Effect of Breast Cancer Treatment on Dietary Vitamin Intake Levels
Abstract
1. Introduction
2. Materials and Methods
2.1. Sample
2.2. Food and Beverage Records
2.3. Evaluation of Misreporting
2.4. Statistical Analysis
3. Results
4. Discussion
5. Conclusions
Author Contributions
Funding
Institutional Review Board Statement
Informed Consent Statement
Data Availability Statement
Acknowledgments
Conflicts of Interest
References
- World Health Organization (WHO). The Global Burden of Disease: 2004 Update; WHO Press: Geneva, Switzerland, 2008. [Google Scholar]
- Ottery, F. Nutritional oncology: a proactive, integrated approach to the cancer patient. In Nutrition Support: Theory and Therapeutics; Shikora, S.A., Blackburn, G.L., Eds.; Chapman & Hall: New York, NY, USA, 1997; pp. 395–409. [Google Scholar]
- Gómez Candela, C.; De Cos, A.; Iglesias, C.; Carbonell, M.; Camarero, E.; Celador, A. Nutrición artificial domiciliaria. Informe anual 1995. Grupo NADYA-SENPE. Nutr. Hosp. 1998, 13, 144–152. [Google Scholar] [PubMed]
- Torre, L.A.; Bray, F.; Siegel, R.L.; Ferlay, J.; Lortet-Tieulent, J.; Jemal, A. Global cancer statistics, 2012. CA Cancer J. Clin. 2015, 65, 87–108. [Google Scholar] [CrossRef] [PubMed]
- Quimioterapia en el Cáncer de Mama. Available online: https://www.aecc.es/SobreElCancer/CancerPorLocalizacion/CancerMama/Paginas/quimioterapia.aspx (accessed on 31 October 2017).
- Coa, K.I.; Epstein, J.B.; Ettinger, D.; Jatoi, A.; McManus, K.; Platek, M.E.; Price, W.; Stewart, M.; Teknos, T.N.; Moskowitz, B. The impact of cancer treatment on the diets and food preferences of patients receiving outpatient treatment. Nutr. Cancer 2015, 67, 339–353. [Google Scholar] [CrossRef] [PubMed]
- Hovan, A.J.; Williams, P.M.; Stevenson-Moore, P.; Wahlin, Y.B.; Ohrn, K.E.; Elting, L.S.; Spijkervet, F.K.; Brennan, M.T. A systematic review of dysgeusia induced by cancer therapies. Supportive Care Cancer 2010, 18, 1081–1087. [Google Scholar] [CrossRef] [PubMed]
- Zabernigg, A.; Gamper, E.M.; Giesinger, J.M.; Rumpold, G.; Kemmler, G.; Gattringer, K.; Sperner-Unterweger, B.; Holzner, B. Taste alterations in cancer patients receiving chemotherapy: A neglected side effect? Oncologist 2010, 15, 913–920. [Google Scholar] [CrossRef] [PubMed]
- Ravasco, P. Aspects of taste and compliance in patients with cancer. Eur. J. Oncol. Nurs. 2005, 9, S84–S91. [Google Scholar] [CrossRef] [PubMed]
- Boltong, A.; Keast, R. The influence of chemotherapy on taste perception and food hedonics: A systematic review. Cancer Treat. Rev. 2012, 38, 152–163. [Google Scholar] [CrossRef]
- Custódio, I.D.D.; da Costa Marinho, E.; Gontijo, C.A.; Pereira, T.S.S.; Paiva, C.E.; de Paiva Maia, Y.C. Impact of chemotherapy on diet and nutritional status of women with breast cancer: A prospective study. PLoS ONE 2016, 11, e0157113. [Google Scholar] [CrossRef]
- Adrianza de Baptista, G.; Murillo Melo, C. Cáncer-vitaminas-minerales: Relación compleja. Arch. Latinoam. Nutr. 2014, 64, 220–230. [Google Scholar]
- González-Mateo, S.; Cavia-Saiz, M.; García-Girón, C.; Muñiz, P.; Coma, M.J. ANTIOXIDANTES NATURALES Y QUIMIOTERAPIA ANTITUMORAL. Electron. J. Biomed. 2011, 2011, 42–47. [Google Scholar]
- Harris, H.R.; Orsini, N.; Wolk, A. Vitamin C and survival among women with breast cancer: A meta-analysis. Eur. J. Cancer 2014, 50, 1223–1231. [Google Scholar] [CrossRef] [PubMed]
- Skeie, G.; Hjartåker, A.; Lund, E. Diet among breast cancer survivors and healthy women. The Norwegian Women and Cancer Study. Eur. J. Clin. Nutr. 2006, 60, 1046. [Google Scholar] [CrossRef] [PubMed][Green Version]
