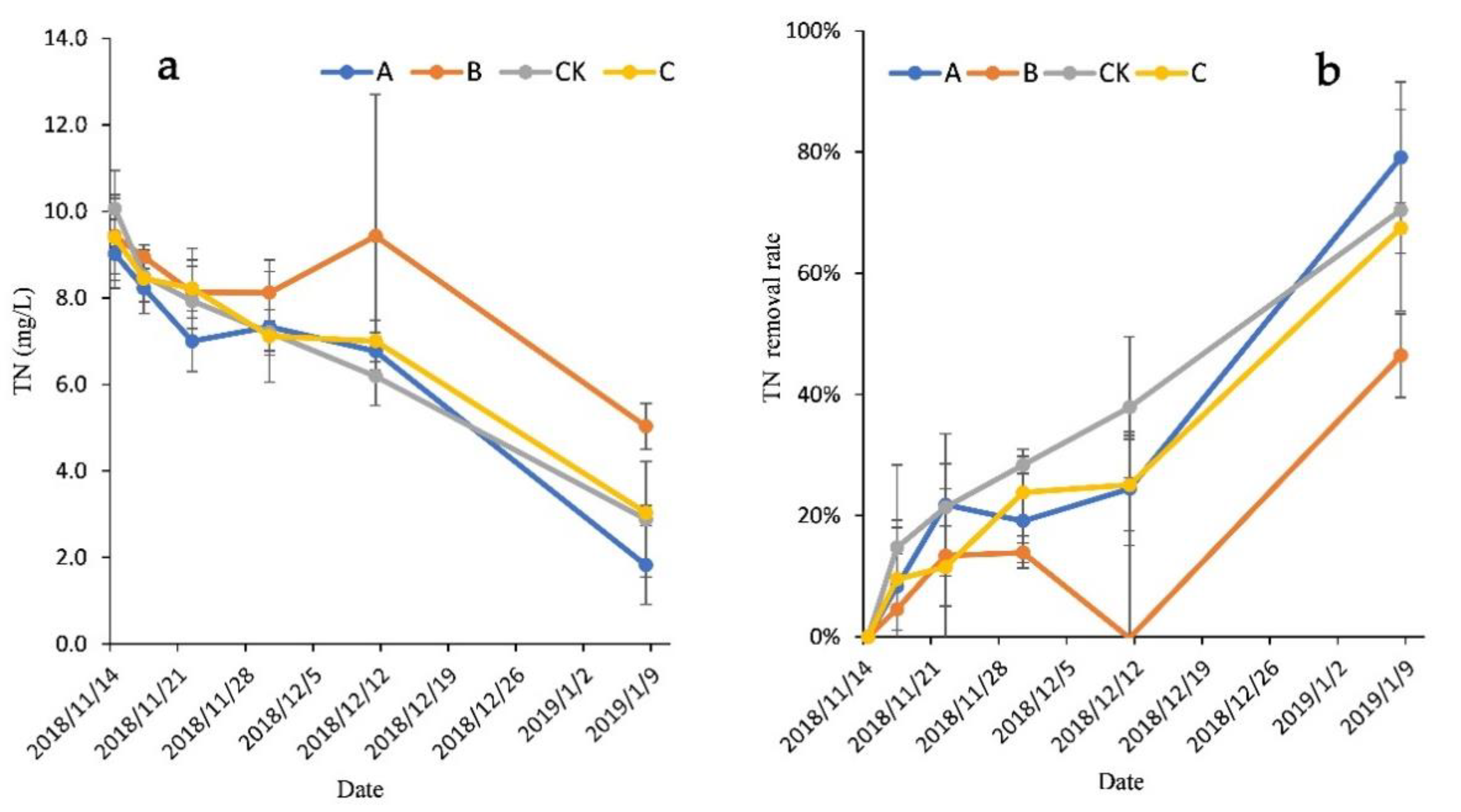
3.2. Comparison of TN Removal in Wastewater
3.3. Comparison of TP Removal in Wastewater
3.4. Comparison of CODcr Removal in Wastewater
3.5. Visual Observations and Biomass Production
4. Discussion
5. Conclusions
Author Contributions
Funding
Institutional Review Board Statement
Informed Consent Statement
Data Availability Statement
Conflicts of Interest
References
- Wang, C.; Zheng, S.S.; Wang, P.F.; Qian, J. Effects of vegetations on the removal of contaminants in aquatic environments: A review. J. Hydrodyn. 2014, 26, 497–511. [Google Scholar] [CrossRef]
- Elliott, M.; de Jonge, V.N. The management of nutrients and potential eutrophication in estuaries and other restricted water bodies. Hydrobiologia 2002, 475476, 513–524. [Google Scholar] [CrossRef]
- Zhang, K.; Cheng, P.D.; Zhong, B.C.; Wang, D.Z. Total phosphorus release from bottom sediments in flowing water. J. Hydrodyn. 2012, 24, 589–594. [Google Scholar] [CrossRef]
- Frumin, G.T.; Gildeeva, I.M. Eutrophication of water bodies—A global environmental problem. Russ. J. Gen. Chem. 2014, 84, 2483–2488. [Google Scholar] [CrossRef]
- Su, F.; Li, Z.A.; Li, Y.W.; Xu, L.; Li, Y.X.; Li, S.Y.; Chen, H.F.; Zhuang, P.; Wang, F.G. Removal of total nitrogen and phosphorus using single or combinations of aquatic plants. Int. J. Environ. Res. Public Health 2019, 16, 4663. [Google Scholar] [CrossRef]
- Fukumoto, Y.; Haga, K. Advanced treatment of swine wastewater by electrodialysis with a tubular ion exchange membrane. Anim. Sci. 2015, 75, 479–485. [Google Scholar] [CrossRef]
- Liu, T.; Yuan, J.; Dong, W.; Wu, H.; Wang, H. Effects on inorganic nitrogen compounds release of contaminated sediment treatment with in situ calcium nitrate injection. Environ. Sci. Pollut. Res. 2015, 22, 1250–1260. [Google Scholar] [CrossRef] [PubMed]
- Lu, B.; Xu, Z.S.; Li, J.G.; Chai, X.L. Removal of water nutrients by different aquatic plant species: An alternative way to remediate polluted rural rivers. Ecol. Eng. 2018, 110, 18–26. [Google Scholar] [CrossRef]
- Li, Z.; Qiu, S.X. Application comparison of phosphorus chemicals used in urban domestic sewage treatment. Shanxi Archit. 2012, 38, 131–132. [Google Scholar] [CrossRef]
- Lee, S.I.; Weon, S.Y.; Lee, C.W.; Koopman, B. Removal of nitrogen and phosphate from wastewater by addition of bitter. Chemosphere 2003, 265–271. [Google Scholar] [CrossRef]
- Moore, M.T.; Locke, M.A.; Kröger, R. Using aquatic vegetation to remediate nitrate, ammonium, and soluble reactive phosphorus in simulated runoff. Chemosphere 2016, 160, 149–154. [Google Scholar] [CrossRef] [PubMed]
- Sooknah, R.D.; Wilkie, A.C. Nutrient removal by floating aquatic macrophytes cultured in anaerobically digested flushed dairy manure wastewater. Ecol. Eng. 2004, 22, 27–42. [Google Scholar] [CrossRef]
