Adsorption of Acid Orange Ⅱ with Two Step Modified Sepiolite: Optimization, Adsorption Performance, Kinetics, Thermodynamics and Regeneration
Abstract
1. Introduction
2. Method and Materials
2.1. Materials
2.2. Preparation of Organically Modified Sepiolite
2.3. Adsorption Test
2.4. Alkali Regeneration Test
3. Result and Discussion
3.1. Effect of Modification Condition on the Adsorption Performance
3.2. Effect of the Operation Condition on Adsorption Performance
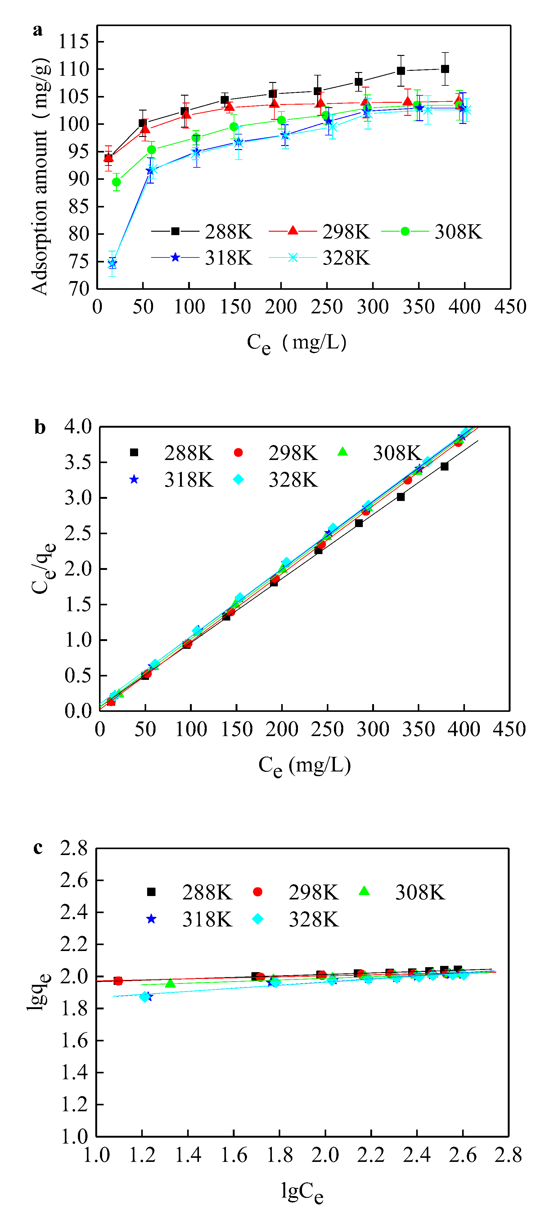
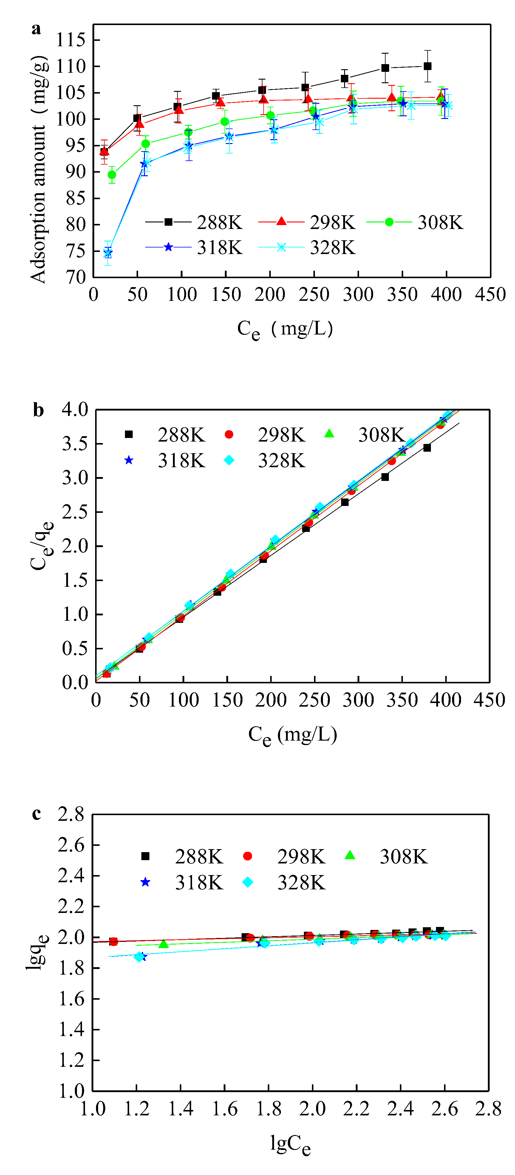
3.3. Adsorption Kinetics and Adsorption Thermodynamics
3.4. Regeneration of Organic Sepiolite Adsorbent
4. Conclusions
- (1)
- The optimal preparation conditions for modified sepiolite are listed as follows: the calcination temperature was 200 °C and the amount of CTAB was equal to the sepiolite cation exchange capacity. The thermal modification does not effectively enlarge the pores at low temperature, while the internal pores collapse at high temperatures. The proper amount of CTAB could form an organic hydrophobic layer and change the negative charge of the surface of the sepiolite by ion exchange.
