The Response of Arbuscular Mycorrhizal Fungal Communities to the Soil Environment of Underground Mining Subsidence Area in Northwest China
Abstract
1. Introduction
2. Materials and Methods
2.1. Study Site
2.2. Soil Sampling
2.3. Soil Physicochemical Analyses and Enzyme Activities
2.4. DNA Extraction and Fungal Sequencing
2.5. Data Analyses
3. Results
3.1. Physicochemical Properties of the Soil
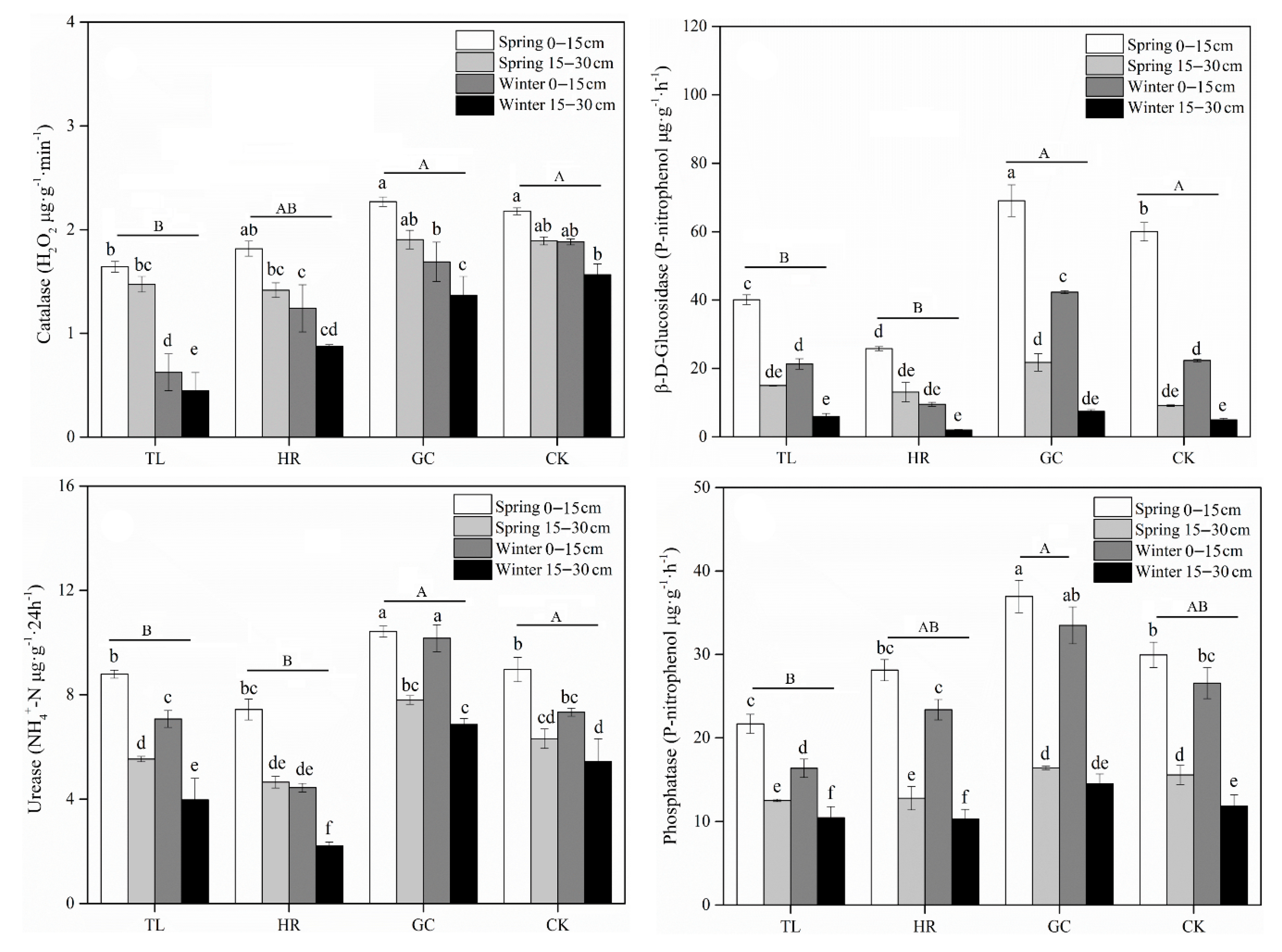
3.2. Soil Enzyme Activities
3.3. AMF OTU Diversity in Soils
3.4. Differentiation of AMF Communities in Soils
3.5. AMF Species Composition and Differentiation
3.6. Influence of Environmental Factors on the AMF Community and Species Diversity
4. Discussion
4.1. Marginal Mining Subsidence Influenced Soil Physicochemical Properties and Enzyme Activities
4.2. The AMF OTU Richness Decreased at the Margin of the Subsidence Areas
4.3. Differentiation of Soil AMF Communities in Mining Subsidence Areas
4.4. Response of the Soil AMF Communities to Changes in Soil Properties
5. Conclusions
Supplementary Materials
Author Contributions
Funding
Conflicts of Interest
References
- Tripathi, N.; Singh, R.S.; Singh, J.S. Impact of post-mining subsidence on nitrogen transformation in southern tropical dry deciduous forest, India. Environ. Res. 2008, 109, 258–266. [Google Scholar] [CrossRef]
- Shi, P.; Zhang, Y.; Hu, Z.; Ma, K.; Wang, H.; Chai, T. The response of soil bacterial communities to mining subsidence in the west China aeolian sand area. Appl. Soil Ecol. 2017, 121, 1–10. [Google Scholar] [CrossRef]
- Curtis, A.; Dalby, M. Cell response to nanofeatures in biomaterials. In Cellular Response to Biomaterials; Woodhead Publishing: London, UK, 2009; pp. 429–461. [Google Scholar] [CrossRef]
- da Silveira, A.P.D.; Cardoso, E. Arbuscular mycorrhiza and kinetic parameters of phosphorus absorption by bean plants. Sci. Agric. 2004, 61, 203–209. [Google Scholar] [CrossRef][Green Version]
- Ng, C.; Leung, A.; Ni, J. Plant–Soil Slope; CRC Press: Boca Raton, FL, USA, 2019; pp. 65–67. [Google Scholar]
- Ezeokoli, O.T.; Nwangburuka, C.C.; Adeleke, R.A.; Roopnarain, A.; Paterson, D.G.; Maboeta, M.S.; Bezuidenhout, C.C. Assessment of arbuscular mycorrhizal fungal spore density and viability in soil stockpiles of South African opencast coal mines. South Afr. J. Plant Soil 2019, 36, 91–99. [Google Scholar] [CrossRef]
- Oehl, F.; Laczko, E.; Bogenrieder, A.; Stahr, K.; Bösch, R.; Heijden, M.v.d.; Sieverding, E. Soil type and land use intensity determine the composition of arbuscular mycorrhizal fungal communities. Soil Biol. Biochem. 2010, 42, 724–738. [Google Scholar] [CrossRef]
- Stenberg, B. Monitoring Soil Quality of Arable Land: Microbiological Indicators. Acta Agric. Scand. Sect. B Plant Soil Sci. 1999, 49, 1–24. [Google Scholar] [CrossRef]
