Comparing the Use of Spatially Explicit Indicators and Conventional Indicators in the Evaluation of Healthy Cities: A Case Study in Shenzhen, China
Abstract
1. Introduction
2. Datasets and Methodologies
2.1. Study Site
2.2. Data Collection
2.3. Data Analysis
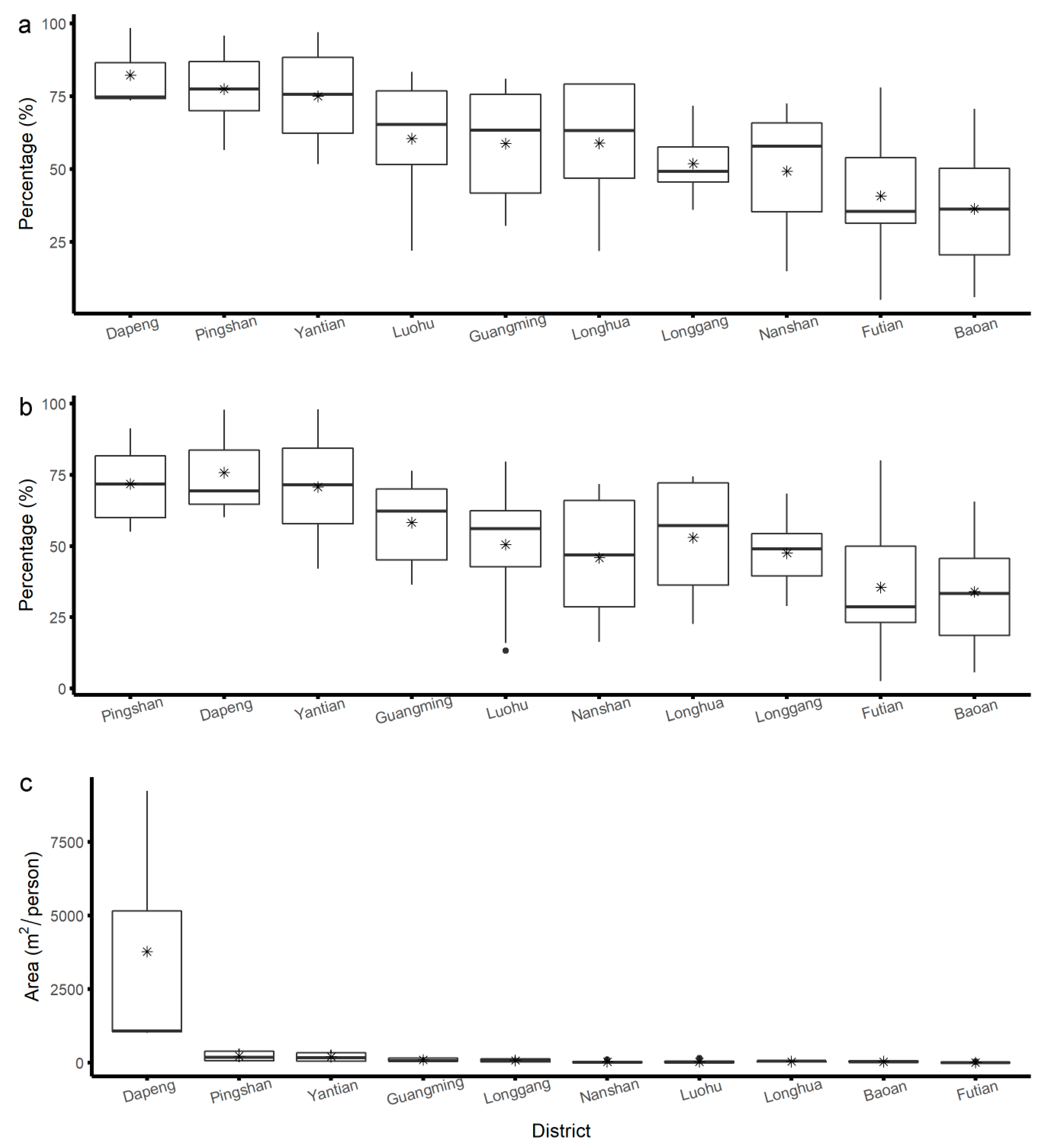
3. Results
3.1. Indicators of Green Infrastructure
3.2. Indicators of Transportation
3.3. Indicators of Utilities and Services
3.4. Indicators of Leisure and Recreation
3.5. Indicators of Utilities and Services
4. Discussion
4.1. Comparing Conventional Indicators and Spatially Explicit Indicators
4.2. Implications for Healthy City Practices
4.3. Limitations of the Current Study
5. Conclusions
Supplementary Materials
Author Contributions
Funding
Acknowledgments
Conflicts of Interest
References
- Day, K.; Alfonzo, M.; Chen, Y.; Guo, Z.; Lee, K.K. Overweight, Obesity, And inactivity and urban design in rapidly growing Chinese cities. Health Place 2013, 21, 29–38. [Google Scholar] [CrossRef] [PubMed]
- Zijlema, W.L.; Klijs, B.; Stolk, R.P.; Rosmalen, J.G. (Un)Healthy in the City: Respiratory, Cardiometabolic and Mental Health Associated with Urbanity. PLoS ONE 2015, 10, e0143910. [Google Scholar] [CrossRef] [PubMed]
- Lawrence, R.J. Urban health challenges in Europe. J. Urban Health 2013, 90, 23–36. [Google Scholar] [CrossRef] [PubMed]
- Lindgren, E.; Andersson, Y.; Suk, J.E.; Sudre, B.; Semenza, J.C. Public health: Monitoring EU emerging infectious disease risk due to climate change. Science 2012, 336, 418–419. [Google Scholar] [CrossRef] [PubMed]
- Smith, K.F.; Sax, D.F.; Gaines, S.D.; Guernier, V.; Guégan, J.F. Globalization of human infectious disease. Ecology 2007, 88, 1903–1910. [Google Scholar] [CrossRef]
- Wu, T.; Perrings, C.; Kinzig, A.; Collins, J.P.; Minteer, B.A.; Daszak, P. Economic growth, urbanization, globalization, and the risks of emerging infectious diseases in China: A review. Ambio 2017, 46, 18–29. [Google Scholar] [CrossRef]
- Ashton, J.; Grey, P.; Barnard, K. Healthy cities—WHO’s new public health initiative. Health Promot. Int. 1986, 1, 319–324. [Google Scholar] [CrossRef]
- WHO. Health Promotion Glossary. 1998. Available online: www.who.int/healthpromotion/about/HPR%20Glossary%201998.pdf (accessed on 24 July 2020).
- Ashton, J.; Tiliouine, A.; Kosinska, M. The World Health Organization European Healthy Cities Network 30 years on. Gac. Sanit. 2018, 32, 503–504. [Google Scholar] [CrossRef]
