Exploring the Environmental Exposure to Methoxychlor, α-HCH and Endosulfan–sulfate Residues in Lake Naivasha (Kenya) Using a Multimedia Fate Modeling Approach
Abstract
1. Introduction
2. Materials and Methods
2.1. Data Acquisition
2.2. Environment Characteristics
2.3. Pesticides Properties
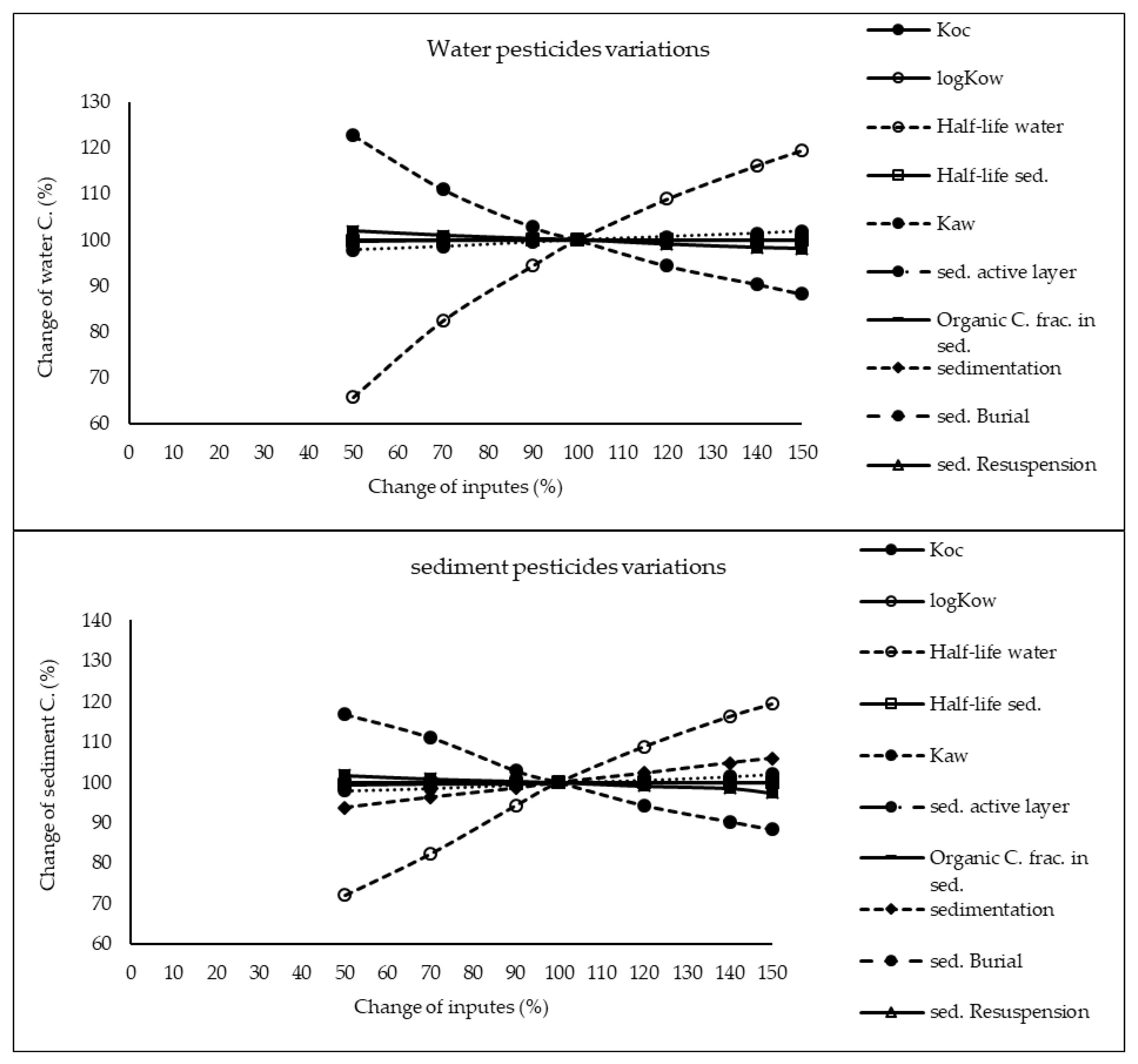
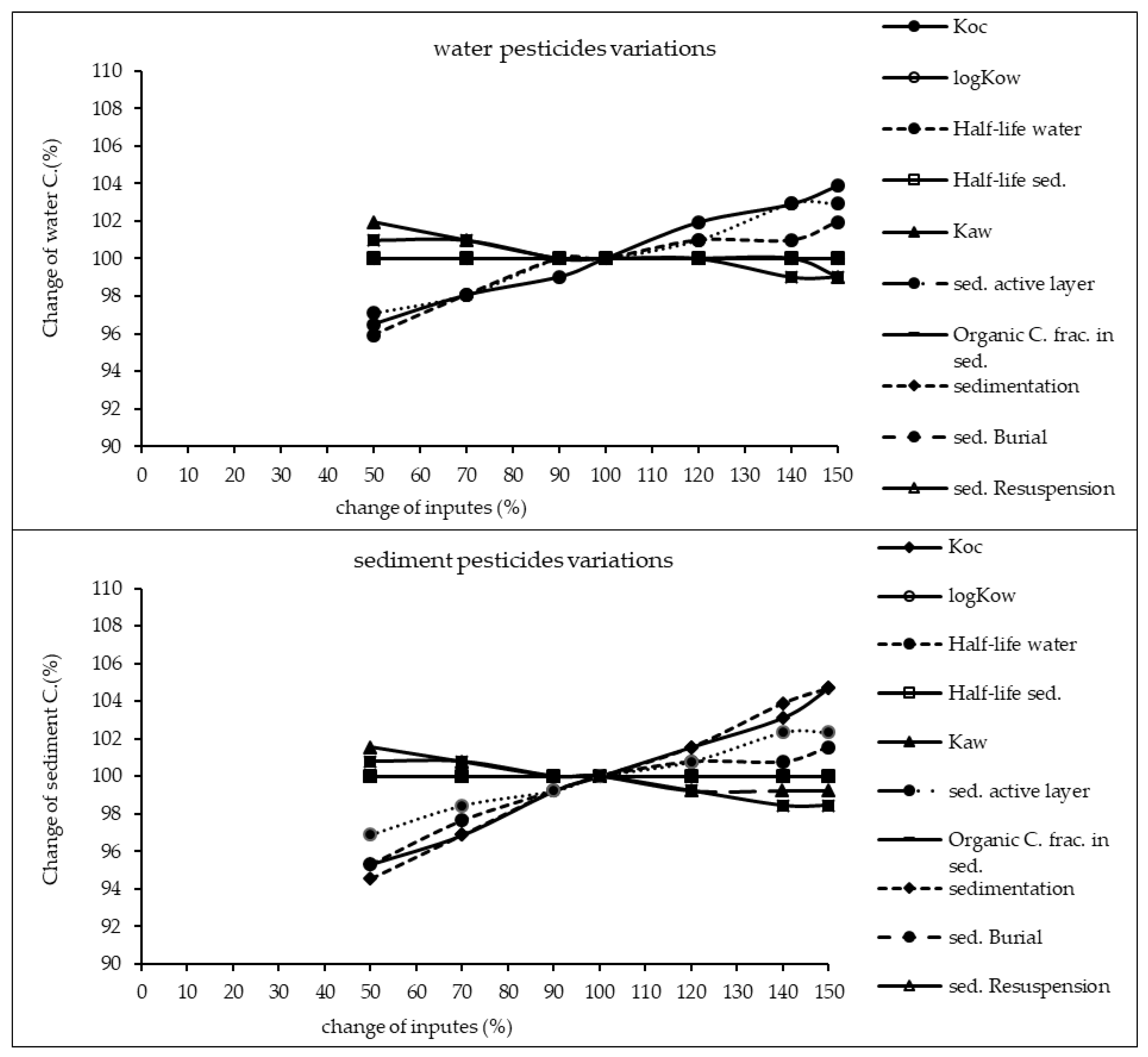
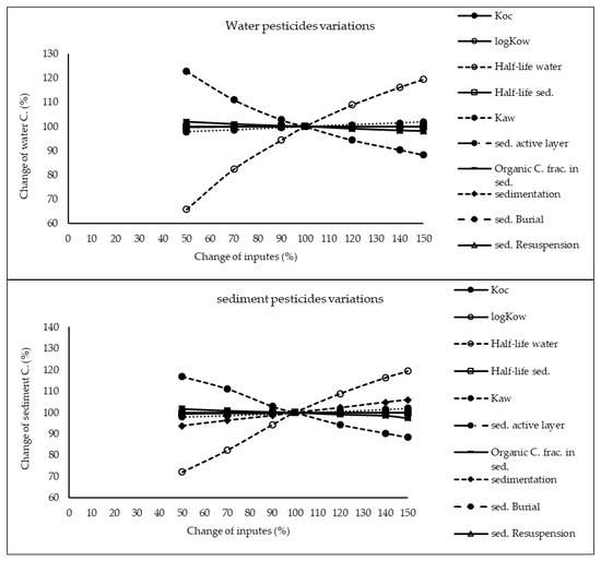
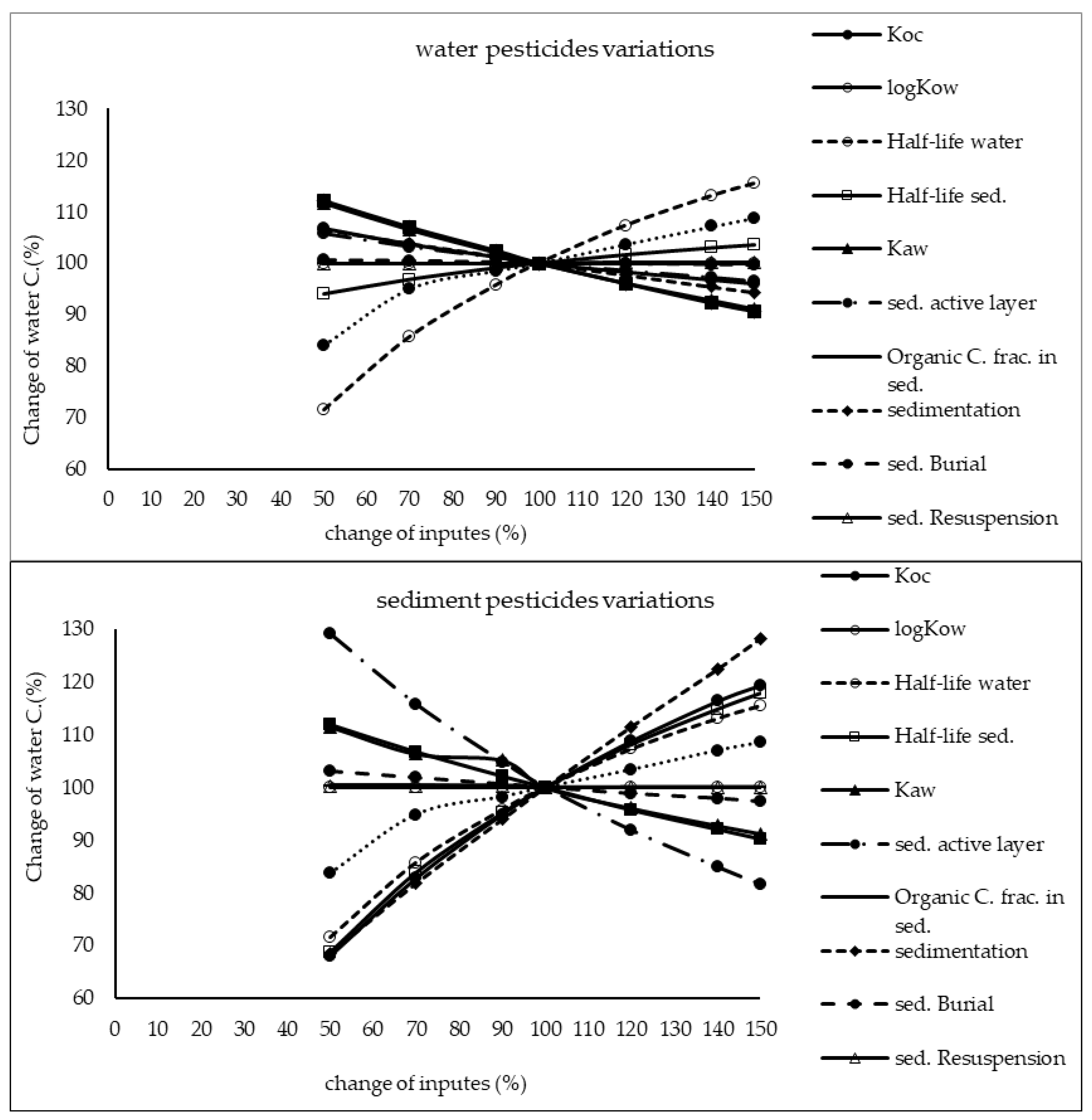
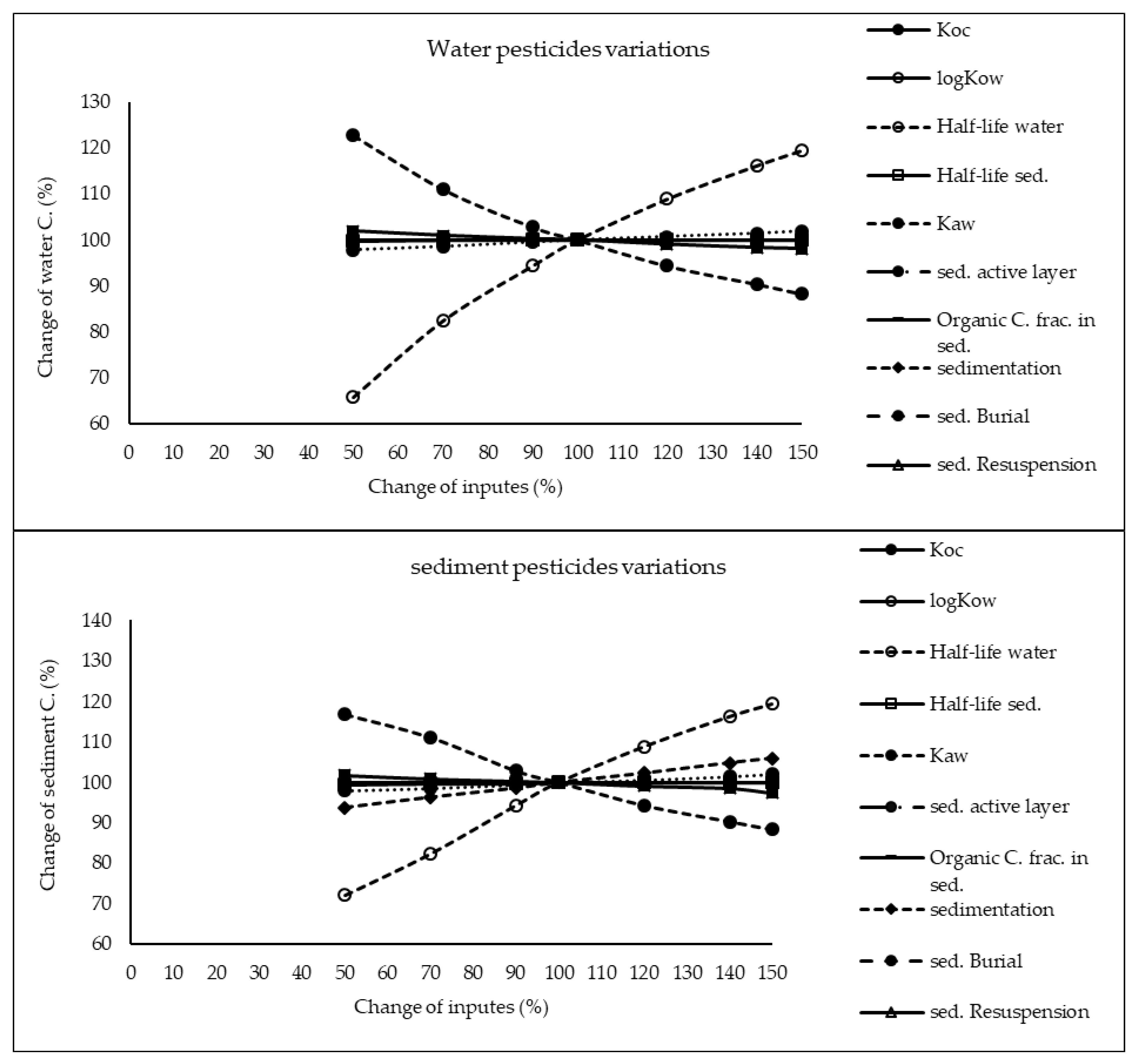
2.4. Sensitivity Analysis and Calibration
3. Results and Discussion
4. Conclusions
Author Contributions
Funding
Conflicts of Interest
References
- Herrero-Hernández, E.; Andrades, M.S.; Álvarez-Martín, A.; Pose-Juan, E.; Rodríguez-Cruz, M.S.; Sánchez-Martín, M.J. Occurrence of pesticides and some of their degradation products in waters in a spanish wine region. J. Hydrol. 2013, 486, 234–245. [Google Scholar] [CrossRef]
- Kapsi, M.; Tsoutsi, C.; Paschalidou, A.; Albanis, T. Environmental monitoring and risk assessment of pesticide residues in surface waters of the louros river (n.W. Greece). Sci. Total Environ. 2019, 650, 2188–2198. [Google Scholar] [CrossRef] [PubMed]
- Konstantinou, I.K.; Hela, D.G.; Albanis, T.A. The status of pesticide pollution in surface waters (rivers and lakes) of greece. Part i. Review on occurrence and levels. Environ. Pollut. 2006, 141, 555–570. [Google Scholar] [CrossRef] [PubMed]
- Bao, L.J.; Maruya, K.A.; Snyder, S.A.; Zeng, E.Y. China’s water pollution by persistent organic pollutants. Environ. Pollut. 2012, 163, 100–108. [Google Scholar] [CrossRef]
