The Relative Importance of Globalization and Public Expenditure on Life Expectancy in Europe: An Approach Based on MARS Methodology
Abstract
1. Introduction
2. Materials and Methods
2.1. Synopsis of the MARS Methodology
2.2. Data
2.3. Results
3. Discussion
4. Conclusions
Author Contributions
Funding
Acknowledgments
Conflicts of Interest
References
- Auster, R.; Levesoardln, I.; Sarachek, S. The production of health: An exploratory study. J. Hum. Resour. 1969, 4, 411–436. [Google Scholar] [CrossRef]
- Wolfe, B.L.; Gabay, M. Health status and medical expenditures: More evidence of a link. Soc. Sci. Med. 1987, 25, 883–888. [Google Scholar] [CrossRef]
- Hitiris, T.; Posnett, J. The determinants and effects of health expenditure in developed countries. J. Health Econ. 1992, 11, 173–181. [Google Scholar] [CrossRef]
- Crémieux, P.-Y.; Ouellette, P.; Pilon, C. Health care spending as determinants of health outcomes. Health Econ. 1999, 8, 627–639. [Google Scholar] [CrossRef]
- Thornton, J. Estimating a health production function for the US: Some new evidence. Appl. Econ. 2002, 34, 59–62. [Google Scholar] [CrossRef]
- Nixon, J.; Ullmann, P. The relationship between health care expenditure and health outcomes – evidence and caveats for a causal link. Eur. J. Health Econ. 2006, 7, 7–19. [Google Scholar] [CrossRef]
- Halicioglu, F. Modeling life expectancy in Turkey. Econ. Model. 2011, 28, 2075–2082. [Google Scholar] [CrossRef]
- Heijink, R.; Koolman, X.; Westert, G.P. Spending more money, saving more lives? The relationship between avoidable mortality and healthcare spending in 14 countries. Eur. J. Health Econ. 2013, 14, 527–538. [Google Scholar] [CrossRef]
- Jiang, J.; Luo, L.; Xu, P.; Wang, P. How does social development influence life expectancy? A geographically weighted regression analysis in China. Public Health 2018, 163, 95–104. [Google Scholar] [CrossRef]
- Or, Z. Exploring the Effects of Health Care on Mortality across OECD Countries; OECD Labour Market and Social Policy; Occasional Paper No. 46; OECD: Paris, France, 2000. [Google Scholar]
- Cochrane, A.L.; St Ledger, A.S.; Moore, F. Health service ‘input’ and mortality ‘output’ in developed countries. J. Epidemiol. Community Health 1978, 32, 200–205. [Google Scholar] [CrossRef] [PubMed]
- Or, Z. Determinants of Health Outcomes in Industrialised Countries: A Pooled, Cross-Country, Time Series Analysis; OECD Economic Studies; No. 30, 2000/I; OECD: Paris, France, 2000. [Google Scholar]
- Self, S.; Grabowski, R. How effective is public health expenditure in improving overall health? A cross–country analysis. Appl. Econ. 2003, 35, 835–845. [Google Scholar] [CrossRef]
- Peltzman, S. Regulation and health: The case of mandatory prescriptions and an extension. Manag. Decis. Econ. 1987, 8, 41–46. [Google Scholar] [CrossRef]
- Elola, J.; Daponte, A.; Navarro, V. Health indicators and the organisation of health care systems in Western Europe. Am. J. Public Health 1995, 85, 1397–1401. [Google Scholar] [CrossRef] [PubMed]
- Berger, M.; Messer, J. Public financing of health expenditure, insurance, and health outcomes. Appl. Econ. 2002, 34, 2105–2113. [Google Scholar] [CrossRef]
- Linden, M.; Ray, D. Life expectancy effects of public and private health expenditures in OECD countries 1970–2012: Panel time series approach. Econ. Anal. Policy 2017, 56, 101–113. [Google Scholar] [CrossRef]
- Toader, E.; Firtescu, B.; Oprea, F. Determinants of health status and public policies implications–lessons for Romania. Transylv. Rev. Adm. Sci. 2017, 13, 128–147. [Google Scholar] [CrossRef]
- Miller, R.D.; Frech, T. The Productivity of Health Care and Pharmaceuticals: Quality of Life, Cause, University of California, Santa Barbara; UCSB Departmental Working Paper 12-02; University of California: Santa Barbara, CA, USA, 2002. [Google Scholar]
- Shaw, J.W.; Horrace, W.C.; Vogel, R.J. The determinants of life expectancy: An analysis of the OECD health data. South. Econ. J. 2005, 71, 768–783. [Google Scholar] [CrossRef]
- Crémieux, P.Y.; Mieilleur, M.C.; Ouellette, P.; Petit, P.; Zelder, P.; Potvin, K. Public and private pharmaceutical spending as determinants of health outcomes in Canada. Health Econ. 2005, 14, 107–116. [Google Scholar] [CrossRef]
