Relationship between Oxygen Uptake, Heart Rate, and Perceived Effort in an Aquatic Incremental Test in Older Women
Abstract
1. Introduction
2. Materials and Methods
2.1. Participants
2.2. Procedures
2.3. Statistical Analysis
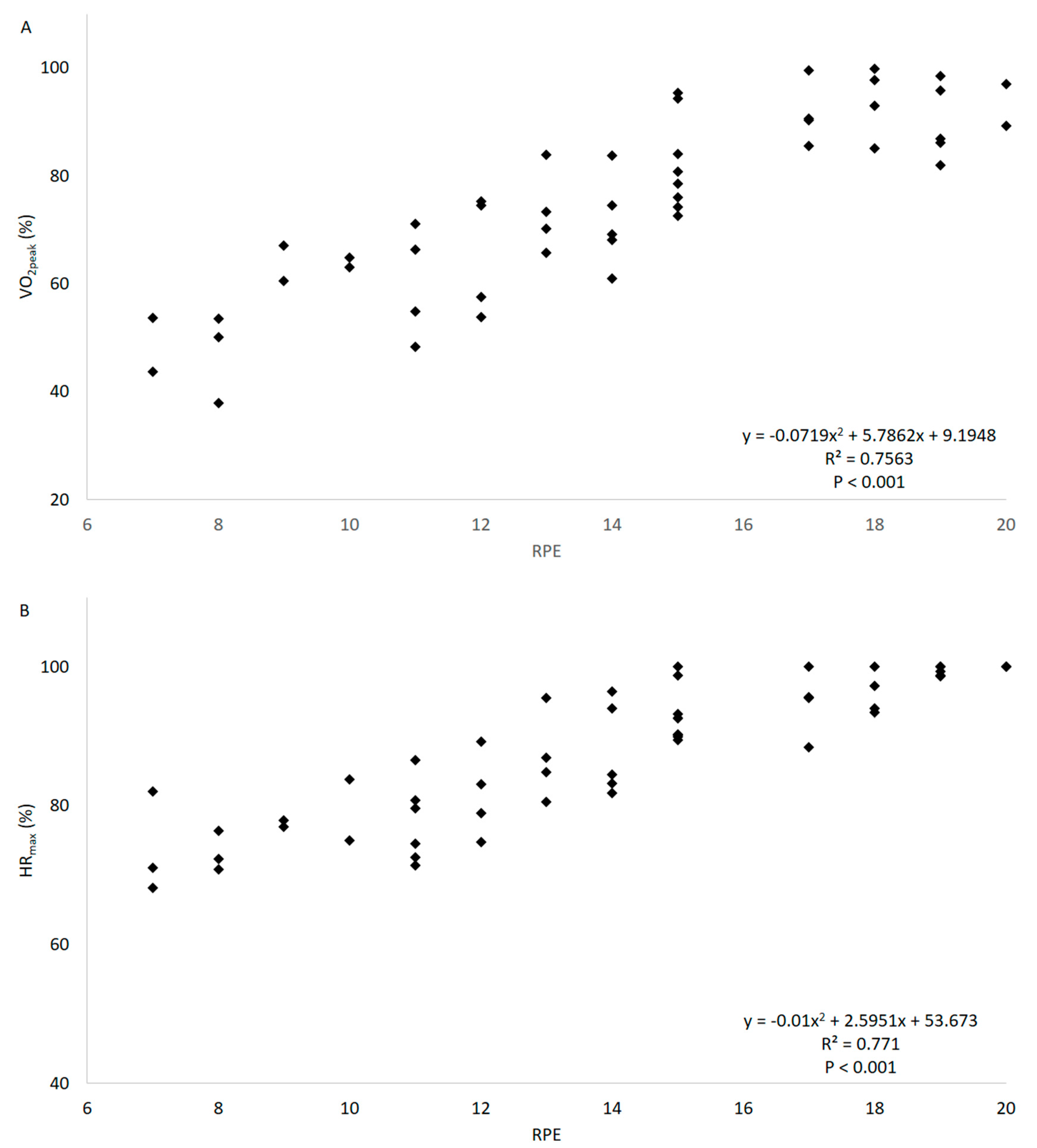
3. Results
4. Discussion
5. Conclusions
Author Contributions
Funding
Conflicts of Interest
References
- Astrand, I.; Astrand, P.O.; Hallbäck, I.; Kilbom, A. Reduction in maximal oxygen uptake with age. J. Appl. Physiol. 1973, 35, 649–654. [Google Scholar]
- Fleg, J.L.; Strait, J. Age-associated changes in cardiovascular structure and function: A fertile milieu for future disease. Heart Fail. Rev. 2012, 17, 545–554. [Google Scholar] [PubMed]
- Bouaziz, W.; Malgoyre, A.; Schmitt, E.; Lang, P.; Vogel, T.; Kanagaratnam, L. Effect of high-intensity interval training and continuous endurance training on peak oxygen uptake among seniors aged 65 or older: A meta-analysis of randomized controlled trials. Int. J. Clin. Pract. 2020, 74, 1–10. [Google Scholar]
- Chodzko-Zajko, W.J.; Proctor, D.N.; Fiatarone Singh, M.A.; Minson, C.T.; Nigg, C.R.; Salem, G.J.; Skinner, J.S. Exercise and Physical Activity for Older Adults. Med. Sci. Sport Exerc. 2009, 41, 1510–1530. [Google Scholar]
- Bouaziz, W.; Schmitt, E.; Vogel, T.; Lefebvre, F.; Remetter, R.; Lonsdorfer, E.; Leprêtre, P.-M.; Kaltenbach, G.; Geny, B.; Lang, P.-O. Effects of Interval Aerobic Training Program with Recovery bouts on cardiorespiratory and endurance fitness in seniors. Scand. J. Med. Sci. Sports 2018, 28, 2284–2292. [Google Scholar] [PubMed]
- Mann, T.; Lamberts, R.P.; Lambert, M.I. Methods of prescribing relative exercise intensity: Physiological and practical considerations. Sports Med. 2013, 43, 613–625. [Google Scholar]
- Scherr, J.; Wolfarth, B.; Christle, J.W.; Pressler, A.; Wagenpfeil, S.; Halle, M. Associations between Borg’s rating of perceived exertion and physiological measures of exercise intensity. Eur. J. Appl. Physiol. 2013, 113, 147–155. [Google Scholar] [PubMed]
- Riebe, D.; Ehrman, J.K.; Liguori, G.; Magal, M. ACSM’s Guidelines for Exercise Testing and Prescription, 10th ed.; Wolters Kluwer: Philadelphia, PA, USA, 2018. [Google Scholar]
- Torres-Ronda, L.; Del Alcázar, X.S. The Properties of Water and their Applications for Training. J. Hum. Kinet. 2014, 44, 237–248. [Google Scholar]
- Pendergast, D.R.; Lundgren, C.E.G. The underwater environment: Cardiopulmonary, thermal, and energetic demands. J. Appl. Physiol. 2009, 106, 276–283. [Google Scholar]
- Pendergast, D.R.; Moon, R.E.; Krasney, J.J.; Held, H.E.; Zamparo, P. Human Physiology in an Aquatic Environment. Compr. Physiol. 2015, 5, 1705–1750. [Google Scholar]
