Association between Leucocyte Telomere Length and Risk of Hearing Loss in the General Population: A Case-Control Study in Zhejiang Province, China
Abstract
1. Introduction
2. Methods
2.1. Study Design and Participants
2.2. Measurement of RTL in Leucocytes
2.3. Audiometry and Other Covariates
2.4. Statistical Analyses
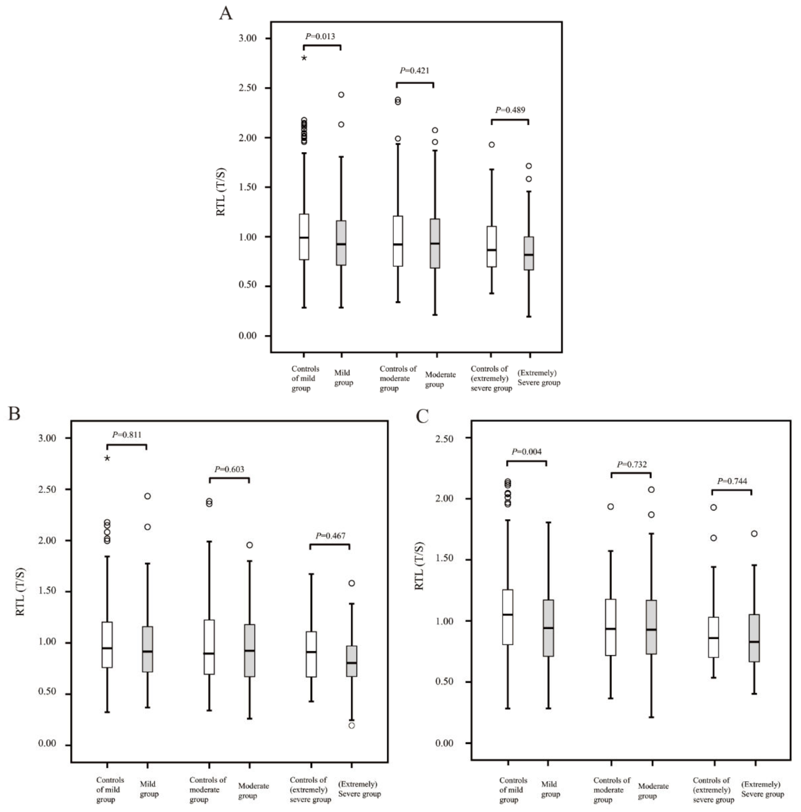
3. Results
4. Discussion
5. Conclusions
Author Contributions
Funding
Acknowledgments
Conflicts of Interest
Appendix A

| RTL Levels | Case/Control | For Male | Case/Control | For Female | |||
|---|---|---|---|---|---|---|---|
| OR (95% CI) | p-Trend | OR (95% CI) | p-Trend | ||||
| For age ≤ 60y | |||||||
| Per doubling | 299/297 | 0.80 (0.55–1.16) | 0.234 | 283/283 | 0.58 (0.39–0.88) | 0.009 | |
| Per SD | 299/297 | 0.86 (0.71–1.05) | 0.133 | 283/283 | 0.75 (0.60–0.94) | 0.013 | |
| For age > 60y | |||||||
| Per doubling | 112/114 | 0.70 (0.39–1.27) | 0.243 | 123/123 | 0.45 (0.24–0.86) | 0.016 | |
| Per SD | 112/114 | 0.87 (0.58–1.32) | 0.514 | 123/123 | 0.60 (0.41–0.89) | 0.011 | |
| Total | |||||||
| Per doubling | 411/411 | 0.78 (0.57–1.07) | 0.120 | 406/406 | 0.54 (0.38–0.76) | <0.001 | |
| Per SD | 411/411 | 0.87 (0.73–1.04) | 0.122 | 406/406 | 0.71 (0.58–0.86) | 0.001 | |
| Quartile | |||||||
| Q1 (≤0.711) | 111/95 | 1 (reference) | Q1 (≤0.736) | 114/90 | 1 (reference) | ||
| Q2 (0.711–0.922) | 104/107 | 0.76 (0.50–1.17) | Q2 (0.736–0.968) | 109/94 | 0.77 (0.51–1.17) | ||
| Q3 (0.922–1.172) | 99/101 | 0.77 (0.50–1.19) | Q3 (0.968–1.212) | 96/102 | 0.65 (0.42–1.01) | ||
| Q4 (>1.172) | 97/108 | 0.68 (0.42–1.09) | 0.426 | Q4 (>1.212) | 87/120 | 0.45 (0.28–0.73) | 0.011 |
References
- Bowl, M.R.; Simon, M.M.; Ingham, N.J.; Greenaway, S.; Santos, L.; Cater, H.; Taylor, S.; Mason, J.; Kurbatova, N.; Pearson, S.; et al. A large scale hearing loss screen reveals an extensive unexplored genetic landscape for auditory dysfunction. Nat. Commun. 2017, 8, 886. [Google Scholar] [CrossRef] [PubMed]
- Disease, G.B.D.; Injury, I.; Prevalence, C. Global, regional, and national incidence, prevalence, and years lived with disability for 328 diseases and injuries for 195 countries, 1990–2016: A systematic analysis for the global burden of disease study 2016. Lancet 2017, 390, 1211–1259. [Google Scholar]
- Olusanya, B.O.; Neumann, K.J.; Saunders, J.E. The global burden of disabling hearing impairment: A call to action. Bull. World Health Organ. 2014, 92, 367–373. [Google Scholar] [CrossRef] [PubMed]
- Dalton, D.S.; Cruickshanks, K.J.; Klein, B.E.; Klein, R.; Wiley, T.L.; Nondahl, D.M. The impact of hearing loss on quality of life in older adults. Gerontologist 2003, 43, 661–668. [Google Scholar] [CrossRef] [PubMed]
- Barrenas, M.L.; Bratthall, A.; Dahlgren, J. The thrifty phenotype hypothesis and hearing problems. BMJ 2003, 327, 1199–1200. [Google Scholar] [CrossRef] [PubMed]
- Agrawal, Y.; Platz, E.A.; Niparko, J.K. Prevalence of hearing loss and differences by demographic characteristics among us adults: Data from the national health and nutrition examination survey, 1999–2004. Arch. Intern. Med. 2008, 168, 1522–1530. [Google Scholar] [CrossRef]