- (2)
- The decolorization rate of acid orange II by organic sepiolite decreased with the increase in pH. With the increase in adsorbent dosage, the decolorization rate of acid orange II increased, while the adsorption amount declined. In the first 60 min, the adsorption amount can reach 90% of the total capacity, and the adsorption basically reaches equilibrium after 120 min.
- (3)
- The adsorption of Acid Orange II by modified sepiolite was obeyed with quasi-secondary reaction kinetics and the Langmuir equation at different temperatures. The intraparticle diffusion was the dominant adsorption force in the first 60 min and gradually diminished.
- (4)
- The optimal regeneration condition is 0.8 mol/L NaOH and 2 h regeneration duration. Over 50% decolorization rate can be achieved within three regeneration times.
Author Contributions
Funding
Conflicts of Interest
References
- Gupta, V. Application of low-cost adsorbents for dye removal—A review. J. Environ. Manag. 2009, 90, 2313–2342. [Google Scholar] [CrossRef] [PubMed]
- Yu, J.; Zhang, L.; Liu, B. Adsorption of Malachite Green with Sodium Dodecylbenzene Sulfonate Modified Sepiolite: Characterization, Adsorption Performance and Regeneration. Int. J. Environ. Res. Public Health 2019, 16, 3297. [Google Scholar] [CrossRef] [PubMed]
- Liang, X.; Zhong, Y.; Zhu, S.; Zhu, J.; Yuan, P.; He, H.; Zhang, J. The decolorization of Acid Orange II in non-homogeneous Fenton reaction catalyzed by natural vanadium–titanium magnetite. J. Hazard. Mater. 2010, 181, 112–120. [Google Scholar] [CrossRef] [PubMed]
- Kusvuran, E.; Irmak, S.; Yavuz, H.I.; Samil, A.; Erbatur, O. Comparison of the treatment methods efficiency for decolorization and mineralization of Reactive Black 5 azo dye. J. Hazard. Mater. 2005, 119, 109–116. [Google Scholar] [CrossRef] [PubMed]
- Li, G.; Liu, B.; Bai, L.; Shi, Z.; Tang, X.; Wang, J.; Liang, H.; Zhang, Y.; Van der Bruggen, B. Improving the performance of loose nanofiltration membranes by poly-dopamine/zwitterionic polymer coating with hydroxyl radical activation. Sep. Purif. Technol. 2020, 238, 116412. [Google Scholar] [CrossRef]
- Li, G.; Zhou, S.; Shi, Z.; Meng, X.; Li, L.; Liu, B. Electrochemical degradation of ciprofloxacin on BDD anode using a differential column batch reactor: Mechanisms, kinetics and pathways. Environ. Sci. Pollut. Res. 2019, 26, 17740–17750. [Google Scholar] [CrossRef]
- Chang, H.; Li, T.; Liu, B.; Vidic, R.D.; Elimelech, M.; Crittenden, J.C. Potential and implemented membrane-based technologies for the treatment and reuse of flowback and produced water from shale gas and oil plays: A review. Desalination 2019, 455, 34–57. [Google Scholar] [CrossRef]
- Nugent, P.; Belmabkhout, Y.; Burd, S.D.; Cairns, A.J.; Luebke, R.; Forrest, K.; Pham, T.; Ma, S.; Space, B.; Wojtas, L. Porous materials with optimal adsorption thermodynamics and kinetics for CO 2 separation. Nature 2013, 495, 80. [Google Scholar] [CrossRef]