- Thomson, C.A. Diet and breast cancer: Understanding risks and benefits. Nutr. Clin. Pract. 2012, 27, 636–650. [Google Scholar] [CrossRef] [PubMed]
- Brossaud, J.; Pallet, V.; Corcuff, J.B. Vitamin A, endocrine tissues and hormones: Interplay and interactions. Endocr. Connect. 2017, 6, R121–R130. [Google Scholar] [CrossRef]
- Hahn, T.; Szabo, L.; Gold, M.; Ramanathapuram, L.; Hurley, L.H.; Akporiaye, E.T. Dietary administration of the proapoptotic vitamin E analogue alpha-tocopheryloxyacetic acid inhibits metastatic murine breast cancer. Cancer Res. 2006, 66, 9374–9378. [Google Scholar] [CrossRef][Green Version]
- Hahn, T.; Fried, K.; Hurley, L.H.; Akporiaye, E.T. Orally active alpha-tocopheryloxyacetic acid suppresses tumor growth and multiplicity of spontaneous murine breast cancer. Mol. Cancer Ther. 2009, 8, 1570–1578. [Google Scholar] [CrossRef][Green Version]
- Boros, L.G.; Brandes, J.L.; Lee, W.N.; Cascante, M.; Puigjaner, J.; Revesz, E.; Bray, T.M.; Schirmer, W.J.; Melvin, W.S. Thiamine supplementation to cancer patients: A double edged sword. Anticancer Res. 1998, 18, 595–602. [Google Scholar]
- Negrini, S.; Gorgoulis, V.G.; Halazonetis, T.D. Genomic instability—An evolving hallmark of cancer. Nat. Rev. Mol. Cell Biol. 2010, 11, 220. [Google Scholar] [CrossRef]
- Bassett, J.K.; Baglietto, L.; Hodge, A.M.; Severi, G.; Hopper, J.L.; English, D.R.; Giles, G.G. Dietary intake of B vitamins and methionine and breast cancer risk. Cancer Causes Control 2013, 24, 1555–1563. [Google Scholar] [CrossRef]
- Lajous, M.; Lazcano-Ponce, E.; Hernandez-Avila, M.; Willett, W.; Romieu, I. Folate, vitamin B(6), and vitamin B(12) intake and the risk of breast cancer among Mexican women. Cancer Epidemiol. Biomark. Prev. 2006, 15, 443–448. [Google Scholar] [CrossRef]
- Wu, W.; Kang, S.; Zhang, D. Association of vitamin B 6, vitamin B 12 and methionine with risk of breast cancer: A dose–response meta-analysis. Br. J. Cancer 2013, 109, 1926. [Google Scholar] [CrossRef] [PubMed]
- Yang, D.; Baumgartner, R.N.; Slattery, M.L.; Wang, C.; Giuliano, A.R.; Murtaugh, M.A.; Risendal, B.C.; Byers, T.; Baumgartner, K.B. Dietary intake of folate, B-vitamins and methionine and breast cancer risk among Hispanic and non-Hispanic white women. PLoS ONE 2013, 8, e54495. [Google Scholar] [CrossRef] [PubMed]
- D’Andrea, G.M. Use of antioxidants during chemotherapy and radiotherapy should be avoided. CA Cancer J. Clin. 2005, 55, 319–321. [Google Scholar] [CrossRef] [PubMed]
- Lawenda, B.D.; Kelly, K.M.; Ladas, E.J.; Sagar, S.M.; Vickers, A.; Blumberg, J.B. Should supplemental antioxidant administration be avoided during chemotherapy and radiation therapy? J. Natl. Cancer Inst. 2008, 100, 773–783. [Google Scholar] [CrossRef]
- Ortega-Anta, R.; López-Sobaler, A.; Andrés-Carvajales, P.; Requejo-Marcos, A.; Aparicio-Vizuete, A.; Molinero-Casares, L. Programa para Evaluación de Dietas y gestióN de datos de Alimentación DIAL 1.0©; ALCE Ingeniería: Madrid, Spain, 2008. [Google Scholar]
- García Gabarra, A.; Castellà Soley, M.; Calleja Fernández, A. Ingestas de energía y nutrientes recomendadas en la Unión Europea: 2008–2016. Nutr. Hosp. 2017, 34, 490–498. [Google Scholar] [CrossRef]
- Dietary Reference Intake: EAR, RDA, AI, Acceptable Macronutrient Distribution Ranges, and UL. Available online: http://www.nationalacademies.org/hmd/~/media/Files/Activity%20Files/Nutrition/DRI-Tables/5Summary%20TableTables%2014.pdf?la=en (accessed on 6 May 2017).