- Li, Y.; Chen, L.; Wen, H.; Zhou, T.; Zhang, T.; Gao, X. 454 pyrosequencing analysis of bacterial diversity revealed by a comparative study of soils from mining subsidence and reclamation areas. J. Microbiol. Biotechnol. 2014, 24, 313–323. [Google Scholar] [CrossRef] [PubMed]
- Sun, J.H.; Yang, L.; Wei, J.; Quan, J.N.; Yang, X.T. The responses of soil bacterial communities and enzyme activities to the edaphic properties of coal mining areas in Central China. PLoS ONE 2020, 15, 16. [Google Scholar] [CrossRef] [PubMed]
- Bi, Y.; Xie, L.; Wang, J.; Zhang, Y.; Wang, K. Impact of host plants, slope position and subsidence on arbuscular mycorrhizal fungal communities in the coal mining area of north-central China. J. Arid Environ. 2019, 163, 68–76. [Google Scholar] [CrossRef]
- Lv, W.; PAN, R.; Li, Y.; Cui, G. Study on the regular pattern of the earth surface subsidence in goaf areas. Opencast Min. Technol. 2007, 004, 3–5. [Google Scholar]
- Cannavo, P.; Vidal-Beaudet, L.; Béchet, B.; Lassabatère, L.; Charpentier, S. Spatial distribution of sediments and transfer properties in soils in a stormwater infiltration basin. J. Soils Sediments 2010, 10, 1499–1509. [Google Scholar] [CrossRef]
- Chen, C.; Zhang, J.; Lu, M.; Qin, C.; Chen, Y.; Yang, L.; Huang, Q.; Wang, J.; Shen, Z.; Shen, Q. Microbial communities of an arable soil treated for 8 years with organic and inorganic fertilizers. Biol. Fertil. Soils 2016, 52, 455–467. [Google Scholar] [CrossRef]
- Sonneveld, C.; Ende, J.V.d. Soil analysis by means of a 1:2 volume extract. Plant Soil 1971, 35, 505–516. [Google Scholar] [CrossRef]
- Banwart, W.L.; Tabatabai, M.A.; Bremner, J.M. Determination of ammonium in soil extracts and water samples by an ammonia electrode. Commun. Soil Sci. Plant Anal. 1972, 3, 449–458. [Google Scholar] [CrossRef]
- Rooij, G.H. Methods of Soil Analysis. Part 4. Physical Methods. Vadose Zone J. 2004, 3, 722–723. [Google Scholar]
- Komy, Z.R. Comparative study of titrimetric and gravimetric methods for the determination of organic carbon in soils. Int. J. Environ. Anal. Chem. 1995, 60, 41–47. [Google Scholar] [CrossRef]
- Mitchell, R.J.; Hester, A.J.; Campbell, C.D.; Chapman, S.J.; Cameron, C.M.; Hewison, R.L.; Potts, J.M. Is vegetation composition or soil chemistry the best predictor of the soil microbial community? Plant Soil 2010, 333, 417–430. [Google Scholar] [CrossRef]
- Acosta-Martinez, V.; Cano, A.; Johnson, J. Simultaneous determination of multiple soil enzyme activities for soil health-biogeochemical indices. Appl. Soil Ecol. 2018, 126, 121–128. [Google Scholar] [CrossRef]
- Varsos, C.; Patkos, T.; Oulas, A.; Pavloudi, C.; Gougousis, A.; Ijaz, U.Z.; Filiopoulou, I.; Pattakos, N.; Berghe, E.V.; Fernandez-Guerra, A.; et al. Optimized R functions for analysis of ecological community data using the R virtual laboratory (RvLab). Biodivers. Data J. 2016, 4. [Google Scholar] [CrossRef]