- Wu, H.; Zhang, J.; Li, P.; Zhang, J.Y.; Xie, H.J.; Zhang, B. Nutrient removal in constructed microcosm wetlands for treating polluted river water in northern China. Ecol. Eng. 2011, 37, 560–568. [Google Scholar] [CrossRef]
- Cicek, N.; Lambert, S.; Venema, H.D.; Snelgrove, K.R.; Bibeau, E.L.; Grosshans, R. Nutrient removal and bio-energy production from Netley-Libau Marsh at Lake Winnipeg through annual biomass harvesting. Biomass Bioenergy 2006, 30, 529–536. [Google Scholar] [CrossRef]
- Lin, Y.F.; Jing, S.R.; Wang, T.W.; Lee, D.Y. Effects of macrophytes and external carbon sources on nitrate removal from groundwater in constructed wetlands. Environ. Pollut. 2002, 119, 413–420. [Google Scholar] [CrossRef]
- Liu, M.H.; Wu, S.B.; Chen, L.; Dong, R.J. How substrate influences nitrogen transformations in tidal flow constructed wetlands treating high ammonium wastewater? Ecol. Eng. 2014, 73, 478–486. [Google Scholar] [CrossRef]
- Gross, E.M.; Johnson, R.L.; Hairston, J.R. Experimental evidence for changes in submersed macrophyte species composition caused by the herbivore Acentria ephemerella (Lepidoptera). Oecologia 2001, 127, 105–114. [Google Scholar] [CrossRef]
- Carpenter, S.R.; Lodge, D.M. Effects of submersed macrophytes on ecosystem processes. Aquat. Bot. 1986, 26, 341–370. [Google Scholar] [CrossRef]
- Stansfield, J.H.; Perrow, M.R.; Tench, L.D. Submerged macrophytes as refuges for grazing Cladocera against fish predation: Observations on seasonal changes in relation to macrophyte cover and predation pressure. Hydrobiologia 1997, 342, 229–240. [Google Scholar] [CrossRef]
- Dvoraki, J.; Bestz, E.P.H. Macro-invertebrate communities associated with the macrophytes of Lake Vechten: Structural and functional relationships. Hydrobiologia 1982, 95, 115–126. [Google Scholar] [CrossRef]
- Iamchaturapatr, J.; Yi, S.W.; Rhee, J.S. Nutrient removals by 21 aquatic plants for vertical free surface-flow (VFS) constructed wetland. Ecol. Eng. 2007, 29, 287–293. [Google Scholar] [CrossRef]
- Jin, S.Q.; Zhou, J.B.; Zhu, X.L.; Yao, Y.R.; Cai, G.C.; Chen, R.X. Comparison of nitrogen and phosphorus uptake and water purification ability of ten aquatic macrophytes. J. Agro-Environ. Sci. 2010, 29, 1571–1575. (In Chinese) [Google Scholar] [CrossRef]
- Wang, X.F.; Xu, K.P.; Ye, S.G.; Xue, L.L.; Liu, G.H.; You, A.J.; Su, F. Purification efficiency of four combinations of aquatic macrophytes on eutrophic water body in winter. Chin. J. Ecol. 2013, 32, 401–406. (In Chinese) [Google Scholar] [CrossRef]
- Tripathi, B.D.; Upadhyay, A.R. Dairy effluent polishing by aquatic macrophytes. Water Air Soil Poll. 2003, 143, 377–385. [Google Scholar] [CrossRef]
