Optimized Pretreatment of Non-Thermal Plasma for Advanced Sewage Oxidation
Abstract
1. Introduction
2. Materials and Methods
2.1. Characteristics of Wastewater
2.2. Experimental Set-up of the NTP
2.3. Operating Procedures of NTP
2.4. Experimental Design
2.5. Statistical Analysis and Regressions
2.6. Analytical Methods
3. Results and Discussion
3.1. Features of NTP During Wastewater Treatment
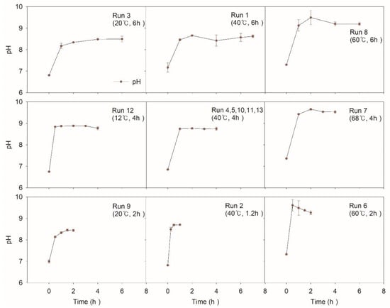
3.1.1. pH
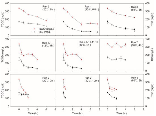
3.1.2. TCOD and TSS
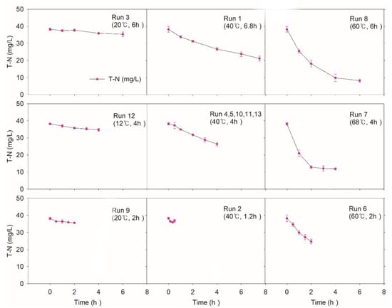
3.1.3. TN
3.2. Optimization of Pollutant Removal by Central Composition Design
3.2.1. Optimal Operating Condition for TCOD Removal
3.2.2. Optimal Operating Condition for TSS Removal
3.2.3. Optimal Operating Condition for TN Removal
3.2.4. Overlay Plot for Process Optimization
4. Conclusions
Author Contributions
Funding
Conflicts of Interest
References
- Panizza, M.; Cerisola, G. Direct and mediated anodic oxidation of organic pollutants. Chem. Rev. 2009, 109, 6541–6569. [Google Scholar] [CrossRef] [PubMed]
- Khulbe, K.; Feng, C.; Matsuura, T.; Ismail, A. Progresses in membrane and advanced oxidation processes for water treatment. Membr. Water Treat. 2012, 3, 181–200. [Google Scholar] [CrossRef]
- Mazhar, M.A.; Khan, N.A.; Ahmed, S.; Khan, A.H.; Hussain, A.; Changani, F.; Yousefi, M.; Ahmadi, S.; Vambol, V. Chlorination disinfection by-products in Municipal drinking water–A review. J. Clean. Prod. 2020, 273, 123159. [Google Scholar] [CrossRef]
- Glaze, W.H.; Kang, J.-W.; Chapin, D.H. The chemistry of water treatment processes involving ozone, hydrogen peroxide and ultraviolet radiation. Ozone-Sci. Eng. 1987, 9, 335–352. [Google Scholar] [CrossRef]
- Andreozzi, R.; Caprio, V.; Insola, A.; Marotta, R. Advanced oxidation processes (AOP) for water purification and recovery. Catal. Today 1999, 53, 51–59. [Google Scholar] [CrossRef]
- Tony, M.A.; Zhao, Y.Q.; Fu, J.F.; Tayeb, A.M. Conditioning of aluminium-based water treatment sludge with Fenton’s reagent: Effectiveness and optimising study to improve dewaterability. Chemosphere 2008, 72, 673–677. [Google Scholar] [CrossRef]
- Wink, D.A.; Nims, R.W.; Saavedra, J.E.; Utermahlen, W.E.; Ford, P.C. The Fenton oxidation mechanism: Reactivities of biologically relevant substrates with two oxidizing intermediates differ from those predicted for the hydroxyl radical. Proc. Natl. Acad. Sci. USA 1994, 91, 6604–6608. [Google Scholar] [CrossRef]
- Ma, J.; Sui, M.; Zhang, T.; Guan, C. Effect of pH on MnOx/GAC catalyzed ozonation for degradation of nitrobenzene. Water Res. 2005, 39, 779–786. [Google Scholar] [CrossRef]
- Fischbacher, A.; von Sonntag, J.; von Sonntag, C.; Schmidt, T.C. The OH Radical Yield in the H2O2 + O3 (Peroxone) Reaction. Environ. Sci. Technol. 2013, 47, 9959–9964. [Google Scholar] [CrossRef]
- Rosenfeldt, E.J.; Linden, K.G. Degradation of endocrine disrupting chemicals bisphenol A, ethinyl estradiol, and estradiol during UV photolysis and advanced oxidation processes. Environ. Sci. Technol. 2004, 38, 5476–5483. [Google Scholar] [CrossRef]
