The Associations of Income, Education and Income Inequality and Subjective Well-Being among Elderly in Hong Kong—A Multilevel Analysis
Abstract
1. Introduction
Aims and Hypothesis
2. Materials and Methods
2.1. Participants and Procedure
2.2. Exposure
2.3. Outcome
2.4. Statistical Analysis
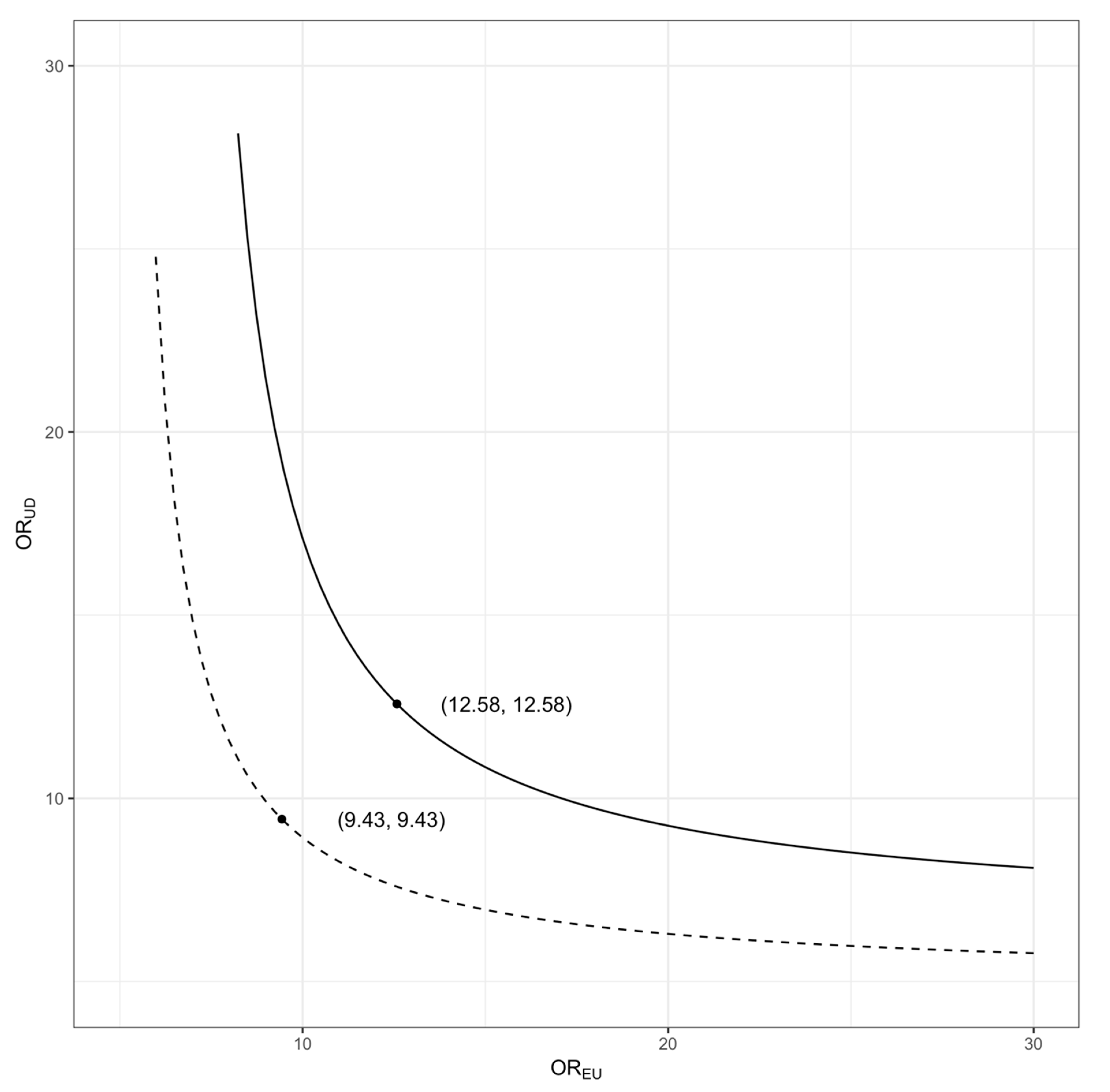
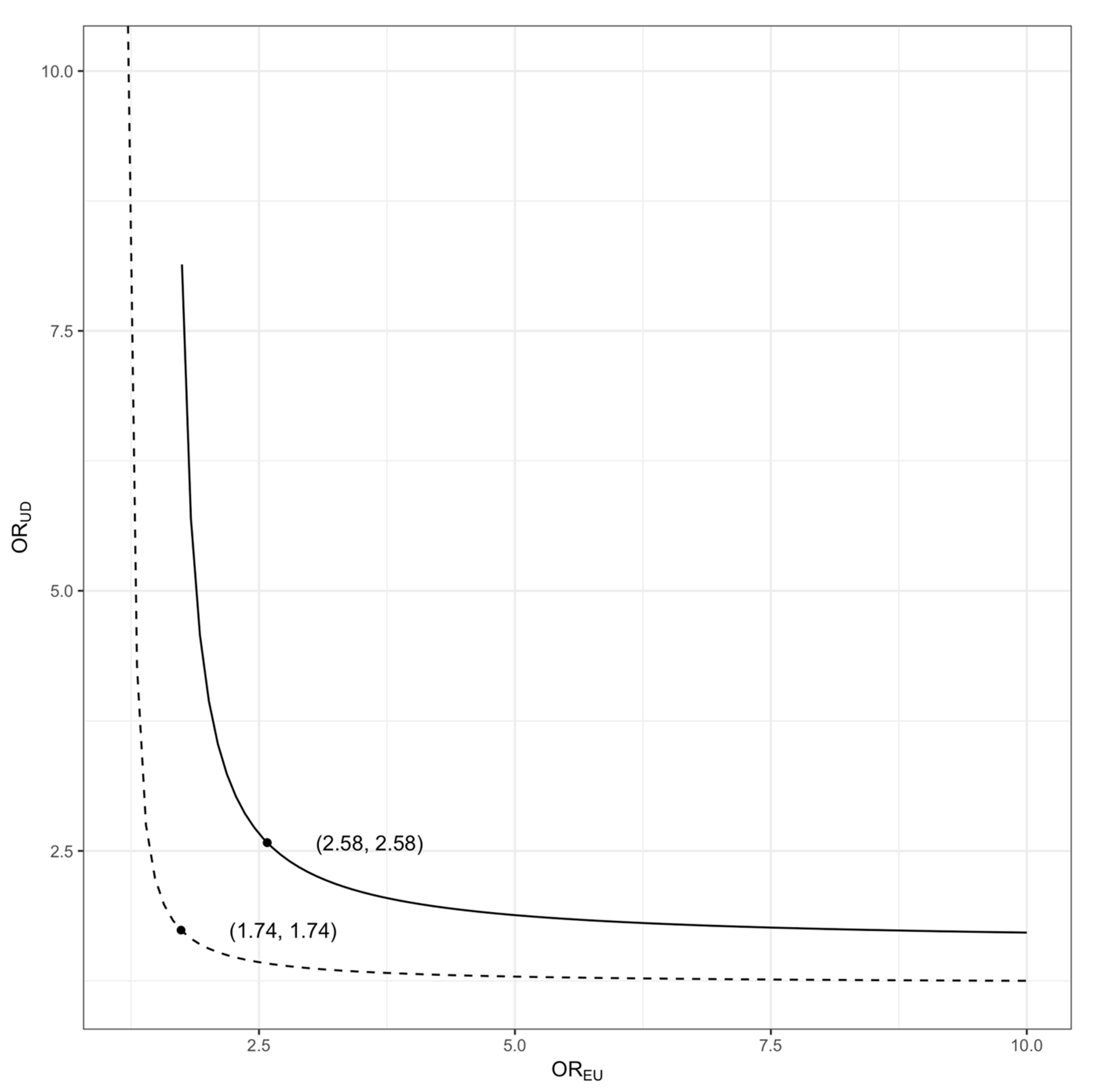
3. Results
3.1. Baseline Characteristics
3.2. Multilevel Analysis
4. Discussion
4.1. Comparison with Previous Studies
4.2. Strengths and Limitations
4.3. Policy Implications
5. Conclusions
Author Contributions
Funding
Acknowledgments
Conflicts of Interest
Appendix A
| RII (95%CI) | ||||
|---|---|---|---|---|
| Age Groups | Low SWB | Unhappy with Life | Not Satisfied with Life | No Meaning in Life |
| Individual level | ||||
| Young-old (60 to 69) | 1.26 (0.70 to 2.27) | 0.69 (0.20 to 2.33) | 1.12 (0.54 to 2.30) | 1.23 (0.62 to 2.47) |
| Old-old (70 to 79) | 1.83 (1.21 to 2.77) | 2.12 (0.75 to 5.96) | 1.57 (0.92 to 2.66) | 1.66 (1.02 to 2.71) |
| Oldest-old (80+) | 1.70 (1.07 to 2.69) | 3.14 (1.02 to 9.64) | 1.43 (0.80 to 2.57) | 1.40 (0.81 to 2.43) |


References
- Stiglitz, J.E.; Sen, A.; Fitoussi, J.-P. Report by the Commission on the Measurement of Economic Performance and Social Progress. 2009. Available online: www.stiglitz-senfitoussi.fr (accessed on 2 January 2020).