- Alberton, C.L.; Zaffari, P.; Pinto, S.S.; Reichert, T.; Bagatini, N.C.; Kanitz, A.C.; Almada, B.P.; Kruel, L.F.M. Water-based exercises in postmenopausal women: Vertical ground reaction force and oxygen uptake responses. Eur. J. Sport Sci. 2020. [Google Scholar] [CrossRef] [PubMed]
- Kane, A.E.; Howlett, S.E. Differences in Cardiovascular Aging in Men and Women. Adv. Exp. Med. Biol. 2018, 1065, 389–411. [Google Scholar] [PubMed]
- Minetto, M.A.; Giannini, A.; McConnell, R.; Busso, C.; Torre, G.; Massazza, G. Common Musculoskeletal Disorders in the Elderly: The Star Triad. J. Clin. Med. 2020, 9, 1216. [Google Scholar] [CrossRef] [PubMed]
- Rica, R.L.; Carneiro, R.M.M.; Serra, A.J.; Rodriguez, D.; Pontes Junior, F.L.; Bocalini, D.S. Effects of water-based exercise in obese older women: Impact of short-term follow-up study on anthropometric, functional fitness and quality of life parameters. Geriatr. Gerontol. Int. 2013, 13, 209–214. [Google Scholar] [CrossRef]
- Kanitz, A.C.; Delevatti, R.S.; Reichert, T.; Liedtke, G.V.; Ferrari, R.; Almada, B.P.; Pinto, S.S.; Alberton, C.L.; Kruel, L.F.M. Effects of two deep water training programs on cardiorespiratory and muscular strength responses in older adults. Exp. Gerontol. 2015, 64, 55–61. [Google Scholar] [CrossRef]
- Silva, M.R.; Alberton, C.L.; Portella, E.G.; Nunes, G.N.; Martin, D.G.; Pinto, S.S. Water-based aerobic and combined training in elderly women: Effects on functional capacity and quality of life. Exp. Gerontol. 2018, 106, 54–60. [Google Scholar] [CrossRef]
- Costa, R.R.; Kanitz, A.C.; Reichert, T.; Prado, A.K.G.; Coconcelli, L.; Buttelli, A.C.K.; Pereira, L.F.; Masiero, M.P.; Meinerz, A.P.; Conceição, M.O.; et al. Water-based aerobic training improves strength parameters and cardiorespiratory outcomes in elderly women. Exp. Gerontol. 2018, 108, 231–239. [Google Scholar] [CrossRef]
- Andrade, L.S.; Pinto, S.S.; Silva, M.R.; Schaun, G.Z.; Portella, E.G.; Nunes, G.N.; David, G.B.; Wilhelm, E.N.; Alberton, C.L. Water-based continuous and interval training in older women: Cardiorespiratory and neuromuscular outcomes (WATER study). Exp. Gerontol. 2020, 134, 110914. [Google Scholar] [CrossRef]
- Andrade, L.S.; Pinto, S.S.; Silva, M.R.; Campelo, P.C.; Rodrigues, S.N.; Gomes, M.B.; Krüger, V.L.; De Ferreira, G.F.; Alberton, C.L. Randomized Clinical Trial of Water-Based Aerobic Training in Older Women (WATER Study): Functional Capacity and Quality of Life Outcomes. J. Phys. Act. Health 2020, 17, 1–9. [Google Scholar] [CrossRef]
- Alberton, C.L.; Antunes, A.H.; Beilke, D.D.; Pinto, S.S.; Kanitz, A.C.; Tartaruga, M.P.; Kruel, L.F.M. Maximal and Ventilatory Thresholds of Oxygen Uptake and Rating of Perceived Exertion Responses to Water Aerobic Exercises. J. Strength Cond. Res. 2013, 27, 1897–1903. [Google Scholar] [CrossRef]