- Martín-Cervantes, P.; Rueda-López, N.; Cruz-Rambaud, S. A causal analysis of life expectancy at birth. Evidence from Spain. Int. J. Environ. Res. Public Health 2019, 16, 2367. [Google Scholar] [CrossRef]
- Van den Heuvel, W.J.A.; Olaroiu, M. How important are health care expenditures for life expectancy? A comparative, European analysis. J. Am. Med. Dir. Assoc. 2017, 18, 276.e9–276.e12. [Google Scholar] [CrossRef]
- McAvinchey, I.D. A comparison of unemployment, income and mortality interaction for five European countries. Appl. Econ. 1988, 20, 453–471. [Google Scholar] [CrossRef] [PubMed]
- Joumard, I.; André, C.; Nicq, C.; Chatal, O. Health Status Determinants: Lifestyle, Environment, Health Care Resources and Efficiency; OECD Economics Department Working Papers; OECD Publishing: Paris, France, 2008; Volume 626. [Google Scholar]
- Mackenbach, J.P.; Stirbu, I.; Roskam, A.J.; Schaap, M.M.; Menvielle, G.; Leinsalu, M.; Kunst, A.E. Socioeconomic inequalities in health in 22 European countries. N. Engl. J. Med. 2008, 358, 2468–2481. [Google Scholar] [CrossRef]
- Rodgers, G.B. Income and inequality as determinants of mortality: An international cross–sectional analysis. Popul. Stud. 1979, 33, 343–351. [Google Scholar] [CrossRef]
- Bergh, A.; Nilsson, T. Good for living? On the relationship between globalization and life expectancy. World Dev. 2010, 38, 1191–1203. [Google Scholar] [CrossRef]
- Hill, T.D.; Jorgenson, A. Bring out your dead! A study of income inequality and life expectancy in the United States, 2000–2010. Health Place 2018, 49, 1–6. [Google Scholar] [CrossRef] [PubMed]
- Cutler, D.M.; Lleras-Muney, A. Education and Health: International Comparisons; NBER Working Paper No. 17738; National Bureau of Economic Research: Cambridge, UK, 2012. [Google Scholar]
- Ketenci, N.; Murthy, V.N.R. Some determinants of life expectancy in the United States: Results from cointegration tests under structural breaks. J. Econ. Financ. 2018, 42, 508–525. [Google Scholar] [CrossRef]
- Laporte, A. Do economic cycles have a permanent effect on population health? Revisiting the Brener hypothesis. Health Econ. 2004, 13, 767–779. [Google Scholar] [CrossRef] [PubMed]
- Shing–Jong, L. Economic fluctuations and health outcome: A panel analysis of Asia–Pacific countries. Appl. Econ. 2009, 41, 519–530. [Google Scholar]
- Bai, R.; Wei, J.; An, R.; Li, Y.; Collett, L.; Dang, S.; Dong, W.; Wang, D.; Fang, Z.; Zhao, Y.; et al. Trends in life expectancy and its association with economic factors in the Belt and Road countries-Evidence from 2000–2014. Int. J. Environ. Res. Public Health 2018, 15, 2890. [Google Scholar] [CrossRef]
- Monsef, A.; Mehrjardi, A.S. Determinants of life expectancy: A panel data approach. Asian Econ. Financ. Rev. 2015, 5, 1251–1257. [Google Scholar] [CrossRef]
- Al-Hemoud, A.; Gasana, J.; Al-Dabbous, A.N.; Al-Shatti, A.; Al-Khayat, A. Disability adjusted life years (DALYs) in terms of years of life lost (YLL) due to premature adult mortalities and postneonatal infant mortalities attributed to PM2.5 and PM10 exposures in Kuwait. Int. J. Environ. Res. Public Health 2018, 15, 2609. [Google Scholar] [CrossRef] [PubMed]
- Mariani, F.; Pérez-Barahona, A.; Raffin, N. Life expectancy and the environment. J. Econ. Dyn. Control 2010, 34, 798–815. [Google Scholar] [CrossRef]
- Wang, Z.; Asghar, M.M.; Zaidi, S.A.H.; Nawaz, K.; Wang, B.; Zhao, W.; Xu, F. The dynamic relationship between economic growth and life expectancy: Contradictory role of energy consumption and financial development in Pakistan. Struct. Chang. Econ. Dyn. 2020, 53, 257–266. [Google Scholar] [CrossRef]
- Stuckler, D.; Basu, S.; McKee, M. Budget crises, health, and social welfare programmes. BMJ Br. Med. J. 2010, 341, 77–79. [Google Scholar] [CrossRef] [PubMed]
- Bradley, E.H.; Elkins, B.R.; Herrin, J.; Elbel, B. Health and social services expenditures: Associations with health outcomes. BMJ Qual. Saf. 2011, 2, 826–831. [Google Scholar] [CrossRef]
- Bradley, E.H.; Canavan, M.; Rogan, E.; Talbert-Slagle, K.; Ndumele, C.; Taylor, L.; Curry, L.A. Variation in health outcomes: The role of spending on social services, public health, and health care. 2000–09. Health Aff. 2016, 35, 760–768. [Google Scholar] [CrossRef]