- Kong, X.; Liu, W.; He, W.; Xu, F.; Koelmans, A.A.; Mooij, W.M. Multimedia fate modeling of perfluorooctanoic acid (pfoa) and perfluorooctane sulphonate (pfos) in the shallow lake chaohu, china. Environ. Pollut. 2018, 237, 339–347. [Google Scholar] [CrossRef]
- Kwadijk, C.J.; Korytar, P.; Koelmans, A.A. Distribution of perfluorinated compounds in aquatic systems in the netherlands. Environ. Sci. Technol. 2010, 44, 3746–3751. [Google Scholar] [CrossRef]
- Gramatica, P.; Di Guardo, A. Screening of pesticides for environmental partitioning tendency. Chemosphere 2002, 47, 947–956. [Google Scholar] [CrossRef]
- Mohamed, A.-M.O.; Paleologos, E.K. Fate and effects of pollutants on the land environment. In Fundamentals of Geoenvironmental Engineering; Elsevier Butterworth-Heinemann: Oxford, UK, 2018; pp. 239–281. [Google Scholar]
- Mackay, D.; Di Guardo, A.; Paterson, S.; Cowan, C.E. Evaluating the environmental fate of a variety of types of chemicals using the eqc model. Environ. Toxicol. Chem./SETAC 1996, 15, 1627–1637. [Google Scholar] [CrossRef]
- Mackay, D. Multimedia Environmental Fate Models: The Fugacity Approach; Taylor & Francis: New York, NY, USA, 2001. [Google Scholar]
- Seth, R.; Mackay, D. Fugacity Modeling to Predict Long-Term Environmental Fate of Chemicals From Hazardous Spills; Canadian Environmental Modelling Centre, Trent University: Peterborough, ON, Canada, 2001; pp. 1–12. [Google Scholar]
- Xu, F.-L.; Qin, N.; Zhu, Y.; He, W.; Kong, X.-Z.; Barbour, M.T.; He, Q.-S.; Wang, Y.; Ou-Yang, H.-L.; Tao, S. Multimedia fate modeling of polycyclic aromatic hydrocarbons (pahs) in lake small baiyangdian, northern china. Ecol. Model. 2013, 252, 246–257. [Google Scholar] [CrossRef]