- Seaford, C. Policy: Time to legislate for the good life. Nature 2011, 477, 532–533. [Google Scholar] [CrossRef] [PubMed]
- Chida, Y.; Steptoe, A. Positive psychological well-being and mortality: A quantitative review of prospective observational studies. Psychosom. Med. 2008, 70, 741–756. [Google Scholar] [CrossRef] [PubMed]
- Steptoe, A.; Deaton, A.; Stone, A.A. Subjective wellbeing, health, and ageing. Lancet (Lond. Engl.) 2015, 385, 640–648. [Google Scholar] [CrossRef]
- Sprangers, M.A.; de Regt, E.B.; Andries, F.; van Agt, H.M.; Bijl, R.V.; de Boer, J.B.; Foets, M.; Hoeymans, N.; Jacobs, A.E.; Kempen, G.I.; et al. Which chronic conditions are associated with better or poorer quality of life? J. Clin. Epidemiol. 2000, 53, 895–907. [Google Scholar] [CrossRef]
- Kahneman, D.; Deaton, A. High income improves evaluation of life but not emotional well-being. Proc. Natl. Acad. Sci. USA 2010, 107, 16489–16493. [Google Scholar] [CrossRef]
- Woo, J.; Lynn, H.; Leung, J.; Wong, S.Y. Self-perceived social status and health in older Hong Kong Chinese women compared with men. Women Health 2008, 48, 209–234. [Google Scholar] [CrossRef]
- Huguet, N.; Kaplan, M.S.; Feeny, D. Socioeconomic status and health-related quality of life among elderly people: Results from the Joint Canada/United States Survey of Health. Soc. Sci. Med. (1982) 2008, 66, 803–810. [Google Scholar] [CrossRef]
- Dunn, J.R.; Veenstra, G.; Ross, N. Psychosocial and neo-material dimensions of SES and health revisited: Predictors of self-rated health in a Canadian national survey. Soc. Sci. Med. 2006, 62, 1465–1473. [Google Scholar] [CrossRef]
- Oxfam Hong Kong. Hong Kong Inequality Report; Oxfam Hong Kong: Hong Kong, China, 2018. [Google Scholar]
- Census and Statistics Department. Population and Household Statistics Analysed by District Council District; HKSAR Government: Hong Kong, China, 2018.
- Census and Statistics Department. Women and Men in Hong Kong—Key Statistics; HKSAR Government: Hong Kong, China, 2019.
- Government of the Hong Kong Special Administrative Region. Hong Kong Poverty Situation Report 2018; HKSAR Government: Hong Kong, China, 2019.
