Analysis of Labial and Lingual Strength among Healthy Chinese Adults in Taiwan
Abstract
1. Introduction
2. Materials and Methods
2.1. Participants
2.2. Lingual and Labial Strength Evaluation
2.3. Procedures
2.3.1. Maximum Isometric Pressures
2.3.2. Tongue Endurance
2.3.3. Swallowing Pressure
2.4. Statistical Analysis
3. Results
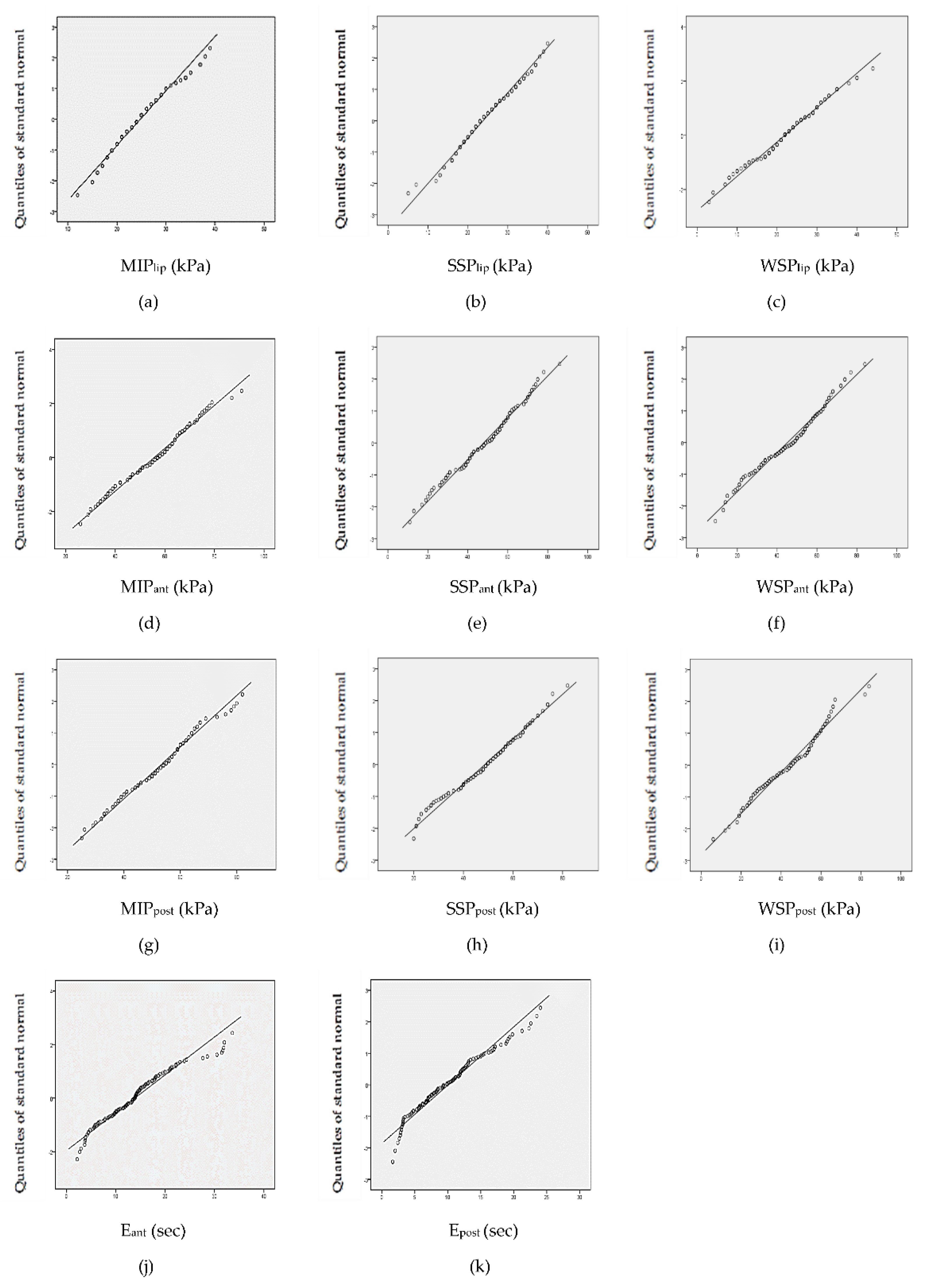
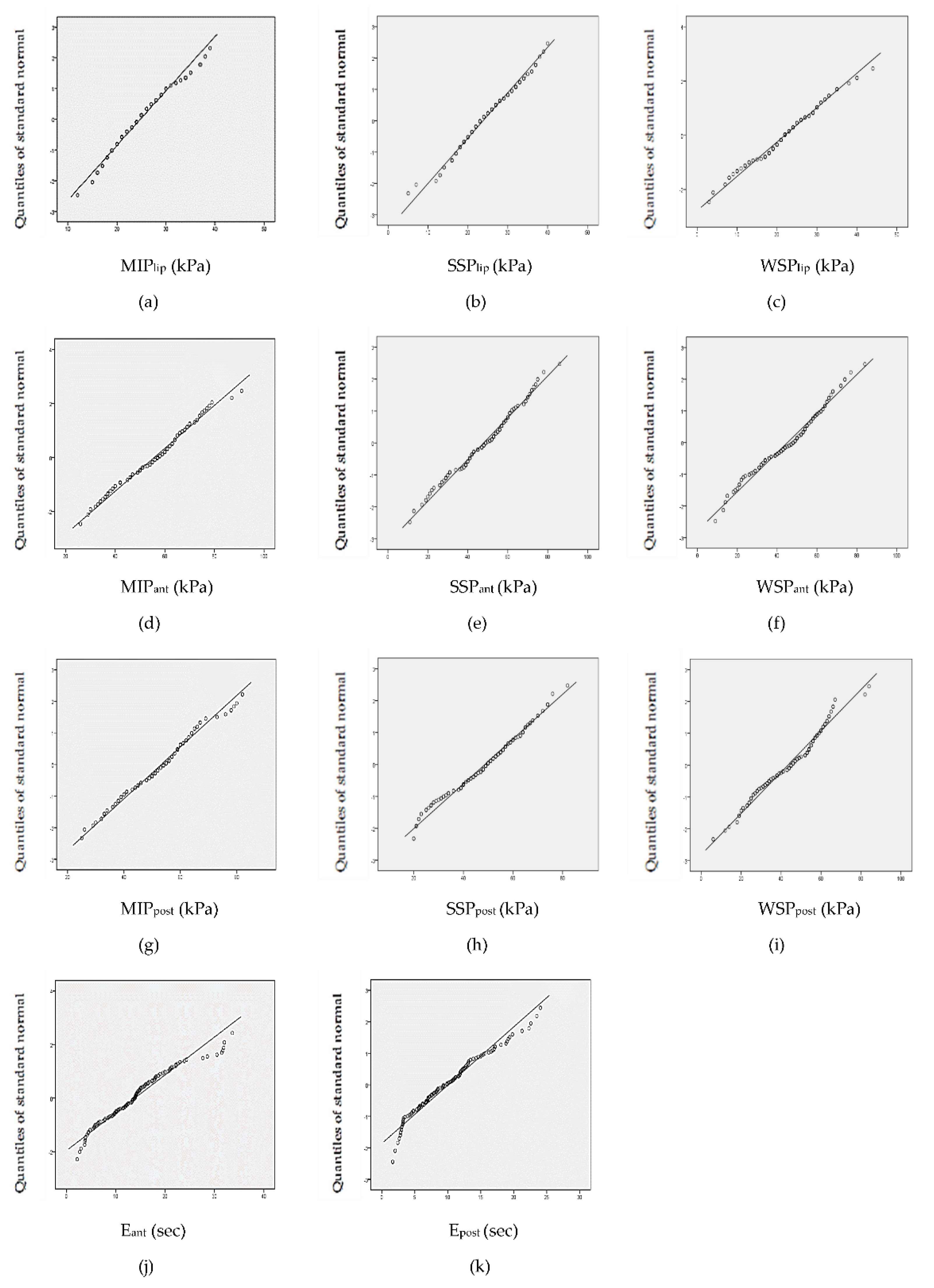
3.1. The Normality Test of Variables
3.2. Labial and Lingual Strength Pattern
3.3. Repeated Trials of Labial and Lingual Strength
4. Discussion
5. Conclusions
Author Contributions
Funding
Acknowledgments
Conflicts of Interest
Appendix A

References
- Park, H.S.; Kim, J.U.; Park, J.Y.; Oh, D.H.; Kim, H.J. Comparison of orbicularis oris muscle strength and endurance in young and elderly adults. J. Phys. Sci. 2018, 30, 1477–1478. [Google Scholar] [CrossRef] [PubMed]
- Yano, J.; Yamamoto-Shimizu, S.; Yokoyama, T.; Kumakura, I.; Hanayama, K.; Tsubahara, A. Effects of tongue-strengthening exercise on the geniohyoid muscle in young healthy adults. Dysphagia 2019, 34, 1–7. [Google Scholar] [CrossRef] [PubMed]
- Balou, M.; Herzberg, E.G.; Kamelhar, D.; Molfenter, S.M. An intensive swallowing exercise protocol for improving swallowing physiology in older adults with radiographically confirmed dysphagia. Clin. Interv. Aging 2019, 14, 283–288. [Google Scholar] [CrossRef] [PubMed]
- Adams, V.; Mathisen, B.; Baines, S.; Lazarus, C.; Callister, R. A systematic review and meta-analysis of measurements of tongue and hand strength and endurance using the Iowa Oral Performance Instrument (IOPI). Dysphagia 2013, 28, 350–369. [Google Scholar] [CrossRef]