- Carbajal, A. Manual de Nutrición y Dietética; Universidad Complutense de Madrid: Madrid, Spain, 2013. [Google Scholar]
- World Health Organization Report of a Joint FAO/WHO/UNU Expert Consultation. Human energy requirements. In Food and Nutrition Technical Reports Series; WHO: Geneva, Switzerland, 2001.
- Incidencia. Available online: https://www.aecc.es/SobreElCancer/CancerPorLocalizacion/CancerMama/Paginas/incidencia.aspx (accessed on 29 October 2017).
- Bougaret, L.; Delort, L.; Billard, H.; Lequeux, C.; Goncalves-Mendes, N.; Mojallal, A.; Damour, O.; Vasson, M.; Caldefie-Chezet, F. Supernatants of adipocytes from obese versus normal weight women and breast cancer cells: In vitro impact on angiogenesis. J. Cell Physiol. 2017, 232, 1808–1816. [Google Scholar] [CrossRef]
- Lahmann, P.H.; Hoffmann, K.; Allen, N.; Van Gils, C.H.; Khaw, K.; Tehard, B.; Berrino, F.; Tjønneland, A.; Bigaard, J.; Olsen, A. Body size and breast cancer risk: Findings from the European Prospective Investigation into Cancer And Nutrition (EPIC). Int. J. Cancer 2004, 111, 762–771. [Google Scholar] [CrossRef]
- Kim, T.H.; Chang, J.S.; Kong, I.D. Effects of Exercise Training on Physical Fitness and Biomarker Levels in Breast Cancer Survivors. J. Lifestyle Med. 2017, 7, 55. [Google Scholar] [CrossRef][Green Version]
- Ferreira, I.B.; Marinho, E.d.C.; Custódio, I.D.D.; Gontijo, C.A.; Paiva, C.E.; Crispim, C.A.; Maia, Y.C.d.P. Food intake and the nutritional status of women undergoing chemotherapy. Cienc. Saude Coletiva 2016, 21, 2209–2218. [Google Scholar] [CrossRef]
- M Amann, P.; B Eichmuller, S.; Schmidt, J.; V Bazhin, A. Regulation of Gene Expression by Retinoids. Curr. Med. Chem. 2011, 18, 1405–1412. [Google Scholar] [CrossRef]
- Rampersaud, G.C.; Valim, M.F. 100% Citrus juice: Nutritional contribution, dietary benefits, and association with anthropometric measures. Crit. Rev. Food Sci. Nutr. 2017, 57, 129–140. [Google Scholar] [CrossRef]
- Giammanco, M.; Di Majo, D.; La Guardia, M.; Aiello, S.; Crescimannno, M.; Flandina, C.; Tumminello, F.M.; Leto, G. Vitamin D in cancer chemoprevention. Pharm. Biol. 2015, 53, 1399–1434. [Google Scholar] [CrossRef]
- John, E.M.; Schwartz, G.G.; Dreon, D.M.; Koo, J. Vitamin D and breast cancer risk: The NHANES I Epidemiologic follow-up study, 1971-1975 to 1992. National Health and Nutrition Examination Survey. Cancer Epidemiol. Biomarkers. Prev. 1999, 8, 399–406. [Google Scholar]
- Shin, M.; Holmes, M.D.; Hankinson, S.E.; Wu, K.; Colditz, G.A.; Willett, W.C. Intake of dairy products, calcium, and vitamin D and risk of breast cancer. J. Natl. Cancer Inst. 2002, 94, 1301–1310. [Google Scholar] [CrossRef]
- Laczmanski, L.; Lwow, F.; Osina, A.; Kepska, M.; Laczmanska, I.; Witkiewicz, W. Association of the vitamin D receptor FokI gene polymorphism with sex-and non-sex-associated cancers: A meta-analysis. Tumor Biol. 2017, 39, 1010428317727164. [Google Scholar] [CrossRef]
- Deeb, K.K.; Trump, D.L.; Johnson, C.S. Vitamin D signalling pathways in cancer: Potential for anticancer therapeutics. Nat. Rev. Cancer 2007, 7, 684. [Google Scholar] [CrossRef]
- Forrest, K.Y.; Stuhldreher, W.L. Prevalence and correlates of vitamin D deficiency in US adults. Nutr. Res. 2011, 31, 48–54. [Google Scholar] [CrossRef]
- Hines, S.L.; Jorn, H.K.; Thompson, K.M.; Larson, J.M. Breast cancer survivors and vitamin D: A review. Nutrition 2010, 26, 255–262. [Google Scholar] [CrossRef]