- Westphal, M.F.; Franceschini, M.C.; Setti, A.F.F. How can the healthy municipalities, cities and communities strategy advance the sustainable development goals agenda? Lessons from Agenda 21 and the MDGs in Brazil. In Lifelong Learning and Education in Healthy and Sustainable Cities World Sustainability Series; Azeiteiro, U., Akerman, M., Leal Filho, W., Setti, A., Brandli, L., Eds.; Springer: Cham, Switzerland, 2018; pp. 265–282. [Google Scholar] [CrossRef]
- Elfeky, S.; El-Adawy, M.; Rashidian, A.; Mandil, A.; Al-Mandhari, A. Healthy cities programme in the eastern mediterranean region: Concurrent progress and future prospects. East. Mediterr. Health J. 2019, 25, 445–446. [Google Scholar] [CrossRef]
- Simos, J.; Naissem, F.B.; Naissem, J.; Sokona, F.M.; De Dieu Konongo, J.; Sani, A.; Corburn, J.; Karanja, I.; Makau, J.; Aikins, A.D.G.; et al. Healthy cities in Africa: A continent of difference. In Healthy Cities: The Theory, Policy, and Practice of Value-Based Urban Planning; Springer: New York, NY, USA, 2017; pp. 89–132. [Google Scholar] [CrossRef]
- WHO Regional Office for Europe. Implementation Framework for Phase VII (2019–2024) of the WHO European Healthy Cities Network: Goals, Requirements and Strategic Approaches; WHO: Copenhagen, Denmark, 2019. [Google Scholar]
- De Leeuw, E. Do healthy cities work? A logic of method for assessing impact and outcome of healthy cities. J. Urban. Health 2012, 89, 217–231. [Google Scholar] [CrossRef]
- De Leeuw, E. Evaluating WHO healthy cities in europe: Issues and perspectives. J. Urban. Health 2013, 90, 14–22. [Google Scholar] [CrossRef] [PubMed]
- Pineo, H.; Glonti, K.; Rutter, H.; Zimmermann, N.; Wilkinson, P.; Davies, M. Urban Health Indicator Tools of the Physical Environment: A Systematic Review. J. Urban. Health 2018, 95, 613–646. [Google Scholar] [CrossRef] [PubMed]
- Webster, P.; Sanderson, D. Healthy cities indicators-a suitable instrument to measure health? J. Urban. Health 2013, 90, 52–61. [Google Scholar] [CrossRef] [PubMed]
- Remington, P.L.; Catlin, B.B.; Gennuso, K.P. The County Health Rankings: Rationale and methods. Popul. Health Metr. 2015, 13, 11. [Google Scholar] [CrossRef] [PubMed]
- National Health Campaign Committee. The Notice on Releasing the National Healthy Cities Indicator System (2018 Edition); National Health Campaign Committee: Beijing, China, 2018. [Google Scholar]
- Pineo, H.; Zimmermann, N.; Cosgrave, E.; Aldridge, R.W.; Acuto, M.; Rutter, H. Promoting a healthy cities agenda through indicators: Development of a global urban environment and health index. Cities Health 2018, 2, 27–45. [Google Scholar] [CrossRef]
