Mechanism of Stability and Transport of Chitosan-Stabilized Nano Zero-Valent Iron in Saturated Porous Media
Abstract
1. Introduction
2. Materials and Methods
2.1. Materials
2.2. Characterization and Analytical Methods
2.3. Preperation of CTS-nZVI
2.4. Settling Experiment
2.5. Sand Column Experiment
3. Results
3.1. Characterization of CTS-nZVI
3.2. Effect of pH on Settling and Transport
3.2.1. Effect of pH on Settling
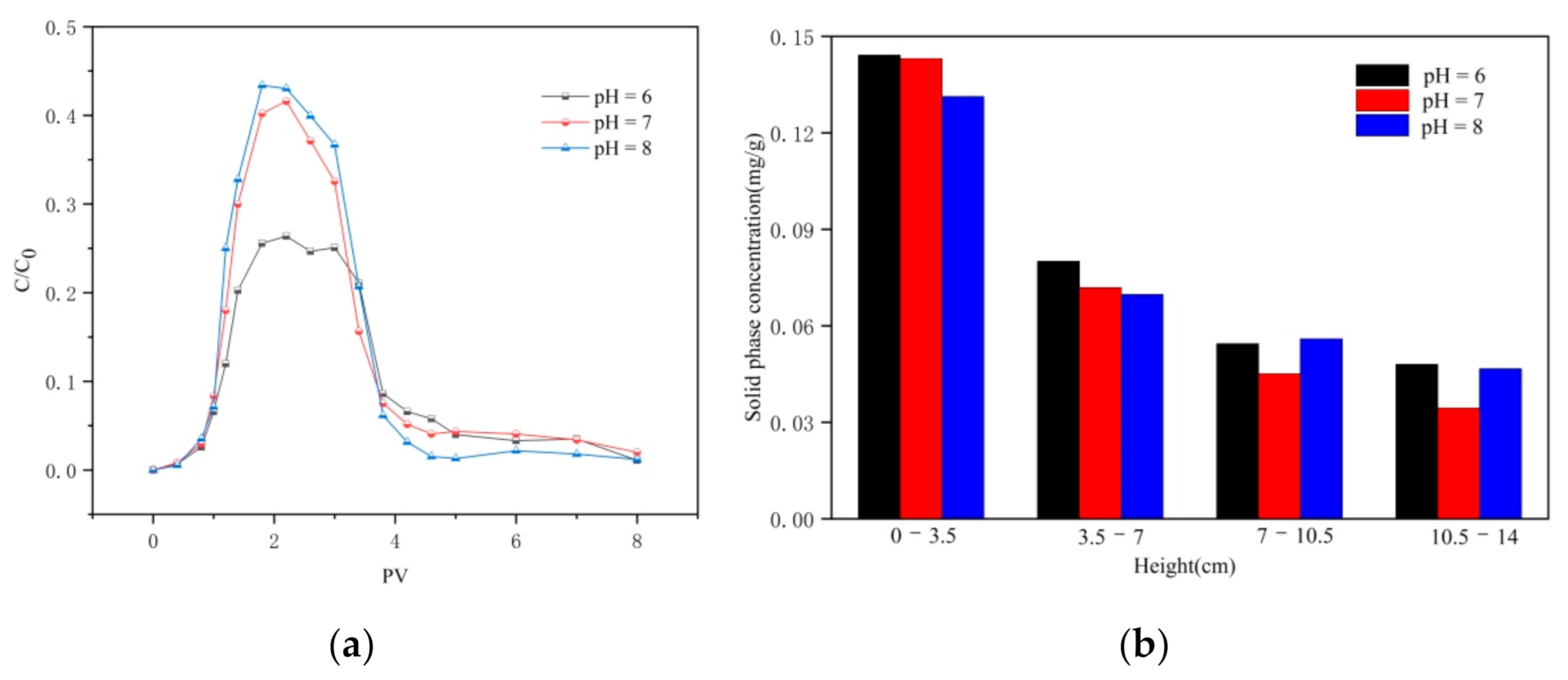
3.2.2. Effect of pH on Transport
3.3. Effect of Ionic Strength and Ion Species on Settling and Transport
3.3.1. Effect of Ionic Strength and Ion Species on Settlement
3.3.2. Effect of Ionic Strength and Ion Species on Transport
3.4. Effect of Injection Velocity on Transport
4. Discussion
4.1. Mechanism Analysis of Influence on Stability
4.2. Colloidal Filtration Theory
4.3. Simulation of Solute Transport
5. Conclusions
- (1)
- The characterization results exhibit that chitosan improves antioxidation and inhibits the aggregation of nZVI particles.