- Wu, K.; Hu, Z.; Chang, J.; Ge, J. Seasonal variation of AM fungal diversity in the rhizosphere of Lonicera japonica. J. China Univ. Min. Technol. 1997, 26, 56–59. [Google Scholar]
- Yang, D.; Bian, Z.; Lei, S. Impact on soil physical qualities by the subsidence of coal mining: A case study in Western China. Environ. Earth Sci. 2016, 75. [Google Scholar] [CrossRef]
- Yang, Y.; Erskine, P.D.; Zhang, S.; Wang, Y.; Bian, Z.; Lei, S. Effects of underground mining on vegetation and environmental patterns in a semi-arid watershed with implications for resilience management. Environ. Earth Sci. 2018, 77. [Google Scholar] [CrossRef]
- Conant, R.T.; Ryan, M.G.; Ågren, G.I.; Birge, H.E.; Davidson, E.A.; Eliasson, P.E.; Evans, S.E.; Frey, S.D.; Giardina, C.P.; Hopkins, F.M.; et al. Temperature and soil organic matter decomposition rates—Synthesis of current knowledge and a way forward. Glob. Chang. Biol. 2011, 17, 3392–3404. [Google Scholar] [CrossRef]
- Dungait, J.A.J.; Hopkins, D.W.; Gregory, A.S.; Whitmore, A.P. Soil organic matter turnover is governed by accessibility not recalcitrance. Glob. Chang. Biol. 2012, 18, 1781–1796. [Google Scholar] [CrossRef]
- Adetunji, A.T.; Lewu, F.B.; Mulidzi, R.; Ncube, B. The biological activities of beta-glucosidase, phosphatase and urease as soil quality indicators: A review. J. Soil Sci. Plant Nutr. 2017, 17, 794–807. [Google Scholar] [CrossRef]
- Xiao, L.; Bi, Y.; Du, S.; Wang, Y.; Guo, C. Effects of re-vegetation type and arbuscular mycorrhizal fungal inoculation on soil enzyme activities and microbial biomass in coal mining subsidence areas of Northern China. Catena 2019, 177, 202–209. [Google Scholar] [CrossRef]
- Ma, K.; Zhang, Y.; Ruan, M.; Guo, J.; Chai, T. Land Subsidence in a Coal Mining Area Reduced Soil Fertility and Led to Soil Degradation in Arid and Semi-Arid Regions. Int. J. Environ. Res. Public Health 2019, 16, 3929. [Google Scholar] [CrossRef]
- Stover, H.J.; Naeth, M.A.; Boldt-Burisch, K. Soil disturbance changes arbuscular mycorrhizal fungi richness and composition in a fescue grassland in Alberta Canada. Appl. Soil Ecol. 2018, 131, 29–37. [Google Scholar] [CrossRef]
- Verbruggen, E.; Van Der Heijden, M.G.A.; Weedon, J.T.; Kowalchuk, G.A.; RÖLing, W.F.M. Community assembly, species richness and nestedness of arbuscular mycorrhizal fungi in agricultural soils. Mol. Ecol. 2012, 21, 2341–2353. [Google Scholar] [CrossRef]
- Allen, E.B.; Allen, M.E.; Egerton-Warburton, L.; Corkidi, L.; Gomez-Pompa, A. Impacts of early- and late-seral mycorrhizae during restoration in seasonal tropical forest, Mexico. Ecol. Appl. 2003, 13, 1701–1717. [Google Scholar] [CrossRef]