- Mackay, D. Finding fugacity feasbie. Environ. Sci. Technol. 1979, 13, 1218–1224. [Google Scholar] [CrossRef]
- Lang, C.; Tao, S.; Wang, X.; Zhang, G.; Fu, J. Modeling polycyclic aromatic hydrocarbon composition profiles of sources and receptors in the pear river delta, china. Environ. Toxicol. Chem. 2008, 27, 4–9. [Google Scholar] [CrossRef] [PubMed]
- Wang, R.; Cao, H.; Li, W.; Wang, W.; Wang, W.; Zhang, L.; Liu, J.; Ouyang, H.; Tao, S. Spatial and seasonal variations of polycyclic aromatic hydrocarbons in haihe plain, china. Environ. Pollut. 2011, 159, 1413–1418. [Google Scholar] [CrossRef] [PubMed]
- Huang, Y.; Sun, X.; Liu, M.; Zhu, J.; Yang, J.; Du, W.; Zhang, X.; Gao, D.; Qadeer, A.; Xie, Y.; et al. A multimedia fugacity model to estimate the fate and transport of polycyclic aromatic hydrocarbons (pahs) in a largely urbanized area, Shanghai, China. Chemosphere 2019, 217, 298–307. [Google Scholar] [CrossRef] [PubMed]
- Jung, J.E.; Kim, Y.K.; Song, J.H.; Lee, D.S. Development and evaluation of a dynamic multimedia model (ecorame) for local scale assessment of aquatic ecological exposure to chemicals originating from sources in environmental media. Sci. Total Environ. 2014, 500–501, 103–112. [Google Scholar] [CrossRef] [PubMed]
- Kim, H.S.; Lee, D.S. Influence of monitoring data selection for optimization of a steady state multimedia model on the magnitude and nature of the model prediction bias. Chemosphere 2017, 186, 716–724. [Google Scholar] [CrossRef] [PubMed]
