The Effect of Job Insecurity and Life Uncertainty on Everyday Consumptions and Broader Life Projects during COVID-19 Pandemic
Abstract
1. Introduction
1.1. Job Insecurity and Its Outcomes
1.2. Job Insecurity and Consumer Behavior
1.3. Work Precarity and Life Uncertainty in the Times of Pandemic
1.4. Aim and Hypotheses of the Present Study
2. Materials and Methods
2.1. Participants and Procedures
2.2. Measures
2.3. Data Analyses
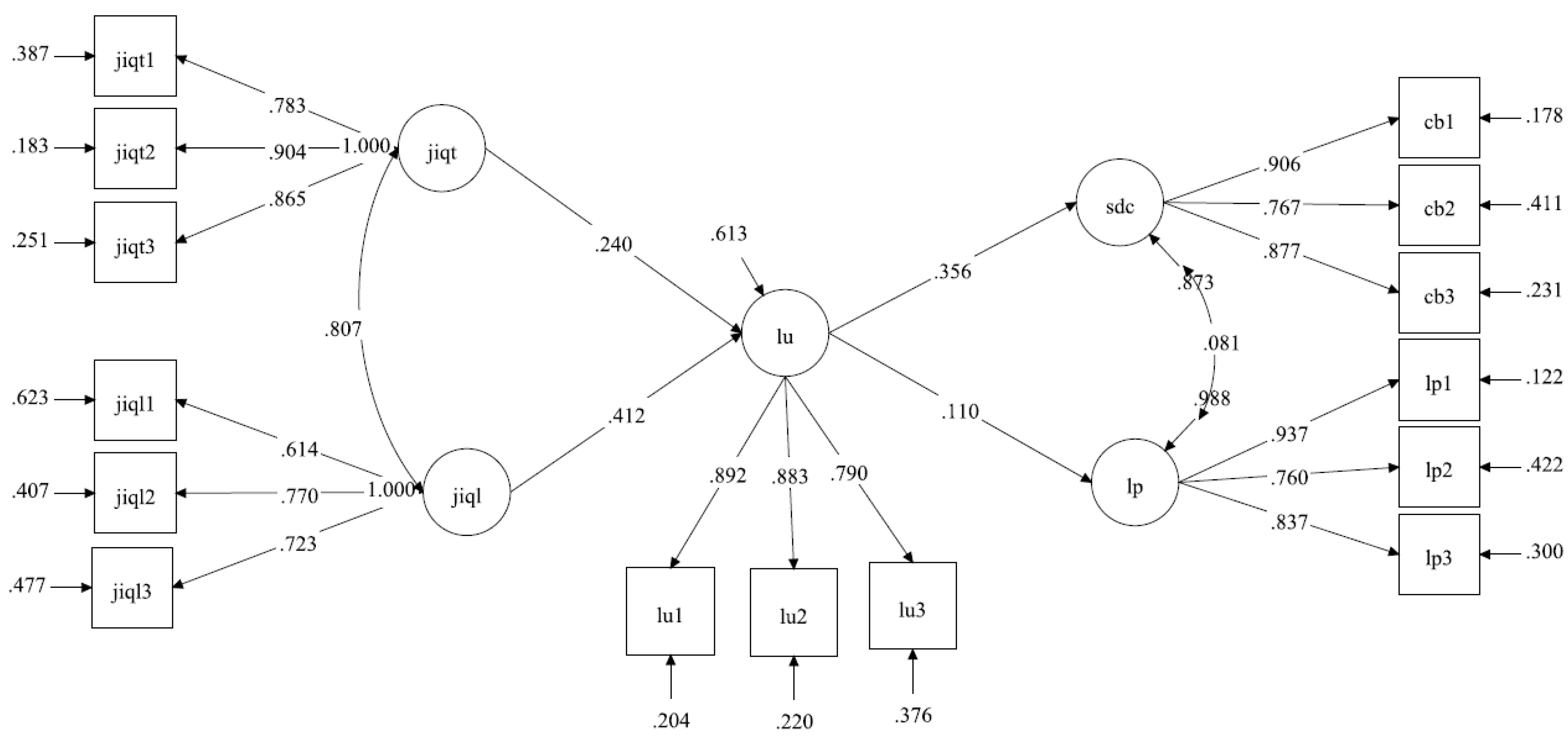
3. Results
3.1. Socio-Demographic Differences
3.2. Mediation Model
4. Discussion
5. Conclusions
Author Contributions
Funding
Institutional Review Board Statement
Informed Consent Statement
Data Availability Statement
Conflicts of Interest
Appendix A
References
- Shoss, M.K. Job insecurity: An integrative review and agenda for future research. J. Manag. 2017, 43, 1911–1939. [Google Scholar] [CrossRef]
- Rampini, F. L’età del Caos; The Age of Chaos; Mondadori: Milano, Italy, 2015. [Google Scholar]
- Bauman, Z. Liquid Modernity; Polity Press: Cambridge, UK, 2000. [Google Scholar]
- Baumann, Z. Liquid Life; Polity Press: Cambridge, UK, 2005. [Google Scholar]
- Baumann, Z. Liquid Times: Living in an Age of Uncertainty; Polity Press: Cambridge, UK, 2007. [Google Scholar]
- Eurostat. Quality of Life: Facts and Views; Publications Office of the European Union: Luxembourg, 2015.