- Vavken, P.; Pagenstert, G.; Grimm, C.; Dototka, R. Does increased health care spending afford better health care outcomes? Evidence from Austrian health care expenditure since the initiations of DRGs. Swiss Med. Wkly. 2012, 142, w13589. [Google Scholar]
- McCullough, J.M.; Leider, J.P. Government spending in health and nonhealth sectors associated with improvement in county health rankings. Health Aff. 2016, 35, 2037–2043. [Google Scholar] [CrossRef]
- Álvarez-Gálvez, J.; Rodero-Cosano, M.L.; García-Alonso, C.R.; Salvador-Carulla, L. Changes in socioeconomic determinants of health: Comparing the effect of social and economic indicators through European welfare state regimes. J. Public Health 2014, 22, 305–311. [Google Scholar] [CrossRef]
- De Keijzer, C.; Agis, D.; Ambrós, A.; Arévalo, G.; Baldasano, J.M.; Bande, S.; Barrera-Gómez, J.; Benach, J.; Cirach, M.; Dadvand, P.; et al. The association of air pollution and greenness with mortality and life expectancy in Spain: A small-area study. Environ. Int. 2017, 99, 170–176. [Google Scholar] [CrossRef]
- Mohmmed, A.; Lia, Z.; Arowoloa, A.O.; Su, H.; Denga, X.; Najmuddina, O.; Zhang, Y. Driving factors of CO2 emissions and nexus with economic growth, development and human health in the Top Ten emitting countries. Resour. Conserv. Recycl. 2019, 148, 157–169. [Google Scholar] [CrossRef]
- Martin-Cervantes, P.A.; Rueda-López, N.; Cruz-Rambaud, S. Life expectancy at birth in Europe: An econometric approach based on Random Forests methodology. Sustainability 2020, 12, 413. [Google Scholar] [CrossRef]
- Guttal, S. Globalisation. Dev. Pract. 2007, 17, 523–531. [Google Scholar] [CrossRef]
- Gandolfo, G.; Federici, D. International Finance and Open-Economy Macroeconomics, 2nd ed.; Springer Texts in Business and Economics; Springer: Berlin, Germany, 2016. [Google Scholar]
- Potrafke, N. The evidence on globalisation. World Econ. 2015, 38, 509–552. [Google Scholar] [CrossRef]
- Dreher, A. The influence of globalization on taxes and social policy—An empirical analysis for OECD countries. Eur. J. Political Econ. 2006, 22, 179–201. [Google Scholar] [CrossRef]
- Dreher, A.; Gaston, N.; Martens, P. Measuring Globalization—Gauging Its Consequences; Springer: Berlin, Germany, 2008. [Google Scholar]
- Bergh, A.; Karlsson, M. Government size and growth: Accounting for economic freedom and globalization. Public Choice 2010, 142, 195–213. [Google Scholar] [CrossRef]
- Osterloh, S. Words speak louder than actions: The impact of politics on economic performance. J. Comp. Econ. 2012, 40, 318–336. [Google Scholar] [CrossRef]
- Villaverde, J.; Maza, A. Globalization, growth and convergence. World Econ. 2011, 34, 952–971. [Google Scholar] [CrossRef]
- Rao, B.B.; Tamazian, A.; Vadlamannati, K.C. Growth effects of a comprehensive measure of globalization with country-specific time series data. Appl. Econ. 2011, 43, 551–568. [Google Scholar] [CrossRef]
- Rao, B.B.; Vadlamannati, K.C. Globalization and growth in the low income African countries with extreme bounds analysis. Econ. Model. 2011, 28, 795–805. [Google Scholar] [CrossRef]
- Ali, A.; Imai, K.S. Crisis, Economic Integration and Growth Collapses in African Countries; Discussion Paper Series DP2013-07; Research Institute for Economics & Business Administration, Kobe University: Kobe, Japan, 2013. [Google Scholar]
- Quinn, D.; Schindler, M.; Toyoda, A.M. Assessing measures of financial openness and integration. IMF Econ. Rev. 2011, 59, 488–522. [Google Scholar] [CrossRef]
- Chang, C.P.; Berdiev, A.N.; Lee, C.C. Energy exports, globalization and economic growth: The case of South Caucasus. Econ. Model. 2013, 33, 333–346. [Google Scholar] [CrossRef]
- Potrafke, N. Political cycles and economic performance in OECD countries: Empirical evidence from 1951–2006. Public Choice 2012, 150, 155–179. [Google Scholar] [CrossRef]
- Chang, C.P.; Lee, C.C. Globalization and growth: A political economy analysis for OECD countries. Glob. Econ. Rev. 2010, 39, 151–173. [Google Scholar] [CrossRef]