- Mackay, D.; Paterson, S.; Joy, M. A quantitative water, air, sediment interaction (qwasi) fugacity model for describing the fate of chemicals in rivers. Chemosphere 1983, 12, 1193–1208. [Google Scholar] [CrossRef]
- Mackay, D.; Hughes, L.; Powell, D.E.; Kim, J. An updated quantitative water air sediment interaction (qwasi) model for evaluating chemical fate and input parameter sensitivities in aquatic systems: Application to d5 (decamethylcyclopentasiloxane) and pcb-180 in two lakes. Chemosphere 2014, 111, 359–365. [Google Scholar] [CrossRef]
- Gitahi, S.M.; Harper, D.M.; Muchiri, S.M.; Tole, M.P.; Ng’ang’, R.N. Organochlorine and organophosphorus pesticide concentrations in water, sediment, and selected organisms in lake naivasha (kenya). Hydrobiologia 2002, 488, 123–128. [Google Scholar] [CrossRef]
- Abbasi, Y.; Mannaerts, C.M. Evaluating organochlorine pesticide residues in the aquatic environment of the lake naivasha river basin using passive sampling techniques. Environ. Monit. Assess. 2018, 190, 349. [Google Scholar] [CrossRef]
- UNEP. Stockholm Convention on (POPs) Text and Annexes; Secretariat of the Stockholm Convention on Persistent Organic Pollutants: Geneva, Switzerland, 2009; pp. 1–56. [Google Scholar]
- Fang, S.M.; Zhang, X.; Bao, L.J.; Zeng, E.Y. Modeling the fate of p,p’-ddt in water and sediment of two typical estuarine bays in south china: Importance of fishing vessels’ inputs. Environ. Pollut. 2016, 212, 598–604. [Google Scholar] [CrossRef]