- (2)
- With the higher pH and the lower ionic strength, the stability of nZVI is better. At the same ionic strength, Ca2+ has a more negative influence on the stability of CTS-nZVI than Na+. The charge amount of CTS-nZVI changes the repulsive potential energy between particles, which changes the stability of CTS-nZVI.
- (3)
- A series of sand column experiments show that the transport of CTS-nZVI in saturated porous media is related to its stability. When the pH is higher and the ionic strength is lower, the mobility of nZVI is better. At the same ionic strength, Ca2+ has a more negative influence on the mobility of CTS-nZVI than Na+. As the larger fluid shear force can promote the mobility of nanoparticles, CTS-nZVI exhibits an enhanced transport in saturated porous media with the increase in injection velocity.
- (4)
- According to the colloidal filtration theory, gravity settlement is an important factor affecting the deposition of CTS-nZVI. Transport behaviors of CTS-nZVI are described by the nanoparticles’ spatial distribution in sand columns using an attachment–detachment model in HYDRUS-1D. The simulation results show that straining is an important factor affecting the transport of CTS-nZVI.
Supplementary Materials
Author Contributions
Funding
Institutional Review Board Statement
Informed Consent Statement
Data Availability Statement
Conflicts of Interest
References
- Qu, G.; Zeng, D.; Chu, R.; Wang, T.; Liang, D.; Qiang, H. Magnetic Fe3O4 assembled on nZVI supported on activated carbon fiber for Cr(VI) and Cu(II) removal from aqueous solution through a permeable reactive column. Environ. Sci. Pollut. Res. 2019, 26, 5176–5188. [Google Scholar] [CrossRef] [PubMed]
- Li, X.; Huang, L.; Fang, H.; He, G.; Reible, D.; Wang, C. Immobilization of phosphorus in sediments by nano zero-valent iron (nZVI) from the view of mineral composition. Sci. Total Environ. 2019, 694, 133695. [Google Scholar] [CrossRef] [PubMed]
- Danish, M.; Gu, X.; Lu, S.; Naqvi, M. Degradation of chlorinated organic solvents in aqueous percarbonate system using zeolite supported nano zero valent iron (Z-nZVI) composite. Environ. Sci. Pollut. Res. 2016, 23, 13298–13307. [Google Scholar] [CrossRef] [PubMed]
- Wacławek, S.; Nosek, J.; Cádrová, L.; Antoš, V.; Černík, M. Use of Various Zero Valent Irons for Degradation of Chlorinated Ethenes and Ethanes. Ecol. Chem. Eng. S 2015, 22, 577–587. [Google Scholar] [CrossRef]
- Fu, F.; Dionysiou, D.D.; Liu, H. The use of zero-valent iron for groundwater remediation and wastewater treatment: A review. J. Hazard. Mater. 2014, 267, 194–205. [Google Scholar] [CrossRef]
- Zhang, Q.; Yue, J.J.; Liu, R.Y.; An, Y. Influencing factors of nano zero valent iron transport in groundwater. Water Purif. Technol. 2018, 37, 44–49. [Google Scholar]
- Kocur, C.M.; Chowdhury, A.I.; Sakulchaicharoen, N.; Boparai, H.K.; Weber, K.P.; Sharma, P.; Krol, M.M.; Austrins, L.; Peace, C.; Sleep, B.E.; et al. Characterization of nZVI Mobility in a Field Scale Test. Environ. Sci. Technol. 2014, 48, 2862–2869. [Google Scholar] [CrossRef]
- Xin, S.; Lin, Z.; Ding, Y.Z.; Liu, B.; Zeng, H.; Zhong, L.R.; Li, X.Q. Foam, a promising vehicle to deliver nanoparticles for vadose zone remediation. J. Hazard. Mater. 2011, 186, 1773–1780. [Google Scholar]
- Mackenzie, K.; Bleyl, S.; Georgi, A.; Kopinke, F. Carbo-Iron—An Fe/AC composite—As alternative to nano-iron for groundwater treatment. Water Res. 2012, 46, 3817–3826. [Google Scholar] [CrossRef]