- Clark, H.M.; Solomon, N.P. Age and sex differences in orofacial strength. Dysphagia 2012, 27, 2–9. [Google Scholar] [CrossRef]
- Steele, C.M. The influence of tongue strength on oral viscosity discrimination acuity. J. Texture Stud. 2018, 49, 249–255. [Google Scholar] [CrossRef]
- Fei, T.; Polacco, R.C.; Hori, S.E.; Molfenter, S.M.; Peladeau-Pigeon, M.; Tsang, C.; Steele, C.M. Age-related differences in tongue-palate pressures for strength and swallowing tasks. Dysphagia 2013, 28, 575–581. [Google Scholar] [CrossRef]
- Stierwalt, J.A.; Youmans, S.R. Tongue measures in individuals with normal and impaired swallowing. Am. J. Speech Lang. Pathol. 2007, 16, 148–156. [Google Scholar] [CrossRef]
- Youmans, S.R.; Youmans, G.L.; Stierwalt, J.A. Differences in tongue strength across age and gender: Is there a diminished strength reserve? Dysphagia 2009, 24, 57–65. [Google Scholar] [CrossRef]
- Potter, N.L.; Nievergelt, Y.; VanDam, M. Tongue strength in children with and without speech sound disorders. Am. J. Speech Lang. Pathol. 2019, 28, 612–622. [Google Scholar] [CrossRef]
- Kent, R.D. Nonspeech oral movements and oral motor disorders: A narrative review. Am. J. Speech Lang. Pathol. 2015, 24, 763–789. [Google Scholar] [CrossRef]
- Robbins, J.; Gangnon, R.E.; Theis, S.M.; Kays, S.A.; Hewitt, A.L.; Hind, J.A. The effects of lingual exercise on swallowing in older adults. J. Am. Geriatr. Soc. 2005, 53, 1483–1489. [Google Scholar] [CrossRef]
- Steele, C.M.; Bayley, M.T.; Peladeau-Pigeon, M.; Nagy, A.; Namasivayam, A.M.; Stokely, T.W. A randomized trial comparing two tongue-pressure resistance training protocols for post-stroke dysphagia. Dysphagia 2016, 31, 452–461. [Google Scholar] [CrossRef] [PubMed]