- Chang, C.P.; Lee, C.C.; Hsieh, M.C. Globalization, real output, and multiple structural breaks. Glob. Econ. Rev. 2011, 40, 421–444. [Google Scholar] [CrossRef]
- Sakyi, D. Economic Globalization, Democracy and Income in Sub-Saharan Africa: A Panel Cointegration Analysis. Glob. Econ. Financ. J. 2012, 5, 1–16. [Google Scholar]
- Samimi, P.; Jenatabadi, H.S. Globalization and economic growth: Empirical evidence on the role of complementarities. PLoS ONE 2014, 9, e87824. [Google Scholar] [CrossRef]
- Lang, V.F.; Tavares, M.M. The Distribution of Gains from Globalization; MF Working Papers 18/54; IMF: Washington, DC, USA, 2018. [Google Scholar]
- Meinhard, S.; Potrafke, N. The globalization-welfare state nexus reconsidered. Rev. Int. Econ. 2012, 20, 271–287. [Google Scholar] [CrossRef]
- Adams, S.; Sakyi, D. Globalization, Democracy, and Government Spending in Sub-Saharan Africa: Evidence from Panel Data. In Globalization and Responsibility; Delic, Z., Ed.; InTechOpen: Rijeka, Croatia, 2012; pp. 137–152. [Google Scholar]
- Klomp, J.; de Haan, J. Political budget cycles and election outcomes. Public Choice 2013, 157, 245–267. [Google Scholar] [CrossRef]
- Potrafke, N. Fiscal performance of minority governments: New empirical evidence for OECD countries. Party Politics 2019. [Google Scholar] [CrossRef]
- Garrett, G. Capital mobility, trade and the domestic politics of economic policy. Int. Organ. 1995, 49, 657–687. [Google Scholar] [CrossRef]
- Swank, D.H. Mobile capital, democratic institutions, and the public economy in advanced industrial societies. J. Comp. Policy Anal. 2001, 3, 133–162. [Google Scholar] [CrossRef]
- Onaran, O.; Boesch, V. The effect of globalization on the distribution of taxes and social expenditures in Europe: Do welfare state regimes matter? Environ. Plan. A 2014, 46, 373–397. [Google Scholar] [CrossRef]
- Mourão, P.R. Has trade openness already voted? A panel data study. Emerg. Mark. Financ. Trade 2011, 47, 53–71. [Google Scholar] [CrossRef]
- Dreher, A.; Gaston, N. Has globalization increased inequality? Rev. Int. Econ. 2008, 16, 516–536. [Google Scholar] [CrossRef]
- Potrafke, N. Labor market deregulation and globalization: Empirical evidence from OECD countries. Rev. World Econ. 2010, 146, 545–571. [Google Scholar] [CrossRef]
- Aggarwal, R.; Goodell, J.W. Markets and institutions in financial intermediation: National characteristics as determinants. J. Bank. Financ. 2009, 33, 1770–1780. [Google Scholar] [CrossRef]
- Sapkota, J.B. Globalization and human aspect of development in developing countries: Evidence from panel data. J. Glob. Stud. 2011, 2, 78–96. [Google Scholar]
- Negash, E.S.; Zhu, W.; Lu, Y.; Wang, Z. Does Chinese Inward Foreign Direct Investment Improve the Productivity of Domestic Firms? Horizontal Linkages and Absorptive Capacities: Firm-Level Evidence from Ethiopia. Sustainability 2020, 12, 3023. [Google Scholar] [CrossRef]
- Guillon, M.; Mathonnat, J. What can we learn on Chinese aid allocation motivations from available data? A sectorial analysis of Chinese aid to African countries. China Econ. Rev. 2020, 60, 101265. [Google Scholar] [CrossRef]
- Labonté, R.; Schrecker, T. Globalization and social determinants of health: The role of the global marketplace (part 2 of 3). Glob. Health 2007, 3, 6. [Google Scholar] [CrossRef] [PubMed]
- Blouin, C.; Chopra, M.; van der Hoeven, R. Trade and social determinants of health. Lancet 2009, 373, 502–507. [Google Scholar] [CrossRef]
- Friel, S.; Hattersley, L.; Townsend, R. Trade policy and public health. Annu. Rev. Public Health 2015, 36, 325–344. [Google Scholar] [CrossRef] [PubMed]
- Barlow, P.; McKee, M.; Basu, S.; Stuckler, D. The health impact of trade and investment agreements: A quantitative systematic review and network co-citation analysis. Glob. Health 2017, 13, 13. [Google Scholar] [CrossRef]
- Ovaska, T.; Takashima, T. Economic policy and the level of selfperceived well-being: An international comparison. J. Socio-Econ. 2006, 35, 308–325. [Google Scholar] [CrossRef]
- Stroup, M.D. Economic freedom, democracy, and the quality of life. World Dev. 2007, 35, 52–66. [Google Scholar] [CrossRef]
- Owen, A.L.; Wu, S. Is trade good for your health? Rev. Int. Econ. 2007, 15, 660–682. [Google Scholar] [CrossRef]