- Deng, Y.; Zhao, R. Advanced Oxidation Processes (AOPs) in Wastewater Treatment. Curr. Pollut. Rep. 2015, 1, 167–176. [Google Scholar] [CrossRef]
- Krishna, S.; Ceriani, E.; Marotta, E.; Giardina, A.; Špatenka, P.; Paradisi, C. Products and mechanism of verapamil removal in water by air non-thermal plasma treatment. Chem. Eng. J. 2016, 292, 35–41. [Google Scholar] [CrossRef]
- Lee, D.; Lee, J.-C.; Nam, J.-Y.; Kim, H.-W. Degradation of sulfonamide antibiotics and their intermediates toxicity in an aeration-assisted non-thermal plasma while treating strong wastewater. Chemosphere 2018, 209, 901–907. [Google Scholar] [CrossRef] [PubMed]
- Hashim, S.A.; binti Samsudin, F.N.D.; San Wong, C.; Bakar, K.A.; Yap, S.L.; Zin, M.F.M. Non-thermal plasma for air and water remediation. Arch. Biochem. Biophys. 2016, 605, 34–40. [Google Scholar] [CrossRef] [PubMed]
- Moreau, M.; Orange, N.; Feuilloley, M.G.J. Non-thermal plasma technologies: New tools for bio-decontamination. Biotechnol. Adv. 2008, 26, 610–617. [Google Scholar] [CrossRef]
- Jiang, B.; Zheng, J.; Qiu, S.; Wu, M.; Zhang, Q.; Yan, Z.; Xue, Q. Review on electrical discharge plasma technology for wastewater remediation. Chem. Eng. J. 2014, 236, 348–368. [Google Scholar] [CrossRef]
- Sato, M.; Ohgiyama, T.; Clements, J.S. Formation of chemical species and their effects on microorganisms using a pulsed high-voltage discharge in water. IEEE Trans. Ind. Appl. 1996, 32, 106–112. [Google Scholar] [CrossRef]
- Yadav, D.K.; Adhikari, M.; Kumar, S.; Ghimire, B.; Han, I.; Kim, M.-H.; Choi, E.-H. Cold atmospheric plasma generated reactive species aided inhibitory effects on human melanoma cells: An in vitro and in silico study. Sci. Rep. 2020, 10, 3396. [Google Scholar] [CrossRef]
- Wang, Y.; Wei, Y.; Liu, J. Effect of H2O2 dosing strategy on sludge pretreatment by microwave-H2O2 advanced oxidation process. J. Hazard. Mater. 2009, 169, 680–684. [Google Scholar] [CrossRef]
- Sirés, I.; Brillas, E.; Oturan, M.A.; Rodrigo, M.A.; Panizza, M. Electrochemical advanced oxidation processes: Today and tomorrow. A review. Environ. Sci. Pollut. Res. 2014, 21, 8336–8367. [Google Scholar] [CrossRef]
- Kenge, A.A.; Liao, P.H.; Lo, K.V. Role of mixing on microwave-enhanced advanced oxidation process in treating sewage sludge. J. Environ. Sci. Health Part A 2008, 43, 1431–1440. [Google Scholar] [CrossRef] [PubMed]
- Wong, W.T.; Chan, W.I.; Liao, P.H.; Lo, K.V. A hydrogen peroxide/microwave advanced oxidation process for sewage sludge treatment. J. Environ. Sci. Health Part A 2006, 41, 2623–2633. [Google Scholar] [CrossRef] [PubMed]
- Kim, H.-J.; Won, C.-H.; Kim, H.-W. Pathogen Deactivation of Glow Discharge Cold Plasma While Treating Organic and Inorganic Pollutants of Slaughterhouse Wastewater. Water Air Soil Pollut. 2018, 229, 237. [Google Scholar] [CrossRef]
- Guo, J.-S.; Abbas, A.A.; Chen, Y.-P.; Liu, Z.-P.; Fang, F.; Chen, P. Treatment of landfill leachate using a combined stripping, Fenton, SBR, and coagulation process. J. Hazard. Mater. 2010, 178, 699–705. [Google Scholar] [CrossRef]
- Montgomery, D.C. Design and Analysis of Experiments, 8th ed.; John Wiley & Sons, Incorporated: Hoboken, NJ, USA, 2012. [Google Scholar]