- Verbruggen, E.; Röling, W.F.M.; Gamper, H.A.; Kowalchuk, G.A.; Verhoef, H.A.; Heijden, M.G.A.v.d. Positive effects of organic farming on below-ground mutualists: Large-scale comparison of mycorrhizal fungal communities in agricultural soils. New Phytol. 2010, 186, 968–979. [Google Scholar] [CrossRef] [PubMed]
- De Araujo Pereira, A.P.; Santana, M.C.; Bonfim, J.A.; de Lourdes Mescolotti, D.; Cardoso, E.J.B.N. Digging deeper to study the distribution of mycorrhizal arbuscular fungi along the soil profile in pure and mixed Eucalyptus grandis and Acacia mangium plantations. Appl. Soil Ecol. 2018, 128, 1–11. [Google Scholar] [CrossRef]
- Wang, K.; He, X.; Xie, L.; Zhao, L. Arbuscular mycorrhizal fungal community structure and diversity are affected by host plant species and soil depth in the Mu Us Desert, northwest China. Arid Land Res. Manag. 2018, 32, 198–211. [Google Scholar] [CrossRef]
- Xu, X.; Chen, C.; Zhang, Z.; Sun, Z.; Chen, Y.; Jiang, J.; Shen, Z. The influence of environmental factors on communities of arbuscular mycorrhizal fungi associated with Chenopodium ambrosioides revealed by MiSeq sequencing investigation. Sci. Rep. 2017, 7. [Google Scholar] [CrossRef]
- Davison, J.; Opik, M.; Zobel, M.; Vasar, M.; Metsis, M.; Moora, M. Communities of arbuscular mycorrhizal fungi detected in forest soil are spatially heterogeneous but do not vary throughout the growing season. PLoS ONE 2012, 7, e41938. [Google Scholar] [CrossRef]
- Davison, J.; Öpik, M.; Daniell, T.J.; Moora, M.; Zobel, M. Arbuscular Mycorrhizal Fungal Communities in Plant Roots Are Not Random Assemblages; John Wiley & Sons, Ltd: Hoboken, NJ, USA, 2011; Volume 78. [Google Scholar]
- Dumbrell, A.J.; Ashton, P.D.; Aziz, N.; Feng, G.; Nelson, M.; Dytham, C.; Fitter, A.H.; Helgason, T. Distinct seasonal assemblages of arbuscular mycorrhizal fungi revealed by massively parallel pyrosequencing. New Phytol. 2011, 190, 794–804. [Google Scholar] [CrossRef]
- Liu, Y.; He, L.; An, L.; Helgason, T.; Feng, H. Arbuscular Mycorrhizal Dynamics in a Chronosequence of Caragana Korshinskii Plantations; John Wiley & Sons, Ltd: Hoboken, NJ, USA, 2009; Volume 67. [Google Scholar]
- Benjamin, P.K.; Anderson, R.C.; Liberta, A.E. Vesicular–arbuscular mycorrhizal ecology of little bluestem across a prairie–forest gradient. Can. J. Bot. 1989, 67, 2678–2685. [Google Scholar] [CrossRef]
- Cui, X.; Hu, J.; Wang, J.; Yang, J.; Lin, X. Reclamation negatively influences arbuscular mycorrhizal fungal community structure and diversity in coastal saline-alkaline land in Eastern China as revealed by Illumina sequencing. Appl. Soil Ecol. 2016, 98, 140–149. [Google Scholar] [CrossRef]
- Wang, J.; Wang, Q.; Luo, Y.; Gao, T.; Zhao, Y.; Pei, R. In vitro selection of ssDNA aptamers that can specifically recognize and differentiate riboflavin and its derivative FAD. Talanta 2019, 204, 424–430. [Google Scholar] [CrossRef]