- Hu, M.; Liu, X.; Wu, X.; Dong, F.; Xu, J.; Chen, W.; Zheng, Y. Characterization of the fate and distribution of ethiprole in water-fish-sediment microcosm using a fugacity model. Sci. Total Environ. 2017, 576, 696–704. [Google Scholar] [CrossRef]
- Guo, J.; Zhou, Y.; Zhang, B.; Zhang, J. Distribution and evaluation of the fate of cyclic volatile methyl siloxanes in the largest lake of southwest china. Sci. Total Environ. 2019, 657, 87–95. [Google Scholar] [CrossRef]
- Wang, Y.; Khan, S.J.; Fan, L.; Roddick, F. Application of a qwasi model to produce validated insights into the fate and transport of six emerging contaminants in a wastewater lagoon system. Sci. Total Environ. 2020, 721, 137676. [Google Scholar] [CrossRef]
- Bonnell, M.A.; Zidek, A.; Griffiths, A.; Gutzman, D. Fate and exposure modeling in regulatory chemical evaluation: New directions from retrospection. Environ. Sci. Process. Impacts 2018, 20, 20–31. [Google Scholar] [CrossRef]
- Wu, X.; Davie-Martin, C.L.; Steinlin, C.; Hageman, K.J.; Cullen, N.J.; Bogdal, C. Understanding and predicting the fate of semivolatile organic pesticides in a glacier-fed lake using a multimedia chemical fate model. Environ. Sci. Technol. 2017, 51, 11752–11760. [Google Scholar] [CrossRef] [PubMed]
- Whelan, M.J. Evaluating the fate and behaviour of cyclic volatile methyl siloxanes in two contrasting north american lakes using a multi-media model. Chemosphere 2013, 91, 1566–1576. [Google Scholar] [CrossRef] [PubMed]
- Xu, S.; Kropscott, B. Method for simultaneous determination of partition coefficients for cyclic volatile methylsiloxanes and dimethylsilanediol. Anal. Chem. 2012, 84, 1948–1955. [Google Scholar] [CrossRef] [PubMed]