- Bussmann, M. The effect of trade openness on women’s welfare and work life. World Dev. 2009, 37, 1027–1038. [Google Scholar] [CrossRef]
- Umaña-Peña, R.; Franco-Giraldo, Á.; Díaz, C.Á.-D.; Ruiz-Cantero, M.T.; Gil-González, D.; Hernández-Aguado, I. Assessment of the association of health with the liberalisation of trade in services under the World Trade Organisation. PLoS ONE 2014, 9, e102385. [Google Scholar] [CrossRef]
- Hauck, K.; Martin, S.; Smith, P.C. Priorities for action on the social determinants of health: Empirical evidence on the strongest associations with life expectancy in 54 low-income countries, 1990–2012. Soc. Sci. Med. 2016, 167, 88–98. [Google Scholar] [CrossRef]
- Herzer, D. The long-run relationship between trade and population health: Evidence from five decades. World Econ. 2017, 40, 462–487. [Google Scholar] [CrossRef]
- Tsai, M.-C. Does globalization affect human well-being? Soc. Indic. Res. 2007, 81, 103–126. [Google Scholar] [CrossRef]
- Tausch, A. Is globalization really good for public health? Int. J. Health Plan. Manag. 2015, 31, 511–536. [Google Scholar] [CrossRef] [PubMed]
- Jani, V.J.; Joshi, N.A.; Mehta, D.J. Globalization and health: An empirical investigation. Glob. Soc. Policy 2019, 19, 207–224. [Google Scholar] [CrossRef]
- Friedman, J.H. Multivariate adaptive regression splines. Ann. Stat. 1991, 19, 1–67. [Google Scholar] [CrossRef]
- Friedman, J.H.; Roosen, C.B. An introduction to multivariate adaptive regression splines. Stat. Methods Med. Res. 1995, 4, 197–217. [Google Scholar] [CrossRef]
- Hastie, T.; Tibshirani, R.; Friedman, J.H. Additive Models, Trees, and Related Methods. In The Elements of Statistical Learning: Data Mining, Inference, and Prediction; Springer Series in Statistics; Springer Science & Business Media: New York, NY, USA, 2013; Chapter 9; pp. 1–45. [Google Scholar]
- Zakeri, I.; Adolph, A.; Puyau, M.; Vohra, F.; Butte, N. Cross-sectional time series and Multivariate Adaptive Regression Splines models using accelerometry and heart rate predict energy expenditure of preschoolers. J. Nutr. 2013, 143, 114–122. [Google Scholar] [CrossRef]
- Dey, P.; Das, A. Application of multivariate adaptive regression spline-assisted objective function on optimization of heat transfer rate around a cylinder. Nucl. Eng. Technol. 2016, 48, 1315–1320. [Google Scholar] [CrossRef][Green Version]
- Zhang, W.; Goh, A. Multivariate adaptive regression splines and neural network models for prediction of pile drivability. Geosci. Front. 2016, 7, 45–52. [Google Scholar] [CrossRef]
- Vanegas, J.; Vásquez, F. Multivariate Adaptive Regression Splines (MARS), an alternative for the analysis of time series. Gac. Sanit. 2017, 31, 235–237. [Google Scholar] [CrossRef] [PubMed]
- Koc, E.; Bozdogan, H. Model selection in multivariate adaptive regression splines (MARS) using information complexity as the fitness function. Mach. Learn. 2014, 101, 35–58. [Google Scholar]
- Breiman, L.; Friedman, J.; Olshen, R.; Stone, C. Classification and Regression Trees; The Wadsworth Statistics/Probability Series; Wadsworth International Group: Monterey, CA, USA, 1984; pp. 26–38. [Google Scholar]
- Alreja, J.; Parab, S.; Mathur, S.; Samui, P. Estimating hysteretic energy demand in steel moment resisting frames using multivariate adaptive regression spline and least square support vector machine. Ain Shams Eng. J. 2015, 6, 449–455. [Google Scholar] [CrossRef][Green Version]
- Oduro, S.; Metia, S.; Duc, H.; Hong, G.; Ha, Q. Multivariate adaptive regression splines models for vehicular emission prediction. Vis. Eng. 2015, 3, 13. [Google Scholar] [CrossRef]
- Samadi, M.; Jabbari, E.; Azamathulla, H.; Mojallal, M. Estimation of scour depth below free overfall spillways using multivariate adaptive regression splines and artificial neural networks. Eng. Appl. Comput. Fluid Mech. 2015, 9, 291–300. [Google Scholar] [CrossRef]
- Celik, S.; Yilmaz, O. Prediction of body weight of Turkish tazi dogs using data mining Techniques: Classification and Regression Tree (CART) and multivariate adaptive regression splines (MARS). Pak. J. Zool. 2018, 50, 575–583. [Google Scholar] [CrossRef]