- Ezeokoli, O.T.; Mashigo, S.K.; Maboeta, M.S.; Bezuidenhout, C.C.; Khasa, D.P.; Adeleke, R.A. Arbuscular mycorrhizal fungal community differentiation along a post-coal mining reclamation chronosequence in South Africa: A potential indicator of ecosystem recovery. Appl. Soil Ecol. 2020, 147. [Google Scholar] [CrossRef]
- Gao, C.; Montoya, L.; Xu, L.; Madera, M.; Hollingsworth, J.; Purdom, E.; Hutmacher, R.B.; Dahlberg, J.A.; Coleman-Derr, D.; Lemaux, P.G.; et al. Strong succession in arbuscular mycorrhizal fungal communities. ISME J. Multidiscip. J. Microb. Ecol. 2019, 13, 214–226. [Google Scholar] [CrossRef]
- Oehl, F.; Sieverding, E.; Ineichen, K.; Mäder, P.; Wiemken, A.; Boller, T. Distinct sporulation dynamics of arbuscular mycorrhizal fungal communities from different agroecosystems in long-term microcosms. Agric. Ecosyst. Environ. 2009, 134, 257–268. [Google Scholar] [CrossRef]
- Melo, C.D.; Pimentel, R.; Walker, C.; Rodríguez-Echeverría, S.; Freitas, H.; Borges, P.A.V. Diversity and distribution of arbuscular mycorrhizal fungi along a land use gradient in Terceira Island (Azores). Mycol. Prog. 2020, 19, 643–656. [Google Scholar] [CrossRef]
- Colin, B.; Nancy, M.; Stephen, C.; David, T.; John, Z. Soil microbial responses to temporal variations of moisture and temperature in a chihuahuan desert grassland. Microb. Ecol. 2008, 56, 153–167. [Google Scholar]
- Fließbach, A.; Sarig, S.; Steinberger, Y. Effects of water pulses and climatic conditions on microbial biomass kinetics and microbial activity in a yermosol of the central Negev. Arid Soil Res. Rehabil. 1994, 8, 353–362. [Google Scholar] [CrossRef]
- Cheng, Y.; Ishimoto, K.; Kuriyama, Y.; Osaki, M.; Ezawa, T. Ninety-year-, but not single, application of phosphorus fertilizer has a major impact on arbuscular mycorrhizal fungal communities. Plant Soil 2013, 365, 397–407. [Google Scholar] [CrossRef]
- Avio, L.; Castaldini, M.; Fabiani, A.; Bedini, S.; Sbrana, C.; Turrini, A.; Giovannetti, M. Impact of nitrogen fertilization and soil tillage on arbuscular mycorrhizal fungal communities in a Mediterranean agroecosystem. Soil Biol. Biochem. 2013, 67, 285–294. [Google Scholar] [CrossRef]
- Antibus, R.K.; Lauber, C.; Sinsabaugh, R.L.; Zak, D.R. Responses of Bradford-reactive soil protein to experimental nitrogen addition in three forest communities in northern lower Michigan. Plant Soil 2006, 288, 173–187. [Google Scholar] [CrossRef]
- Diepen, L.T.A.V.; Lilleskov, E.A.; Pregitzar, K.S. Simulated nitrogen deposition affects community structure of arbuscular mycorrhizal fungi in northern hardwood forests. Mol. Ecol. 2011, 20, 799–811. [Google Scholar] [CrossRef]