- VanRavenhorst-Bell, H.A.; Coufal, K.L.; Patterson, J.A.; Mefferd, A.S. A comparative study: Tongue muscle performance in weightlifters and runners. Physiol. Rep. 2018, 6, e13923. [Google Scholar] [CrossRef] [PubMed]
- Baijens, L.W.; Clavé, P.; Cras, P.; Ekberg, O.; Forster, A.; Kolb, G.F.; Leners, J.C.; Masiero, S.; Mateos-Nozal, J.; Ortega, O.; et al. European Society for Swallowing Disorders–European Union Geriatric Medicine Society white paper: Oropharyngeal dysphagia as a geriatric syndrome. Clin. Interv. Aging 2016, 11, 1403–1428. [Google Scholar] [CrossRef]
- Wilkins, T.; Gillies, R.A.; Thomas, A.M.; Wagner, P.J. The prevalence of dysphagia in primary care patients: A HamesNet Research Network study. J. Am. Board Fam. Med. 2007, 20, 144–150. [Google Scholar] [CrossRef] [PubMed]
- Namiki, C.; Hara, K.; Tohara, H.; Kobayashi, K.; Chantaramanee, A.; Nakagawa, K.; Saitou, T.; Yamaguchi, K.; Yoshimi, K.; Nakane, A.; et al. Tongue-pressure resistance training improves tongue and suprahyoid muscle functions simultaneously. Clin. Interv. Aging 2019, 22, 601–608. [Google Scholar] [CrossRef] [PubMed]
- Park, J.S.; Oh, D.H.; Chang, M. Comparison of maximal tongue strength and tongue strength used during swallowing in relation to age in healthy adults. J. Phys. Sci. 2016, 28, 442–445. [Google Scholar] [CrossRef]
- No Problems with Swallowing and Guarantee for Nutritional Intake. Available online: https://www.hpa.gov.tw/Pages/Detail.aspx?nodeid=1137&pid=8068 (accessed on 10 July 2020).