- Atkinson, J.; Meager, N. New Forms of Work Organization; Institute of manpower Studies: Brighton, UK, 1986. [Google Scholar]
- Steijn, B.; Kraan, K. The Labour Market Position of Flexible and Permanent Workers. In Reader Flexibilisering van Arbeid en Organisatie; Erasmus Universiteit: Rotterdam, NL, USA, 1997; pp. 1–21. [Google Scholar]
- De Witte, H.; Näswall, K. ‘Objective’ vs. ‘Subjective’ Job Insecurity: Consequences of Temporary Work for Job Satisfaction and Organizational Commitment in Four European Countries. Econ. Ind. Democr. 2003, 24, 149–188. [Google Scholar] [CrossRef]
- Gieseck, A.; Rujin, S. The impact of the recent spike in uncertainty on economic activity in the euro area. Econ. Bull. 2020, 6, 61–64. Available online: https://www.ecb.europa.eu/pub/economic-bulletin/focus/2020/html/ecb.ebbox202006_04~e36366efeb.en.html (accessed on 12 April 2021).
- European Central Bank. Economic Bulletin 2020, Issue 6, September. Available online: https://www.ecb.europa.eu/pub/economic-bulletin/html/eb202006.en.html (accessed on 12 April 2021).
- Organization for Economic Co-operation and Development. Strategic Foresight for the COVID-19 Crisis and Beyond: Using Futures Thinking to Design Better Public Policies; OECD Publishing: Paris, France, 2020; Available online: http://www.oecd.org/coronavirus/policy-responses/strategic-foresight-for-the-covid-19-crisis-and-beyond-using-futures-thinking-to-design-better-public-policies-c3448fa5/ (accessed on 12 April 2021).
- Nearchou, F.; Flinn, C.; Niland, R.; Subramaniam, S.S.; Hennessy, E. Exploring the impact of CoViD-19 on mental health outcomes in children and adolescents: A systematic review. Int. J. Environ. Res. Public Health 2020, 17, 8479. [Google Scholar] [CrossRef] [PubMed]
- Vindegaard, N.; Benros, M.E. COVID-19 pandemic and mental health consequences: Systematic review of the current evidence. Brain Behav. Immun. 2020, 89, 531–542. [Google Scholar] [CrossRef] [PubMed]
- Wilson, J.M.; Lee, J.; Fitzgerald, H.N.; Oosterhoff, B.; Sevi, B.; Shook, N.J. Job Insecurity and Financial Concern During the COVID-19 Pandemic Are Associated With Worse Mental Health. Occup. Environ. Med. 2020, 62, 686–691. [Google Scholar] [CrossRef] [PubMed]
- Bureau of Labor Statistics. The Employment Situation; Department of Labor Press: New Jersey, NJ, USA, 2020. Available online: https://www.bls.gov/news.release/pdf/empsit.pdf (accessed on 12 June 2020).
- International Labour Organization. ILO Monitor: COVID-19 and the World of Work, 2nd ed.; Updates Estimates and Analysis; 7 April 2020; ILO Press: Geneva, Switzerland, 2021; Available online: https://www.ilo.org/wcmsp5/groups/public/---dgreports/---dcomm/documents/briefingnote/wcms_740877.pdf (accessed on 12 April 2021).
- International Labour Organization. ILO Monitor: COVID-19 and the World of Work, 2nd ed.; Updates Estimates and Analysis; 25 January 2021; ILO Press: Geneva, Switzerland, 2021; Available online: https://www.ilo.org/wcmsp5/groups/public/@dgreports/@dcomm/documents/briefingnote/wcms_767028.pdf (accessed on 13 April 2021).
- Blustein, D.L.; Duffy, R.; Ferreira, J.A.; Cohen-Scali, V.; Cinamon, R.G.; Allan, B.A. Unemployment in the time of COVID-19: A research agenda. J. Vocat. Behav. 2020, 103436. [Google Scholar] [CrossRef]
- European Foundation for the Improvement of Living and Working Conditions. COVID-19: Implications for Employment and Working Life; COVID 19 Series; Publications Office of the European Union: Luxembourg. Available online: https://www.eurofound.europa.eu/publications/report/2021/covid-19-implications-for-employment-and-working-life (accessed on 13 April 2021).
- Cho, S.J.; Lee, J.Y.; Winters, J.V. Employment Impacts of the COVID-19 Pandemic across Metropolitan Status Size; IZA Institute of Labor Economics: Bonn, Germany, 2020; discussion 13468. [Google Scholar]
- Desmet, K.; Wacziarg, R. Understanding Spatial Variation in COVID-19 across the United States; Working Paper No. 27329; NBER Press: Cambridge, MA, USA, 2020. [Google Scholar]
- International Labour Organization(ILO)-Organisation for Economic Co-operation and Development(OECD). The Impact of the COVID-19 Pandemic on Jobs and Incomes in G20 Economies. ILO-OECD Paper Prepared at the Request of G20 Leaders Saudi Arabia’s G20 Presidency 2020. Available online: https://www.ilo.org/wcmsp5/groups/public/---dgreports/---cabinet/documents/publication/wcms_756331.pdf (accessed on 13 April 2021).
