Implementation of a Multi-Agent Carbon Emission Reduction Strategy under the Chinese Dual Governance System: An Evolutionary Game Theoretical Approach
Abstract
1. Introduction
2. Literature Review
2.1. Dual Governance and Carbon Emission Reduction
2.2. Application of EGT in Carbon Emission Reduction
3. Evolutionary Game Model
3.1. Problem Description and Basic Assumptions
3.2. Payment Matrix
- (1)
- The revenue of carbon emission reduction obtained by CEEs by implementing low-carbon technological innovation or introducing low-carbon technologies is , and the corresponding implementation and operating costs are represented as . When CEEs do not adopt a low-carbon emission reduction strategy, the revenue is and the operating costs needed are represented as . Under positive regulation of LEPDs, the subsidies they provide to CEEs for adopting carbon emission reduction measures is , and if CEEs do not adopt such measures, the fine imposed by LEPDs is [4,12].
- (2)
- When CEEs adopt carbon emission reduction strategies, the potential revenue of LEPDs is , and the extra regulation costs paid by LEPDs for positive over negative regulation is . When CEEs do not adopt carbon emission reduction strategies, the governance cost of LEPDs is . The fine imposed on LEPDs by the CEPD for negative regulation identified during inspection is [3,4].
- (3)
- During inspection, the inspection cost paid by CEPD is and its gain in reputation is [5].
- (4)
- The environmental protection department regulates CEEs’ carbon emission reduction behavior by levying carbon taxes. The carbon tax rate is , the unit carbon emission of ordinary products is , the carbon emission rate reduced by increased low-carbon level is , and the unit carbon emission of low-carbon products is . The allocation rate between LEPDs and CEPD regarding the levied carbon tax is a. Detailed descriptions of related notations and definitions are shown in Table 1 [3,4,12].
4. Analysis of Evolutionary Stable Strategies
4.1. Equilibrium Analysis of Evolutionary Game
4.2. Stability Analysis of Equilibrium Strategy
4.2.1. Stability Analysis between CEE and LEPD
4.2.2. Stability Analysis between LEPD and CEPD
5. Simulation and Analysis
5.1. Related Data
5.2. Impact of Initial Strategy on Evolutionary Results
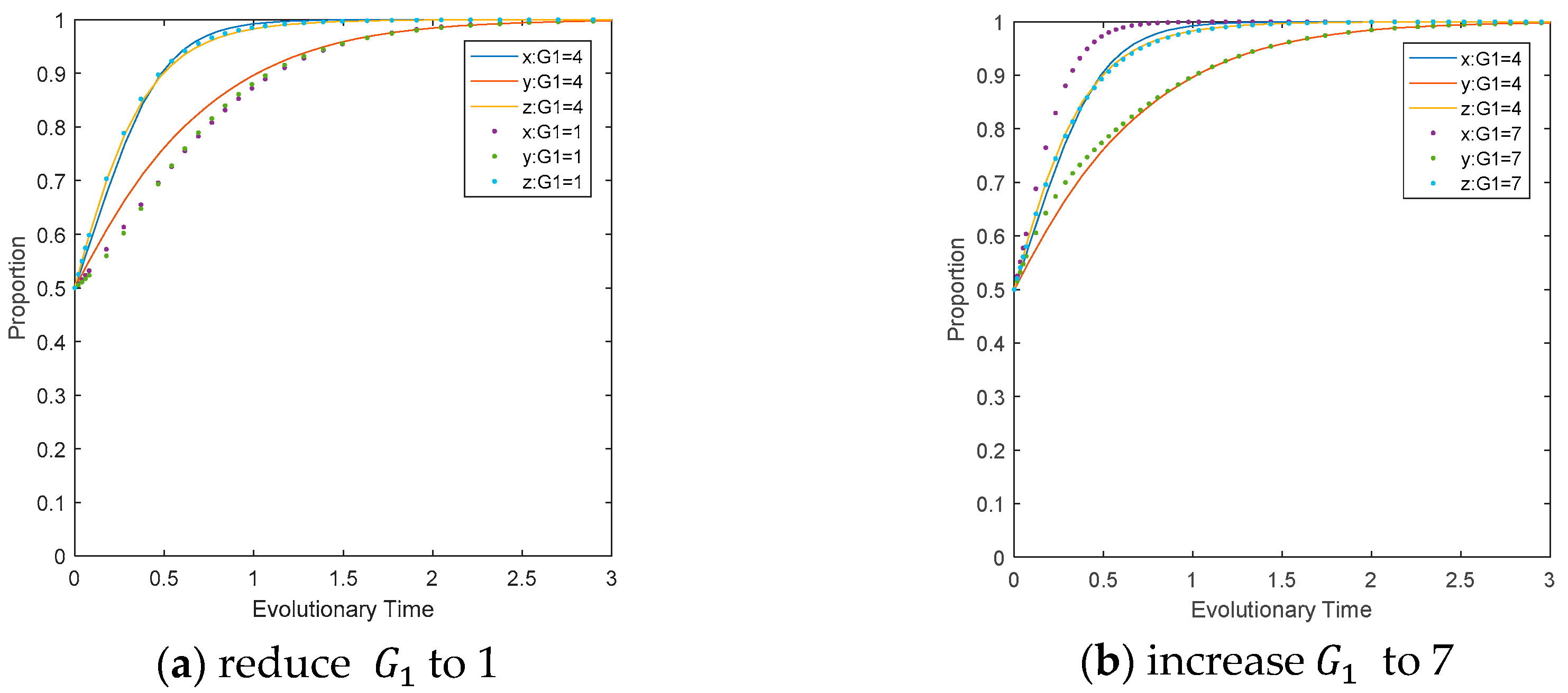
5.3. Impact of Parameter Change on Evolutionary Results
5.4. Analysis of the Simulation
6. Results
6.1. Conclusion
6.2. Enlightenment
6.3. Limitations
Author Contributions
Funding
Acknowledgments
Conflicts of Interest
References
- Nguyen, D.H.; Chapman, A.; Farabi-Asl, H. Nation-Wide Emission Trading Model for Economically Feasible Carbon Reduction in Japan. Appl. Energy. 2019, 255, 113869. [Google Scholar] [CrossRef]
- Liu, D.H.; Xiao, X.Z.; Li, H.Y.; Wang, W.G. Historical Evolution and Benefit-Cost Explanation of Periodical Fluctuation in Coal Mine Safety Supervision: An evolutionary Game Analysis Framework. Eur. J. Oper. Res. 2015, 243, 974–984. [Google Scholar] [CrossRef]
- Wu, S.J.; Sun, X.Y.; Yang, P. Game Analysis of Carbon Emission Regulation under Dual Governance System. China Popul. Environ. 2017, 27, 21–30. [Google Scholar]