- Vanderwegen, J.; Guns, C.; VanNuffelen, G.; Elen, R.; DeBodt, M. The influence of age, sex, bulb position, visual feedback, and the order of testing on maximum anterior and posterior tongue strength and endurance in healthy Belgian adults. Dysphagia 2013, 28, 159–166. [Google Scholar] [CrossRef]
- Chun, H.L.; Chung, S.Y.; Hwu, Y.J. The Discourse on Measuring Frequency of Tongue Strength. Open J. Dent. Oral Health 2019, 1, 3–7. [Google Scholar] [CrossRef]
- IOPI User Manual. Available online: https://manualzz.com/doc/7303147/iopi%C2%AE-user-manual (accessed on 10 July 2020).
- Chung, S.Y.; Kuo, C.T.; Liou, B.K.; Lu, C.W.; Hwu, Y.J. The influence of age, gender, and BMI on tongue and lip strength in healthy adults. Ann. Otolaryngol. Rhinol. 2019, 6, 1225. [Google Scholar]
- Youmans, S.R.; Stierwalt, J.A. Measures of tongue function related to normal swallowing. Dysphagia 2006, 21, 102–111. [Google Scholar] [CrossRef]
- Gingrich, L.L.; Stierwalt, J.A.G.; Hageman, C.F.; LaPointe, L.L. Lingual propulsive pressures across consistencies generated by the anteromedian and posteromedian tongue by healthy young adults. J. Speech Lang. Hear. Res. 2012, 55, 960–972. [Google Scholar] [CrossRef]
- Clark, H.M.; Henson, P.A.; Barber, W.D.; Stierwalt, J.A.; Sherrill, M. Relationships among subjective and objective measures of tongue strength and oral phase swallowing impairments. Am. J. Speech Lang. Pathol. 2003, 12, 40–50. [Google Scholar] [CrossRef]
- Pitts, L.L.; Stierwalt, J.A.G.; Hageman, C.F.; LaPointe, L.L. The Influence of oropalatal dimensions on the measurement of tongue strength. Dysphagia 2017, 32, 759–766. [Google Scholar] [CrossRef] [PubMed]
- IOPI Medical Professionals. Available online: https://iopimedical.com/medical-professionals/ (accessed on 13 October 2020).