- Ishikawa, N.; Nakamura, K.; Izumiyama-Shimomura, N.; Aida, J.; Matsuda, Y.; Arai, T.; Takubo, K. Changes of telomere status with aging: An update. Geriatr. Gezrontology Int. 2016, 16, 30–42. [Google Scholar] [CrossRef]
- Moyzis, R.K.; Buckingham, J.M.; Cram, L.S.; Dani, M.; Deaven, L.L.; Jones, M.D.; Meyne, J.; Ratliff, R.L.; Wu, J.R. A highly conserved repetitive DNA sequence, (ttaggg)n, present at the telomeres of human chromosomes. Proc. Natl. Acad. Sci. USA 1988, 85, 6622–6626. [Google Scholar] [CrossRef]
- Aubert, G.; Lansdorp, P.M. Telomeres and aging. Physiol. Rev. 2008, 88, 557–579. [Google Scholar] [CrossRef]
- Hayflick, L.; Moorhead, P.S. The serial cultivation of human diploid cell strains. Exp. Cell Res. 1961, 25, 585–621. [Google Scholar] [CrossRef]
- Shay, J.W.; Wright, W.E. Hayflick, his limit, and cellular ageing. Nat. Rev. Mol. Cell Biol. 2000, 1, 72–76. [Google Scholar] [CrossRef] [PubMed]
- Takubo, K.; Aida, J.; Izumiyama-Shimomura, N.; Ishikawa, N.; Sawabe, M.; Kurabayashi, R.; Shiraishi, H.; Arai, T.; Nakamura, K. Changes of telomere length with aging. Geriatr. Gerontol. Int. 2010, 10, S197–S206. [Google Scholar] [CrossRef] [PubMed]
- Mons, U.; Muezzinler, A.; Schottker, B.; Dieffenbach, A.K.; Butterbach, K.; Schick, M.; Peasey, A.; De Vivo, I.; Trichopoulou, A.; Boffetta, P.; et al. Leukocyte telomere length and all-cause, cardiovascular disease, and cancer mortality: Results from individual-participant-data meta-analysis of 2 large prospective cohort studies. Am. J. Epidemiol. 2017, 185, 1317–1326. [Google Scholar] [CrossRef]
- Haycock, P.C.; Heydon, E.E.; Kaptoge, S.; Butterworth, A.S.; Thompson, A.; Willeit, P. Leucocyte telomere length and risk of cardiovascular disease: Systematic review and meta-analysis. BMJ 2014, 349, g4227. [Google Scholar] [CrossRef] [PubMed]
- Liu, H.; Luo, H.; Yang, T.; Wu, H.; Chen, D. Association of leukocyte telomere length and the risk of age-related hearing impairment in Chinese Hans. Sci. Rep. 2017, 7, 10106. [Google Scholar] [CrossRef] [PubMed]
- Wang, J.; Nguyen, M.T.; Sung, V.; Grobler, A.; Burgner, D.; Saffery, R.; Wake, M. Associations between telomere length and hearing status in mid-childhood and midlife: Population-based cross-sectional study. Ear Hear. 2019, 40, 1256–1259. [Google Scholar] [CrossRef]
- Xinxia, L.; Yao, L.; Haozhong, L.; Yun, H. Correlation between telomere length of peripheral blood leukocytes and noise-induced hearing loss. Carcinog. Teratog. Mutagenesis 2017, 29, 222–225. [Google Scholar]
- Lian, F.Z.; Wang, J.Q.; Huang, X.H.; Wu, Y.Y.; Cao, Y.F.; Tan, X.H.; Xu, X.R.; Hong, Y.; Yang, L.; Gao, X. Effect of vegetable consumption on the association between peripheral leucocyte telomere length and hypertension: A case-control study. BMJ Open 2015, 5, e009305. [Google Scholar] [CrossRef]
- Cawthon, R.M. Telomere measurement by quantitative PCR. Nucleic Acids Res. 2002, 30, e47. [Google Scholar] [CrossRef]
- O’Callaghan, N.J.; Fenech, M. A quantitative PCR method for measuring absolute telomere length. Biol. Proced. Online 2011, 13, 3. [Google Scholar] [CrossRef]
