Intervention Strategies to Elicit MVPA in Preschoolers during Outdoor Play
Abstract
1. Introduction
2. Materials and Methods
2.1. Participants
2.2. Procedures
2.3. Intervention
2.4. Measurements
2.4.1. Demographics and Anthropometrics
2.4.2. Physical Activity
2.5. Statistical Analysis
3. Results
3.1. Demographic Data
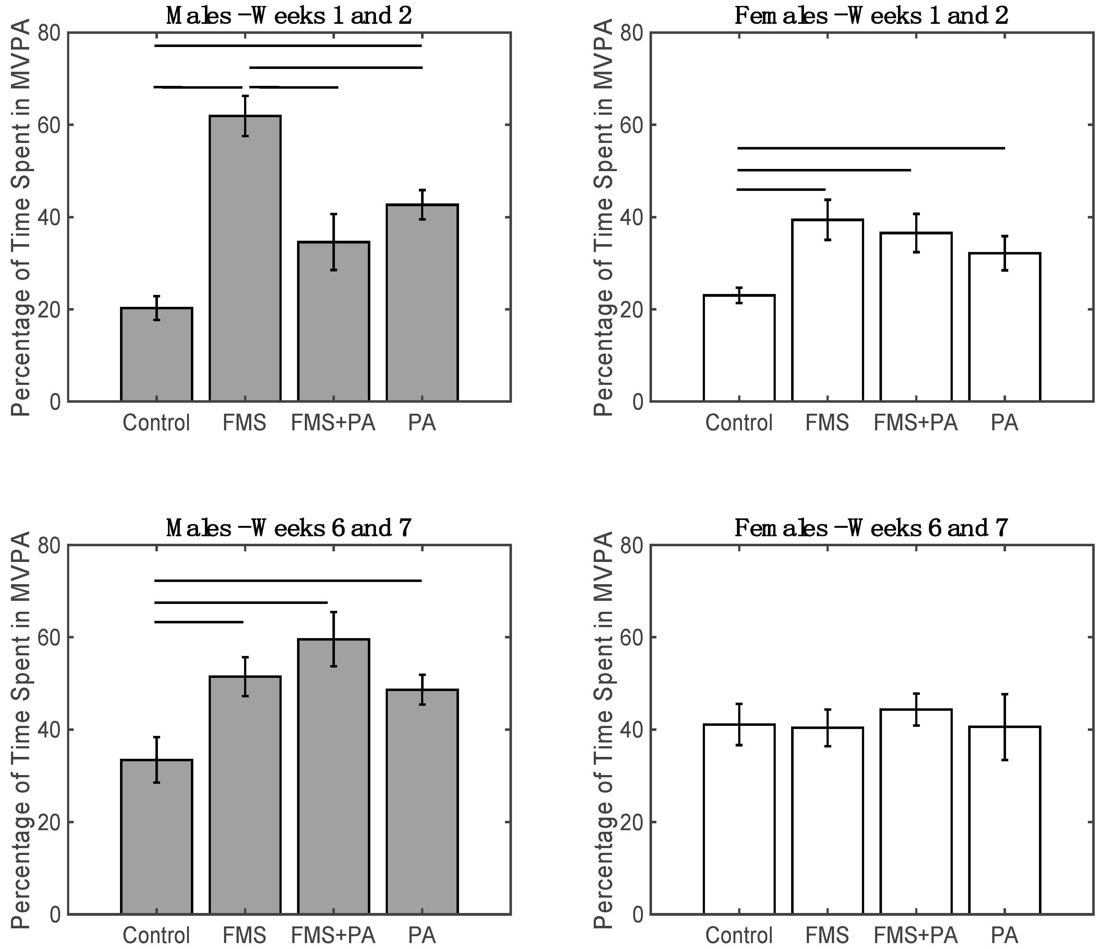