- Wong, I.O.; Cowling, B.J.; Lo, S.-V.; Leung, G.M. A multilevel analysis of the effects of neighbourhood income inequality on individual self-rated health in Hong Kong. Soc. Sci. Med. 2009, 68, 124–132. [Google Scholar] [CrossRef]
- Woo, J.; Tong, C.; Yu, R. Chewing Difficulty Should be Included as a Geriatric Syndrome. Nutrients 2018, 10, 1997. [Google Scholar] [CrossRef]
- Woo, J.; Yu, R.; Tsoi, K.; Meng, H. Variability in Repeated Blood Pressure Measurements as a Marker of Frailty. J. Nutr. Health Aging 2018, 22, 1122–1127. [Google Scholar] [CrossRef]
- Yu, R.; Woo, J. Cognitive Assessment of Older People: Do Sensory Function and Frailty Matter? Int. J. Environ. Res. Public Health 2019, 16, 662. [Google Scholar] [CrossRef] [PubMed]
- Hayes, L.J.; Berry, G. Sampling variability of the Kunst-Mackenbach relative index of inequality. J. Epidemiol. Community Health 2002, 56, 762–765. [Google Scholar] [CrossRef]
- Sergeant, J.C.; Firth, D. Relative index of inequality: Definition, estimation, and inference. Biostatistics (Oxf. Engl.) 2006, 7, 213–224. [Google Scholar] [CrossRef] [PubMed]
- Cowell, F.A. Measurement of inequality. Handb. Income Distrib. 2000, 1, 87–166. [Google Scholar]
- VanderWeele, T.J.; Shpitser, I. A new criterion for confounder selection. Biometrics 2011, 67, 1406–1413. [Google Scholar] [CrossRef] [PubMed]
- Ding, P.; VanderWeele, T.J. Sensitivity analysis without assumptions. Epidemiology (Camb. Mass.) 2016, 27, 368–377. [Google Scholar] [CrossRef]
- Cheng, Y.H.; Chi, I.; Boey, K.W.; Ko, L.S.; Chou, K.L. Self-rated economic condition and the health of elderly persons in Hong Kong. Soc. Sci. Med. (1982) 2002, 55, 1415–1424. [Google Scholar] [CrossRef]
- Kawachi, I.; Kennedy, B.P.; Wilkinson, R.G. The Society and Population Health Reader, Volume I: Income Inequality and Health; New Press: New York, NY, USA, 1999. [Google Scholar]
- Drukker, M.; Feron, F.J.; van Os, J. Income inequality at neighbourhood level and quality of life—A contextual analysis. Soc. Psychiatry Psychiatr. Epidemiol. 2004, 39, 457–463. [Google Scholar] [CrossRef]
- Kondo, N.; van Dam, R.M.; Sembajwe, G.; Subramanian, S.V.; Kawachi, I.; Yamagata, Z. Income inequality and health: The role of population size, inequality threshold, period effects and lag effects. J. Epidemiol. Community Health 2012, 66, e11. [Google Scholar] [CrossRef]
- Beckfield, J. Does income inequality harm health? New cross-national evidence. J. Health Soc. Behav. 2004, 45, 231–248. [Google Scholar] [CrossRef] [PubMed]
- House, J.S. Understanding social factors and inequalities in health: 20th century progress and 21st century prospects. J. Health Soc. Behav. 2002, 43, 125–142. [Google Scholar] [CrossRef] [PubMed]
- Mackenbach, J.P.; Stirbu, I.; Roskam, A.J.; Schaap, M.M.; Menvielle, G.; Leinsalu, M.; Kunst, A.E. Socioeconomic inequalities in health in 22 European countries. N. Engl. J. Med. 2008, 358, 2468–2481. [Google Scholar] [CrossRef] [PubMed]
- Huisman, M.; Kunst, A.E.; Andersen, O.; Bopp, M.; Borgan, J.K.; Borrell, C.; Costa, G.; Deboosere, P.; Desplanques, G.; Donkin, A.; et al. Socioeconomic inequalities in mortality among elderly people in 11 European populations. J. Epidemiol. Community Health 2004, 58, 468–475. [Google Scholar] [CrossRef] [PubMed]