- Liu, X.M.; Sun, X.Y.; Wu, S.J. Evolution of Carbon Emission Game under Dual Governance System: Analysis from the Perspective of Initial Willingness Differentiation. Syst. Eng. 2019, 37, 31–47. [Google Scholar]
- Chong, D.S.; Sun, N. Explore Emission Reduction Strategy and Evolutionary Mechanism under Central Environmental Protection Inspection System for Multi-Agent Based on Evolutionary Game Theory. Comput. Commun. 2020, 156, 77–90. [Google Scholar] [CrossRef]
- Ran, Q.; Zhang, J.; Hao, Y. Does Environmental Decentralization Exacerbate China’s Carbon Emissions? Evidence Based on Dynamic Threshold Effect Analysis. Sci. Total Environ. 2020, 721, 137656. [Google Scholar] [CrossRef]
- Yang, X.Y.; Jiang, P.; Pan, Y. Does China’s Carbon Emission Trading Policy Have an Employment Double Dividend and a Porter Effect? Energy Policy 2020, 142, 111492. [Google Scholar] [CrossRef]
- Li, S.L.; Lin, P.N. China’s Carbon Emission Rights Trading Policy Improvement and Promotion of Regional Pollution Reduction Effects-A Double Differential Analysis Based on Provincial Panel Data. J. Sun Yat-Sen Univ. Social Sci. Ed. 2020, 60, 182–194. [Google Scholar]
- Li, Y.H. The Measurement of the Impact of Fiscal Decentralization on Carbon Emissions Based on the STIRPAT Model. Stat. Decis. 2020, 18, 136–140. [Google Scholar]
- Hao, Y.; Chen, Y.F.; Liao, H.; Wei, Y.M. China’s Fiscal Decentralization and Environmental Quality: Theory and an Empirical Study. Environ. Dev. Econ. 2020, 2, 159–181. [Google Scholar] [CrossRef]
- Zhang, Y.F.; Li, S.; Luo, T.Y.; Gao, J. The Effect of Emission Trading Policy on Carbon Emission Reduction: Evidence from an Integrated Study of Pilot Regions in China. J. Clean. Prod. 2020, 265, 121843. [Google Scholar] [CrossRef]
- Jiang, K.; You, D.M.; Merrill, R.; Li, Z.D. Implementation of a Multi-Agent Environmental Regulation Strategy under Chinese Fiscal Decentralization: An Evolutionary Game Theoretical Approach. J. Clean. Prod. 2019, 214, 902–915. [Google Scholar] [CrossRef]
- Song, M.; Du, J.; Tan, K.H. Impact of Fiscal Decentralization on Green Total Factor Productivity. Int. J. Prod. Econ. 2018, 205, 359–367. [Google Scholar] [CrossRef]
- Timothy, B.; Anne, C. Incumbent Behavior: Vote-Seeking, Tax-Setting, and Yardstick Competition. Am. Econ. Rev. 1995, 85, 25–45. [Google Scholar]
- Shen, K.R.; Zhou, L. Local Government Competition, Vertical Environmental Regulation and the Pollution Backflow Effect. Econ. Res. J. 2020, 3, 35–49. [Google Scholar]
- Leal Filho, W.; Brandli, L.L.; Becker, D.; Skanavis, C.; Kounani, A.; Sardi, C.; Papaioannidou, D.; Paço, A.; Azeiteiro, U.; de Sousa, L.O.; et al. Sustainable Development Policies as Indicators and Pre-Conditions for Sustainability Efforts at Universities: Fact or Fiction? Int. J. Sustain. High. Educ. 2018, 19, 85–113. [Google Scholar] [CrossRef]
- Brown, S.W.; Webster, F.E.; Steenkamp, J.B.E.; Wilkie, W.L.; Sheth, J.N.; Sisodia, R.S.; Kerin, R.A.; MacInnis, D.J.; McAlister, L.; Raju, J.S.; et al. Marketing Renaissance: Opportunities and Imperatives for Improving Marketing Thought, Practice and Infrastructure. J. Mark. 2005, 69, 1–25. [Google Scholar]