- Eurobarometer. Public Opinion Monitoring at a Glance in the Time of COVID-19. European Parliament. 2020. Available online: https://www.europarl.europa.eu/at-your-service/it/be-heard/eurobarometer?year=2020&type=eng.aac.eurobarometer.filters.type.specificSurveys (accessed on 13 April 2021).
- Dossche, M.; Zlatanos, S. COVID-19 and the Increase in Household Savings: Precautionary or Forced? Econ. Bull. 2020, 6, 65–69. Available online: https://ideas.repec.org/a/ecb/ecbbox/202000065.html (accessed on 13 April 2021).
- European Central Bank. Economic Bulletin—Statistical Annex 2021, Issue 1, January. Available online: https://www.ecb.europa.eu/pub/economic-bulletin/html/index.en.html (accessed on 12 April 2021).
- De Witte, H.; Pienaar, J.; De Cuyper, N. Review of 30 Years of Longitudinal Studies on the Association Between Job Insecurity and Health and Well-Being: Is There Causal Evidence? Aust. Psychol. 2016, 51, 18–31. [Google Scholar] [CrossRef]
- Greenhalgh, L.; Rosenblatt, Z. Job insecurity: Toward conceptual clarity. Acad Manage. Rev. 1984, 9, 438–448. [Google Scholar] [CrossRef]
- Mohr, G.B. The changing significance of different stressors after the announcement of bankruptcy: A longitudinal investigation with special emphasis on job insecurity. J. Organ. Behav. 2000, 21, 337–359. [Google Scholar] [CrossRef]
- Sverke, M.; Hellgren, J.; Näswall, K. No security: A meta-analysis and review of job insecurity and its consequences. J. Occup. Health Psychol. 2002, 7, 242–264. [Google Scholar] [CrossRef] [PubMed]
- De Witte, H. Job insecurity: Review of the international literature on definitions, prevalence, antecedents and consequences. SA J. Ind. Psychol. 2005, 31, 1–6. Available online: http://www.sajip.co.za/index.php/sajip/article/viewFile/200/197 (accessed on 12 April 2021). [CrossRef]
- Klandermans, B.; van Vuuren, T. Job insecurity. Eur. J. Work Organ. Psychol. 1999, 8, 145–314. [Google Scholar] [CrossRef]
- Callea, A.; Urbini, F.; Ingusci, E.; Chirumbolo, A. The relationship between contract type and job satisfaction in a mediated moderation model: The role of job insecurity and psychological contract violation. Econ. Ind. Democr. 2016, 37, 399–420. [Google Scholar] [CrossRef]
- De Cuyper, N.; Van Hootegem, A.; Smet, K.; Houben, E.; De Witte, H. All insecure, all good? Job insecurity profiles in relation to career correlates. Int. J. Environ. Res. Public Health 2019, 16, 2640. [Google Scholar] [CrossRef]
- Hellgren, J.; Sverke, M.; Isaksson, K. A two-dimensional approach to job insecurity: Consequences for employee attitudes and well-being. Eur. J. Work Organ. Psychol. 1999, 8, 179–195. [Google Scholar] [CrossRef]
- Greenhalgh, L.; Rosenblatt, Z. Evolution of research on job insecurity. Int. Stud. Manag. Organ. 2010, 40, 6–19. [Google Scholar] [CrossRef]
- Sverke, M.; Hellgren, J. The nature of job insecurity: Understanding employment uncertainty on the brink of a new millennium. Appl Psychol. Int. Rev. 2002, 51, 23–42. [Google Scholar] [CrossRef]
- Lazarus, R.S.; Folkman, S. Stress, Appraisal and Coping; Springer Publishing Company: New York, NY, USA, 1984. [Google Scholar]
- Lazarus, R.S. Stress and Emotion: A New Synthesis; Springer Publishing Company: New York, NY, USA, 1999. [Google Scholar]
- Katz, D.; Kahn, R.L. The Social Psychology of Organizations; Wiley: New York, NY, USA, 1978. [Google Scholar]
- Chirumbolo, A.; Urbini, F.; Callea, A. Dimensionality, Reliability and Validity of a Multidimensional Job Insecurity Questionnaire. Preliminary Findings in the Italian Context. Rass. Psicol. 2020, 37, 35–46. [Google Scholar] [CrossRef]
- Cheng, G.H.L.; Chan, D.K.S. Who Suffers More from Job Insecurity? A Meta-Analytic Review. Appl. Psychol. Int. Rev. 2008, 57, 272–303. [Google Scholar] [CrossRef]
- Chirumbolo, A.; Callea, A.; Urbini, F. Job insecurity and performance in public and private sectors: A moderated mediation model. J. Organ. Eff. 2020, 7, 237–253. [Google Scholar] [CrossRef]
- Chirumbolo, A.; Urbini, F.; Callea, A.; Lo Presti, A.; Talamo, A. Occupations at risk and organizational well-being: An empirical test of a job insecurity integrated model. Front. Psychol. 2017, 8, 2084. [Google Scholar] [CrossRef]