- Bleyl, S.; Kopinke, F.; Mackenzie, K. Carbo-Iron®—Synthesis and stabilization of Fe (0)-doped colloidal activated carbon for in situ groundwater treatment. Chem. Eng. J. 2012, 191, 588–595. [Google Scholar] [CrossRef]
- Phenrat, T.; Kim, H.J.; Fagerlund, F.; Illangasekare, T.; Lowry, G.V. Empirical correlations to estimate agglomerate size and deposition during injection of a polyelectrolyte-modified Fe0 nanoparticle at high particle concentration in saturated sand. J. Contam. Hydrol. 2010, 118, 152–164. [Google Scholar] [CrossRef]
- Yang, L.; Chen, Y.; Ouyang, D.; Yan, J.; Qian, L.; Han, L.; Chen, M.; Li, J.; Gu, M. Mechanistic insights into adsorptive and oxidative removal of monochlorobenzene in biochar-supported nanoscale zero-valent iron/persulfate system. Chem. Eng. J. 2020, 400, 125811. [Google Scholar] [CrossRef]
- Zhang, W.X. Nanoscale Iron Particles for Environmental Remediation: An Overview. J. Nanoparticle Res. 2003, 5, 323–332. [Google Scholar] [CrossRef]
- Wang, W. Preparation of Coated Nano Iron and Its Application in Remediation of Groundwater Pollution. Ph.D. Thesis, Nankai University, Tianjin, China, 2008. [Google Scholar]
- Yan, X.X.; Liu, T.Y.; Wang, Z.L. Study on the removal of divalent cadmium from water by chitosan nano zero valent iron ball. J. Tianjin Norm. Univ. 2014, 34, 42–46. [Google Scholar]
- Geng, B. Preparation of Chitosan Stabilized Nano Iron and Its Remediation of Hexavalent Chromium Pollution in Surface Water. Ph.D. Thesis, Nankai University, Tianjin, China, 2009. [Google Scholar]
- Xu, L.; Zou, Y.; Yan, C.; Shi, Q.Q. PU Shengyan chitosan coated nano iron for removal of trichloroethylene from water. Ind. Water Treat. 2018, 38, 22–25. [Google Scholar]
- Zhou, X.Y. Degradation of Trichloroethylene in Groundwater by Chitosan Coated Nano Iron Nickel Bimetallic Nanoparticles. Master’s Thesis, China University of Geosciences, Beijing, China, 2018. [Google Scholar]
- Wen, C.Y. Transport Mechanism and Remediation Efficiency of Surface Modified Iron Nanoparticles in Aquifers. Ph.D. Thesis, Jilin University, Jilin, China, 2018. [Google Scholar]
- Zhang, Y. Effect of Pectin Coated Nano Zero Valent Iron on Cr in Soil. Master’s Thesis, Taiyuan University of Technology, Shanxi, China, 2016. [Google Scholar]
- Zhan, C. Removal of 1,1,1-tca and Cr (Ⅵ) from Groundwater by Nano Fe/Ni Bimetallic Entrapment With paa-b-ps. Master’s Thesis, East China University of Science and Technology, Shanghai, China, 2019. [Google Scholar]
- Wang, Y.X.; Zhang, Y.X.; Jing, Q.; Huang, X.Z.; Tian, Z.J. Transport of CMS modified nano iron in heterogeneous porous media under different pH conditions. Chem. Prog. 2020, 39, 1567–1574. [Google Scholar]
- Zhang, J.; Wei, C.J.; Bai, G.; Yang, C.G.; Wang, X.; Yang, H.W. Transport of nano zero valent iron adsorbed by Xie Yuefeng polymer in porous media. Chin. Environ. Sci. 2018, 38, 3747–3754. [Google Scholar]
- Li, K.X.; Zhang, Y.X.; Lan, S.S.; Liu, X.R.; Chang, S.; Zhang, F. Transport of zero valent iron nanoparticles modified by sodium carboxymethyl starch in saturated porous media. Appl. Chem. 2017, 46, 820–824. [Google Scholar]
- Zhang, W.; Lin, H.; Chen, Y.Y. Application and development prospect of chitin and chitosan. J. Nantong Univ. 2006, 5, 29–33. [Google Scholar]
- Zhou, X.Y.; Li, Z.; Chen, J.W.L. Study on transport properties of nano iron nickel bimetallic coated with chitosan and its degradation of trichloroethylene in groundwater. Mod. Geol. 2018, 32, 1322–1328. [Google Scholar]
- China National Standardization Administration Committee. Standard for Groundwater Quality: GB/T 14848-2017; Standardization Administration of China: Beijing, China, 2017.