- Yu, J.; Zhang, D.; Ren, W.; Liu, B. Transport of Enterococcus faecalis in granular activated carbon column: Potential energy, migration, and release. Colloids Surf. B Biointerfaces 2019, 183, 110415. [Google Scholar] [CrossRef]
- Varlikli, C.; Bekiari, V.; Kus, M.; Boduroglu, N.; Oner, I.; Lianos, P.; Lyberatos, G.; Icli, S. Adsorption of dyes on Sahara desert sand. J. Hazard. Mater. 2009, 170, 27–34. [Google Scholar] [CrossRef]
- Jiuhui, Q. Research progress of novel adsorption processes in water purification: A review. J. Environ. Sci. 2008, 20, 1–13. [Google Scholar]
- Ngulube, T.; Gumbo, J.R.; Masindi, V.; Maity, A. An update on synthetic dyes adsorption onto clay based minerals: A state-of-art review. J. Environ. Manag. 2017, 191, 35–57. [Google Scholar] [CrossRef] [PubMed]
- Adeyemo, A.A.; Adeoye, I.O.; Bello, O.S. Adsorption of dyes using different types of clay: A review. Appl. Water Sci. 2017, 7, 543–568. [Google Scholar] [CrossRef]
- Węgrzyn, A.; Stawiński, W.; Freitas, O.; Komędera, K.; Błachowski, A.; Jęczmionek, Ł.; Dańko, T.; Mordarski, G.; Figueiredo, S. Study of adsorptive materials obtained by wet fine milling and acid activation of vermiculite. Appl. Clay Sci. 2018, 155, 37–49. [Google Scholar] [CrossRef]
- Stawiński, W.; Węgrzyn, A.; Mordarski, G.; Skiba, M.; Freitas, O.; Figueiredo, S. Sustainable adsorbents formed from by-product of acid activation of vermiculite and leached-vermiculite-LDH hybrids for removal of industrial dyes and metal cations. Appl. Clay Sci. 2018, 161, 6–14. [Google Scholar] [CrossRef]
- Silva, A.; Martinho, S.; Stawiński, W.; Węgrzyn, A.; Figueiredo, S.; Santos, L.H.; Freitas, O. Application of vermiculite-derived sustainable adsorbents for removal of venlafaxine. Environ. Sci. Pollut. Res. 2018, 25, 17066–17076. [Google Scholar] [CrossRef]
- Wang, Z.; Liao, L.; Hursthouse, A.; Song, N.; Ren, B. Sepiolite-Based Adsorbents for the Removal of Potentially Toxic Elements from Water: A Strategic Review for the Case of Environmental Contamination in Hunan, China. Int. J. Environ. Res. Public Health 2018, 15, 1653. [Google Scholar] [CrossRef]
- Yu, J.; Shen, H.; Liu, B. Adsorption Properties of Polyethersulfone-Modified Attapulgite Hybrid Microspheres for Bisphenol A and Sulfamethoxazole. Int. J. Environ. Res. Public Health 2020, 17, 473. [Google Scholar] [CrossRef]
- Kara, M.; Yuzer, H.; Sabah, E.; Celik, M. Adsorption of cobalt from aqueous solutions onto sepiolite. Water Res. 2003, 37, 224–232. [Google Scholar] [CrossRef]
- Chen, Q.; Zhu, R.; Liu, S.; Wu, D.; Fu, H.; Zhu, J.; He, H. Self-templating synthesis of silicon nanorods from natural sepiolite for high-performance lithium-ion battery anodes. J. Mater. Chem. A 2018, 6, 6356–6362. [Google Scholar] [CrossRef]
- Serna, C.; Vanscoyoc, G. Infrared study of sepiolite and palygorskite surfaces. Dev. Sedimentol. 1979, 27, 197–206. [Google Scholar]