- Callea, A.; Lo Presti, A.; Mauno, S.; Urbini, F. The associations of quantitative/qualitative job insecurity and well-being: The role of self-esteem. Int. J. Stress Manag. 2019, 26, 46–56. [Google Scholar] [CrossRef]
- Callea, A.; Urbini, F.; Chirumbolo, A. The mediating role of organizational identification in the relationship between qualitative job insecurity, OCB and job performance. J. Manag. Dev. 2016, 35, 735–746. [Google Scholar] [CrossRef]
- Benito, A. Does job insecurity affect household consumption? Oxf. Econ. Pap. 2006, 58, 157–181. [Google Scholar] [CrossRef]
- Campos, R.; Reggio, I. Consumption in the shadow of unemployment. Eur. Econ. Rev. 2015, 78, 39–54. [Google Scholar] [CrossRef]
- Stephens, M. Job Loss Expectations, Realizations, and Household Consumption Behavior. Econ. Stat. 2004, 86, 253–269. [Google Scholar] [CrossRef]
- Bessho, S.I.; Tobita, E. Unemployment risk and buffer-stock saving: An empirical investigation in Japan. Jpn. World Econ. 2008, 20, 303–325. [Google Scholar] [CrossRef]
- Ravn, M.V.; Sterk, V. Job uncertainty and deep recessions. J. Monet. Econ. 2017, 90, 125–141. [Google Scholar] [CrossRef]
- Klemm, M. Job Security Perceptions and the Saving Behavior of German Households. Ruhr Econ. Paper 2012. [Google Scholar] [CrossRef]
- Castiglioni, C.; Hevierova, M.; Lozza, E. Changes in job insecurity and extraorganizational outcomes: The effects on consumption and major life decisions in Slovak Republic. Rass. Psicol. 2019, 36, 33–46. [Google Scholar] [CrossRef]
- Lozza, E.; Libreri, C.; Bosio, A.C. Temporary employment, job insecurity and their extraorganizational outcomes. Econ. Ind. Democr. 2013, 34, 89–105. [Google Scholar] [CrossRef]
- Campbell, D.; Carruth, A.; Dickerson, A.; Green, F. Job insecurity and wages. Int. Econ. J. 2007, 117, 544–566. [Google Scholar] [CrossRef]
- Scicchitano, S.; Biagetti, M.; Chirumbolo, A. More insecure and less paid? The effect of perceived job insecurity on wage distribution. Appl. Econ. 2020, 52, 1998–2013. [Google Scholar] [CrossRef]
- Sinclair, R.R.; Probst, T.M.; Watson, G.P.; Bazzoli, A. Caught between Scylla and Charybdis: How economic stressors and occupational risk factors influence workers’ occupational health reactions to COVID-19. Appl. Psychol. 2021, 70, 85–119. [Google Scholar] [CrossRef]
- Qian, Y.; Fan, W. Who loses income during the COVID-19 outbreak? Evidence from China. Res. Soc. Stratif. Mobil. 2020, 68, 100522. [Google Scholar] [CrossRef]
- Han, C. Precarity, precariousness, and vulnerability. Annu. Rev. Anthropol. 2018, 47, 331–343. [Google Scholar] [CrossRef]
- Standing, G. The Precariat: The New Dangerous Class; Bloomsbury Academic: London, UK, 2011. [Google Scholar]
- Standing, G. A Precariat Charter: From Denizens to CITIZENS; Bloomsbury Academic: London, UK, 2014. [Google Scholar]
- Kalleberg, A.L. Precarious Work, Insecure Workers: Employment Relations in Transition. Am. Sociol. Rev. 2009, 74, 1–22. [Google Scholar] [CrossRef]
- Oddo, V.M.; Zhuang, C.C.; Andrea, S.B.; Eisenberg-Guyot, J.; Peckham, T.; Jacoby, D.; Hajat, A. Changes in precarious employment in the United States: A longitudinal analysis. Scand. J. Work Environ. Health 2020, 46, 235–247. [Google Scholar] [CrossRef]
- Puig-Barrachina, V.; Vanroelen, C.; Vives, A.; Martínez, J.M.; Muntaner, C.; Levecque, K.; Louckx, F. Measuring employment precariousness in the European Working Conditions Survey: The social distribution in Europe. Work 2014, 49, 143–161. [Google Scholar] [CrossRef] [PubMed]
- Reuter, M.; Wahrendorf, M.; Di Tecco, C.; Probst, T.M.; Chirumbolo, A.; Ritz-Timme, S.; Dragano, N. Precarious employment and self-reported experiences of unwanted sexual attention and sexual harassment at work. An analysis of the European Working Conditions Survey. PLoS ONE 2020, 15, e0233683. [Google Scholar] [CrossRef] [PubMed]
- Rodgers, G. Precarious work in Western Europe: The state of the debate. In Precarious Jobs in Labour Market Regulation: The Growth of Atypical Employment in Western Europe; Rodgers, G., Rodgers, J., Eds.; International Labour Organization Press: Geneva, Switzerland, 1989; pp. 1–16. [Google Scholar]
- Long, M. Precarity, the humanities and slow death. Aust. Health Rev. 2015, 58, 93–99. Available online: http://repository.usp.ac.fj/8336/1/AHR58_10_Long.pdf (accessed on 13 April 2021).