- Hosseinzadeh, A.; Najafpoor, A.A.; Jafari, A.J.; Jazani, R.K.; Baziar, M.; Bargozin, H.; Piranloo, F.G. Application of response surface methodology and artificial neural network modeling to assess non-thermal plasma efficiency in simultaneous removal of BTEX from waste gases: Effect of operating parameters and prediction performance. Process Saf. Environ. Prot. 2018, 119, 261–270. [Google Scholar] [CrossRef]
- Montgomery, D.C. Design and Analysis of Experiments; John Wiley & Sons: Hoboken, NJ, USA, 2017. [Google Scholar]
- Gonzalez-Mira, E.; Egea, M.; Souto, E.; Calpena, A.; García, M. Optimizing flurbiprofen-loaded NLC by central composite factorial design for ocular delivery. Nanotechnology 2010, 22, 045101. [Google Scholar] [CrossRef]
- Hao, J.; Wang, F.; Wang, X.; Zhang, D.; Bi, Y.; Gao, Y.; Zhao, X.; Zhang, Q. Development and optimization of baicalin-loaded solid lipid nanoparticles prepared by coacervation method using central composite design. Eur. J. Pharm. Sci. 2012, 47, 497–505. [Google Scholar] [CrossRef]
- Rice, E.W.B.; Eaton, R.B.; Clesceri, A.D.; Bridgewater, L.S. Standard Methods for the Examination of Water and Wastewater; American Public Health Association: Washington, DC, USA, 2012; p. 0875530133. [Google Scholar]
- Sato, Y.; Yurugi, M.; Fujiwara, K.; Takishima, S.; Masuoka, H. Solubilities of carbon dioxide and nitrogen in polystyrene under high temperature and pressure. Fluid Phase Equilibria 1996, 125, 129–138. [Google Scholar] [CrossRef]
- Abdelmalek, F.; Ghezzar, M.R.; Belhadj, M.; Addou, A.; Brisset, J.L. Bleaching and degradation of textile dyes by nonthermal plasma process at atmospheric pressure. Ind. Eng. Chem. Res. 2006, 45, 23–29. [Google Scholar] [CrossRef]
- Kim, H.-J.; Nam, G.-S.; Jang, J.-S.; Won, C.-H.; Kim, H.-W. Cold Plasma Treatment for Efficient Control over Algal Bloom Products in Surface Water. Water 2019, 11, 1513. [Google Scholar] [CrossRef]
- Hansson, H.; Kaczala, F.; Amaro, A.; Marques, M.; Hogland, W. Advanced oxidation treatment of recalcitrant wastewater from a wood-based industry: A comparative study of O3 and O3/UV. Water Air Soil Pollut. 2015, 226, 229. [Google Scholar] [CrossRef]
- Ortner, M.; Leitzinger, K.; Skupien, S.; Bochmann, G.; Fuchs, W. Efficient anaerobic mono-digestion of N-rich slaughterhouse waste: Influence of ammonia, temperature and trace elements. Bioresour. Technol. 2014, 174, 222–232. [Google Scholar] [CrossRef] [PubMed]
- Liao, P.; Chen, A.; Lo, K. Removal of nitrogen from swine manure wastewaters by ammonia stripping. Bioresour. Technol. 1995, 54, 17–20. [Google Scholar] [CrossRef]
- Guštin, S.; Marinšek-Logar, R. Effect of pH, temperature and air flow rate on the continuous ammonia stripping of the anaerobic digestion effluent. Process Saf. Environ. Prot. 2011, 89, 61–66. [Google Scholar] [CrossRef]
- Saracco, G.; Genon, G. High temperature ammonia stripping and recovery from process liquid wastes. J. Hazard. Mater. 1994, 37, 191–206. [Google Scholar] [CrossRef]