- Peng, W.; Li, H.; Liu, Y.; Song, S. A review on heavy metal ions adsorption from water by graphene oxide and its composites. J. Mol. Liq. 2017, 230, 496–504. [Google Scholar] [CrossRef]
- Santos, S.C.; Boaventura, R.A. Adsorption of cationic and anionic azo dyes on sepiolite clay: Equilibrium and kinetic studies in batch mode. J. Environ. Chem. Eng. 2016, 4, 1473–1483. [Google Scholar] [CrossRef]
- Hu, B.; Hu, Q.; Chen, C.; Sun, Y.; Xu, D.; Sheng, G. New insights into Th (IV) speciation on sepiolite: Evidence for EXAFS and modeling investigation. Chem. Eng. J. 2017, 322, 66–72. [Google Scholar] [CrossRef]
- Gohari, R.J.; Lau, W.; Matsuura, T.; Halakoo, E.; Ismail, A. Adsorptive removal of Pb (II) from aqueous solution by novel PES/HMO ultrafiltration mixed matrix membrane. Sep. Purif. Technol. 2013, 120, 59–68. [Google Scholar] [CrossRef]
- Vaġzoğullar, A.Ġ.; Uğurlu, M.; Kula, Ġ. Comparing adsorption activity of raw Sepiolite and CTAB modified Sepiolite: Kinetic and adsorption study for removal of Hg+. Int. J. Environ. 2015, 4, 19–31. [Google Scholar] [CrossRef][Green Version]
- Zhao, S.; Huang, G.; Mu, S.; An, C.; Chen, X. Immobilization of phenanthrene onto gemini surfactant modified sepiolite at solid/aqueous interface: Equilibrium, thermodynamic and kinetic studies. Sci. Total Environ. 2017, 598, 619–627. [Google Scholar] [CrossRef]
- Taffarel, S.R.; Rubio, J. Adsorption of sodium dodecyl benzene sulfonate from aqueous solution using a modified natural zeolite with CTAB. Miner. Eng. 2010, 23, 771–779. [Google Scholar] [CrossRef]
- Guo, J.; Chen, S.; Liu, L.; Li, B.; Yang, P.; Zhang, L.; Feng, Y. Adsorption of dye from wastewater using chitosan–CTAB modified bentonites. J. Colloid Interface Sci. 2012, 382, 61–66. [Google Scholar] [CrossRef]
- Moslemizadeh, A.; Aghdam, S.K.-Y.; Shahbazi, K.; Aghdam, H.K.-Y.; Alboghobeish, F. Assessment of swelling inhibitive effect of CTAB adsorption on montmorillonite in aqueous phase. Appl. Clay Sci. 2016, 127, 111–122. [Google Scholar] [CrossRef]
- Wang, Y.; Li, Z.-W.; Huang, B.; Jiang, W.-G.; Guo, L.; Huang, J.-Q.; Zeng, G.-M. Kinetics comparison on simultaneous and sequential competitive adsorption of heavy metals in red soils. J. Cent. South Univ. 2015, 22, 1269–1275. [Google Scholar] [CrossRef]
- Pan, Y.; Liu, L.; Cai, W.; Hu, Y.; Jiang, S.; Zhao, H. Effect of layer-by-layer self-assembled sepiolite-based nanocoating on flame retardant and smoke suppressant properties of flexible polyurethane foam. Appl. Clay Sci. 2019, 168, 230–236. [Google Scholar] [CrossRef]
- Özcan, A.; Özcan, A.S. Adsorption of Acid Red 57 from aqueous solutions onto surfactant-modified sepiolite. J. Hazard. Mater. 2005, 125, 252–259. [Google Scholar] [CrossRef] [PubMed]
- Silva, J.P.; Sousa, S.; Rodrigues, J.; Antunes, H.; Porter, J.J.; Gonçalves, I.; Ferreira-Dias, S. Adsorption of acid orange 7 dye in aqueous solutions by spent brewery grains. Sep. Purif. Technol. 2004, 40, 309–315. [Google Scholar] [CrossRef]