- Waite, L. A place and space for a critical geography of precarity? Geogr. Compass 2009, 3, 412–433. [Google Scholar] [CrossRef]
- Leccardi, C. Facing uncertainty: Temporality and biographies in the new century. Young 2005, 13, 123–146. [Google Scholar] [CrossRef]
- Butler, J. Precarious Life: The Powers of Mourning and Violence; Verso Books: London, UK, 2004. [Google Scholar]
- Khosravi, S. Precarious Lives: Waiting and Hope in Iran; University of Pennsylvania Press: Philadelphia, PA, USA, 2017. [Google Scholar]
- Worth, N. Feeling precarious: Millennial women and work. Environ. Plan. D 2016, 34, 601–616. [Google Scholar] [CrossRef]
- Van den Bos, K. Making sense of life: The existential self trying to deal with personal uncertainty. Psychol. Inq. 2009, 20, 197–217. [Google Scholar] [CrossRef]
- Callea, A. Psicologia del Lavoro Atipico; The Psychology of atypical work; Alpes: Roma, Italy, 2011. [Google Scholar]
- Callea, A.; Urbini, F.; Bucknor, D. Temporary employment in Italy and its consequences on gender. Gend. Manag 2012, 27, 380–394. [Google Scholar] [CrossRef]
- Urbini, F.; Lo Presti, A.; Chirumbolo, A.; Callea, A. Two is worse than one: The mediating role of precariousness of life in the association between qualitative job insecurity and distress among Italian temporary employees. Electron. J. Appl. Stat. Anal. 2020, 13, 634–651. [Google Scholar] [CrossRef]
- Callea, A. Un nuovo disagio lavorativo: Validazione del questionario Precarietà di vita [A new working uneasiness: Validation of the precariousness of life inventory]. G. Ital. di Psicol. 2010, 4, 219–227. Available online: https://www.researchgate.net/profile/Antonino_Callea/publication/215872477_Validazione_del_questionario_Precarieta_di_vita/links/064ef66c5bff546f803f71e7.pdf (accessed on 13 April 2021).
- Callea, A.; Urbini, F.; Lo Presti, A. Valutare la salute dei lavoratori a tempo determinato: Validazione del Precariousness of Life Inventory (PLI-9)—versione breve [Assessing the health of temporary workers: Validation of the Precariousness of Life Inventory (PLI-9)—short version]. Psicol. Della Salut. 2016, 1, 133–149. [Google Scholar] [CrossRef]
- Hobfoll, S.E. Conservation of resources: A new attempt at conceptualizing stress. Am. Psychol. 1989, 44, 513–524. [Google Scholar] [CrossRef]
- Hobfoll, S.E. Conservation of Resources Theory: Its Implication for Stress, Health, and Resilience. In The Oxford Handbook of Stress, Health and Coping; Folkman, S., Ed.; Oxford University Press: Oxford, UK, 2011; pp. 127–147. [Google Scholar]
- Hobfoll, S.E.; Halbesleben, J.; Neveu, J.P.; Westman, M. Conservation of resources in the organizational context: The reality of resources and their consequences. Annu. Rev. J. Occup. Organ. Psychol. 2018, 5, 103–128. [Google Scholar] [CrossRef]
- Hogg, M.A. Uncertainty-Identity Theory. In Advances in Experimental Social Psychology; Zanna, M.P., Ed.; Academic Press: New York, NY, USA, 2007; pp. 70–126. [Google Scholar]
- Van den Bos, K.; Lind, E.A. Uncertainty Management by Means of Fairness Judgments. In Advances in Experimental Social Psychology; Zanna, M.P., Ed.; Cambridge University Press: Cambridge, UK, 2002; pp. 1–60. [Google Scholar]
- Lozza, E.; Castiglioni, C.; Bonanomi, A. The effects of changes in job insecurity on daily consumption and major life decisions. Econ. Ind. Democr. 2020, 41, 610–629. [Google Scholar] [CrossRef]
- Blotenberg, I.; Richter, A. Validation of the QJIM: A measure of qualitative job insecurity. Work Stress 2020, 34, 1–12. [Google Scholar] [CrossRef]
- Xiao, Z.; Wu, D.; Liao, Z. Job Insecurity and Workplace Deviance: The Moderating Role of Locus of Control. Soc. Behav. Pers. 2018, 46, 1673–1686. [Google Scholar] [CrossRef]
- Bull, S.S.; Levine, D.; Schmiege, S.; Santelli, J. Recruitment and retention of youth for research using social media: Experiences from the Just/Us study. Child. Youth Stud. 2013, 8, 171–181. [Google Scholar] [CrossRef]
- Morelli, M.; Cattelino, E.; Baiocco, R.; Trumello, C.; Babore, A.; Candelori, C.; Chirumbolo, A. Parents and Children During the COVID-19 Lockdown: The Influence of Parenting Distress and Parenting Self-Efficacy on Children’s Emotional Well-Being. Front. Psychol. 2020, 11, 2584. [Google Scholar] [CrossRef]
- Rife, S.C.; Cate, K.L.; Kosinski, M.; Stillwell, D. Participant recruitment and data collection through Facebook: The role of personality factors. Int. J. Soc. 2016, 19, 69–83. [Google Scholar] [CrossRef]
- Spinelli, M.; Lionetti, F.; Pastore, M.; Fasolo, M. Parents’ stress and children’s psychological problems in families facing the COVID-19 outbreak in Italy. Front. Psychol. 2020, 11, 1713. [Google Scholar] [CrossRef]
- Cohen, J. Statistical Power Analysis for the Behavioral Sciences, 2nd ed.; Erlbaum: Hillsdale, NJ, USA, 1988. [Google Scholar]
- Soper, D.S. Post-hoc Statistical Power Calculator for Hierarchical Multiple Regression. 2020. Available online: http://www.danielsoper.com/statcalc (accessed on 13 April 2021).