- Savikko, N.; Routasalo, P.; Tilvis, R.S.; Strandberg, T.E.; Pitkala, K.H. Predictors and subjective causes of loneliness in an aged population. Arch. Gerontol. Geriatr. 2005, 41, 223–233. [Google Scholar] [CrossRef] [PubMed]
- Yang, K.S. Chinese social orientation: An integrative analysis. In Psychotherapy for the Chinese: Selected papers from the first International Conference; Cheng, L.Y., Cheung, F.M.C., Chen, C.N., Eds.; The Chinese University of Hong Kong: Hong Kong, China, 1993; pp. 19–56. [Google Scholar]
- Ulloa, B.F.L.; Møller, V.; Sousa-Poza, A. How does subjective well-being evolve with age? A literature review. J. Popul. Ageing 2013, 6, 227–246. [Google Scholar] [CrossRef]
- Berkman, L.F.; Kawachi, I.; Glymore, M.M. Social Epidemiology; Oxford University Press: New York, NY, USA, 2014. [Google Scholar]
- Elze, M.C.; Gregson, J.; Baber, U.; Williamson, E.; Sartori, S.; Mehran, R.; Nichols, M.; Stone, G.W.; Pocock, S.J. Comparison of Propensity Score Methods and Covariate Adjustment: Evaluation in 4 Cardiovascular Studies. J. Am. Coll. Cardiol. 2017, 69, 345–357. [Google Scholar] [CrossRef]
- Chou, K.L.; Chi, I. Financial strain and depressive symptoms in Hong Kong elderly Chinese: The moderating or mediating effect of sense of control. Aging Ment. Health 2001, 5, 23–30. [Google Scholar] [CrossRef]

| n (%) for Categorical Variables or Median [IQR] for Continuous Variables | n = 7552 |
|---|---|
| Low subjective well-being | 1156 (15.3) |
| Unhappy with life (0-2 on Likert scale) | 182 (2.4) |
| Not satisfied with life | 635 (8.4) |
| No meaning in life | 771 (10.2) |
| Disposable income | |
| Very adequate | 110 (1.5) |
| Adequate | 958 (12.7) |
| Just right | 4887 (64.7) |
| Inadequate | 1279 (16.9) |
| Very inadequate | 318 (4.2) |
| Level of education | |
| Tertiary or above | 348 (4.6) |
| Secondary education | 1867 (24.7) |
| Primary education | 3381 (44.8) |
| No formal schooling | 1956 (25.9) |
| Age | 76.00 [70.00, 82.00] |
| Female | 5976 (79.1) |
| Chronic conditions | |
| Hypertension | 4666 (61.8) |
| Diabetes | 2013 (26.7) |
| Hypercholesterolaemia | 2223 (29.4) |
| Heart diseases | 992 (13.1) |
| Stroke | 354 (4.7) |
| Chronic obstructive pulmonary disease | 191 (2.5) |
| Renal disease | 99 (1.3) |
| Odds Ratio (95%CI) | ||||
|---|---|---|---|---|
| Low SWB | Unhappy with LIFE | Not Satisfied with Life | No Meaning in Life | |
| Individual level | ||||
| Very adequate | Ref. | Ref. | Ref. | Ref. |
| Adequate | 1.05 (0.51 to 2.17) | 0.40 (0.08 to 1.97) | 1.15 (0.34 to 3.82) | 1.48 (0.58 to 3.79) |
| Just right | 1.74 (0.87 to 3.49) | 0.96 (0.23 to 3.96) | 2.61 (0.82 to 8.26) | 2.06 (0.83 to 5.11) |
| Inadequate | 4.08 (2.02 to 8.23) | 2.38 (0.57 to 9.93) | 7.70 (2.42 to 24.50) | 4.04 (1.62 to 10.10) |
| Very inadequate | 5.08 (2.44 to 10.59) | 5.77 (1.35 to 24.60) | 10.91 (3.36 to 35.47) | 4.22 (1.63 to 10.96) |
| RII | 6.55 (4.98 to 8.60) | 13.69 (7.42 to 25.28) | 13.34 (9.44 to 18.87) | 4.02 (2.93 to 5.53) |
| Neighbourhood level | ||||
| Income at TPU level | 0.82 (0.70 to 0.98) | 0.77 (0.56 to 1.05) | 0.87 (0.75 to 1.02) | 0.74 (0.59 to 0.93) |
| Income at district level | 1.13 (0.94 to 1.37) | 1.01 (0.81 to 1.26) | 1.06 (0.92 to 1.23) | 1.18 (0.94 to 1.49) |
| Odds Ratio (95%CI) | ||||
|---|---|---|---|---|
| Low SWB | Unhappy with Life | Not Satisfied with Life | No Meaning in Life | |
| Individual level | ||||
| Tertiary education | Ref. | Ref. | Ref. | Ref. |