- Yang, X.; Yi, H.; Tang, X.; Zhao, S.; Yang, Z.; Ma, Y.; Feng, T.; Cui, X. Behaviors and kinetics of toluene adsorption-desorption on activated carbons with varying pore structure. J. Environ. Sci. 2018, 67, 104–114. [Google Scholar] [CrossRef] [PubMed]
- Li, W.; Wang, J.; He, G.; Yu, L.; Noor, N.; Sun, Y.; Zhou, X.; Hu, J.; Parkin, I.P. Enhanced adsorption capacity of ultralong hydrogen titanate nanobelts for antibiotics. J. Mater. Chem. A 2017, 5, 4352–4358. [Google Scholar] [CrossRef]
- Sabah, E.; Turan, M.; Celik, M. Adsorption mechanism of cationic surfactants onto acid-and heat-activated sepiolites. Water Res. 2002, 36, 3957–3964. [Google Scholar] [CrossRef]
- Ma, J.; Cui, B.; Dai, J.; Li, D. Mechanism of adsorption of anionic dye from aqueous solutions onto organobentonite. J. Hazard. Mater. 2011, 186, 1758–1765. [Google Scholar] [CrossRef]
- Chen, H.; Zhao, J.; Wu, J.; Dai, G. Isotherm, thermodynamic, kinetics and adsorption mechanism studies of methyl orange by surfactant modified silkworm exuviae. J. Hazard. Mater. 2011, 192, 246–254. [Google Scholar] [CrossRef]
- Sánchez-Martín, M.; Dorado, M.; del Hoyo, C.; Rodríguez-Cruz, M. Influence of clay mineral structure and surfactant nature on the adsorption capacity of surfactants by clays. J. Hazard. Mater. 2008, 150, 115–123. [Google Scholar] [CrossRef]
- Maliyekkal, S.M.; Sharma, A.K.; Philip, L. Manganese-oxide-coated alumina: A promising sorbent for defluoridation of water. Water Res. 2006, 40, 3497–3506. [Google Scholar] [CrossRef] [PubMed]







| Composition | SiO2 | MgO | CaO | Al2O3 | K2O | Fe2O3 | TiO2 |
|---|---|---|---|---|---|---|---|
| Percentage (%) | 69.41 | 17.93 | 4.18 | 5.65 | 0.57 | 1.91 | 0.35 |
| Temperature (K) | Quasi-First-Order Reaction Kinetics Model | Quasi-Secondary Reaction Kinetics Model | |||||
| qe (mg/g) | q1e (mg/g) | k1 (1/min) | R12 | q2e (mg/g) | k2 (1/min) | R22 | |
| 288 | 93.91 | 98.15 | 2.59 × 10−2 | 0.7398 | 94.43 | 6.7 × 10−3 | 0.9999 |
| 298 | 93.78 | 97.76 | 2.66 × 10−2 | 0.7520 | 94.07 | 7.3 × 10−3 | 1.0000 |
| 308 | 91.96 | 179.38 | 5.99 × 10−3 | 0.0647 | 91.58 | 8.4 × 10−3 | 0.9999 |
| 318 | 91.30 | 133.24 | 9.66 × 10−3 | 0.2726 | 91.49 | 1.01 × 10−2 | 0.9999 |
| 328 | 91.00 | 91.30 | 1.06 × 10−1 | 0.5504 | 91.41 | 1.27 × 10−2 | 0.9999 |
| Temperature (K) | Intraparticle Diffusion Model | ||||||
| qe (mg/g) | (1/min) | C | R1p2 | (1/min) | C | R2p2 | |
| 288 | 93.91 | 2.59 | 72.6 | 0.9984 | 0.074 | 6.7 × 10−3 | 0.5175 |
| 298 | 93.78 | 2.78 | 72.4 | 0.9979 | 0.1029 | 7.3 × 10−3 | 0.5627 |
| 308 | 91.96 | 2.60 | 70.9 | 0.9909 | 0.056 | 8.4 × 10−3 | 0.4189 |
| 318 | 91.30 | 2.35 | 72.1 | 0.9932 | 0.015 | 1.01 × 10−2 | 0.0351 |
| 328 | 91.00 | 2.43 | 71.4 | 0.9914 | 0.035 | 1.27 × 10−2 | 0.5526 |
| Temperature (K) | Langmuir | Freundlich | |||||
|---|---|---|---|---|---|---|---|
| qmax (mg/g) | KL (10−2 L/mg) | RL | R12 | n | KF(10−2 L/mg) | R22 | |
| 288 | 110.05 | 1.73 | 0.028 | 0.9994 | 22.08 | 83.56 | 0.9851 |