- Henderson, B. Testing experimental data for univariate normality. Clin. Chim. Acta 2006, 366, 112–129. [Google Scholar] [CrossRef]
- Vitali, C.; Baldanzi, C.; Crispiatico, V.; Polini, F.; Ammenti, P.; Montesano, A.; Cattaneo, D. Effect of Impairment-Oriented and Function-Oriented Exercises on Mouth Function in Subjects with Systemic Sclerosis. Folia Phoniatr. Logop. 2020, 72, 389–401. [Google Scholar] [CrossRef]
- An Introduction to Value at Risk (VAR). Available online: https://www.investopedia.com/articles/04/092904.asp (accessed on 2 July 2020).
- Jeong, D.M.; Shin, Y.J.; Lee, N.R.; Lim, H.K.; Choung, H.W.; Pang, K.M.; Kim, B.J.; Kim, S.M.; Lee, J.H. Maximal strength and endurance scores of the tongue, lip, and cheek in healthy, normal Koreans. J. Korean Assoc. Oral Maxillofac. Surg. 2017, 43, 221–228. [Google Scholar] [CrossRef] [PubMed]
- Prandini, E.L.; Totta, T.; da Rocha Salles Bueno, M.; Rosa, R.R.; Giglio, L.D.; Trawitzki, L.V.; Berretin-Felix, G.; de Felício, C.M.; Genaro, K.F. Analysis of tongue pressure in Brazilian young adults. CoDAS 2015, 27, 478–482. [Google Scholar] [CrossRef]
- Peladeau-Pigeon, M.; Steele, C.M. Age-related variability in tongue pressure patterns for maximum isometric and saliva swallowing tasks. J. Speech Lang. Hear. Res. 2017, 60, 3177–3184. [Google Scholar] [CrossRef] [PubMed]

| Part | Item | Bulb Placement | Measuring Procedure |
|---|---|---|---|
| Part 1: Maximum isometric pressure | 1. Maximum isometric pressure of the lips. | Tongue bulb placed inside the cheek, immediately lateral to the corner of the mouth. | Participants squeezed the bulb against the buccal surface of the teeth by pouting the lips as hard as possible. |
| 2. Maximum isometric pressure of the anterior tongue. | Tongue bulb placed behind the central incisors. | 1. Participants were requested to squeeze the bulb between the tongue and hard palate with maximum effort for nearly 2 s. 2. Participants were allowed to rest for 10 s between trials. | |
| 3. Maximum isometric pressure of the posterior tongue. | Tongue bulb aligned with the first molars. | Participants were asked to follow the same measuring procedures used in the strength measurement of the anterior tongue. | |
| Part 2: Tongue endurance | 4. Endurance of the anterior tongue. | Same placement as used in the strength measurements. | 1. The target force was 50% of the subject’s maximum isometric pressure of the anterior tongue. 2. Participants were required to press the bulb against the hard palate with the tongue as hard as necessary to sustain the target force for as long as possible. 3. Measurement was initiated when the pressure reached or exceeded the target force and terminated when the pressure dropped steeply < 50% of the target force for ≥0.5 s. |