- Costa, C.; Santana, P.; Dimitroulopoulou, S.; Burstrom, B.; Borrell, C.; Schweikart, J.; Dzurova, D.; Zangarini, N.; Katsouyanni, K.; Deboseree, P.; et al. Population health inequalities across and within european metropolitan areas through the lens of the euro-healthy population health index. Int. J. Environ. Res. Public Health 2019, 16, 836. [Google Scholar] [CrossRef]
- Dai, D.; Rothenberg, R.; Luo, R.; Weaver, S.R.; Stauber, C.E. Improvement of Geographic Disparities: Amelioration or Displacement? J. Urban Health 2017, 94, 417–428. [Google Scholar] [CrossRef]
- Xu, R.; Yang, G.; Qu, Z.; Chen, Y.; Liu, J.; Shang, L.; Liu, S.; Ge, Y.; Chang, J. City components–area relationship and diversity pattern: Towards a better understanding of urban structure. Sustain. Cities Soc. 2020, 60, 102272. [Google Scholar] [CrossRef]
- Li, M.; Shen, Z.; Hao, X. Revealing the relationship between spatio-temporal distribution of population and urban function with social media data. GeoJournal 2016, 81, 919–935. [Google Scholar] [CrossRef]
- Salvati, L. Population distribution and urban growth in Southern Italy, 1871-2011: Emergent polycentrism or path-dependent monocentricity? Urban. Geogr. 2014, 35, 440–453. [Google Scholar] [CrossRef]
- La Rosa, D.; Takatori, C.; Shimizu, H.; Privitera, R. A planning framework to evaluate demands and preferences by different social groups for accessibility to urban greenspaces. Sustain. Cities Soc. 2018, 36, 346–362. [Google Scholar] [CrossRef]
- Schädler, S.; Finkel, M.; Bleicher, A.; Morio, M.; Gross, M. Spatially explicit computation of sustainability indicator values for the automated assessment of land-use options. Landsc. Urban. Plan. 2013, 111, 34–45. [Google Scholar] [CrossRef]
- Silva, M.C.; Horta, I.M.; Leal, V.; Oliveira, V. A spatially-explicit methodological framework based on neural networks to assess the effect of urban form on energy demand. Appl. Energy 2017, 202, 386–398. [Google Scholar] [CrossRef]
- Wissen Hayek, U.; Efthymiou, D.; Farooq, B.; von Wirth, T.; Teich, M.; Neuenschwander, N.; Grêt-Regamey, A. Quality of urban patterns: Spatially explicit evidence for multiple scales. Landsc. Urban. Plan. 2015, 142, 47–62. [Google Scholar] [CrossRef]
- Etches, V.; Frank, J.; Di Ruggiero, E.; Manuel, D. Measuring population health: A review of indicators. Annu. Rev. Public Health 2006, 27, 29–55. [Google Scholar] [CrossRef]
- Shenzhen Statistics Bureau. Shenzhen Statistical Yearbook 2019; China Statistics Press: Beijing, China, 2020. [Google Scholar]
- Shenzhen Municipal Health Commission. Abstract of Health Statistics of Shenzhen 2019. Available online: http://wjw.sz.gov.cn/jksz/sjjd/content/post_7789540.html (accessed on 24 July 2020).