- Graczyk-Kucharska, M.; Özmen, A.; Szafranski, M.; Weber, G.; Golińśki, M.; Spychała, M. Knowledge accelerator by transversal competences and multivariate adaptive regression splines. Cent. Eur. J. Oper. Res. 2020, 28, 645–669. [Google Scholar] [CrossRef]
- Díaz, J.; Fernández, F.; Prieto, M. Hot metal temperature forecasting at steel plant using multivariate adaptive regression splines. Metals 2020, 10, 41. [Google Scholar] [CrossRef]
- Deichmann, J.; Eshghi, A.; Haughton, D.; Sayek, S.; Teebagy, N. Application of multiple adaptive regression splines (MARS) in direct response modeling. J. Interact. Mark. 2002, 16, 15–27. [Google Scholar] [CrossRef]
- Rotigliano, E.; Martinello, C.; Agnesi, V.; Conoscenti, C. Evaluation of debris flow susceptibility in El Salvador (CA): A comparisobetween multivariate adaptive regression splines (MARS) and binary logistic regression (BLR). Hung. Geogr. Bull. 2018, 67, 361–373. [Google Scholar] [CrossRef]
- Hui, T.S.; Rahman, S.A.; Labadin, J. Comparison between multiple regression and multivariate adaptive regression splines for predicting CO2 emissions in ASEAN countries. In Proceedings of the 8th International Conference on Information Technology in Asia (CITA), Kota Samarahan, Malaysia, 1–4 July 2013; pp. 1–5. [Google Scholar]
- Muñoz, J.; Felicisimo, A. Comparison of statistical methods commonly used in predictive modelling. J. Veg. Sci. 2004, 15, 285–292. [Google Scholar] [CrossRef]
- Sephton, P. Cointegration tests on MARS. Comput. Econ. Vol. 1994, 7, 23–35. [Google Scholar] [CrossRef]
- Montáns, F.J.; Chinesta, F.; Gómez-Bombarelli, R.; Kutz, J.N. Data-driven modeling and learning in science and engineering. Comptes Rendus Mécanique 2019, 347, 845–855. [Google Scholar] [CrossRef]
- Borges Ferreira, L.; Barbosa Duarte, A.; Franca Da Cunha, F.; Fernandes Filho, E. Multivariate adaptive regression splines (MARS) applied to daily reference evapotranspiration modeling with limited weather data. Acta Sci. Agron. 2019, 41, e39880. [Google Scholar] [CrossRef]
- Przybylek, M.; Jelinski, T.; Cysewski, P. Application of Multivariate Adaptive Regression Splines (MARSplines) for Predicting Hansen Solubility Parameters Based on 1D and 2D Molecular Descriptors Computed from SMILES String. J. Chem. 2019, 2019, 9858371. [Google Scholar] [CrossRef]
- Otok, B.; Hidayati, S.; Purhadi. Multivariate Adaptive Generalized Poisson Regression Spline (MAGPRS) on the number of acute respiratory infection infants. J. Phys. Conf. Ser. 2019, 1397, 012062. [Google Scholar] [CrossRef]
- Abreu, P.; Silva, D.; Mendes-Moreira, J.; Reis, L.; Garganta, J. Using Multivariate Adaptive Regression Splines in the Construction of Simulated Soccer Team’s Behavior Models. Int. J. Comput. Intell. Syst. 2013, 6, 893–910. [Google Scholar] [CrossRef]
- Wang, Y.; Wu, L.; Engel, B. Prediction of sewage treatment cost in rural regions with Multivariate Adaptive Regression Splines. Water 2019, 11, 195. [Google Scholar] [CrossRef]
- Craven, P.; Wahba, G. Smoothing noisy data with spline functions: Estimating the correct degree of smoothing by the method of generalized cross validation. Numer. Math. 1978, 31, 377–403. [Google Scholar] [CrossRef]
- García Nieto, P.; González Suárez, V.; Álvarez Antón, J.; Bayón, R.; Sirgo Blanco, J.; Díaz Fernández, A. A new predictive model of centerline segregation in continuous cast steel slabs by using multivariate adaptive regression splines approach. Materials 2015, 8, 3562–3583. [Google Scholar] [CrossRef]
- Álvarez, M.M.; Sierra, H.M.; Lasheras, F.S.; de Cos Juez, F. A parametric model of the LARCODEMS heavy media separator by means of multivariate adaptive regression splines. Materials 2017, 10, 729. [Google Scholar] [CrossRef]
- Chetty, R.; Stepner, M.; Abraham, S.; Lin, S.; Scuderi, B.; Turner, N.; Bergeron, A.; Cutler, D. The association between income and life expectancy in the United States, 2001–2014. JAMA 2016, 315, 1750–1766. [Google Scholar] [CrossRef] [PubMed]
- Reynolds, M.M.; Avendano, M. Social policy expenditures and life expectancy in high–income countries. Am. J. Prev. Med. 2017, 54, 72–79. [Google Scholar] [CrossRef] [PubMed]