- Chemical Products for Industrial Use. In General Method for Determination of Iron Content-1, 10-Phenanthroline Spectrophotometric Method; GB/T 3049-2006; Standardization Administration of China: Beijing, China, 2006. Available online: https://m.antpedia.com/standard/5128470.html (accessed on 10 March 2021).
- Mystrioti, C.; Papassiopi, N.; Xenidis, A.; Dermatas, D.; Chrysochoou, M. Column study for the evaluation of the transport properties of polyphenol-coated nanoiron. J. Hazard. Mater. 2015, 281, 64–69. [Google Scholar] [CrossRef] [PubMed]
- Liu, R.Y. Effect of Denitrifying Bacteria on the Transport of Chitosan Coated Iron Nanoparticles. Master’s Thesis, Tianjin University of Technology, Tianjin, China, 2019. [Google Scholar]
- Department of Physical Chemistry, Tianjin University. Physical Chemistry; Higher Education Press: Tianjin, China, 2010. [Google Scholar]
- Sun, N.Z. Groundwater Pollution; Geology Press: Beijing, China, 1989. [Google Scholar]
- Zheng, X.L. Groundwater Pollution Control; Huazhong University of Science and Technology Press: Wuhan, China, 2009. [Google Scholar]
- Dong, H.; Lo, I.M.C. Influence of calcium ions on the colloidal stability of surface-modified nano zero-valent iron in the absence or presence of humic acid. Water Res. 2013, 47, 2489–2496. [Google Scholar] [CrossRef] [PubMed]
- Liu, Y.; Zhang, Y.; Lan, S.; Hou, S. Transport experiment and numerical simulation of modified nanoscale zero-valent iron (nZVI) in porous media. J. Hydrol. 2019, 579, 124193. [Google Scholar] [CrossRef]
- Tufenkji, N.; Elimelech, M. Correlation Equation for Predicting Single-Collector Efficiency in Physicochemical Filtration in Saturated Porous Media. Environ. Sci. Technol. 2004, 38, 529–536. [Google Scholar] [CrossRef] [PubMed]
- Seetha, N.; Raoof, A.; Mohan Kumar, M.S.; Majid Hassanizadeh, S. Upscaling of nanoparticle transport in porous media under unfavorable conditions: Pore scale to Darcy scale. J. Contam. Hydrol. 2017, 200, 1–14. [Google Scholar] [CrossRef]
- Zhang, Y.F.; Zhang, W.Z. Numerical simulation of vertical one-dimensional homogeneous soil moisture movement—Mathematical model and calculation method. Eng. Investig. 1984, 6, 51–55. [Google Scholar]
- Wang, W.T. General formula for estimating viscosity of strong electrolyte aqueous solution. Des. Chem. Plant 1989, 3, 44–51. [Google Scholar]
- Bradford, S.A.; Simunek, J.; Bettahar, M.; van Genuchten, M.T.; Yates, S.R. Modeling Colloid Attachment, Straining, and Exclusion in Saturated Porous Media. Environ. Sci. Technol. 2003, 37, 2242–2250. [Google Scholar] [CrossRef]
- Yu, X.X.; Zhang, X.M.; Niu, L.L. Simulated multi-scale watershed runoff and sediment production based on GeoWEPP model. Int. J. Sediment Res. 2009, 24, 465–478. [Google Scholar] [CrossRef]