- Samson, M.M.; Crowe, A.; de Vreede, P.L.; Dessens, J.A.G.; Duursma, S.A.; Verhaar, H.J.J. Differences in gait parameters at a preferred walking speed in healthy subjects due to age, height and body weight. Aging. Clin. Exp. Res. 2001, 13, 16–21. [Google Scholar] [CrossRef]
- Schimpl, M.; Moore, C.; Lederer, C.; Neuhaus, A.; Sambrook, J.; Danesh, J.; Ouwehand, W.; Daumer, M. Association between Walking Speed and Age in Healthy, Free-Living Individuals Using Mobile Accelerometry—A Cross-Sectional Study. PLoS ONE 2011, 6, e23299. [Google Scholar] [CrossRef]
- World Health Organization. Urban Green Spaces and Health: A Review of Evidence; World Health Organization: Geneva, Switzerland, 2016. [Google Scholar]
- Aronson, R.E.; Norton, B.L.; Kegler, M.C. Achieving a “broad view of health”: Findings from the California healthy cities and communities evaluation. Health Educ. Behav. 2007, 34, 441–452. [Google Scholar] [CrossRef]
- Benbow, N.; Wang, Y.; Whitman, S. The Big Cities Health Inventory, 1997. J. Community Health 1998, 23, 471–489. [Google Scholar] [CrossRef]
- Teng, Y.C.; Kuo, C.L.; Chen, C.C.; Yeh, Y.H.; Kao, J.H.; Lin, B.C.; Fan, I.C.; Chan, T.C. Using government open data to construct a Taiwan online interactive map of disease causes of death. Taiwan J. Public Health 2016, 35, 553–566. [Google Scholar] [CrossRef]
- Van de Voorde, T. Spatially explicit urban green indicators for characterizing vegetation cover and public green space proximity: A case study on Brussels, Belgium. Int. J. Digit. Earth 2017, 10, 798–813. [Google Scholar] [CrossRef]
- Shi, L.; Lee, D.C.; Liang, H.; Zhang, L.; Makinen, M.; Blanchet, N.; Kidane, R.; Lindelow, M.; Wang, H.; Wu, S. Community health centers and primary care access and quality for chronically-ill patients—A case-comparison study of urban Guangdong Province, China. Int. J. Equity Health 2015, 14, 90. [Google Scholar] [CrossRef] [PubMed]
- Yip, W.; Fu, H.; Chen, A.T.; Zhai, T.; Jian, W.; Xu, R.; Pan, J.; Hu, M.; Zhou, Z.; Chen, Q.; et al. 10 years of health-care reform in China: Progress and gaps in Universal Health Coverage. Lancet 2019, 394, 1192–1204. [Google Scholar] [CrossRef]
- Evans Iv, J.E.; Perincherry, V.; Douglas Iii, G.B. Transit friendliness factor: Approach to quantifying transit access environment in a transportation planning model. Transp. Res. Rec. 1997, 1604, 32–39. [Google Scholar] [CrossRef]
- Engel-Yan, J.; Rudra, M.; Livett, C.; Nagorsky, R. Strategic station access planning for commuter rail balancing park-and-ride with other modes. Transp. Res. Rec. 2014, 2419, 82–91. [Google Scholar] [CrossRef]
- Chatzipoulidis, G.; Aretoulis, G.; Kalfakakou, G. A multicriteria ranking of Thessaloniki’s public hospitals based on their infrastructure adequacy. Springer Optim. Its Appl. 2017, 128, 177–196. [Google Scholar]
- Burke, T.; Stone, J.; Glackin, S.; Scheurer, J. Transport disadvantage and low-income rental housing. In AHURI Positioning Paper; Australian Housing and Urban Research Institute: Melbourne, Australia, 2014; Volume 157, pp. 1–62. [Google Scholar]
- Tsouros, A. City leadership for health and well-being: Back to the future. J. Urban. Health 2013, 90, 4–13. [Google Scholar] [CrossRef]