- Vander Elst, T.; De Witte, H.; De Cuyper, N. The Job Insecurity Scale: A psychometric evaluation across five European countries. Eur. J. Work Organ. Psychol. 2014, 23, 364–380. [Google Scholar] [CrossRef]
- Urbanaviciute, I.; Lazauskaite-Zabielske, J.; Vander Elst, T.; De Witte, H. Qualitative job insecurity and turnover intention. Career Dev. Int. 2018, 23, 274–290. [Google Scholar] [CrossRef]
- De Witte, H.; De Cuyper, N.; Handaja, Y.; Sverke, M.; Näswall, K.; Hellgren, J. Associations between quantitative and qualitative job insecurity and well-being: A test in Belgian banks. Int. Stud. Manag. Organ. 2010, 40, 40–56. [Google Scholar] [CrossRef]
- Bagozzi, R.P.; Heatherton, T.F. A general approach to representing multifaceted personality constructs: Application to state self-esteem. Struct Equ. Modeling 1994, 1, 35–67. [Google Scholar] [CrossRef]
- Coffman, D.L.; MacCallum, R.C. Using parcels to convert path analysis models into latent variable models. Multivar. Behav. Res. 2005, 40, 235–259. [Google Scholar] [CrossRef] [PubMed]
- Little, T.D.; Cunningham, W.A.; Shahar, G.; Widaman, K.F. To parcel or not to parcel: Exploring the question, weighing the merits. Struct Equ. Modeling 2002, 9, 151–173. [Google Scholar] [CrossRef]
- Bollen, K.A. A new incremental fit index for general structural equation models. Sociol. Methods Res. 1989, 17, 303–316. [Google Scholar] [CrossRef]
- Byrne, B.M. Structural Equation Modeling with EQS and EQS/Windows: Basic Concepts, Applications and Programming; Sage Publications: Thousand Oaks, CA, USA, 1994. [Google Scholar]
- Marsh, H.W.; Hau, K.T.; Wen, Z. In Search of Golden Rules: Comment on Hypothesis-Testing Approaches to Setting Cutoff Values for Fit Indexes and Dangers in Overgeneralizing Hu and Bentler’s Findings. Struct Equ. Modeling 2004, 11, 320–341. [Google Scholar] [CrossRef]
- Hu, L.T.; Bentler, P.M. Cutoff Criteria for Fit Indexes in Covariance Structure Analysis: Conventional Criteria Versus New Alternatives. Struct Equ. Modeling 1999, 6, 1–55. [Google Scholar] [CrossRef]
- Browne, M.W.; Cudeck, R. Alternative ways of assessing model fit. In Testing Structural Equation Models; Bollen, K.A., Long, J.S., Eds.; Sage: Newbury Park, CA, USA, 1993; pp. 136–162. [Google Scholar]
- Hayes, A.F. Beyond Baron and Kenny: Statistical Mediation Analysis in the New Millennium. Commun. Monographs 2009, 76, 408–420. [Google Scholar] [CrossRef]
- Preacher, K.J.; Hayes, A.F. Asymptotic and resampling strategies for assessing and comparing indirect effects in multiple mediator models. Behav. Res. Methods 2008, 40, 879–891. [Google Scholar] [CrossRef] [PubMed]
- Muthén, L.K.; Muthén, B.O. Mplus User’s Guide, 8th ed.; Muthén & Muthén: Los Angeles, CA, USA, 2017. [Google Scholar]
- Satorra, A.; Bentler, P.M. A scaled difference chi-square test statistic for moment structure analysis. Psychometrika 2001, 66, 507–514. [Google Scholar] [CrossRef]
- James, L.R.; Mulaik, S.A.; Brett, J.M. A tale of two methods. Organ. Res. Methods 2006, 9, 233–244. [Google Scholar] [CrossRef]
- Del Rio, C.; Collins, L.F.; Malani, P. Long-term health consequences of COVID-19. JAMA 2020, 324, 1723–1724. [Google Scholar] [CrossRef] [PubMed]
- González-Sanguino, C.; Ausín, B.; Castellanos, M.Á.; Saiz, J.; López-Gómez, A.; Ugidos, C.; Muñoz, M. Mental health consequences during the initial stage of the 2020 Coronavirus pandemic (COVID-19) in Spain. Brain Behav. Immun. 2020, 87, 172–176. [Google Scholar] [CrossRef]
- Ali, M.; Alam, N.; Rizvi, S.A.R. Coronavirus (COVID-19)—An epidemic or pandemic for financial markets. J. Behav. Exp. Financ. 2020, 27, 100341. [Google Scholar] [CrossRef]