| NO. | Eff. Diam. (nm) | Polydispersity | Baseline Index | Count Rate (kcps) | Data Retained (%) | Diffusion Coeff. (cm2/s) |
|---|---|---|---|---|---|---|
| TEST 1 | 723.00 | 0.299 | 8.6 | 421.5 | 97.07 | 6.535 × 10−9 |
| TEST 2 | 662.00 | 0.276 | 9.4 | 420.5 | 99.34 | 7.380 × 10−9 |
| TEST 3 | 610.00 | 0.267 | 6.9 | 513.1 | 98.29 | 2.947 × 10−9 |
| Mean | 665.00 | 0.281 | 8.3 | 451.7 | 98.23 | 5.620 × 10−9 |
| Influence Factor | Expression (y is Relative Concentration, x is Time) | R2 | Sum of Squares of Residuals | Asymptote |
|---|---|---|---|---|
| pH = 6 | y = 0.2251 + 0.7655 × exp(−0.0298x) | 0.9986 | 0.00005 | y = 0.2251 |
| pH = 7 | y = 0.5163 + 0.4858 × exp(−0.0443x) | 0.9893 | 0.00018 | y = 0.5163 |
| pH = 8 | y = 0.5514 + 0.4635 × exp(−0.0415x) | 0.9949 | 0.00008 | y = 0.5514 |
| pH | Time (min) | Δ(C/C0) | Settling Rate (min−1) |
|---|---|---|---|
| 6 | 0~10 | 0.19727 | 0.01973 |
| 10~20 | 0.14643 | 0.01464 | |
| 20~30 | 0.10870 | 0.01087 | |
| 30~40 | 0.08069 | 0.00807 | |
| 40~50 | 0.05989 | 0.00600 | |
| 50~60 | 0.04446 | 0.00445 | |
| 7 | 0~10 | 0.17386 | 0.01738 |
| 10~20 | 0.11164 | 0.01116 | |
| 20~30 | 0.07169 | 0.00717 | |
| 30~40 | 0.04603 | 0.00460 | |
| 40~50 | 0.02956 | 0.00296 | |
| 50~60 | 0.01898 | 0.00190 | |
| 8 | 0~10 | 0.15743 | 0.01574 |
| 10~20 | 0.10396 | 0.01040 | |
| 20~30 | 0.06865 | 0.00686 | |
| 30~40 | 0.04533 | 0.00453 | |
| 40~50 | 0.02993 | 0.00299 | |
| 50~60 | 0.01977 | 0.00198 |
| pH | Injection Iron (mg) | Retained Iron (mg) | Retain Ratio |
|---|---|---|---|
| 6 | 18.25 | 12.12 | 66.41% |
| 7 | 18.25 | 10.93 | 59.89% |
| 8 | 18.25 | 11.25 | 61.64% |
| Influencing Factor | Expression (y is Relative Concentration, x is Time) | R2 | Sum of Squares of Residuals | Asymptote |
|---|---|---|---|---|
| 0 mM | y = 0.5163 + 0.4858 × exp(−0.0443x) | 0.9893 | 0.00018 | y = 0.5163 |
| NaCl, 30 mM | y = 0.4318 + 0.6092 × exp(−0.1101x) | 0.9828 | 0.00040 | y = 0.4318 |
| NaCl, 100 mM | y = 0.3068 + 0.6280 × exp(−0.0916x) | 0.9802 | 0.00053 | y = 0.3068 |
| CaCl2, 30 mM | y = 0.2748 + 0.7863 × exp(−0.1603x) | 0.9920 | 0.00025 | y = 0.2748 |
| CaCl2, 100 mM | y = 0.2482 + 0.7504 × exp(−0.1590x) | 0.9966 | 0.00010 | y = 0.2483 |
| Influencing Factor | Time (min) | Δ(C/C0) | Settling Rate (min−1) | Influencing Factor | Time (min) | Δ(C/C0) | Settling Rate (min−1) |
|---|---|---|---|---|---|---|---|
| 0 mM | 0~10 | 0.17386 | 0.01739 | ||||
| 10~20 | 0.11164 | 0.01116 | |||||
| 20~30 | 0.07169 | 0.00717 | |||||
| 30~40 | 0.04603 | 0.00460 | |||||
| 40~50 | 0.02956 | 0.00296 | |||||
| 50~60 | 0.01898 | 0.00190 | |||||