- Cao, L.; Wang, J.; Xiang, S.; Huang, Z.; Ruan, R.; Liu, Y. Nutrient removal from digested swine wastewater by combining ammonia stripping with struvite precipitation. Environ. Sci. Pollut. Res. 2019, 26, 6725–6734. [Google Scholar] [CrossRef]
- Carocho, M.; Ferreira, I.C.J.F.; Toxicology, C. A review on antioxidants, prooxidants and related controversy: Natural and synthetic compounds, screening and analysis methodologies and future perspectives. Food Chem. Toxicol. 2013, 51, 15–25. [Google Scholar] [CrossRef]
- Mansouriieh, N.; Sohrabi, M.R.; Khosravi, M. Optimization of profenofos organophosphorus pesticide degradation by zero-valent bimetallic nanoparticles using response surface methodology. Arab. J. Chem. 2019, 12, 2524–2532. [Google Scholar] [CrossRef]
- Asaithambi, P.; Sajjadi, B.; Aziz, A.R.A.; Daud, W.M.A.B.W. Ozone (O3) and sono (US) based advanced oxidation processes for the removal of color, COD and determination of electrical energy from landfill leachate. Sep. Purif. Technol. 2017, 172, 442–449. [Google Scholar] [CrossRef]
- Mukimin, A.; Vistanty, H.; Zen, N. Oxidation of textile wastewater using cylinder Ti/β-PbO2 electrode in electrocatalytic tube reactor. Chem. Eng. J. 2015, 259, 430–437. [Google Scholar] [CrossRef]
- Módenes, A.; Espinoza-Quiñones, F.; Borba, F.; Manenti, D. Performance evaluation of an integrated photo-Fenton–Electrocoagulation process applied to pollutant removal from tannery effluent in batch system. Chem. Eng. J. 2012, 197, 1–9. [Google Scholar] [CrossRef]
- Fernandes, A.; Santos, D.; Pacheco, M.; Ciríaco, L.; Lopes, A. Nitrogen and organic load removal from sanitary landfill leachates by anodic oxidation at Ti/Pt/PbO2, Ti/Pt/SnO2-Sb2O4 and Si/BDD. J. Appl. Catal. B Environ. 2014, 148, 288–294. [Google Scholar] [CrossRef]






| Item | Unit | Average | Standard Deviation |
|---|---|---|---|
| Total chemical oxygen demand (TCOD) | mg/L | 337.5 | 61.3 |
| Total nitrogen (TN) | mg/L | 38.2 | 1.9 |
| Total phosphorus (TP) | mg/L | 8.5 | 1.7 |
| Total suspended solids (TSS) | mg/L | 171.0 | 50.5 |
| pH | - | 6.8 | 0.1 |
| Conductivity | S/m | 8.7 × 103 | 0.3 × 103 |
| Total Coliforms | cells/mL | 135,000 | - |
| Independent Variables | Symbol | Unit | Levels of Coded a and Actual Variable | ||||
|---|---|---|---|---|---|---|---|
| −1.414 | −1 | 0 | 1 | 1.414 | |||
| Temperature | X1 | °C | 12 | 20 | 40 | 60 | 68 |
| CT | X2 | h | 1.2 | 2 | 4 | 6 | 6.8 |
| Run | Removal Rate, k (h−1) | Coefficient of Determination, R2 | ||||
|---|---|---|---|---|---|---|
| TCOD | TSS | TN | TCOD | TSS | TN | |
| 1 | 0.40 | 0.60 | 0.18 | 0.96 | 0.99 | 0.99 |
| 2 | 0.90 | 0.99 | 0.17 | 0.72 | 0.98 | 0.88 |
| 3 | 0.14 | 0.06 | 0.01 | 0.99 | 0.96 | 0.92 |
| 4 | 1.42 | 1.39 | 0.26 | 0.87 | 0.99 | 0.99 |
| 5 | 1.10 | 1.38 | 0.28 | 0.86 | 0.97 | 0.99 |
| 6 | 0.24 | 0.30 | 0.32 | 0.62 | 0.97 | 0.99 |
| 7 | 0.01 | 0.30 | 1.08 | 0.02 | 0.29 | 0.99 |
| 8 | 0.36 | 0.47 | 0.51 | 0.99 | 0.99 | 0.99 |
| 9 | 0.47 | 0.06 | 0.03 | 0.97 | 0.52 | 0.81 |
| 10 | 1.12 | 1.18 | 0.28 | 0.85 | 0.97 | 0.98 |
| 11 | 1.35 | 1.29 | 0.28 | 0.96 | 0.97 | 0.99 |
| 12 | 0.17 | 1.07 | 0.03 | 0.67 | 0.99 | 0.96 |
| 13 | 1.30 | 1.39 | 0.27 | 0.96 | 0.99 | 0.98 |