- Treseder, K.K.; Allen, M.F. Direct nitrogen and phosphorus limitation of arbuscular mycorrhizal fungi: A model and field test. New Phytol. 2002, 155, 507–515. [Google Scholar] [CrossRef]
- Yan, G.; Xing, Y.; Xu, L.; Wang, J.; Dong, X.; Shan, W.; Guo, L.; Wang, Q. Effects of different nitrogen additions on soil microbial communities in different seasons in a boreal forest. Ecosphere 2017, 8, e01879. [Google Scholar] [CrossRef]
- Siles, J.A.; Margesin, R. Seasonal soil microbial responses are limited to changes in functionality at two Alpine forest sites differing in altitude and vegetation. Sci. Rep. 2017, 7, 2204. [Google Scholar] [CrossRef] [PubMed]
- Liu, W.; Zhang, Y.; Jiang, S.; Deng, Y.; Christie, P.; Murray, P.J.; Li, X.; Zhang, J. Arbuscular mycorrhizal fungi in soil and roots respond differently to phosphorus inputs in an intensively managed calcareous agricultural soil. Sci. Rep. 2016, 6, 24902. [Google Scholar] [CrossRef] [PubMed]
- Khan, M.H.; Meghvansi, M.K.; Gupta, R.; Veer, V. Elemental stoichiometry indicates predominant influence of potassium and phosphorus limitation on arbuscular mycorrhizal symbiosis in acidic soil at high altitude. J. Plant Physiol. 2015, 189, 105–112. [Google Scholar] [CrossRef]
- Ulrika, J.; Ulrika, R.; Gunnar, T.; Bengt, N. Acidification-induced chemical changes in coniferous forest soils in southern Sweden 1988–1999. Environ. Pollut. 2003, 123, 75–83. [Google Scholar]
- Huang, Z.; Zhao, F.; Wang, M.; Qi, K.; Wu, J.; Zhang, S. Soil chemical properties and geographical distance exerted effects on arbuscular mycorrhizal fungal community composition in pear orchards in Jiangsu Province, China. Appl. Soil Ecol. 2019, 142, 18–24. [Google Scholar] [CrossRef]
- Da Silva, G.A.; Trufem, S.F.B.; Saggin Júnior, O.J.; Maia, L.C. Arbuscular mycorrhizal fungi in a semiarid copper mining area in Brazil. Mycorrhiza 2004, 15, 47–53. [Google Scholar] [CrossRef]
- Wang, J.P.; Wang, G.G.; Zhang, B.; Yuan, Z.; Fu, Z.; Yuan, Y.; Zhu, L.; Ma, S.; Zhang, J. Arbuscular mycorrhizal fungi associated with tree species in a planted forest of eastern China. Forests 2019, 10, 424. [Google Scholar] [CrossRef]







| Properties | Season | TL15 | TL30 | HR15 | HR30 | GC15 | GC30 | CK15 | CK 30 |
|---|---|---|---|---|---|---|---|---|---|
| WC (%) | Spring | 0.64 ± 0.03 eB | 2.67 ± 0.02 dB | 0.66 ± 0.02 eB | 2.21 ± 0.03 dB | 0.77 ± 0.03 eA | 4.27 ± 0.05 bA | 0.76 ± 0.02 eA | 3.82 ± 0.03 cA |
| Winter | 3.18 ± 0.02 dB | 4.45 ± 0.04 bB | 3.78 ± 0.03 cB | 4.49 ± 0.03 bB | 5.88 ± 0.04 aA | 5.96 ± 0.02 aA | 5.41 ± 0.05 abA | 5.79 ± 0.01 aA | |
| EC (μS/cm) | Spring | 60.58 ± 0.35 bB | 48.92 ± 0.50 cB | 62.28 ± 0.32 bB | 52.55 ± 0.56 bcB | 73.02 ± 0.23 aA | 63.08 ± 0.42 bA | 66.05 ± 0.30 abB | 57.02 ± 0.38 bB |
| Winter | 27.35 ± 0.24 eB | 26.15 ± 0.34 eB | 35.95 ± 0.45 dB | 32.10 ± 0.32 deB | 55.60 ± 0.42 bcA | 54.00 ± 0.44 bcA | 39.60 ± 0.34 dB | 34.85 ± 0.42 dB | |