- Zhou, L. Governing China’s Local Officials: An Analysis of Promotion Tournament Model. Econ. Res. J. 2007, 7, 36–50. [Google Scholar]
- Que, W.; Zhang, Y.B.; Liu, S.B.; Yang, C.P. The Spatial Effect of Fiscal Decentralization and Factor Market Segmentation on Environmental Pollution. J. Clean. Prod. 2018, 184, 402–413. [Google Scholar] [CrossRef]
- Han, L.; Kung, J.K.S. Fiscal Incentives and Policy Choices of Local Governments:Evidence from China. J. Dev. Econ. 2015, 116, 89–104. [Google Scholar] [CrossRef]
- He, Q. Fiscal Decentralization and Environmental Pollution: Evidence from Chinese Panel Data. China Econ. Rev. 2015, 36, 86–100. [Google Scholar] [CrossRef]
- Yang, Z. Tax Reform, Fiscal Decentralization, and Regional Economic Growth:New Evidence from China. Econ. Model. 2016, 59, 520–528. [Google Scholar] [CrossRef]
- Samuelson, L. Evolution and Game Theory. J. Econ. Perspect. 2002, 16, 47–66. [Google Scholar] [CrossRef]
- Shubik, M. Game Theory and Operations Research: Some Musings 50 Years Later. Oper. Res. 2002, 50, 192–196. [Google Scholar] [CrossRef][Green Version]
- Wu, B.; Liu, P.F.; Xu, X.F. An Evolutionary Analysis of Low-Carbon Strategies Based on the Government-Enterprise Game in the Complex Network Context. J. Clean. Prod. 2017, 141, 168–179. [Google Scholar] [CrossRef]
- Moore, S. Hydropolitics and Inter-Jurisdictional Relationships in China: The Pursuit of Localized Preferences in a Centralized System. China Q. 2014, 219, 760–780. [Google Scholar] [CrossRef]
- Cao, X.; Kleit, A.; Liu, C. Why Invest in Wind Energy? Career Incentives and Chinese Renewable Energy Politics. Energy Policy 2016, 99, 120–131. [Google Scholar] [CrossRef]
- Dal Bo, P.; Frechette, G.R. The Evolution of Cooperation in Infinitely Repeated Games: Experimental Evidence. Am. Econ. Rev. 2011, 101, 411–429. [Google Scholar] [CrossRef]
- Li, L.; Tao, F. Selection of Optimal Environmental Regulation Intensity for Chinese Manufacturing Industry: Based on the Green TFP Perspective. China Ind. Econ. 2012, 5, 70–82. [Google Scholar]
- Testa, F.; Iraldo, F.; Frey, M. The Effect of Environmental Regulation on Firms’ Competitive Performance: The Case of the Building & Construction Sector in Some EU Regions. J. Environ. Manag. 2011, 92, 2136–2144. [Google Scholar]
- Zhang, K.; Zhang, Z.Y.; Liang, Q.M. An Empirical Analysis of the Green Paradox in China: From the Perspective of Fiscal Decentralization. Energy Policy 2017, 103, 203–211. [Google Scholar] [CrossRef]
- Tsui, K.Y.; Wang, Y. Between Separate Stoves and a Single Menu: Fiscal Decentralization in China. China Q. 2004, 177, 71–90. [Google Scholar] [CrossRef]
- You, D.M.; Zhang, Y.; Yuan, B.L. Environmental Regulation and Firm Eco-Innovation: Evidence of Moderating Effects of Fiscal Decentralization and Political Competition from Listed Chinese Industrial Companies. J. Clean. Prod. 2019, 207, 1072–1083. [Google Scholar] [CrossRef]
- Chi, G.; Meng, B. Debt Rating Model Based on Default Identification: Empirical Evidence from Chinese Small Industrial Enterprises. Manag. Decis. 2019, 57, 2239–2260. [Google Scholar] [CrossRef]