- Chen, W.; Park, S.K.; Yu, W.; Xiong, A.; Sanders, B.G.; Kline, K. Synthesis and screening of novel vitamin E derivatives for anticancer functions. Eur. J. Med. Chem. 2012, 58, 72–83. [Google Scholar] [CrossRef]
- Gagic, Z.; Nikolic, K.; Ivkovic, B.; Filipic, S.; Agbaba, D. QSAR studies and design of new analogs of vitamin E with enhanced antiproliferative activity on MCF-7 breast cancer cells. J. Taiwan Inst. Chem. Eng. 2016, 59, 33–44. [Google Scholar] [CrossRef]
- Betti, M.; Minelli, A.; Canonico, B.; Castaldo, P.; Magi, S.; Aisa, M.C.; Piroddi, M.; Di Tomaso, V.; Galli, F. Antiproliferative effects of tocopherols (vitamin E) on murine glioma C6 cells: Homologue-specific control of PKC/ERK and cyclin signaling. Free Radic. Biol. Med. 2006, 41, 464–472. [Google Scholar] [CrossRef]
- Galli, F.; Stabile, A.M.; Betti, M.; Conte, C.; Pistilli, A.; Rende, M.; Floridi, A.; Azzi, A. The effect of α-and γ-tocopherol and their carboxyethyl hydroxychroman metabolites on prostate cancer cell proliferation. Arch. Biochem. Biophys. 2004, 423, 97–102. [Google Scholar] [CrossRef]
- Mazzini, F.; Betti, M.; Canonico, B.; Netscher, T.; Luchetti, F.; Papa, S.; Galli, F. Anticancer Activity of Vitamin E-Derived Compounds in Murine C6 Glioma Cells. ChemMedChem 2010, 5, 540–543. [Google Scholar] [CrossRef]
- Zingg, J. Modulation of signal transduction by vitamin E. Mol. Aspects Med. 2007, 28, 481–506. [Google Scholar] [CrossRef]
- Comín-Anduix, B.; Boren, J.; Martinez, S.; Moro, C.; Centelles, J.J.; Trebukhina, R.; Petushok, N.; Lee, W.P.; Boros, L.G.; Cascante, M. The effect of thiamine supplementation on tumour proliferation. FEBS J. 2001, 268, 4177–4182. [Google Scholar] [CrossRef]
- Chou, Y.; Chu, C.; Wu, M.; Hsu, G.; Yang, T.; Chou, W.; Huang, H.; Lee, M.; Yu, C.; Yu, J. Dietary intake of vitamin B6 and risk of breast cancer in Taiwanese women. J. Epidemiol. 2011, 21, 329–336. [Google Scholar] [CrossRef]
- Harris, H.R.; Bergkvist, L.; Wolk, A. Folate intake and breast cancer mortality in a cohort of Swedish women. Breast Cancer Res. Treat. 2012, 132, 243–250. [Google Scholar] [CrossRef]
- Combs, G.F., Jr.; McClung, J.P. The Vitamins: Fundamental Aspects in Nutrition and Health, 5th ed.; Academic Press: Cambridge, MA, USA, 2016. [Google Scholar]
- Zhang, Y.; Shi, W.; Gao, H.; Zhou, L.; Hou, A.; Zhou, Y. Folate intake and the risk of breast cancer: A dose-response meta-analysis of prospective studies. PLoS ONE 2014, 9, e100044. [Google Scholar] [CrossRef]
- Brody, T. Nutritional Biochemistry, 2nd ed.; Academic Press: San Diego, CA, USA, 1998. [Google Scholar]
- Chen, Q.; Espey, M.G.; Sun, A.Y.; Pooput, C.; Kirk, K.L.; Krishna, M.C.; Khosh, D.B.; Drisko, J.; Levine, M. Pharmacologic doses of ascorbate act as a prooxidant and decrease growth of aggressive tumor xenografts in mice. Proc. Natl. Acad. Sci. USA 2008, 105, 11105–11109. [Google Scholar] [CrossRef]
- Ullah, M.; Khan, H.; Zubair, H.; Shamim, U.; Hadi, S. The antioxidant ascorbic acid mobilizes nuclear copper leading to a prooxidant breakage of cellular DNA: Implications for chemotherapeutic action against cancer. Cancer Chemother. Pharmacol. 2011, 67, 103–110. [Google Scholar] [CrossRef]
- Citricultura Valenciana. Available online: http://gipcitricos.ivia.es/citricultura-valenciana (accessed on 4 December 2017).