- Karickhoff, S.W. Semi empirical estimation of sorption of hydrophobic pollutants on natural sediments and soils. Chemosphere 1981, 10, 833–846. [Google Scholar] [CrossRef]
- Mackay, D.; Shiu, W.-y.; Ma, K.-c.; Lee, C. Handbook of Physical-Chemical Properties and Environmental Fate For Organic Chemicals; Taylor & Francis: New York, NY, USA, 2006. [Google Scholar]
- Becht, R.; Odada, E.O.; Higgins, S. Lake naivasha experience and lessons learned brief. Int. Water Learn. Exch. Resour. Netw. 2010, 2, 277–298. [Google Scholar]
- Ayenew, T.; Becht, R.; Lieshout, A.M.V. Hydrodynamics of topographically closed lakes in the ethio-kenyan rift: The case of lakes awassa and naivasha. J. Spat. Hydrol. 2007, 7, 81–100. [Google Scholar]
- Harper, D.M.; Morrison, E.H.J.; Macharia, M.M.; Mavuti, K.M.; Upton, C. Lake naivasha, kenya: Ecology, society and future. Freshwater Reviews 2011, 4, 89–114. [Google Scholar] [CrossRef]
- Stoof-Leichsenring, K.R.; Junginger, A.; Olaka, L.A.; Tiedemann, R.; Trauth, M.H. Environmental variability in lake naivasha, kenya, over the last two centuries. J. Paleolimnol. 2011, 45, 353–367. [Google Scholar] [CrossRef]
- Abbasi, Y.; Mannaerts, C.M.; Makau, W. Modeling pesticide and sediment transport in the malewa river basin (kenya) using swat. Water 2019, 11, 87. [Google Scholar] [CrossRef]
- ATSDR. Toxicological profile for alpha-, beta-, gamma-, and delta-Hexachlorocyclohexane. U.S. Department of Health and Human Services, Public Health Service; Agency for Toxic Substances and Disease Registry: Atlanta, GA, USA, 2005.