| 5. Endurance of the posterior tongue. | Same placement as used in the strength measurements. | Participants were asked to follow the same measuring procedure used in the endurance measurement of the anterior tongue. | |
| Part 3: Swallowing pressure | 6. Saliva/water swallowing pressure of the lips. | Same placement as used in the strength measurements. | 1. Place the bulb in the specified position. 2. The participants were asked to swallow their saliva or 5 mL of water in a comfortable manner. |
| 7. Saliva/water swallowing pressure of the anterior tongue. | Same placement as used in the strength measurements. | Participants were asked to follow the same measuring procedure used in the saliva/water swallowing pressure measurement of the lips. | |
| 8. Saliva/water swallowing pressure of the posterior tongue. | Same placement as used in the strength measurements. | Participants were asked to follow the same measuring procedure used in the saliva/water swallowing pressure measurement of the lips. |
| Variable | No (%) | Mean (SD) |
|---|---|---|
| Gender | ||
| Male | 49 (32.7) | |
| Female | 101 (67.3) | |
| Age (years) | 36.1 (14.9), Range: 20–79 | |
| 20–29 | 67 (44.7) | |
| 30–39 | 23 (16.7) | |
| 40–49 | 30 (20.0) | |
| 50–59 | 18 (12.0) | |
| Above 60 | 10 (6.7) | |
| Body mass index (BMI) | 24.1 (3.9) | |
| Normal (18.5–24.0) | 69 (46.0) | |
| Abnormal | 81 (54.0) | |
| Below 18.5 | 8 (5.4) | |
| Above 24.0 | 73 (48.6) |
| Variables | Mean (SD) | 95% CI Mean | Min | Max | Skewness | Kurtosis | Shapiro-Wilk p a |
|---|---|---|---|---|---|---|---|
| Lip (kPa) | |||||||
| MIPlip | 24.81(5.64) | 23.88–25.73 | 12 | 39 | 0.45 | −0.14 | 0.012 |
| SSPlip | 23.82 (6.91) | 22.68–24.94 | 5 | 40 | 0.05 | −0.05 | 0.190 |
| WSPlip | 21.95 (7.89) | 20.65–23.25 | 3 | 44 | −0.08 | 0.02 | 0.197 |
| Tongue (kPa) | |||||||
| MIPant | 55.95 (14.13) | 53.67–58.22 | 17 | 93 | −0.05 | 0.37 | 0.127 |
| SSPant | 47.91 (15.29) | 45.43–50.37 | 11 | 86 | −0.23 | −0.38 | 0.130 |
| WSPant | 45.16 (16.21) | 42.54–47.77 | 9 | 84 | −0.23 | −0.69 | 0.014 |
| MIPpost | 53.23 (12.24) | 51.26–55.21 | 25 | 82 | −0.01 | −0.09 | 0.079 |
| SSPpost | 48.11 (14.91) | 45.70–50.51 | 8 | 82 | −0.32 | −0.31 | 0.089 |
| WSPpost | 43.38 (15.42) | 40.89–45.86 | 6 | 84 | −0.16 | −0.56 | 0.008 |
| Endurance (sec) | |||||||
| Eant | 13.86 (7.08) | 12.64–15.07 | 2.16 | 33.62 | 0.69 | 0.49 | <0.001 |
| Epost | 10.06 (5.40) | 9.14–10.97 | 1.65 | 24.05 | 0.53 | −0.31 | <0.001 |
| Region | 1% | 5% | 10% | 50% |
|---|---|---|---|---|
| Anterior tongue | 23 | 33 | 38 | 55.95 (14.13) |
| Posterior Tongue | 25 | 33 | 38 | 53.23 (12.24) |
| Variable | M(SD) | Sphericity (p) | F | p |
|---|---|---|---|---|
| Lip (kPa) | ||||
| MIPlip | <0.001 | F (1.69, 8.37) = 0.51 | 0.599 | |
| 1st | 23.31 (7.16) | |||
| 2nd | 23.66 (7.33) | |||
| 3rd | 23.71 (7.80) | |||
| SSPlip | <0.001 | F (1.72, 24.06) = 1.47 | 0.233 | |