| Mean ± SD | Minimum | Maximum | |
|---|---|---|---|
| Age | 51.49 ± 11.17 | 30 | 79 |
| Weight (kg) | 65.32 ± 9.80 | 50 | 86 |
| Height (cm) | 160.56 ± 6.51 | 146 | 178 |
| BMI (kg/m2) | 25.52 ± 4.83 | 18.9 | 35.8 |
| PAL | 1.48 ± 0.19 | 1.2 | 1.64 |
| Vitamin | UL | DRI | EAR | Intake | Mean ± SD (Min–Max) | p-Value | % EAR (Min–Max) | p-Value |
|---|---|---|---|---|---|---|---|---|
| A | 3000 µg/day | 700 µg/day | 500 µg/day | Before | 998.68 ± 440.88 (427.00–2116) | 0.140 | 199.73 ± 88.18 (85.40–423.20) | 0.140 |
| During | 1148.24 ± 616.97 (315.00–3113.00) | 229.65 ± 123.39 (63.00–622.60) | ||||||
| After | 932.35 ± 326.21 (395–1725) | 186.47 ± 65.24 (79.00–345.00) | ||||||
| D | 100 µg/day | 15 µg/day | 10 µg/day | Before | 3.53 ± 2.55 (0.25–12.20) | 0.182 | 35.28 ± 25.55 (2.50–132.00) | 0.182 |
| During | 3.60 ± 2.84 (0.20–11.10) | 35.96 ± 28.43 (2.00–111.00) | ||||||
| After | 2.63 ± 2.0 (0.11–8.60) | 26.30 ± 20.69 (1.10–86.00) | ||||||
| E | 1000 mg/day | 15 mg/day | 12 mg/day | Before | 9.56 ± 3.46 (4.20-20.30) | 0.211 | 79.70 ± 28.81 (35.00–169.17) | 0.211 |
| During | 9.05 ± 3.97 (3.60–21.70) | 75.45 ± 33.08 (30.00–180.83) | ||||||
| After | 8.13 ± 3.13 (3.40–16.10) | 67.77 ± 26.08 (28.33–134.17) | ||||||
| K | ND | 90 µg/day (AI) | 90 µg/day (AI) | Before | 156.51 ± 96.60 (31.40–522.00) | 0.520 | 173.90 ± 107.34 (34.89–580.00) | 0.520 |
| During | 142.01 ± 67.36 (49.40–283.00) | 157.80 ± 74.84 (54.89–314.44) | ||||||
| After | 134.94 ± 81.27 (34.60–393.00) | 149.93 ± 90.30 (38.44–436.67) | ||||||
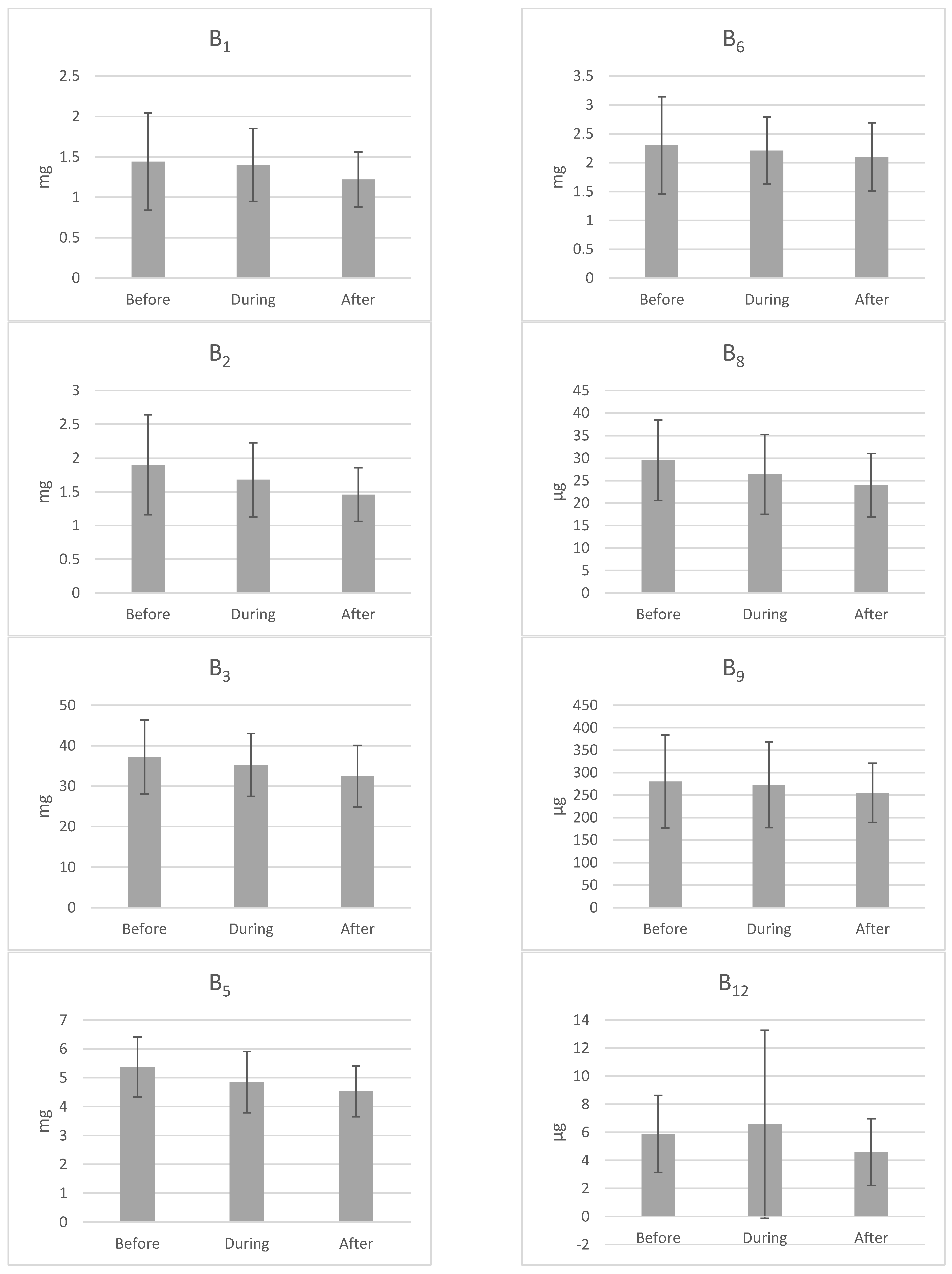
| B1 | ND | 1.1 mg/day | 0.9 mg/day | Before | 1.44 ± 0.60 (0.60–3.70) | 0.113 | 159.58 ± 67.72 (66.67–411.11) | 0.113 |
| During | 1.40 ± 0.45 (0.69–2.60) | 155.07 ± 50.55 (76.67–288.89) | ||||||
| After | 1.22 ± 0.34 (0.74–2.00) | 135.88 ± 37.37 (82.22–222.22) | ||||||
| B2 | ND | 1.1 mg/day | 0.9 mg/day | Before | 1.90 ± 0.74 (0.81–4.40) | 0.006 | 211.23 ± 82.32 (90.00–488.89) | 0.006 |