- Alberton, C.L.; Pinto, S.S.; Antunes, A.H.; Cadore, E.L.; Finatto, P.; Tartaruga, M.P.; Kruel, L.F.M. Maximal and Ventilatory Thresholds Cardiorespiratory Responses to Three Water Aerobic Exercises Compared with Treadmill on Land. J. Strength Cond. Res. 2014, 28, 1679–1687. [Google Scholar] [CrossRef] [PubMed]
- Barbosa, T.M.; Marinho, D.A.; Reis, V.M.; Silva, A.J.; Bragada, J.A. Physiological assessment of head-out aquatic exercises in healthy subjects: A qualitative review. J. Sports Sci. Med. 2009, 8, 179–189. [Google Scholar] [PubMed]
- Alberton, C.L.; Pinto, S.S.; Gorski, T.; Antunes, A.H.; Finatto, P.; Cadore, E.L.; Bergamin, M.; Kruel, L.F.M. Rating of perceived exertion in maximal incremental tests during head-out water-based aerobic exercises. J. Sports Sci. 2016, 34, 1691–1698. [Google Scholar] [CrossRef] [PubMed]
- Reichert, T.; Kanitz, A.C.; Delevatti, R.S.; Bagatini, N.C.; Barroso, B.M.; Kruel, L.F.M. Continuous and interval training programs using deep water running improves functional fitness and blood pressure in the older adults. Age 2016, 38, 20. [Google Scholar] [CrossRef] [PubMed]
- Eston, R.; Connolly, D. The use of ratings of perceived exertion for exercise prescription in patients receiving beta-blocker therapy. Sports Med. 1996, 21, 176–190. [Google Scholar] [CrossRef] [PubMed]
- Raffaelli, C.; Galvani, C.; Lanza, M.; Zamparo, P. Different methods for monitoring intensity during water-based aerobic exercises. Eur. J. Appl. Physiol. 2012, 112, 125–134. [Google Scholar] [CrossRef]
- Benelli, P.; Colasanti, F.; Ditroilo, M.; Cuesta-Vargas, A.; Gatta, G.; Giacomini, F.; Lucertini, F. Physiological and biomechanical responses to walking underwater on a non-motorised treadmill: Effects of different exercise intensities and depths in middle-aged healthy women. J. Sports Sci. 2014, 32, 268–277. [Google Scholar] [CrossRef]
- Alberton, C.L.; Antunes, A.H.; Pinto, S.S.; Tartaruga, M.P.; Silva, E.M.; Cadore, E.L.; Kruel, L.F.M. Correlation Between Rating of Perceived Exertion and Physiological Variables During the Execution of Stationary Running in Water at Different Cadences. J. Strength Cond. Res. 2011, 25, 155–162. [Google Scholar] [CrossRef]
- Pinto, S.S.; Alberton, C.L.; Zaffari, P.; Cadore, E.L.; Kanitz, A.C.; Liedtke, G.V.; Tartaruga, M.P.; Kruel, L.F.M. Rating of perceived exertion and physiological responses in water-based exercise. J. Hum. Kinet. 2015, 49, 99–108. [Google Scholar] [CrossRef][Green Version]
- Bressel, E.; Smith, G.; Miller, A.; Dolny, D. Aquatic-Treadmill Walking: Quantifying Drag Force and Energy Expenditure. J. Sport Rehabil. 2012, 21. [Google Scholar] [CrossRef]
- David, G.B.; Andrade, L.S.; Schaun, G.Z.; Alberton, C.L. HR, VO2, and RPE Relationships in an Aquatic Incremental Maximum Test Performed by Young Women. J. Strength Cond. Res. 2017, 31, 2852–2858. [Google Scholar] [CrossRef] [PubMed]