- Sanders, J.L.; Newman, A.B. Telomere length in epidemiology: A biomarker of aging, age-related disease, both, or neither? Epidemiol. Rev. 2013, 35, 112–131. [Google Scholar] [CrossRef] [PubMed]
- Wang, D.H.; Zhang, H.; Ma, H.Y.; Zhang, L.; Yang, L.; Xu, L.W. Hearing threshold levels and hearing loss among people in Zhejiang, China: A population-based cross-sectional study. BMJ Open 2019, 9, e027152. [Google Scholar] [CrossRef] [PubMed]
- Cruickshanks, K.J.; Nondahl, D.M.; Dalton, D.S.; Fischer, M.E.; Klein, B.E.; Klein, R.; Nieto, F.J.; Schubert, C.R.; Tweed, T.S. Smoking, central adiposity, and poor glycemic control increase risk of hearing impairment. J. Am. Geriatr. Soc. 2015, 63, 918–924. [Google Scholar] [CrossRef] [PubMed]
- Fischer, M.E.; Schubert, C.R.; Nondahl, D.M.; Dalton, D.S.; Huang, G.H.; Keating, B.J.; Klein, B.E.; Klein, R.; Tweed, T.S.; Cruickshanks, K.J. Subclinical atherosclerosis and increased risk of hearing impairment. Atherosclerosis 2015, 238, 344–349. [Google Scholar] [CrossRef]
- Mathers, C.; Smith, A.; Concha, M. Global Burden of Hearing Loss in the Year 2000; World Health Organization: Geneva, Switzerland, 2001; pp. 1–30. [Google Scholar]
- Weng, N.P. Telomeres and immune competency. Curr. Opin. Immunol. 2012, 24, 470–475. [Google Scholar] [CrossRef]
- Harley, C.B. Telomerase and cancer therapeutics. Nat. Rev. Cancer 2008, 8, 167–179. [Google Scholar] [CrossRef]
- Someya, S.; Xu, J.; Kondo, K.; Ding, D.; Salvi, R.J.; Yamasoba, T.; Rabinovitch, P.S.; Weindruch, R.; Leeuwenburgh, C.; Tanokura, M.; et al. Age-related hearing loss in c57bl/6j mice is mediated by bak-dependent mitochondrial apoptosis. Proc. Natl. Acad. Sci. USA 2009, 106, 19432–19437. [Google Scholar] [CrossRef]
- Le, T.; Keithley, E.M. Effects of antioxidants on the aging inner ear. Hear. Res. 2007, 226, 194–202. [Google Scholar] [CrossRef]
- Xu, L.; Hu, Y.; Kong, W.; Shi, H.; Peng, W. The study of the high sensitity to noise trauma in the inner ear mimetic aging model. J. Clin. Otorhinolaryngol. Head Neck Surg. (China) 2010, 24, 895–898. [Google Scholar]
- Von Zglinicki, T. Oxidative stress shortens telomeres. Trends Biochem. Sci. 2002, 27, 339–344. [Google Scholar] [CrossRef]
- Houben, J.M.; Moonen, H.J.; van Schooten, F.J.; Hageman, G.J. Telomere length assessment: Biomarker of chronic oxidative stress? Free Radic. Biol. Med. 2008, 44, 235–246. [Google Scholar] [CrossRef] [PubMed]
- Blasco, M.A. Telomeres and human disease: Ageing, cancer and beyond. Nat. Rev. Genet. 2005, 6, 611–622. [Google Scholar] [CrossRef] [PubMed]

| Variables | Case (n = 817) | Control (n = 817) | p |
|---|---|---|---|
| Age, years | 55.93 (8.99) | 55.91 (9.03) | 0.231 |
| Sex (males), n (%) | 411 (50.3) | 411 (50.3) | 1.000 |
| RTL, median (P25–P75) | 0.92 (0.71–1.15) | 0.97 (0.75–1.22) | 0.004 |
| Hypertension, n (%) | 268 (32.8) | 148 (18.1) | <0.001 |
| Hyperlipidemia, n (%) | 64 (7.8) | 31 (3.8) | 0.001 |
| Diabetes, n (%) | 51 (6.2) | 23 (2.8) | 0.001 |
| Hypercholesterolemia, n (%) | 30 (3.7) | 15 (1.8) | 0.025 |
| Lead (log-transformed), µg/dL | 1.59 (0.16) | 1.59 (0.16) | 0.845 |