| During | 1.68 ± 0.55 (0.73–3.20) | 186.63 ± 61.44 (81.11–355.56) | ||||||
| After | 1.46 ± 0.40 (0.71–2.80) | 161.89 ± 44.02 (78.89–311.11) | ||||||
| B3 | 35 mg/day | 14 mg/day | 11 mg/day | Before | 37.19 ± 9.17 (21.80–70.40) | 0.042 | 338.10 ± 83.38 (198.18–640.00) | 0.042 |
| During | 35.27 ± 7.78 (15.80–53.90) | 320.63 ± 70.69 (143.64–490.00) | ||||||
| After | 32.45 ± 7.61 (18.90–48.90) | 295.01 ± 69.22 (171.82–444.55) | ||||||
| B5 | ND | 5 mg/day (AI) | 5 mg/day (AI) | Before | 5.37 ± 1.04 (2.80–7.30) | 0.001 | 107.41 ± 20.70 (56.00–146.00) | 0.001 |
| During | 4.85 ± 1.06 (2.60–6.90) | 97.02 ± 21.10 (52.00–138.00) | ||||||
| After | 4.53 ± 0.88 (3.10–6.90) | 90.65 ± 17.75 (62.00–138.00) | ||||||
| B6 | 100 mg/day | 1.4 mg/day | 1.4 mg/day | Before | 2.30 ± 0.84 (1.20–5.60) | 0.450 | 164.09 ± 60.36 (85.71–400) | 0.450 |
| During | 2.21 ± 0.58 (1.10–3.80) | 158.10 ± 41.96 (78.57–271.43) | ||||||
| After | 2.10 ± 0.59 (0.98–3.50) | 149.96 ± 42.26 (70.00–250.00) | ||||||
| B8 | ND | 30 µg/day (AI) | 30 µg/day (AI) | Before | 29.49 ± 8.93 (10.10–53.80) | 0.021 | 98.31 ± 29.78 (33.67–179.33) | 0.021 |
| During | 26.39 ± 8.90 (8.00–47.70) | 87.99 ± 29.66 (26.67–159.00) | ||||||
| After | 23.99 ± 7.04 (12.50–40.90) | 79.97 ± 23.45 (41.67–136.33) | ||||||
| B9 | 1000 µg/day | 400 µg/day | 320 µg/day | Before | 280.03 ± 103.70 (120.00–586.00) | 0.462 | 87.50 ± 32.40 (37.50–183.13) | 0.462 |
| During | 273.08 ± 95.57 (133.00–526.00) | 85.34 ± 29.87 (41.56–164.38) | ||||||
| After | 255.03 ± 65.90 (129.00–455.00) | 79.69 ± 20.59 (40.31–142.19) | ||||||
| B12 | ND | 2.4 µg/day | 2 µg/day | Before | 5.88 ± 2.74 (1.30–14.40) | 0.143 | 294.05 ± 136.80 (65.00–720.00) | 0.143 |
| During | 6.57 ± 6.70 (0.72–34.50) | 328.71 ± 335.50 (36.00–1725.00) | ||||||
| After | 4.58 ± 2.38 (1.80–11.10) | 229.05 ± 119.28 (90.00–555.00) | ||||||
| C | 2000 mg/day | 75 mg/day | 60 mg/day | Before | 137.04 ± 65.04 (30.70–319.00) | 0.940 | 228.41 ± 108.41 (51.17–531.67) | 0.940 |