| 298 | 104.17 | 1.50 | 0.032 | 0.9997 | 32.29 | 87.41 | 0.9559 |
| 308 | 103.42 | 1.30 | 0.037 | 0.9998 | 20.07 | 77.29 | 0.9921 |
| 318 | 102.93 | 1.16 | 0.041 | 0.9995 | 10.39 | 59.14 | 0.9406 |
| 328 | 102.58 | 1.02 | 0.047 | 0.9995 | 10.64 | 59.58 | 0.9394 |
| Adsorbent | Surfactant | qmax (mg/g) | Reference |
|---|---|---|---|
| Montmorillonite | Sodium dodecyl sulfate | 48.3 | Sánchez-Martín et al. [28] |
| Illite | Sodium dodecyl sulfate | 90.1 | |
| Muscovite | Sodium dodecyl sulfate | 24.8 | |
| Kaolinite | Sodium dodecyl sulfate | 87 | |
| Sepiolite | Sodium dodecyl sulfate | 66.2 | |
| Palygorskite | Sodium dodecyl sulfate | 44.2 | |
| Alumina | Sodium dodecyl benzenesulfonate | 19.8 | |
| Attapulgite | Polyethersulfone | 102.04 | Yu et al. [28] |
| Zeolite | Cetyl trimethylammonium bromide | 30.7 | Taffarel et al. [28] |
| Silkworm exuviae | Hexadecyltrimethylammonium bromide | 87.03 | Chen et al. [28] |
| Sepiolite | Cetyltrimethylammonium Bromide | 110.05 | This work |
| Temperature (K) | |||
|---|---|---|---|
| 318 | −10.31 | −9.82 | −1.676 |
| 328 | −9.82 | ||
| 338 | −9.80 | ||
| 348 | −9.76 |
| NaOH Concentration (mol/L) | Decolorization Ratio (%) | Regeneration Duration (h) | Decolorization Ratio (%) | Numbers of Regeneration | Decolorization Ratio (%) |
|---|---|---|---|---|---|
| 0 | 18.26 | 0.5 | 21.67 | 0 | 93.4 |
| 0.1 | 50.65 | 1 | 51.20 | 1 | 62.03 |
| 0.4 | 55.46 | 2 | 62.03 | 2 | 55.61 |
| 0.8 | 62.23 | 4 | 62.23 | 3 | 50.72 |
| 1 | 58.10 | 8 | 62.22 | 4 | 40.11 |
© 2020 by the authors. Licensee MDPI, Basel, Switzerland. This article is an open access article distributed under the terms and conditions of the Creative Commons Attribution (CC BY) license (http://creativecommons.org/licenses/by/4.0/).
Share and Cite
Yu, J.; He, W.; Liu, B. Adsorption of Acid Orange Ⅱ with Two Step Modified Sepiolite: Optimization, Adsorption Performance, Kinetics, Thermodynamics and Regeneration. Int. J. Environ. Res. Public Health 2020, 17, 1732. https://doi.org/10.3390/ijerph17051732
Yu J, He W, Liu B. Adsorption of Acid Orange Ⅱ with Two Step Modified Sepiolite: Optimization, Adsorption Performance, Kinetics, Thermodynamics and Regeneration. International Journal of Environmental Research and Public Health. 2020; 17(5):1732. https://doi.org/10.3390/ijerph17051732
Chicago/Turabian StyleYu, Jian, Wenting He, and Bin Liu. 2020. "Adsorption of Acid Orange Ⅱ with Two Step Modified Sepiolite: Optimization, Adsorption Performance, Kinetics, Thermodynamics and Regeneration" International Journal of Environmental Research and Public Health 17, no. 5: 1732. https://doi.org/10.3390/ijerph17051732
APA StyleYu, J., He, W., & Liu, B. (2020). Adsorption of Acid Orange Ⅱ with Two Step Modified Sepiolite: Optimization, Adsorption Performance, Kinetics, Thermodynamics and Regeneration. International Journal of Environmental Research and Public Health, 17(5), 1732. https://doi.org/10.3390/ijerph17051732