- André, S.; Meyer, A.H.; Schmid, B. Plant diversity affects culturable soil bacteria in experimental grassland communities. J. Ecol. 2000, 88, 988–998. [Google Scholar] [CrossRef]
- Coleman, J.; Hench, K.; Garbutt, K.; Sexstone, A.; Bissonnette, G.; Skousen, J. Treatment of domestic wastewater by three plant species in constructed wetlands. Water Air Soil Pollut. 2001, 128, 283–295. [Google Scholar] [CrossRef]
- Fraser, L.H.; Carty, S.M.; Steer, D. A test of four plant species to reduce total nitrogen and total phosphorus from soil leachate in subsurface wetland microcosms. Bioresour. Technol. 2004, 94, 185–192. [Google Scholar] [CrossRef]
- Davis, M.A.; Grime, J.P.; Thompson, K. Fluctuating resources in plant communities: A general theory of invisibility. J. Ecol. 2000, 88, 528–534. [Google Scholar] [CrossRef]
- Lu, Q.; He, Z.L.; Graetz, D.A.; Stoffella, P.J.; Yang, X. Phytoremediation to remove nutrients and improve eutrophic stormwaters using water lettuce (Pistia stratiotes L.). Environ. Sci. Pollut Res. 2010, 17, 84–96. [Google Scholar] [CrossRef] [PubMed]
- Jayaweera, M.W.; Kasturiarachchi, J.C. Removal of nitrogen and phosphorus from industrial wastewaters by phytoremediation using water hyacinth (Eichhornia crassipes (Mart.) Solms). Water Sci. Technol. 2004, 50, 217–225. [Google Scholar] [CrossRef]
- Peterson, S.B.; Teal, J.M. The role of plants in ecologically engineered wastewater treatment systems. Ecol. Eng. 1996, 6, 137–148. [Google Scholar] [CrossRef]
- Li, C.Y.; Wu, S.B.; Dong, R.J. Dynamics of organic matter, nitrogen and phosphorus removal and their interactions in a tidal operated constructed wetland. J. Environ. Manag. 2015, 151, 310–316. [Google Scholar] [CrossRef]
- Shah, M.; Hashmi, H.N.; Ali, A.; Ghumman, A.R. Performance assessment of aquatic macrophytes for treatment of municipal wastewater. J. Environ. Health Sci. Eng. 2014, 12, 1–12. [Google Scholar] [CrossRef] [PubMed]
- Hu, C.; Liu, Q.; Long, W.W. Purification of eutrophic water of different degrees with hydrophytes. Environ. Sci. Technol. 2011, 34, 6–9. [Google Scholar] [CrossRef]
- Brix, H. Do macrophytes play a role in constructed treatment wetlands? Water Sci. Technol. 1997, 35, 11–17. [Google Scholar] [CrossRef]
- Vymazal, J. Removal of nutrients in various types of constructed wetlands. Sci. Total Environ. 2007, 380, 48. [Google Scholar] [CrossRef]
- Truu, M.; Juhanson, J.; Truu, J. Microbial biomass, activity and community composition in constructed wetlands. Sci. Total Environ. 2009, 407, 3958–3971. [Google Scholar] [CrossRef] [PubMed]
- Jiang, Y.P.; Ge, Y.; Yue, C.L.; Chang, J. Nutrient removal role of plants in constructed wetland on sightseeing water. Acta Ecol. Sin. 2004, 24, 1718–1723. [Google Scholar] [CrossRef]