- Gygli, S.; Haelg, F.; Potrafke, N.; Sturm, J.E. The KOF Globalisation Index—Revisited. Rev. Int. Organ. 2019, 14, 543–574, Correction in 2019, 14, 575. [Google Scholar] [CrossRef]
- Presseau, T.; Malla, S.; Klein, K.K. Health claim regulations on foods: Impacts on life expectancy in Canada and the United States. Can. J. Public Health. Rev. Can. St. Publique 2020, 111, 705–715. [Google Scholar] [CrossRef]
- Montero Granados, R. Modelos de Regresión Lineal Múltiple. Technical Report; Documentos de Trabajo en Economía Aplicada; Universidad de Granada: Granada, Spain, 2006. [Google Scholar]
- Hausman, J.A. Specification Test in Econometrics. Econometrica 1978, 46, 1251–1271. [Google Scholar] [CrossRef]
- Poullier, J.; Hernandez, P.; Kawabata, K.; Savedoff, W.D. Patterns of Global Health Expenditures: Results for 191 Countries; Discussion Paper No. 51; World Health Organization: Geneve, Switzerland, 1997. [Google Scholar]
- Marchetti, C. Longevity and life expectancy. Technol. Forecast. Soc. Chang. 1997, 55, 281–299. [Google Scholar] [CrossRef]
- Preston, S.H. The changing relation between mortality and level of economic development. Popul. Stud. 1975, 29, 231–248. [Google Scholar] [CrossRef]
- Ling, C.H.; Ahmed, K.; Muhamad, R.; Shahbaz, M.; Loganathan, N. Testing the social cost of rapid economic development in Malaysia: The effect of trade on life expectancy. Soc. Indic. Res. 2017, 130, 1005–1023. [Google Scholar] [CrossRef]
- Leitner, S. Effects of Income Inequality on Publication Health and Social Outcomes at the Regional Level in the EU; The Vienna Institute for International Economic Studies (Wiener Institut für Internationale Wirtschaftsvergleiche) Working Paper No. 113; The Vienna Institute for International Economic Studies: Vienna, Austria, 2015. [Google Scholar]



| Dimensions of Determinants (Context: Developed Countries) | |
|---|---|
| Explaining | Explained |
| Healthcare resources | Health outcomes |
| Lifestyle-related factors | |
| Socioeconomic factors | |
| Variables | |
|---|---|
| Explaining (by Dimension) | Explained |
| Healthcare resources: | Life expectancy at birth (LEAB) (mortality rate or infant mortality) |
| |
| Health habits and lifestyle: | |
| |
| Socioeconomic variables: | |
| |
| Variable | Definition | Units | |
|---|---|---|---|
| LEAB | Dependent variable | Life expectancy at birth | Years |
| GNI | Independent variable | Gross per capita national income at current prices | Thousands of Euros |
| LEDU | Independent variable | Percentage of population with upper secondary, post-secondary non-tertiary and tertiary education | Percentage of total population |
| KOF | Independent variable | KOF Globalization Index | Weighted index average |
| HEALTH | Independent variable | General government expenditure on health | Percentage of GDP |
| SOPRO | Independent variable | General government expenditure on social protection | Percentage of GDP |
| ENVIRO | Independent variable | General government expenditure on environmental protection | Percentage of GDP |
| Variable | Mean | St. dev. | Variance | Coef. var. | Minimum | Maximum | Range |
|---|---|---|---|---|---|---|---|
| LEAB | 79.74 | 1.845 | 3.404 | 2.31 | 75.3 | 83.5 | 8.2 |
| LEDU | 62.493 | 14.102 | 198.857 | 22.57 | 19.3 | 82.3 | 63 |
| ENVIRO | 0.7792 | 0.3439 | 0.1183 | 44.14 | 0.2 | 1.7 | 1.5 |
| SOPRO | 18.109 | 3.685 | 13.579 | 20.35 | 9.5 | 25.5 | 16 |
| HEALTH | 64.149 | 10.745 | 11.546 | 16.75 | 3.7 | 8.9 | 5.2 |
| KOF | 84.089 | 4.458 | 19.87 | 5.3 | 68.112 | 91.313 | 23.201 |
| GNI | 29.872 | 10.954 | 119.988 | 36.67 | 9.151 | 65.663 | 56.511 |
| Dependent variable: LEAB | ||||
| Instrumented: ENVIRO SOPRO HEALTH | ||||
| Instruments: const LEDU KOF GNI | ||||
| Coefficient | St. Dev. | t-statistic | p-value | |
| Constant | 69.2710 | 1.91263 | 36.22 | <0.0001 |
| ENVIRO | 6.60997 | 2.13933 | 3.090 | 0.0022 |
| SOPRO | 0.465163 | 0.139315 | 3.339 | 0.0009 |
| HEALTH | 0.483982 | 0.500587 | 0.9668 | 0.3344 |
| Mean dep. variable | 79.74049 | St. dev. dep. variable | 1.845102 | |
| Sum squared residuals | 2310.229 | S. E. of regression | 2.695342 | |
| R-squared | 0.061202 | Adjusted R-squared | 0.052345 | |
| F(3,318) | 10.20653 | p-value (of F) | 1.96 × 10−6 | |