- ATSDR. Toxicological profile for methoxychlor. U.S. Department of Health and Human Services, Public Health Service; Agency for Toxic Substances and Disease Registry: Atlanta, GA, USA, 2002.
- National Center for Biotechnology Information. PubChem Database. Endosulfan sulfate, CID = 13940. Available online: https://pubchem.ncbi.nlm.nih.gov/compound/Endosulfan-sulfate (accessed on 13 April 2020).
- Buser, A.M.; MacLeod, M.; Scheringer, M.; Mackay, D.; Bonnell, M.; Russell, M.H.; DePinto, J.V.; Hungerbuhler, K. Good modeling practice guidelines for applying multimedia models in chemical assessments. Integr. Environ. Assess Manag. 2012, 8, 703–708. [Google Scholar] [CrossRef] [PubMed]
- Macleod, M.; Fraser, A.J.; Mackay, D. Evaluating and expressing the propagation of uncertainty in chemical fate and bioaccumulation models. Environ. Toxicol. Chem. 2002, 21, 700–709. [Google Scholar] [CrossRef] [PubMed]
- Saltelli, A.; Ratto, M.; Tarantola, S.; Campolongo, F. Sensitivity analysis practices: Strategies for model-based inference. Reliab. Eng. Syst. Saf. 2006, 91, 1109–1125. [Google Scholar] [CrossRef]
- Moriasi, D.N.; Gitau, M.W.; Pai, N.; Daggupati, P. Hydrologic and water quality models: Performance measures and evaluation criteria. Trans. ASABE 2015, 58, 1763–1785. [Google Scholar]
- Kaur, J.; DePinto, J.V.; Atkinson, J.F.; Verhamme, E.; Young, T.C. Development of a spatially resolved linked hydrodynamic and exposure model (lotox2) for pcbs in lake ontario. J. Great Lakes Res. 2012, 38, 490–503. [Google Scholar] [CrossRef]
- Webster, E.; Lian, L.; Mackay, D.; Harvey, C. Application of the Quantitative Water Air Sediment Interaction (QWASI) Model to the Great Lakes; Canadian Environmental Modelling Centre Trent University: Peterborough, ON, Canada, 2006. [Google Scholar]
- Hughes, L.; Mackay, D.; Powell, D.E.; Kim, J. An updated state of the science eqc model for evaluating chemical fate in the environment: Application to d5 (decamethylcyclopentasiloxane). Chemosphere 2012, 87, 118–124. [Google Scholar] [CrossRef]
- Onyango, J.; Kreuzinger, N.; Kitaka, N. Pesticides Residues Contamination in Lake Naivasha Catchment, Kenya; AV Akademikerverlag: Saarland, Germany, 2015; p. 112. [Google Scholar]
- Kuwata, M.; Lee, W.-C. 1-octanol-water partitioning as a classifier of water soluble organic matters: Implication for solubility distribution. Aerosol Sci. Technol. 2017, 51, 602–613. [Google Scholar] [CrossRef]
- Diamond, M.L.; Bhavsar, S.P.; Helm, P.A.; Stern, G.A.; Alaee, M. Fate of organochlorine contaminants in arctic and subarctic lakes estimated by mass balance modelling. Sci. Total Environ. 2005, 342, 245–259. [Google Scholar] [CrossRef] [PubMed]
- Tong, Y.; Zhang, W.; Chen, C.; Chen, L.; Wang, W.; Hu, X.; Wang, H.; Hu, D.; Ou, L.; Wang, X.; et al. Fate modeling of mercury species and fluxes estimation in an urban river. Environ Pollut 2014, 184, 54–61. [Google Scholar] [CrossRef] [PubMed]








| Compounds | α-HCH | Endosulfan–Sulfate | Methoxychlor | |||
|---|---|---|---|---|---|---|