- Donthu, N.; Gustafsson, A. Effects of COVID-19 on business and research. J. Bus. Res. 2020, 117, 284–289. [Google Scholar] [CrossRef]
- Goodell, J.W. COVID-19 and finance: Agendas for future research. Financ. Res. Lett. 2020, 35, 101512. [Google Scholar] [CrossRef]
- Kartseva, M.A.; Kuznetsova, P.O. The economic consequences of the coronavirus pandemic: Which groups will suffer more in terms of loss of employment and income? J. Popul. Econ. 2020, 4, 26–33. [Google Scholar] [CrossRef]
- Fuciu, M. Effects of the SARS-COV-2 Pandemic on the Marketing and the Consumption Activity. Land Forces Acad. Rev. 2020, 25, 347–355. [Google Scholar] [CrossRef]
- UNCTAD and NetComm Suisse eCommerce Association. COVID-19 and E-Commerce, Findings from a Survey of Online Consumers in 9 Countries. 2020. Available online: https://unctad.org/system/files/official-document/dtlstictinf2020d1_en.pdf108 (accessed on 12 April 2021).
- Baron, R.M.; Kenny, D.A. The moderator–mediator variable distinction in social psychological research: Conceptual, strategic, and statistical considerations. J. Pers. Soc. Psychol. 1986, 51, 1173–1182. [Google Scholar] [CrossRef] [PubMed]
- Akaike, H. Factor analysis and AIC. Psychometrika 1987, 52, 317–332. [Google Scholar] [CrossRef]


| Everyday Consumptions | Log-Term Life Projects |
|---|---|
| Housing (e.g., household expenses). | Buying something lasting (e.g., house, car). |
| Food (e.g., ordinary food, good-quality groceries). | Go living alone. |
| Clothing (e.g., ordinary and fashionable clothes). | Leave the family of origin. |
| Beauty care (e.g., cosmetics, personal care products). | Go living together with a partner |
| Healthcare (e.g., medications, drugs). | Getting married. |
| Electronic devices (e.g., mobile phones, computers, tablets) | Having children. |
| Domestic appliances (e.g., fridge). | Renting a house |
| Leisure activities (e.g., going to theatres, concerts, cinemas, pubs, restaurants, clubs). | Long term economic investments (e.g., obtain a home loan or a bank loan). |
| Vacations (e.g., weekends, tourism, summer holidays) | Undergo a major surgery. |
| Use of private vehicles (e.g., car, motorbikes). | Enable a pension plan. |
| Socio-Demographic Characteristics | % |
|---|---|
| Education level | |
| 1. Middle school | 4.2 |
| 2. High school | 38.3 |
| 3. University degree or higher | 57.5 |
| Marital status | |
| 1. Single | 27.1 |
| 2. Married (or lived with a partner) | 59.6 |
| 3. Divorced | 11.3 |
| 4. Widowed | 1.9 |
| Socio-economic status | |
| 1. Low | 5.9 |
| 2. Medium low | 21.7 |
| 3. Medium | 59.4 |
| 4. Medium high | 12.7 |
| 5. High | 0.04 |
| Contract | |
| 1. Permanent | 72.8 |
| 2. Temporary | 6.5 |
| 3. Self employed | 12.2 |
| 4. No contract | 8.6 |
| Occupational status | |
| 1. Full-time | 82.7 |
| 2. Part-time | 6.7 |
| 3. Involuntary part-time | 3.4 |
| 4. Occasional | 7.2 |
| Productive sector | |
| 1. Industry | 11.1 |
| 2. Service | 88.0 |
| 3. Agricultural | 1.0 |
| Organizational sector | |
| 1. Public | 63.9 |
| 2. Private | 36.1 |
| Profession | |
| 1. Blue collars | 2.5 |
| 2. White collars | 76.3 |
| 3. Liberal professions | 6.9 |
| 4. Self-employed | 4.9 |
| 5. Others | 9.3 |
| Variables | M | SD | 1 | 2 | 3 | 4 | 5 |
|---|---|---|---|---|---|---|---|
| 1. JIQT | 2.02 | 0.93 | 1 | ||||
| 2. JIQL | 2.36 | 1.05 | 0.59 ** | 1 | |||
| 3. LU | 2.05 | 0.96 | 0.52 ** | 0.49 ** | 1 | ||
| 4. SDC | 2.49 | 0.87 | 0.21 ** | 0.24 ** | 0.33 ** | 1 | |
| 5. LP | 3.69 | 1.08 | 0.09 ** | 0.05 ** | 0.12 ** | 0.12 ** | 1 |