| Source | Sum of Squares | Df | Mean Square | F Value | p-Value Prob > F |
|---|---|---|---|---|---|
| Model | 3.09 | 5 | 0.62 | 34.04 | <0.0001 |
| Temperature | 0.007 | 1 | 0.007 | 0.41 | 0.5447 |
| CT | 0.11 | 1 | 0.11 | 5.86 | 0.0460 |
| Temperature × CT | 0.050 | 1 | 0.050 | 2.76 | 0.1406 |
| Temperature2 | 2.52 | 1 | 2.52 | 138.51 | <0.0001 |
| CT2 | 0.71 | 1 | 0.71 | 39.13 | 0.0004 |
| Source | Sum of Squares | Df | Mean Square | F Value | p-Value Prob > F |
|---|---|---|---|---|---|
| Model | 2.24 | 5 | 0.45 | 3.12 | 0.0848 |
| Temperature | 0.023 | 1 | 0.023 | 0.16 | 0.7001 |
| CT | 0.018 | 1 | 0.018 | 0.13 | 0.7331 |
| Temperature × CT | 0.008 | 1 | 0.008 | 0.057 | 0.8181 |
| Temperature2 | 1.40 | 1 | 1.40 | 9.76 | 0.0167 |
| CT2 | 1.08 | 1 | 1.08 | 7.49 | 0.0291 |
| Source | Sum of Squares | Df | Mean Square | F Value | p-Value Prob > F |
|---|---|---|---|---|---|
| Model | 0.81 | 5 | 0.16 | 10.53 | 0.0037 |
| Temperature | 0.65 | 1 | 0.65 | 42.31 | 0.0003 |
| CT | 0.004 | 1 | 0.004 | 0.28 | 0.6162 |
| Temperature × CT | 0.011 | 1 | 0.011 | 0.71 | 0.4284 |
| Temperature2 | 0.076 | 1 | 0.076 | 4.90 | 0.0625 |
| CT2 | 0.050 | 1 | 0.050 | 3.27 | 0.1136 |
| Division | Temperature (°C) | Contact Time (h) | Treatment Type | Wastewater Source | Removal Efficiency (%) | Reference |
|---|---|---|---|---|---|---|
| TCOD | 30 | 3 | O3 | Landfill leachate | 14.5 | [42] |
| O3/H2O2 | 35.0 | |||||
| 40 | 6 | NTP | Sewage | 58.2 | This study | |
| TSS | - | 4 | Ti/β-PbO2 | Textile | 63.8 | [43] |
| - | 2 | Photo-Fenton-Electrocoagulation | Tannery effluent | 65.0 | [44] | |
| 40 | 6 | NTP | Sewage | 84.5 | This study | |
| TN | 22−25 | 6 | Ti/Pt/PbO2 | Landfill leachate | ~40 | [45] |
| Ti/Pt/SnO2-Sb2O4 | ~35 | |||||
| 60 | NTP | Sewage | 78.6 | This study |
Publisher’s Note: MDPI stays neutral with regard to jurisdictional claims in published maps and institutional affiliations. |
© 2020 by the authors. Licensee MDPI, Basel, Switzerland. This article is an open access article distributed under the terms and conditions of the Creative Commons Attribution (CC BY) license (http://creativecommons.org/licenses/by/4.0/).
Share and Cite
Kim, H.-J.; Won, C.-H.; Kim, H.-W. Optimized Pretreatment of Non-Thermal Plasma for Advanced Sewage Oxidation. Int. J. Environ. Res. Public Health 2020, 17, 7694. https://doi.org/10.3390/ijerph17207694
Kim H-J, Won C-H, Kim H-W. Optimized Pretreatment of Non-Thermal Plasma for Advanced Sewage Oxidation. International Journal of Environmental Research and Public Health. 2020; 17(20):7694. https://doi.org/10.3390/ijerph17207694
Chicago/Turabian StyleKim, Hee-Jun, Chan-Hee Won, and Hyun-Woo Kim. 2020. "Optimized Pretreatment of Non-Thermal Plasma for Advanced Sewage Oxidation" International Journal of Environmental Research and Public Health 17, no. 20: 7694. https://doi.org/10.3390/ijerph17207694
APA StyleKim, H.-J., Won, C.-H., & Kim, H.-W. (2020). Optimized Pretreatment of Non-Thermal Plasma for Advanced Sewage Oxidation. International Journal of Environmental Research and Public Health, 17(20), 7694. https://doi.org/10.3390/ijerph17207694