- Li, L.; Du, Q.; Ren, F.; Ma, X. Assessing spatial accessibility to hierarchical urban parks by multi-types of travel distance in Shenzhen, China. Int. J. Environ. Res. Public Health 2019, 16, 1038. [Google Scholar] [CrossRef]
- Güeita-Rodriguez, J.; Famoso-Pérez, P.; Salom-Moreno, J.; Carrasco-Garrido, P.; Pérez-Corrales, J.; Palacios-Ceña, D. Challenges affecting access to health and social care resources and time management among parents of children with rett syndrome: A qualitative case study. Int. J. Environ. Res. Public Health 2020, 17, 4466. [Google Scholar] [CrossRef]
- Feng, S.; Chen, L.; Sun, R.; Feng, Z.; Li, J.; Khan, M.S.; Jing, Y. The distribution and accessibility of urban parks in Beijing, China: Implications of social equity. Int. J. Environ. Res. Public Health 2019, 16, 4894. [Google Scholar] [CrossRef]
- Ilieva, R.T.; McPhearson, T. Social-media data for urban sustainability. Nat. Sustain. 2018, 1, 553–565. [Google Scholar] [CrossRef]





| Determinants | Conventional Indicators | Indicator Based on Building Floor Areas | Indicators Based on WeChat Populations |
|---|---|---|---|
| Green infrastructure | Green space per capita (m2/person) | Percentage of floor areas <300 m from green space with a minimum size of 1 ha (%) | Percentage of the WeChat population <300 m from green space with a minimum size of 1 ha (%) |
| Transportation | Number of transit stops and stations per 10,000 resident population (no./10,000 people) | Percentage of floor areas in 1000 m distance to a transit stop or station (%) | Percentage of the WeChat population in 1000 m distance to a transit stop or station (%) |
| Utilities and services | Number of doctors in community health lefts per 10,000 resident population (no./10,000 people) | Percentage of floor areas in 1000 m distance to a community health left (%) | Percentage of the WeChat population in 1000 m distance to a community health left (%) |
| Leisure and recreation | Sports facilities per 10,000 resident population (no./10,000 people) | Percentage of floor areas in 1000 m distance to a sports facility (%) | Percentage of the WeChat population in 1000 m distance to a sports facility (%) |
| District | Conventional Indicator (m2/person) | Ranking | Indicator Based on Building Floor Areas (%) | Ranking | Indicator Based on Wechat Populations (%) | Ranking |
|---|---|---|---|---|---|---|
| Baoan | 35.26 | 9 | 33.48 | 10 | 32.13 | 10 |
| Dapeng | 1751.20 | 1 | 78.09 | 1 | 67.58 | 2 |
| Futian | 13.18 | 10 | 41.87 | 9 | 35.03 | 9 |
| Guangming | 118.09 | 4 | 55.46 | 5 | 55.79 | 4 |
| Longgang | 80.31 | 5 | 50.61 | 7 | 46.58 | 8 |
| Longhua | 38.78 | 8 | 53.05 | 6 | 46.85 | 7 |
| Luohu | 41.22 | 7 | 59.35 | 4 | 49.02 | 5 |
| Nanshan | 43.06 | 6 | 48.54 | 8 | 47.60 | 6 |
| Pingshan | 245.36 | 2 | 74.82 | 2 | 69.84 | 1 |
| Yantian | 220.84 | 3 | 70.62 | 3 | 62.25 | 3 |
| District | Conventional Indicator (#/per 10,000 People) | Ranking | Indicator Based on Building Floor Areas (%) | Ranking | Indicator Based on WeChat Populations (%) | Ranking |
|---|---|---|---|---|---|---|
| Baoan | 6.94 | 5 | 99.66 | 5 | 98.87 | 7 |
| Dapeng | 16.11 | 1 | 95.20 | 10 | 97.40 | 10 |
| Futian | 4.32 | 10 | 100.0 | 1 | 99.97 | 1 |
| Guangming | 6.94 | 6 | 98.18 | 9 | 98.49 | 9 |