| Bayesian inf. crit. | 4068.865 | Akaike inf. crit. | 8145.730 | |
| Schwarz inf. crit. | 8160.828 | Hannan-Quinn Inf. Crit | 8151.758 | |
| Hausman Test | ||||
| Null hypothesis [OLS estimates are consistent]: | ||||
| Asymptotic test statistic: Chi-square (3) = 34.787, with a p-value = 1.35123 × 10−7 | ||||
| Null Hypothesis: | Obs. | F-Statistic | Prob. |
|---|---|---|---|
| LEAB does not Granger cause ENVIRO | 280 | 1.70333 | 0.1840 |
| ENVIRO does not Granger cause LEAB | 1.90749 | 0.1504 | |
| LEAB does not Granger Cause GNI * | 280 | 8.71157 | 0.0002 |
| GNI does not Granger Cause LEAB | 0.35845 | 0.6991 | |
| LEAB does not Granger Cause HEALTH | 280 | 0.62930 | 0.5337 |
| HEALTH does not Granger Cause LEAB | 2.58102 | 0.0775 | |
| LEAB does not Granger Cause KOF | 280 | 2.26417 | 0.1059 |
| KOF does not Granger Cause LEAB | 0.11235 | 0.8938 | |
| LEDU does not Granger Cause LEAB | 280 | 1.58716 | 0.2064 |
| LEAB does not Granger Cause LEDU | 0.03430 | 0.9663 | |
| SOPRO does not Granger Cause LEAB * | 280 | 4.55385 | 0.0113 |
| LEAB does not Granger Cause SOPRO | 1.84299 | 0.1603 |
| Corresponding Equations of the Model | ||
|---|---|---|
| Equation | Coefficients | |
| Intercept | - | 4.37906 |
| BFs | ||
| BF1 | max(SOPRO-3.09104) | 22.63448 |
| BF2 | max(SOPRO-3.17388) | −30.62018 |
| BF3 | ENVIRO max(SOPRO-3.09104) | −8.80387 |
| BF4 | max(LEDU-4.24276) max(SOPRO-3.09104) | −967.90106 |
| BF5 | max(LEDU-4.27388) max(SOPRO-3.09104) | 1052.04227 |
| BF6 | max(SOPRO-3.09104) max(HEALTH-1.96009) | −805.12841 |
| BF7 | max(SOPRO-3.09104) max(HEALTH-1.88707) | 366.06836 |
| BF8 | max(SOPRO-3.09104) max(GNI-3.36881) | −199.00359 |
| BF9 | max(SOPRO-3.09104) max(3.36881-GNI) | −62.16061 |
| BF10 | max(LEDU-4.24276) max(SOPRO-3.09104) max(GNI-3.43234) | 638.65821 |
| BF11 | max(SOPRO-3.09104) max(HEALTH-1.93152) max(GNI-3.36881) | 1287.04012 |
| Main Features of the Model | ||
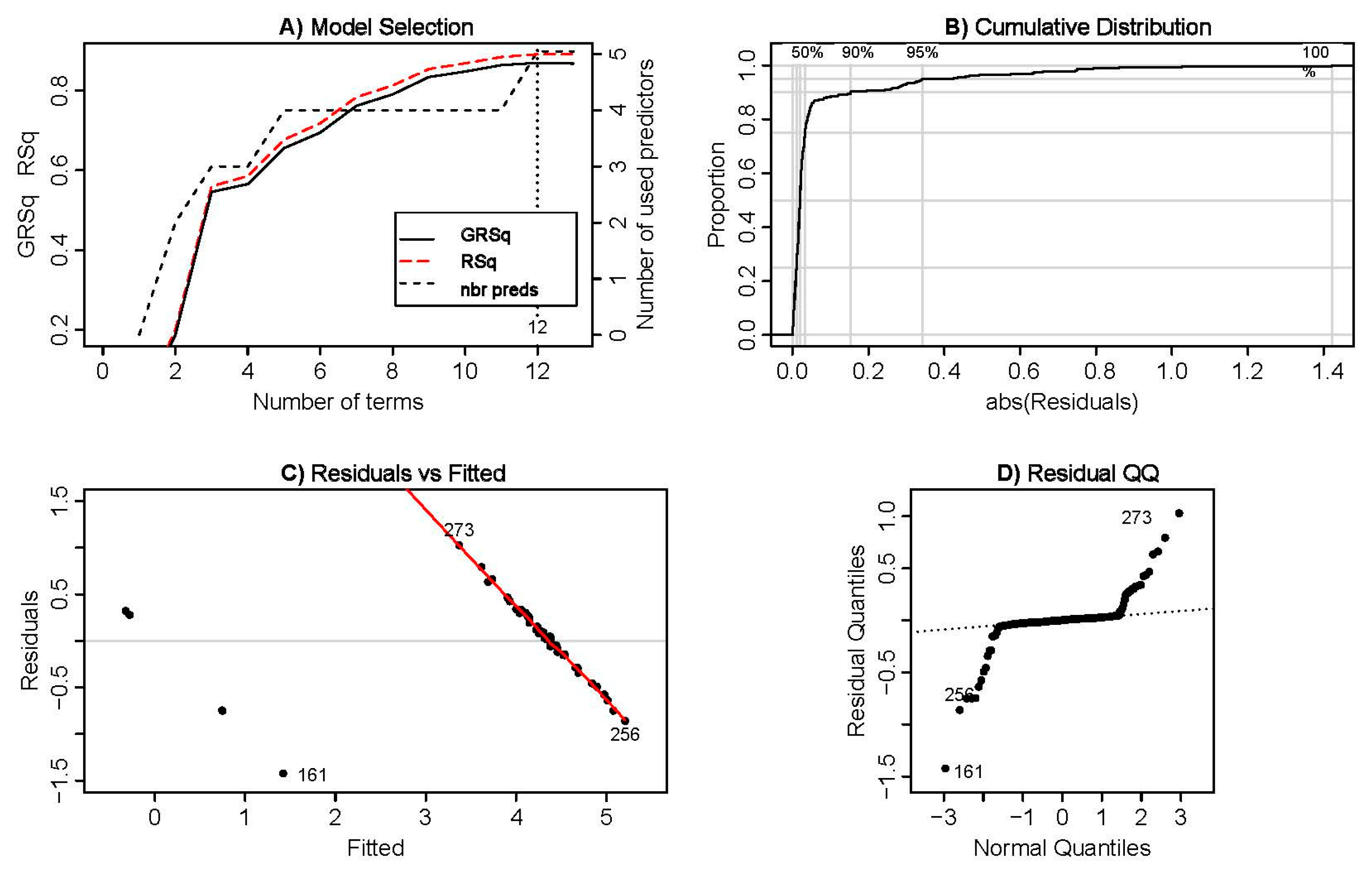
| GCV: | 0.03863691 | |
| RSS: | 10.33624 | |
| GRSq: | 0.8691754 | |
| RSq: | 0.8906307 | |
| Terms (BFs): | Selected 12 of 13 (including the intercept term) | |
| Predictors: | Selected 5 of 6 | |
| Predictors importance (in order): | SOPRO, HEALTH, GNI, LEDU, and ENVIRO (KOF represents an “unused” predictor) | |
| Variable | Number of Subsets | GCV | RSS |
|---|---|---|---|
| SOPRO | 11 | 100.0 | 100.0 |
| HEALTH | 10 | 98.9 | 98.5 |
| GNI | 9 | 87.3 | 86.4 |
| LEDU | 9 | 61.0 | 60.9 |
| ENVIRO | 2 | 17.1 | 19.1 |
| KOF | - | - | - |
Publisher’s Note: MDPI stays neutral with regard to jurisdictional claims in published maps and institutional affiliations. |
© 2020 by the authors. Licensee MDPI, Basel, Switzerland. This article is an open access article distributed under the terms and conditions of the Creative Commons Attribution (CC BY) license (http://creativecommons.org/licenses/by/4.0/).
Share and Cite
Martín Cervantes, P.A.; Rueda López, N.; Cruz Rambaud, S. The Relative Importance of Globalization and Public Expenditure on Life Expectancy in Europe: An Approach Based on MARS Methodology. Int. J. Environ. Res. Public Health 2020, 17, 8614. https://doi.org/10.3390/ijerph17228614
Martín Cervantes PA, Rueda López N, Cruz Rambaud S. The Relative Importance of Globalization and Public Expenditure on Life Expectancy in Europe: An Approach Based on MARS Methodology. International Journal of Environmental Research and Public Health. 2020; 17(22):8614. https://doi.org/10.3390/ijerph17228614
Chicago/Turabian StyleMartín Cervantes, Pedro Antonio, Nuria Rueda López, and Salvador Cruz Rambaud. 2020. "The Relative Importance of Globalization and Public Expenditure on Life Expectancy in Europe: An Approach Based on MARS Methodology" International Journal of Environmental Research and Public Health 17, no. 22: 8614. https://doi.org/10.3390/ijerph17228614
APA StyleMartín Cervantes, P. A., Rueda López, N., & Cruz Rambaud, S. (2020). The Relative Importance of Globalization and Public Expenditure on Life Expectancy in Europe: An Approach Based on MARS Methodology. International Journal of Environmental Research and Public Health, 17(22), 8614. https://doi.org/10.3390/ijerph17228614