| Cadmium (log-transformed), µg/L | 0.51 (0.18) | 0.50 (0.16) | 0.043 |
| Variables | Case, n | Control, n | OR (95% CI) | p-Trend |
|---|---|---|---|---|
| RTL | ||||
| Q1 (≤0.726) | 186 | 186 | 1 (reference) | |
| Q2 (0.726–0.948) | 198 | 198 | 0.76 (0.56–1.03) | |
| Q3 (0.948–1.200) | 201 | 201 | 0.77 (0.57–1.05) | |
| Q4 (>1.200) | 232 | 232 | 0.53 (0.38–0.74) | 0.002 |
| Hypertension | ||||
| No | 549 | 669 | 1 (reference) | |
| Yes | 268 | 148 | 2.10 (1.62–2.71) | <0.001 |
| Hyperlipidemia | ||||
| No | 753 | 786 | 1 (reference) | |
| Yes | 64 | 31 | 1.44 (0.86–2.42) | 0.162 |
| Diabetes | ||||
| No | 766 | 794 | 1 (reference) | |
| Yes | 51 | 23 | 1.91 (1.08–3.38) | 0.027 |
| Hypercholesterolemia | ||||
| No | 787 | 802 | 1 (reference) | |
| Yes | 30 | 15 | 1.34 (0.62–2.90) | 0.458 |
| Cadmium | 817 | 817 | 1.06 (1.01–1.12) | 0.029 |
| RTL Levels | Case/Control | Crude | Adjusted a |
|---|---|---|---|
| OR (95% CI) | OR (95% CI) | ||
| Per doubling of RTL | 817/817 | 0.67 (0.53–0.83) | 0.66 (0.52–0.83) |
| p-value | <0.001 | <0.001 | |
| Per SD of RTL b | 817/817 | 0.80 (0.70–0.90) | 0.79 (0.70–0.90) |
| p-value | <0.001 | <0.001 | |
| RTL quartile | |||
| Q1 (≤0.726) | 186/186 | 1 (reference) | 1 (reference) |
| Q2 (0.726–0.948) | 198/198 | 0.81 (0.61–1.08) | 0.76 (0.56–1.03) |
| Q3 (0.948–1.200) | 201/201 | 0.80 (0.60–1.06) | 0.77 (0.57–1.05) |
| Q4 (>1.200) | 232/232 | 0.54 (0.39–0.74) | 0.53 (0.38–0.74) |
| p-trend | 0.002 | 0.002 |
© 2020 by the authors. Licensee MDPI, Basel, Switzerland. This article is an open access article distributed under the terms and conditions of the Creative Commons Attribution (CC BY) license (http://creativecommons.org/licenses/by/4.0/).
Share and Cite
Zhang, H.; Wang, D.; Ma, H.; Li, C.; Wang, S.; Wang, Y.; Yang, L.; Xu, L. Association between Leucocyte Telomere Length and Risk of Hearing Loss in the General Population: A Case-Control Study in Zhejiang Province, China. Int. J. Environ. Res. Public Health 2020, 17, 1881. https://doi.org/10.3390/ijerph17061881
Zhang H, Wang D, Ma H, Li C, Wang S, Wang Y, Yang L, Xu L. Association between Leucocyte Telomere Length and Risk of Hearing Loss in the General Population: A Case-Control Study in Zhejiang Province, China. International Journal of Environmental Research and Public Health. 2020; 17(6):1881. https://doi.org/10.3390/ijerph17061881
Chicago/Turabian StyleZhang, Huai, Dahui Wang, Haiyan Ma, Chenhui Li, Shichang Wang, Yi Wang, Lei Yang, and Liangwen Xu. 2020. "Association between Leucocyte Telomere Length and Risk of Hearing Loss in the General Population: A Case-Control Study in Zhejiang Province, China" International Journal of Environmental Research and Public Health 17, no. 6: 1881. https://doi.org/10.3390/ijerph17061881
APA StyleZhang, H., Wang, D., Ma, H., Li, C., Wang, S., Wang, Y., Yang, L., & Xu, L. (2020). Association between Leucocyte Telomere Length and Risk of Hearing Loss in the General Population: A Case-Control Study in Zhejiang Province, China. International Journal of Environmental Research and Public Health, 17(6), 1881. https://doi.org/10.3390/ijerph17061881