| Secondary education | 0.99 (0.71 to 1.39) | 0.81 (0.40 to 1.64) | 0.79 (0.53 to 1.17) | 0.98 (0.67 to 1.44) |
| Primary education | 1.08 (0.78 to 1.49) | 0.70 (0.35 to 1.40) | 0.80 (0.55 to 1.17) | 0.99 (0.68 to 1.44) |
| No formal schooling | 1.41 (1.00 to 1.98) | 1.33 (0.65 to 2.72) | 1.08 (0.72 to 1.62) | 1.27 (0.86 to 1.89) |
| RII | 1.60 (1.22 to 2.09) | 1.83 (0.98 to 3.41) | 1.40 (0.99 to 1.97) | 1.39 (1.01 to 1.92) |
| Neighbourhood level | ||||
| No schooling/pre-primary % at TPU level | 1.11 (1.04 to 1.18) | 1.06 (0.98 to 1.14) | 1.07 (1.02 to 1.13) | 1.14 (1.05 to 1.24) |
| No schooling/pre-primary % at district level | 0.85 (0.73 to 0.98) | 0.97 (0.81 to 1.17) | 0.86 (0.76 to 0.97) | 0.79 (0.66 to 0.96) |
| Odds Ratio (95%CI) | ||||
|---|---|---|---|---|
| Low SWB | Unhappy with Life | Not Satisfied with Life | No Meaning in Life | |
| Neighbourhood level | ||||
| TPUs | ||||
| Gini coefficient | ||||
| 1st quarter (most equal) | Ref. | Ref. | Ref. | Ref. |
| 2nd quarter | 1.57 (0.81 to 3.04) | 1.57 (0.71 to 3.45) | 1.45 (0.85 to 2.46) | 1.98 (0.87 to 4.53) |
| 3rd quarter | 1.40 (0.73 to 2.69) | 1.21 (0.55 to 2.67) | 1.26 (0.75 to 2.13) | 1.71 (0.76 to 3.88) |
| 4th quarter (most unequal) | 1.48 (0.68 to 3.26) | 1.44 (0.58 to 3.60) | 1.39 (0.74 to 2.59) | 1.92 (0.72 to 5.10) |
| Gini as continuous | 1.02 (0.97 to 1.07) | 1.01 (0.95 to 1.07) | 1.02 (0.98 to 1.06) | 1.04 (0.98 to 1.11) |
| Districts | ||||
| Gini coefficient | ||||
| 1st quarter (most equal) | Ref. | Ref. | Ref. | Ref. |
| 2nd quarter | 0.90 (0.58 to 1.41) | 0.60 (0.37 to 1.00) | 1.07 (0.76 to 1.51) | 0.78 (0.45 to 1.34) |
| 3rd quarter | 0.87 (0.54 to 1.38) | 0.75 (0.47 to 1.20) | 0.99 (0.69 to 1.40) | 0.82 (0.46 to 1.44) |
| 4th quarter (most unequal) | 0.93 (0.57 to 1.49) | 0.73 (0.45 to 1.18) | 1.10 (0.76 to 1.57) | 0.83 (0.47 to 1.50) |
| Gini as continuous | 0.98 (0.86 to 1.11) | 0.93 (0.80 to 1.08) | 1.01 (0.91 to 1.11) | 0.95 (0.81 to 1.11) |
© 2020 by the authors. Licensee MDPI, Basel, Switzerland. This article is an open access article distributed under the terms and conditions of the Creative Commons Attribution (CC BY) license (http://creativecommons.org/licenses/by/4.0/).
Share and Cite
Lai, E.T.; Yu, R.; Woo, J. The Associations of Income, Education and Income Inequality and Subjective Well-Being among Elderly in Hong Kong—A Multilevel Analysis. Int. J. Environ. Res. Public Health 2020, 17, 1271. https://doi.org/10.3390/ijerph17041271
Lai ET, Yu R, Woo J. The Associations of Income, Education and Income Inequality and Subjective Well-Being among Elderly in Hong Kong—A Multilevel Analysis. International Journal of Environmental Research and Public Health. 2020; 17(4):1271. https://doi.org/10.3390/ijerph17041271
Chicago/Turabian StyleLai, Eric TC, Ruby Yu, and Jean Woo. 2020. "The Associations of Income, Education and Income Inequality and Subjective Well-Being among Elderly in Hong Kong—A Multilevel Analysis" International Journal of Environmental Research and Public Health 17, no. 4: 1271. https://doi.org/10.3390/ijerph17041271
APA StyleLai, E. T., Yu, R., & Woo, J. (2020). The Associations of Income, Education and Income Inequality and Subjective Well-Being among Elderly in Hong Kong—A Multilevel Analysis. International Journal of Environmental Research and Public Health, 17(4), 1271. https://doi.org/10.3390/ijerph17041271