- Zhang, H. Does Environmental Regulations Enhance Carbon Emissions Performance: Interpretation from the Perspective of Spatial spillover. Econ. Manag. 2014, 36, 166–175. [Google Scholar]
- Zhang, Q.; Zhang, S.; Ding, Z.; Hao, Y. Does Government Expenditure Affect Environmental Quality? Empirical Evidence Using Chinese City-Level Data. J. Clean. Prod. 2017, 161, 143–152. [Google Scholar] [CrossRef]
- Yao, X.L.; Zhang, X.L.; Guo, Z. The Tug of War Between Local Government and Enterprises in Reducing China’s Carbon Dioxide Emissions Intensity. Sci. Total Environ. 2020, 710, 136140. [Google Scholar] [CrossRef]
- Cui, H.R.; Zhao, T.; Wu, R.R. CO2 Emissions from China’s Power Industry: Policy Implications from Both Macro and Micro Perspectives. J. Clean. Prod. 2018, 200, 746–755. [Google Scholar] [CrossRef]
- Sun, H.X.; Yang, J.; Zhong, Y. Optimal Decisions for Two Risk-Averse Competitive Manufacturers under the Cap-and-Trade Policy and Uncertain Demand. Int. J. Environ. Res. Public Health 2020, 17, 1010. [Google Scholar] [CrossRef]
- Xia, Q.; Jin, M.Y.; Wu, H.Q.; Yang, C.C. A DEA-Based Decision Framework to Determine the Subsidy Rate of Emission Reduction for Local Government. J. Clean. Prod. 2018, 202, 846–852. [Google Scholar] [CrossRef]
- Chen, W.T.; Hu, Z.H. Using Evolutionary Game Theory to Study Governments and Manufacturers’ Behavioral Strategies under Various Carbon Taxes and Subsidies. J. Clean. Prod. 2018, 201, 123–141. [Google Scholar] [CrossRef]
- Feng, D.Z.; Ma, L.; Ding, Y.K.; Wu, G.H.; Zhang, Y. Decisions of the Dual-Channel Supply Chain under Double Policy Considering Remanufacturing. Int. J. Environ. Res. Public Health 2019, 16, 465. [Google Scholar] [CrossRef] [PubMed]
- Jensen, M.C.; Meckling, W.H. The Theory of the Firm: Managerial Behavior, Agency Costs and Ownership Structure. Soc. Sci. Electron. Publ. 1976, 3, 305–360. [Google Scholar] [CrossRef]
- French, K.A.; Dumani, S.; Allen, T.D.; Shockley, K.M. A Meta-Analysis of Work-Family Conflict and Social Support. Psychol. Bull. 2018, 144, 284–314. [Google Scholar] [CrossRef] [PubMed]
- Todd, M.; Keith, V.; Ian, W. Neighborhood Effects on Speculative Behavior. J. Econ. Behav. Organ. 2018, 151, 42–61. [Google Scholar]
- Chang, Y.M.; Sellak, M. A Game-Theoretic Analysis of International Trade and Political Conflict over External Territories. Public Choice 2019, 179, 209–228. [Google Scholar] [CrossRef]
- Simpson, D. Institutional Pressure and Waste Reduction: The Role of Investments in Waste Reduction Resources. Int. J. Prod. Econ. 2012, 139, 330–339. [Google Scholar] [CrossRef]
- Ge, T.; Qiu, W.; Li, J.; Hao, X. The Impact of Environmental Regulation Efficiency Loss on Inclusive Growth: Evidence from China. J. Environ. Manag. 2020, 268, 110700. [Google Scholar] [CrossRef]
- Wang, Q.Z.; Wang, N.N.; Tseng, M.L.; Huang, Y.M.; Li, N.L. Waste Tire Recycling Assessment: Road Application Potential and Carbon Emissions Reduction Analysis of Crumb Rubber Modified Asphalt in China. J. Clean. Prod. 2020, 249, 119411. [Google Scholar] [CrossRef]
- Soewarno, N.; Tjahjadi, B.; Fithrianti, F. Green Innovation Strategy and Green Innovation: The Roles of Green Organizational Identity and Environmental Organizational Legitimacy. Manag. Decis. 2019, 57, 3061–3078. [Google Scholar] [CrossRef]