| Property | Initial Value | Fitted Value | Initial Value | Fitted Value | Initial Value | Fitted Value |
| KOC | 3257 | 3151.71 | 1874 | 2771 | 35,000 | 49,292 |
| logKow | 3.9 | 3.72 | 3.6 | 3.8 | 4.5 | 5.08 |
| Half-life water(hrs) | 7884 | 8600 | 3600 | 5800 | 7200 | 8800 |
| Half-life sed. (hrs) | 9600 | 10,000 | 4270 | 6400 | 8500 | 10000 |
| KAW | 0.42 | 0.52 | 0.003 | 0.0054 | 0.000781 | 0.000781 |
| Molar mass (g/mol) | 290.83 | 290.83 | 422.9 | 422.9 | 345 | 345 |
| Melting point (°C) | 159 | 159 | 181.5 | 181.5 | 87 | 87 |
| Vapor pressure (Pa) | 0.0033 | 0.0033 | 0.000037 | 0.000037 | 0.0056 | 0.0056 |
| solubility in water (mg/l) | 2 | 2 | 0.22 | 0.22 | 1 | 1 |
| Henry’s law constant | 0.48 | 0.48 | 0.071 | 0.071 | 1.93 | 1.93 |
| Property | Initial Value | Fitted Value |
|---|---|---|
| Surface area (m2) | 145 × 10 6 | 145 × 10 6 |
| volume (m3) | 850 × 10 6 | 850 × 10 6 |
| Mean lake depth (m) | 6 | 6 |
| Organic C fraction in sediment (g/g) | 0.045 | 0.03 |
| sed. active layer(m) | 0.0075 | 0.005 |
| Sediment deposition rate(g/m2.day) | 1.815 | 1.21 |
| Sediment burial rate(g/m2.day) | 0.75 | 0.5 |
| Sediment resuspension rate (g/m2.day) | 0.06 | 0.04 |
| Aerosol dry deposition rate(m/h) | 10 | 30 |
| Pesticide | Con. In Water (ng/L) | Con. in sed. (ng/g dry wt.) | Mass in Water (kg) | Mass in sed. (kg) | Fraction in Water (%) | Fraction in sed. (%) |
|---|---|---|---|---|---|---|
| α-HCH | 21.80 | 0.019 | 18.50 | 0.020 | 99 | <1 |
| Endosulfan–sulfate | 30.00 | 1.600 | 25.50 | 0.560 | 97.8 | 2.21 |
| Methoxychlor | 4.46 | 4.650 | 3.80 | 1.620 | 70.1 | 29.9 |
© 2020 by the authors. Licensee MDPI, Basel, Switzerland. This article is an open access article distributed under the terms and conditions of the Creative Commons Attribution (CC BY) license (http://creativecommons.org/licenses/by/4.0/).
Share and Cite
Abbasi, Y.; Mannaerts, C.M. Exploring the Environmental Exposure to Methoxychlor, α-HCH and Endosulfan–sulfate Residues in Lake Naivasha (Kenya) Using a Multimedia Fate Modeling Approach. Int. J. Environ. Res. Public Health 2020, 17, 2727. https://doi.org/10.3390/ijerph17082727
Abbasi Y, Mannaerts CM. Exploring the Environmental Exposure to Methoxychlor, α-HCH and Endosulfan–sulfate Residues in Lake Naivasha (Kenya) Using a Multimedia Fate Modeling Approach. International Journal of Environmental Research and Public Health. 2020; 17(8):2727. https://doi.org/10.3390/ijerph17082727
Chicago/Turabian StyleAbbasi, Yasser, and Chris M. Mannaerts. 2020. "Exploring the Environmental Exposure to Methoxychlor, α-HCH and Endosulfan–sulfate Residues in Lake Naivasha (Kenya) Using a Multimedia Fate Modeling Approach" International Journal of Environmental Research and Public Health 17, no. 8: 2727. https://doi.org/10.3390/ijerph17082727
APA StyleAbbasi, Y., & Mannaerts, C. M. (2020). Exploring the Environmental Exposure to Methoxychlor, α-HCH and Endosulfan–sulfate Residues in Lake Naivasha (Kenya) Using a Multimedia Fate Modeling Approach. International Journal of Environmental Research and Public Health, 17(8), 2727. https://doi.org/10.3390/ijerph17082727