| pH | Spring | 8.24 ± 0.02 a | 8.05 ± 0.03 cd | 8.13 ± 0.02 b | 7.98 ± 0.01 d | 8.07 ± 0.02 c | 8.08 ± 0.03 bc | 8.17 ± 0.01 ab | 8.06 ± 0.01 c |
| Winter | 8.08 ± 0.03 c | 8.09 ± 0.02 c | 8.03 ± 0.01 cd | 8.04 ± 0.02 cd | 7.95 ± 0.01 d | 8.13 ± 0.02 b | 8.00 ± 0.01 cd | 7.92 ± 0.01 d |
| Index | Season | Terminal Line Area (TL)15 | TL30 | Haulage Roadway Area (HR)15 | HR30 | Goaf Center (GC)15 | GC30 | Control Area (CK)15 | CK30 |
|---|---|---|---|---|---|---|---|---|---|
| Observed species | Spring | 334.00 | 407.00 | 377.00 | 403.00 | 433.00 | 475.00 | 394.00 | 450.00 |
| Winter | 328.00 | 407.00 | 343.00 | 425.00 | 375.00 | 458.00 | 355.00 | 444.00 | |
| Chao1 | Spring | 404.83 | 496.17 | 444.23 | 470.52 | 489.71 | 572.46 | 451.13 | 541.96 |
| Winter | 376.30 | 462.31 | 408.67 | 516.56 | 463.84 | 541.02 | 432.04 | 524.71 | |
| Dominance | Spring | 0.09 | 0.03 | 0.05 | 0.07 | 0.10 | 0.05 | 0.07 | 0.10 |
| Winter | 0.14 | 0.06 | 0.20 | 0.05 | 0.17 | 0.03 | 0.10 | 0.04 | |
| Shannon-Weiner | Spring | 4.80 | 5.38 | 5.31 | 5.57 | 5.25 | 5.48 | 4.90 | 5.00 |
| Winter | 3.48 | 5.10 | 4.17 | 5.30 | 3.99 | 5.12 | 3.58 | 4.82 |
Publisher’s Note: MDPI stays neutral with regard to jurisdictional claims in published maps and institutional affiliations. |
© 2020 by the authors. Licensee MDPI, Basel, Switzerland. This article is an open access article distributed under the terms and conditions of the Creative Commons Attribution (CC BY) license (http://creativecommons.org/licenses/by/4.0/).
Share and Cite
Huang, H.; Guo, J.; Zhang, Y. The Response of Arbuscular Mycorrhizal Fungal Communities to the Soil Environment of Underground Mining Subsidence Area in Northwest China. Int. J. Environ. Res. Public Health 2020, 17, 9157. https://doi.org/10.3390/ijerph17249157
Huang H, Guo J, Zhang Y. The Response of Arbuscular Mycorrhizal Fungal Communities to the Soil Environment of Underground Mining Subsidence Area in Northwest China. International Journal of Environmental Research and Public Health. 2020; 17(24):9157. https://doi.org/10.3390/ijerph17249157
Chicago/Turabian StyleHuang, Hai, Jing Guo, and Yuxiu Zhang. 2020. "The Response of Arbuscular Mycorrhizal Fungal Communities to the Soil Environment of Underground Mining Subsidence Area in Northwest China" International Journal of Environmental Research and Public Health 17, no. 24: 9157. https://doi.org/10.3390/ijerph17249157
APA StyleHuang, H., Guo, J., & Zhang, Y. (2020). The Response of Arbuscular Mycorrhizal Fungal Communities to the Soil Environment of Underground Mining Subsidence Area in Northwest China. International Journal of Environmental Research and Public Health, 17(24), 9157. https://doi.org/10.3390/ijerph17249157