- Michael, J.C.; Kathleen, C.P. Decomposition of macrophyte litter in a subtropical constructed wetland in south Florida (USA). Ecol. Eng. 2006, 27, 301–321. [Google Scholar] [CrossRef]
- Brinson, M.M.; Lugo, A.E.; Brown, S. Primary productivity, decomposition and consumer activity in freshwater wetlands. Annu. Rev. Ecol. Syst. 1981, 12, 123–161. [Google Scholar] [CrossRef]
- Davis, C.B.; van der Valk, A.G. Litter decomposition in prairie glacial marshes. In Freshwater Wetlands—Ecological Processes and Management Potential; Good, R.E., Whigham, D.F., Simpson, R.L., Eds.; Academic Press: New York, NY, USA, 1978; pp. 99–113. [Google Scholar]
- Bastardo, H. Laboratory studies on decomposition of littoral plants. Pol. Arch. Hydrobiol. 1979, 26, 267–299. [Google Scholar]
- Carpenter, J.; Odum, W.E.; Mills, A. Leaf litter decomposition in a reservoir affected by acid mine drainage. Oikos 1983, 41, 165–172. [Google Scholar] [CrossRef]
- Zhou, L.F.; Zhao, Y.W.; Guan, X.T. Simulation study on the changes of physicochemical indexes of water quality during the decay of six aquatic plants in laboratory. Wetl. Sci. 2016, 6, 832–839. [Google Scholar]
- Pan, H.Y.; Xu, X.H.; Gao, S.X. Study on process of nutrition on release during the decay of submerged macrophytes. Res. Environ. Sci. 2008, 21, 64–68. (In Chinese) [Google Scholar] [CrossRef]
- Wang, X.D. Study on the Decay Process and Pollution Release Flux of Main Aquatic Plants in Nansi Lake; Shandong Jianzhu University: Jinan, China, 2019. [Google Scholar]
- Tang, J.Y.; Cao, P.P.; Xu, C. Effects of aquatic plants during their decay and decomposition on water quality. Chin. J. Appl. Ecol. 2013, 24, 83–89. [Google Scholar] [CrossRef]





| Scientific Name | Family | Type | Group Number | 
|---|---|---|---|
| Vallisneria natans | Hydrocharitaceae | Submerged | A, B, C | 
| Ludwigia adscendens | Onagraceae | Floating | A, C | 
| Ipomoea aquatica | Convolvulaceae | Floating | B | 
| Monochoria vaginalis | Pontederiaceae | Floating/emergent | A | 
| Saururus chinensis | Saururaceae | Floating/emergent | A | 
| Acorus calamus | Araceae | Emergent | B | 
| Typha orientalis | Typhaceae | Emergent | B, C | 
| Schoenoplectus juncoides | Cyperaceae | Emergent | C | 
| Plants | Group A | Group B | Group C | |||||||||
|---|---|---|---|---|---|---|---|---|---|---|---|---|
| Vn | La | Mv | Sc | Vn | Ia | Ac | To | Vn | La | Sj | To | |
| NBG | −84.3 | 141 | 8.88 | 101 | −13.3 | 40.3 | −41.9 | 152.5 | 141.2 | 101.2 | 106.7 | 34.5 | 
| 8.86 | 225 | −15.2 | 166 | −86.8 | 181 | −11.2 | 101.1 | 83.3 | 68.8 | 73.7 | −26.4 | |
| −123 | 114 | 65.0 | 142 | −63.7 | 178.9 | −10.3 | −27.7 | 54.4 | −51.8 | 106.2 | −15.6 | |
| ANBG | −66.2 | 160 | 19.6 | 136.6 | −54.6 | 133.4 | −21.1 | 75.3 | 93.0 | 39.4 | 95.6 | −2.5 | 