- Shen, H.; Peng, Y.; Guo, C.X. Analysis of the Evolution Game of Construction and Demolition Waste Recycling Behavior Based on Prospect Theory under Environmental Regulation. Int. J. Environ. Res. Public Health 2018, 15, 1518. [Google Scholar] [CrossRef] [PubMed]
- Weibull, J.W. Evolutionary Game Theory; MIT Press: Cambridge, MA, USA, 1997. [Google Scholar]
- Smith, J.M.; Price, G.R. The Logic of Animal Conflict. Nature 1973, 246, 15. [Google Scholar] [CrossRef]
- Zhu, G.; Pan, G.Z.; Zhang, W.W. Evolutionary Game Theoretic Analysis of Low Carbon Investment in Supply Chains under Governmental Subsidies. Int. J. Environ. Res. Public Health 2018, 15, 2465. [Google Scholar] [CrossRef] [PubMed]
- Zhang, S.Y.; Wang, C.X.; Yu, C. The Evolutionary Game Analysis and Simulation with System Dynamics of Manufacturer’s Emissions Abatement Behavior under Cap-and-Trade Regulation. Appl. Math. Comput. 2019, 355, 343–355. [Google Scholar] [CrossRef]
- Shan, H.Y.; Yang, J.L.; Wei, G. Industrial Symbiosis Systems: Promoting Carbon Emission Reduction Activities. Int. J. Environ. Res. Public Health 2019, 16, 1093. [Google Scholar] [CrossRef] [PubMed]
- Feng, W.; Ji, G.J.; Pardalos, P.M. Effects of Government Regulations on Manufacturer’s Behaviors under Carbon Emission Reduction. Environ. Sci. Pollut. Res. 2019, 26, 17918–17926. [Google Scholar] [CrossRef] [PubMed]
- Chen, Y.X.; Zhang, J.; Tadikamalla, P.R.; Gao, X.T. The Relationship among Government, Enterprise, and Public in Environmental Governance from the Perspective of Multi-Player Evolutionary Game. Int. J. Environ. Res. Public Health 2019, 16, 3351. [Google Scholar] [CrossRef] [PubMed]
- Friedman, D. On Economic Applications of Evolutionary Game Theory. J. Evol. Econ. 1998, 8, 15–43. [Google Scholar] [CrossRef]
- Zhang, S.Z.; Yu, Y.M.; Zhu, Q.H.; Qiu, C.M.; Tian, A.X. Green Innovation Mode under Carbon Tax and Innovation Subsidy: an Evolutionary Game Analysis for Portfolio Policies. Sustainability 2020, 12, 1385. [Google Scholar] [CrossRef]
- Wang, C.S.; Shi, F.L. An Evolutionary Game Model for Industrial Pollution Management under Two Punishment Mechanisms. Int. J. Environ. Res. Public Health 2019, 16, 2775. [Google Scholar] [CrossRef] [PubMed]
- Xian, Y.J.; Wang, K.; Wei, Y.M.; Huang, Z.M. Opportunity and Marginal Abatement Cost Savings from China’s Pilot Carbon Emissions Permit Trading System: Simulating Evidence from the Industrial Sectors. J. Environ. Manag. 2020, 271, 110975. [Google Scholar] [CrossRef] [PubMed]









| Notation | Description |
|---|---|
| Revenues of a CEE adopting a carbon emission reduction strategy | |
| Costs of a CEE adopting a carbon emission reduction strategy | |
| Revenues of a CEE that does not adopt a carbon emission reduction strategy | |
| Costs of a CEE that does not adopt a carbon emission reduction strategy | |
| Potential revenues of an LEPD with a CEE adopting a carbon emission reduction strategy | |
| Extra regulation costs paid by LEPD for positive over negative regulation | |
| Environmental pollution control costs paid by LEPD due to a CEE’s failure to reduce carbon emissions and high energy consumption | |