| NaCl, 30 mM | 0~10 | 0.40662 | 0.04066 | NaCl, 100 mM | 0~10 | 0.37673 | 0.03767 |
| 10~20 | 0.13522 | 0.01352 | 10~20 | 0.15074 | 0.01507 | ||
| 20~30 | 0.04496 | 0.04496 | 20~30 | 0.06031 | 0.00603 | ||
| 30~40 | 0.01495 | 0.00149 | 30~40 | 0.02413 | 0.00241 | ||
| 40~50 | 0.00497 | 0.00050 | 40~50 | 0.00966 | 0.00097 | ||
| 50~60 | 0.00165 | 0.00017 | 50~60 | 0.00386 | 0.00039 | ||
| CaCl2, 30 mM | 0~10 | 0.62802 | 0.62802 | CaCl2, 100 mM | 0~10 | 0.59737 | 0.05974 |
| 10~20 | 0.12642 | 0.12642 | 10~20 | 0.12182 | 0.01218 | ||
| 20~30 | 0.02545 | 0.02545 | 20~30 | 0.02484 | 0.00248 | ||
| 30~40 | 0.00512 | 0.00512 | 30~40 | 0.00507 | 0.00051 | ||
| 40~50 | 0.00103 | 0.00103 | 40~50 | 0.00103 | 0.00010 | ||
| 50~60 | 0.00021 | 0.00021 | 50~60 | 0.00021 | 0.00002 |
| Influence Factor | Injection Iron (mg) | Retained Iron (mg) | Retain Ratio |
|---|---|---|---|
| 0 mM | 18.25 | 10.93 | 59.89% |
| NaCl, 30 mM | 18.25 | 12.54 | 68.71% |
| NaCl, 100 mM | 18.25 | 15.28 | 83.72% |
| CaCl2, 30 mM | 18.25 | 15.73 | 86.19% |
| Injection Velocity (mL/min) | Injection Iron (mg) | Retained Iron (mg) | Retain Ratio |
|---|---|---|---|
| 9 | 18.25 | 10.93 | 59.89% |
| 18 | 18.25 | 6.80 | 37.26% |
Publisher’s Note: MDPI stays neutral with regard to jurisdictional claims in published maps and institutional affiliations. |
© 2021 by the authors. Licensee MDPI, Basel, Switzerland. This article is an open access article distributed under the terms and conditions of the Creative Commons Attribution (CC BY) license (https://creativecommons.org/licenses/by/4.0/).
Share and Cite
Huang, D.; Ren, Z.; Li, X.; Jing, Q. Mechanism of Stability and Transport of Chitosan-Stabilized Nano Zero-Valent Iron in Saturated Porous Media. Int. J. Environ. Res. Public Health 2021, 18, 5115. https://doi.org/10.3390/ijerph18105115
Huang D, Ren Z, Li X, Jing Q. Mechanism of Stability and Transport of Chitosan-Stabilized Nano Zero-Valent Iron in Saturated Porous Media. International Journal of Environmental Research and Public Health. 2021; 18(10):5115. https://doi.org/10.3390/ijerph18105115
Chicago/Turabian StyleHuang, Dan, Zhongyu Ren, Xiaoyu Li, and Qi Jing. 2021. "Mechanism of Stability and Transport of Chitosan-Stabilized Nano Zero-Valent Iron in Saturated Porous Media" International Journal of Environmental Research and Public Health 18, no. 10: 5115. https://doi.org/10.3390/ijerph18105115
APA StyleHuang, D., Ren, Z., Li, X., & Jing, Q. (2021). Mechanism of Stability and Transport of Chitosan-Stabilized Nano Zero-Valent Iron in Saturated Porous Media. International Journal of Environmental Research and Public Health, 18(10), 5115. https://doi.org/10.3390/ijerph18105115