| NBGR | −33.1% | 80.0% | 9.8% | 68.3% | −27.3% | 66.7% | −10.6% | 37.7% | 46.5% | 19.7% | 47.8% | −1.3% | 
| Combinations | Species | NBGR | MNAP (mg) | MPAP (mg) | MNAPG (mg) | MPAPG (mg) | Removal Rate of Nutrients | Absorption Contribution Rate | ||
|---|---|---|---|---|---|---|---|---|---|---|
| TN | TP | TN | TP | |||||||
| Group A | Vn | −33.1% | −95.84 | −15.71 | 633.87 | 18.84 | 79.10% | 89.39% | 15.29% | 2.05% | 
| La | 80.0% | 331.50 | −9.28 | |||||||
| Mv | 9.8% | −33.82 | −8.08 | |||||||
| Sc | 68.3% | 432.03 | 51.90 | |||||||
| Group B | Vn | −27.3% | −24.12 | −6.54 | 370.80 | −24.49 | 46.39% | 88.37% | 14.63% | −2.71% | 
| Ia | 66.7% | 166.51 | 18.08 | |||||||
| Ac | −10.6% | 54.03 | −27.10 | |||||||
| To | 37.7% | 174.38 | −8.93 | |||||||
| Group C | Vn | 46.5% | 101.93 | 11.66 | 668.50 | −42.42 | 67.46% | 91.96% | 18.24% | −4.71% | 
| La | 19.7% | 19.87 | −53.74 | |||||||
| Sj | 47.8% | 381.90 | 0.96 | |||||||
| To | −1.3% | 164.81 | −1.31 | |||||||
| Publisher’s Note: MDPI stays neutral with regard to jurisdictional claims in published maps and institutional affiliations. | 
© 2021 by the authors. Licensee MDPI, Basel, Switzerland. This article is an open access article distributed under the terms and conditions of the Creative Commons Attribution (CC BY) license (https://creativecommons.org/licenses/by/4.0/).
Share and Cite
Xu, L.; Chen, S.; Zhuang, P.; Xie, D.; Yu, X.; Liu, D.; Li, Z.; Qin, X.; Wang, F.; Xing, F. Purification Efficiency of Three Combinations of Native Aquatic Macrophytes in Artificial Wastewater in Autumn. Int. J. Environ. Res. Public Health 2021, 18, 6162. https://doi.org/10.3390/ijerph18116162
Xu L, Chen S, Zhuang P, Xie D, Yu X, Liu D, Li Z, Qin X, Wang F, Xing F. Purification Efficiency of Three Combinations of Native Aquatic Macrophytes in Artificial Wastewater in Autumn. International Journal of Environmental Research and Public Health. 2021; 18(11):6162. https://doi.org/10.3390/ijerph18116162
Chicago/Turabian StyleXu, Lei, Siyu Chen, Ping Zhuang, Dongsheng Xie, Xiaoling Yu, Dongming Liu, Zhian Li, Xinsheng Qin, Faguo Wang, and Fuwu Xing. 2021. "Purification Efficiency of Three Combinations of Native Aquatic Macrophytes in Artificial Wastewater in Autumn" International Journal of Environmental Research and Public Health 18, no. 11: 6162. https://doi.org/10.3390/ijerph18116162
APA StyleXu, L., Chen, S., Zhuang, P., Xie, D., Yu, X., Liu, D., Li, Z., Qin, X., Wang, F., & Xing, F. (2021). Purification Efficiency of Three Combinations of Native Aquatic Macrophytes in Artificial Wastewater in Autumn. International Journal of Environmental Research and Public Health, 18(11), 6162. https://doi.org/10.3390/ijerph18116162
 
         
                                                

 
       