- Kruel, L.F.M.; Beilke, D.D.; Kanitz, A.C.; Alberton, C.L.; Antunes, A.H.; Pantoja, P.D.; Da Silva, E.M.; Pinto, S.S. Cardiorespiratory responses to stationary running in water and on land. J. Sports Sci. Med. 2013, 12, 594–600. [Google Scholar] [PubMed]
- Alberton, C.L.; Andrade, L.S.; Pinheiro, R.B.; Pinto, S.S. Anaerobic Threshold in a Water-Based Exercise: Agreement Between Heart Rate Deflection Point and Lactate Threshold Methods. J. Strength Cond. Res. 2019, in press. [Google Scholar] [CrossRef] [PubMed]
- Borg, G. Psychophysical scaling with applications in physical work and the perception of exertion. Scand. J. Work Environ. Health 1990, 16, 55–58. [Google Scholar] [CrossRef] [PubMed]
- Howley, E.T.; Bassett, D.R.; Welch, H.G. Criteria for maximal oxygen uptake: Review and commentary. Med. Sci. Sports Exerc. 1995, 27, 1292–1301. [Google Scholar] [CrossRef]
- Safrit, M.; Wood, T. Introduction to Measurement in Physical Education and Exercise Science, 3rd ed.; Times Mirror/Mosby: St. Louis, MS, USA, 1995. [Google Scholar]
- Pinto, S.S.; Alberton, C.L.; Bagatini, N.C.; Zaffari, P.; Cadore, E.L.; Radaelli, R.; Baroni, B.M.; Lanferdini, F.J.; Ferrari, R.; Kanitz, A.C.; et al. Neuromuscular adaptations to water-based concurrent training in postmenopausal women: Effects of intrasession exercise sequence. Age 2015, 37, 6. [Google Scholar] [CrossRef][Green Version]
- Shono, T.; Fujishima, K.; Hotta, N.; Ogaki, T.; Ueda, T.; Otoki, K.; Teramoto, K.; Shimizu, T. Physiological Responses and RPE during Underwater Treadmill Walking in Women of Middle and Advanced Age. J. Physiol. Anthropol. Appl. Hum. Sci. 2000, 19, 195–200. [Google Scholar] [CrossRef]
- Shono, T.; Fujishima, K.; Hotta, N.; Ogaki, T.; Masumoto, K. Cardiorespiratory Response to Low-Intensity Walking in Water and on Land in Elderly Women. J. Physiol. Anthropol. Appl. Hum. Sci. 2001, 20, 269–274. [Google Scholar] [CrossRef]
- Alberton, C.L.; Tartaruga, M.P.; Pinto, S.S.; Cadore, E.L.; Silva, E.M.D.; Kruel, L.F.M. Cardiorespiratory responses to stationary running at different cadences in water and on land. J. Sports Med. Phys. Fitness 2009, 49, 142–151. [Google Scholar]
- Barbosa, T.M.; Sousa, V.F.; Silva, A.J.; Reis, V.M.; Marinho, D.A.; Bragada, J.A. Effects of Musical Cadence in the Acute Physiologic Adaptations to Head-Out Aquatic Exercises. J. Strength Cond. Res. 2010, 24, 244–250. [Google Scholar] [CrossRef]
- Alexander, R.; Goldspink, G. Mechanics and Energetics of Animal Locomotion; Chapman & Hall: London, UK, 1977. [Google Scholar]
- Garber, C.E.; Blissmer, B.; Deschenes, M.R.; Franklin, B.A.; Lamonte, M.J.; Lee, I.-M.; Nieman, D.C.; Swain, D.P. American College of Sports Medicine. Quantity and Quality of Exercise for Developing and Maintaining Cardiorespiratory, Musculoskeletal, and Neuromotor Fitness in Apparently Healthy Adults. Med. Sci. Sport Exerc. 2011, 43, 1334–1359. [Google Scholar] [CrossRef] [PubMed]