| During | 141.99 ± 65.40 (44.60–379.00) | 236.64 ± 109.00 (74.33–631.67) | ||||||
| After | 139.52 ± 51.17 (13.40–238.00) | 232.53 ± 85.28 (22.33–396.67) |
| Vitamin | EAR | Intake | <EAR (%) | p-Value | HRc (CI 95%) | Trends p-Value |
|---|---|---|---|---|---|---|
| A | 500 µg/day | Before | 5.4 | 0.173 | 1 (Ref.) | 0.512 |
| During | 13.5 | 1.50 (0.44–5.10) | ||||
| After | 2.7 | 1.50 (0.45–5.05) | ||||
| D | 10 µg/day | Before | 97.3 | - | 1 (Ref.) | 0.989 |
| During | 97.3 | 1.00 (0.95–1.06) | ||||
| After | 100 | 1.00 (0.95–1.06) | ||||
| E | 12 mg/day | Before | 78.4 | 0.783 | 1 (Ref.) | 0.404 |
| During | 83.8 | 1.07 (0.91–1.25) | ||||
| After | 83.8 | 1.07 (0.91–1.25) | ||||
| K | 90 µg/day (AI) | Before | 24.3 | 0.452 | 1 (Ref.) | 0.152 |
| During | 32.4 | 1.44 (0.97–2.40) | ||||
| After | 37.8 | 1.44 (0.87–2.39) | ||||
| B1 | 0.9 mg/day | Before | 16.2 | 0.451 | 1 (Ref.) | 0.843 |
| During | 10.8 | 1.11 (0.46–2.66) | ||||
| After | 21.6 | 1.09 (0.45–2.66) | ||||
| B2 | 0.9 mg/day | Before | 2.7 | 0.771 | 1 (Ref.) | 0.651 |
| During | 5.4 | 1.52 (0.25–9.37) | ||||
| After | 2.7 | 1.52 (0.25–9.37) | ||||
| B3 | 11 mg/day | Before | 0 | - | 1 (Ref.) | - |
| During | 0 | - | ||||
| After | 0 | - | ||||
| B5 | 5 mg/day (AI) | Before | 31.4 | 0.002 | 1 (Ref.) | 0.001 |
| During | 54.1 | 4.11 (2.07–8.18) | ||||
| After | 73.0 | 4.11 (2.10–8.08) | ||||
| B6 | 1.4 mg/day | Before | 2.9 | 0.811 | 1 (Ref.) | 0.407 |
| During | 5.6 | 2.06 (0.4–11.5) | ||||
| After | 5.4 | 2.06 (0.4–11.5) | ||||
| B8 | 30 µg/day (AI) | Before | 5.4 | 0.001 | 1 (Ref.) | 0.001 |
| During | 100 | 18.96 (6.28–57.2) | ||||
| After | 5.4 | 18.73 (8.45–41.4) | ||||
| B9 | 320 µg/day | Before | 73.0 | 0.148 | 1 (Ref.) | 0.359 |
| During | 67.6 | 1.24 (0.59–2.62) | ||||
| After | 86.5 | 1.24 (0.59–2.62) | ||||
| B12 | 2 µg/day | Before | 2.7 | 0.001 | 1 (Ref.) | 0.001 |
| During | 100 | 43.41 (9.91–140) | ||||
| After | 10.8 | 42.91 (16.89–108) | ||||