| Inspection cost of CEPD | |
| Subsidy for CEE carbon emission reduction activities under LEPD regulation | |
| Reputation obtained during CEPD inspection | |
| Fine imposed on a CEE for failure to reduce carbon emission in production under LEPD regulation | |
| Fine imposed on LEPD for deregulation identified during inspection by CEPD | |
| Carbon tax rate | |
| Carbon emission rate reduced by increased low-carbon level | |
| Unit carbon emissions of ordinary products | |
| Ratio of carbon tax levied from CEE shared by LEPD |
| Emission Reduction of CEE | No Emission Reduction of CEE | |||
|---|---|---|---|---|
| Positive regulation of LEPD () | Negative regulation of LEPD () | Positive regulation of LEPD () | Negative regulation of LEPD () | |
| Inspection of CEPD () | ||||
| No inspection of CEPD () | ||||
| Result | Equilibrium Condition | |||
|---|---|---|---|---|
| + | − | ESS | ||
| + | − | ESS | ||
| + | − | ESS | ||
| + | + | Unstable | No conditions are stable | |
| 0 | 0 | Saddle point | 0, 0 |
| Result | Equilibrium Condition | |||
|---|---|---|---|---|
| + | - | ESS | ||
| + | - | ESS | ||
| + | - | ESS | ||
| + | + | Unstable | No conditions are stable | |
| 0 | 0 | Saddle point | 0, 0 |
| Variable | ||||||||||||||||
|---|---|---|---|---|---|---|---|---|---|---|---|---|---|---|---|---|
| Value | 5 | 3 | 2 | 3 | 1 | 1 | 4 | 1 | 4 | 1 | 4 | 2 | 0.3 | 0.5 | 0.3 | 4 |
Publisher’s Note: MDPI stays neutral with regard to jurisdictional claims in published maps and institutional affiliations. |
© 2020 by the authors. Licensee MDPI, Basel, Switzerland. This article is an open access article distributed under the terms and conditions of the Creative Commons Attribution (CC BY) license (http://creativecommons.org/licenses/by/4.0/).
Share and Cite
Wang, W.; You, X.; Liu, K.; Wu, Y.J.; You, D. Implementation of a Multi-Agent Carbon Emission Reduction Strategy under the Chinese Dual Governance System: An Evolutionary Game Theoretical Approach. Int. J. Environ. Res. Public Health 2020, 17, 8463. https://doi.org/10.3390/ijerph17228463
Wang W, You X, Liu K, Wu YJ, You D. Implementation of a Multi-Agent Carbon Emission Reduction Strategy under the Chinese Dual Governance System: An Evolutionary Game Theoretical Approach. International Journal of Environmental Research and Public Health. 2020; 17(22):8463. https://doi.org/10.3390/ijerph17228463
Chicago/Turabian StyleWang, Wenke, Xiaoqiong You, Kebei Liu, Yenchun Jim Wu, and Daming You. 2020. "Implementation of a Multi-Agent Carbon Emission Reduction Strategy under the Chinese Dual Governance System: An Evolutionary Game Theoretical Approach" International Journal of Environmental Research and Public Health 17, no. 22: 8463. https://doi.org/10.3390/ijerph17228463
APA StyleWang, W., You, X., Liu, K., Wu, Y. J., & You, D. (2020). Implementation of a Multi-Agent Carbon Emission Reduction Strategy under the Chinese Dual Governance System: An Evolutionary Game Theoretical Approach. International Journal of Environmental Research and Public Health, 17(22), 8463. https://doi.org/10.3390/ijerph17228463