| 1st | 22.82 (9.04) | |||
| 2nd | 22.12 (8.30) | |||
| 3rd | 22.26 (8.27) | |||
| WSPlip | 0.367 | F (2, 13.54) = 1.09 | 0.338 | |
| 1st | 20.85 (9.34) | |||
| 2nd | 20.82 (9.70) | |||
| 3rd | 20.31 (8.95) | |||
| Tongue (kPa) | ||||
| MIPant | <0.001 | F (1.81, 16.96) = 0.38 | 0.661 | |
| 1st | 51.11 (15.33) | |||
| 2nd | 51.71 (14.70) | |||
| 3rd | 51.59 (14.88) | |||
| SSPant | 0.645 | F (2, 49.02) = 1.02 | 0.360 | |
| 1st | 42.94 (16.81) | |||
| 2nd | 41.94 (16.68) | |||
| 3rd | 42.92 (15.40) | |||
| WSPant | 0.003 | F (1.86, 138.12) = 2.60 | 0.080 | |
| 1st | 38.89 (16.26) | |||
| 2nd | 39.36 (16.01) | |||
| 3rd | 40.67 (17.58) | |||
| MIPpost | <0.001 | F (1.74, 15.51) = 0.44 | 0.619 | |
| 1st | 49.45 (12.38) | |||
| 2nd | 49.32 (12.40) | |||
| 3rd | 48.88 (13.37) | |||
| SSPpost | 0.469 | F (2, 26.13) = 0.71 | 0.494 | |
| 1st | 43.91 (15.72) | |||
| 2nd | 43.45 (15.53) | |||
| 3rd | 43.07 (14.81) | |||
| WSPpost | 0.348 | F (2, 0.21) = 0.01 | 0.994 | |
| 1st | 38.46 (16.22) | |||
| 2nd | 38.51 (14.70) | |||
| 3rd | 38.53 (15.45) | |||
| Endurance (sec) | ||||
| Eant | <0.001 | F (1.74, 290.86) = 1.24 | 0.288 | |
| 1st | 16.28 (21.46) | |||
| 2nd | 14.45 (16.57) | |||
| 3rd | 13.77 (13.84) | |||
| Epost | 0.139 | F (2, 136.76) = 1.07 | 0.345 | |
| 1st | 11.77 (18.53) | |||
| 2nd | 11.04 (19.60) | |||
| 3rd | 9.88 (10.54) |
Publisher’s Note: MDPI stays neutral with regard to jurisdictional claims in published maps and institutional affiliations. |
© 2020 by the authors. Licensee MDPI, Basel, Switzerland. This article is an open access article distributed under the terms and conditions of the Creative Commons Attribution (CC BY) license (http://creativecommons.org/licenses/by/4.0/).
Share and Cite
Wu, S.-J.; Wang, C.-C.; Lin, F.-Y.; Tseng, K.-Y.; Hwu, Y.-J. Analysis of Labial and Lingual Strength among Healthy Chinese Adults in Taiwan. Int. J. Environ. Res. Public Health 2020, 17, 7904. https://doi.org/10.3390/ijerph17217904
Wu S-J, Wang C-C, Lin F-Y, Tseng K-Y, Hwu Y-J. Analysis of Labial and Lingual Strength among Healthy Chinese Adults in Taiwan. International Journal of Environmental Research and Public Health. 2020; 17(21):7904. https://doi.org/10.3390/ijerph17217904
Chicago/Turabian StyleWu, Shang-Jung, Chun-Chieh Wang, Feng-Yu Lin, Kai-Yu Tseng, and Yueh-Juen Hwu. 2020. "Analysis of Labial and Lingual Strength among Healthy Chinese Adults in Taiwan" International Journal of Environmental Research and Public Health 17, no. 21: 7904. https://doi.org/10.3390/ijerph17217904
APA StyleWu, S.-J., Wang, C.-C., Lin, F.-Y., Tseng, K.-Y., & Hwu, Y.-J. (2020). Analysis of Labial and Lingual Strength among Healthy Chinese Adults in Taiwan. International Journal of Environmental Research and Public Health, 17(21), 7904. https://doi.org/10.3390/ijerph17217904