| C | 60 mg/day | Before | 10.8 | 0.695 | 1 (Ref.) | 0.386 |
| During | 8.1 | 0.60 (0.19–1.92) | ||||
| After | 5.4 | 0.60 (0.19–1.92) |
Publisher’s Note: MDPI stays neutral with regard to jurisdictional claims in published maps and institutional affiliations. |
© 2020 by the authors. Licensee MDPI, Basel, Switzerland. This article is an open access article distributed under the terms and conditions of the Creative Commons Attribution (CC BY) license (http://creativecommons.org/licenses/by/4.0/).
Share and Cite
Morales-Suárez-Varela, M.; Ruiz Simon, A.; Blanch Tormo, S.; Pastor Climente, I.; Redondo Bautista, M.; Peraita-Costa, I.; Llopis-Morales, A.; Llopis-Gonzalez, A. Effect of Breast Cancer Treatment on Dietary Vitamin Intake Levels. Int. J. Environ. Res. Public Health 2021, 18, 19. https://doi.org/10.3390/ijerph18010019
Morales-Suárez-Varela M, Ruiz Simon A, Blanch Tormo S, Pastor Climente I, Redondo Bautista M, Peraita-Costa I, Llopis-Morales A, Llopis-Gonzalez A. Effect of Breast Cancer Treatment on Dietary Vitamin Intake Levels. International Journal of Environmental Research and Public Health. 2021; 18(1):19. https://doi.org/10.3390/ijerph18010019
Chicago/Turabian StyleMorales-Suárez-Varela, María, Amparo Ruiz Simon, Salvador Blanch Tormo, Ismael Pastor Climente, Maximino Redondo Bautista, Isabel Peraita-Costa, Agustin Llopis-Morales, and Agustin Llopis-Gonzalez. 2021. "Effect of Breast Cancer Treatment on Dietary Vitamin Intake Levels" International Journal of Environmental Research and Public Health 18, no. 1: 19. https://doi.org/10.3390/ijerph18010019
APA StyleMorales-Suárez-Varela, M., Ruiz Simon, A., Blanch Tormo, S., Pastor Climente, I., Redondo Bautista, M., Peraita-Costa, I., Llopis-Morales, A., & Llopis-Gonzalez, A. (2021). Effect of Breast Cancer Treatment on Dietary Vitamin Intake Levels. International Journal of Environmental Research and Public Health, 18(1), 19. https://doi.org/10.3390/ijerph18010019