| Wilks’ Lambda | F | p | |
|---|---|---|---|
| Gender | 0.97 | 3.92 | 0.002 |
| Age | 0.90 | 17.2 | <0.001 |
| Education | 0.94 | 10.2 | <0.001 |
| Socio-Economic Status | 0.96 | 5.91 | <0.001 |
| Independent Variables | Dependent Variables | F | p |
|---|---|---|---|
| Gender | JI_QT | 0.88 | 0.34 |
| JI_QL | 2.43 | 0.11 | |
| LU | 1.50 | 0.22 | |
| LP | 8.63 | 0.003 | |
| SDC | 2.94 | 0.08 | |
| Age | JI_QT | 13.5 | <0.001 |
| JI_QL | 4.34 | 0.03 | |
| LU | 14.37 | <0.001 | |
| LP | 53.41 | <0.001 | |
| SDC | 1.59 | 0.20 | |
| Education | JI_QT | 26.60 | <0.001 |
| JI_QL | 0.46 | 0.49 | |
| LU | 16.73 | <0.001 | |
| LP | 0.075 | 0.78 | |
| SDC | 13.46 | <0.001 | |
| Socio Economic Status | JI_QT | 6.68 | 0.01 |
| JI_QL | 8.11 | 0.005 | |
| LU | 5.85 | 0.016 | |
| LP | 5.75 | 0.017 | |
| SDC | 22.60 | <0.001 |
| JI_QT | JI_QL | LU | LP | SDC | ||
|---|---|---|---|---|---|---|
| Gender | Males | 2.07 (0.95) | 2.28 (1.07) | 2.00 (0.89) | 3.53 (1.12) | 2.42 (0.84) |
| Females | 2.00 (0.92) | 2.40 (1.04) | 2.09 (0.99) | 3.77 (1.06) | 2.53 (0.89) | |
| Age | <50 | 2.14 (1.00) | 2.44 (1.07) | 2.18 (1.02) | 3.43 (1.15) | 2.53 (0.85) |
| ≥50 | 1.90 (0.84) | 2.29 (1.03) | 1.93 (0.88) | 3.96 (0.93) | 2.46 (0.89) | |
| Education | University | 1.88 (0.85) | 2.34 (0.96) | 1.94 (0.90) | 3.70 (1.04) | 2.40 (0.86) |
| high school or lower | 2.21 (1.01) | 2.39 (1.16) | 2.22 (1.03) | 3.68 (1.15) | 2.62 (0.88) | |
| Socio-Economic Status | Middle-High | 1.81 (0.83) | 2.10 (0.95) | 1.85 (0.82) | 3.46 (1.23) | 2.13 (0.79) |
| Middle-Low | 2.05 (0.94) | 2.40 (1.06) | 2.09 (0.98) | 3.73 (1.06) | 2.55 (0.87) |
| Indirect Effect | Effect | SE | p | Bootstrap 95% CI |
|---|---|---|---|---|
| Indirect Effect: jiqt → lu → sdc | 0.085 | 0.034 | 0.01 | [0.016; 0.132] |
| Indirect Effect: jiqt → lu → lp | 0.026 | 0.013 | 0.04 | [0.004; 0.062] |
| Indirect Effect: jiql → lu → sdc | 0.147 | 0.035 | 0.01 | [0.087; 0.237] |
| Indirect Effect: jiql → lu → lp | 0.045 | 0.019 | 0.01 | [0.018; 0.121] |
Publisher’s Note: MDPI stays neutral with regard to jurisdictional claims in published maps and institutional affiliations. |
© 2021 by the authors. Licensee MDPI, Basel, Switzerland. This article is an open access article distributed under the terms and conditions of the Creative Commons Attribution (CC BY) license (https://creativecommons.org/licenses/by/4.0/).
Share and Cite
Chirumbolo, A.; Callea, A.; Urbini, F. The Effect of Job Insecurity and Life Uncertainty on Everyday Consumptions and Broader Life Projects during COVID-19 Pandemic. Int. J. Environ. Res. Public Health 2021, 18, 5363. https://doi.org/10.3390/ijerph18105363
Chirumbolo A, Callea A, Urbini F. The Effect of Job Insecurity and Life Uncertainty on Everyday Consumptions and Broader Life Projects during COVID-19 Pandemic. International Journal of Environmental Research and Public Health. 2021; 18(10):5363. https://doi.org/10.3390/ijerph18105363
Chicago/Turabian StyleChirumbolo, Antonio, Antonino Callea, and Flavio Urbini. 2021. "The Effect of Job Insecurity and Life Uncertainty on Everyday Consumptions and Broader Life Projects during COVID-19 Pandemic" International Journal of Environmental Research and Public Health 18, no. 10: 5363. https://doi.org/10.3390/ijerph18105363
APA StyleChirumbolo, A., Callea, A., & Urbini, F. (2021). The Effect of Job Insecurity and Life Uncertainty on Everyday Consumptions and Broader Life Projects during COVID-19 Pandemic. International Journal of Environmental Research and Public Health, 18(10), 5363. https://doi.org/10.3390/ijerph18105363