| Longgang | 8.44 | 3 | 99.25 | 6 | 99.18 | 5 |
| Longhua | 6.77 | 7 | 99.88 | 4 | 99.91 | 2 |
| Luohu | 5.12 | 9 | 99.90 | 3 | 99.86 | 3 |
| Nanshan | 6.73 | 8 | 99.94 | 2 | 99.20 | 4 |
| Pingshan | 11.77 | 2 | 98.94 | 7 | 98.94 | 6 |
| Yantian | 7.68 | 4 | 98.27 | 8 | 98.78 | 8 |
| District | Conventional Indicator (Doctor/per 10,000 People) | Ranking | Indicator Based on Building Floor Areas (%) | Ranking | Indicator Based on WeChat Populations (%) | Ranking |
|---|---|---|---|---|---|---|
| Baoan | 2.56 | 8 | 92.79 | 4 | 88.29 | 5 |
| Dapeng | 2.84 | 5 | 70.82 | 10 | 81.94 | 9 |
| Futian | 2.57 | 7 | 97.89 | 2 | 98.61 | 2 |
| Guangmin | 3.35 | 1 | 87.85 | 7 | 86.80 | 7 |
| Longang | 2.90 | 4 | 87.33 | 8 | 84.38 | 8 |
| Longhua | 2.24 | 10 | 90.85 | 5 | 87.91 | 6 |
| Luohu | 3.27 | 2 | 98.0 | 1 | 99.06 | 1 |
| Nanshan | 3.22 | 3 | 94.81 | 3 | 90.58 | 4 |
| Pingshan | 2.72 | 6 | 75.04 | 9 | 73.08 | 10 |
| Yantian | 2.52 | 9 | 89.02 | 6 | 93.46 | 3 |
| District | Conventional Indicator (#/per 10,000 People) | Ranking | Indicator Based on Building Floor Areas (%) | Ranking | Indicator Based on WeChat Populations (%) | Ranking |
|---|---|---|---|---|---|---|
| Baoan | 5.03 | 7 | 99.47 | 4 | 98.31 | 5 |
| Dapeng | 6.46 | 5 | 85.22 | 10 | 87.95 | 10 |
| Futian | 10.02 | 2 | 100.0 | 1 | 100.0 | 1 |
| Guangmin | 4.23 | 9 | 93.67 | 8 | 93.97 | 8 |
| Longang | 6.93 | 4 | 97.85 | 7 | 97.3 | 7 |
| Longhua | 5.29 | 6 | 99.07 | 5 | 98.9 | 4 |
| Luohu | 7.86 | 3 | 99.93 | 2 | 99.89 | 2 |
| Nanshan | 11.76 | 1 | 99.61 | 3 | 99.31 | 3 |
| Pingshan | 3.68 | 10 | 91.73 | 9 | 92.14 | 9 |
| Yantian | 4.90 | 8 | 98.04 | 6 | 97.79 | 6 |
© 2020 by the authors. Licensee MDPI, Basel, Switzerland. This article is an open access article distributed under the terms and conditions of the Creative Commons Attribution (CC BY) license (http://creativecommons.org/licenses/by/4.0/).
Share and Cite
Yang, J.; Luo, X.; Xiao, Y.; Shen, S.; Su, M.; Bai, Y.; Gong, P. Comparing the Use of Spatially Explicit Indicators and Conventional Indicators in the Evaluation of Healthy Cities: A Case Study in Shenzhen, China. Int. J. Environ. Res. Public Health 2020, 17, 7409. https://doi.org/10.3390/ijerph17207409
Yang J, Luo X, Xiao Y, Shen S, Su M, Bai Y, Gong P. Comparing the Use of Spatially Explicit Indicators and Conventional Indicators in the Evaluation of Healthy Cities: A Case Study in Shenzhen, China. International Journal of Environmental Research and Public Health. 2020; 17(20):7409. https://doi.org/10.3390/ijerph17207409
Chicago/Turabian StyleYang, Jun, Xiangyu Luo, Yixiong Xiao, Shaoqing Shen, Mo Su, Yuqi Bai, and Peng Gong. 2020. "Comparing the Use of Spatially Explicit Indicators and Conventional Indicators in the Evaluation of Healthy Cities: A Case Study in Shenzhen, China" International Journal of Environmental Research and Public Health 17, no. 20: 7409. https://doi.org/10.3390/ijerph17207409
APA StyleYang, J., Luo, X., Xiao, Y., Shen, S., Su, M., Bai, Y., & Gong, P. (2020). Comparing the Use of Spatially Explicit Indicators and Conventional Indicators in the Evaluation of Healthy Cities: A Case Study in Shenzhen, China. International Journal of Environmental Research and Public Health, 17(20), 7409. https://doi.org/10.3390/ijerph17207409