| Relationships | Linear | Polynomial | ||
|---|---|---|---|---|
| r | p | r | p | |
| %VO2peak × %HRmax | 0.921 | <0.001 | 0.921 | <0.001 |
| VO2 × HR | 0.734 | <0.001 | 0.739 | <0.001 |
| %VO2peak × RPE | 0.868 | <0.001 | 0.870 | <0.001 |
| VO2 × RPE | 0.711 | <0.001 | 0.713 | <0.001 |
| %HRmax × RPE | 0.878 | <0.001 | 0.878 | <0.001 |
| HR × RPE | 0.755 | <0.001 | 0.756 | <0.001 |
| %VO2peak x CAD | 0.855 | <0.001 | 0.873 | <0.001 |
| VO2 × CAD | 0.663 | <0.001 | 0.673 | <0.001 |
| %HRmax × CAD | 0.858 | <0.001 | 0.874 | <0.001 |
| HR × CAD | 0.789 | <0.001 | 0.795 | <0.001 |
| RPE × CAD | 0.902 | <0.001 | 0.910 | <0.001 |
| Intensity (%VO2peak) | %HRmax | RPE | CAD |
|---|---|---|---|
| Mean ± SD | Mean ± SD | Mean ± SD | |
| 50–59% | 77.3 ± 4.2 | 9.7 ± 2.3 | 80.0 ± 12.2 |
| 60–69% | 79.9 ± 4.6 | 11.1 ± 2.5 | 91.0 ± 16.1 |
| 70–79% | 88.2 ± 4.1 | 13.5 ± 1.5 | 104.5 ± 14.2 |
| 80–89% | 96.4 ± 3.4 | 16.9 ± 2.5 | 127.0 ± 19.7 |
| 90–99% | 97.4 ± 3.6 | 17.5 ± 1.6 | 135.5 ± 13.9 |
Publisher’s Note: MDPI stays neutral with regard to jurisdictional claims in published maps and institutional affiliations. |
© 2020 by the authors. Licensee MDPI, Basel, Switzerland. This article is an open access article distributed under the terms and conditions of the Creative Commons Attribution (CC BY) license (http://creativecommons.org/licenses/by/4.0/).
Share and Cite
Andrade, L.S.; Kanitz, A.C.; Häfele, M.S.; Schaun, G.Z.; Pinto, S.S.; Alberton, C.L. Relationship between Oxygen Uptake, Heart Rate, and Perceived Effort in an Aquatic Incremental Test in Older Women. Int. J. Environ. Res. Public Health 2020, 17, 8324. https://doi.org/10.3390/ijerph17228324
Andrade LS, Kanitz AC, Häfele MS, Schaun GZ, Pinto SS, Alberton CL. Relationship between Oxygen Uptake, Heart Rate, and Perceived Effort in an Aquatic Incremental Test in Older Women. International Journal of Environmental Research and Public Health. 2020; 17(22):8324. https://doi.org/10.3390/ijerph17228324
Chicago/Turabian StyleAndrade, Luana Siqueira, Ana Carolina Kanitz, Mariana Silva Häfele, Gustavo Zaccaria Schaun, Stephanie Santana Pinto, and Cristine Lima Alberton. 2020. "Relationship between Oxygen Uptake, Heart Rate, and Perceived Effort in an Aquatic Incremental Test in Older Women" International Journal of Environmental Research and Public Health 17, no. 22: 8324. https://doi.org/10.3390/ijerph17228324
APA StyleAndrade, L. S., Kanitz, A. C., Häfele, M. S., Schaun, G. Z., Pinto, S. S., & Alberton, C. L. (2020). Relationship between Oxygen Uptake, Heart Rate, and Perceived Effort in an Aquatic Incremental Test in Older Women. International Journal of Environmental Research and Public Health, 17(22), 8324. https://doi.org/10.3390/ijerph17228324