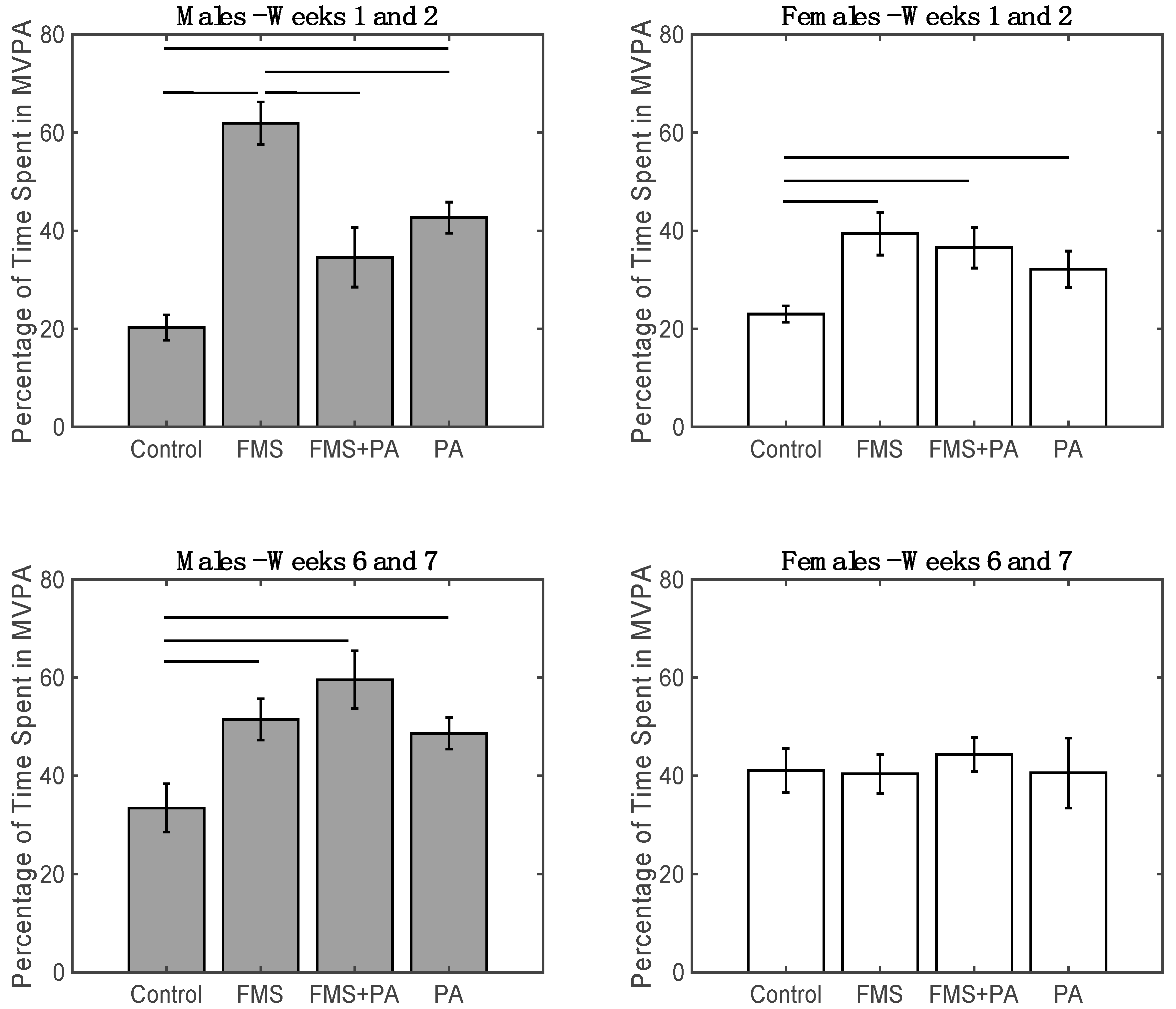
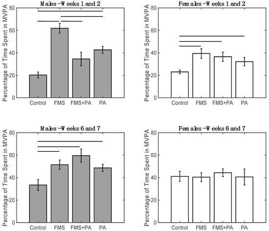
3.2. MVPA
4. Discussion
5. Conclusions
Author Contributions
Funding
Acknowledgments
Conflicts of Interest
References
- Lees, C.; Hopkins, J. Peer reviewed: Effect of aerobic exercise on cognition, academic achievement, and psychosocial function in children: A systematic review of randomized control trials. Prev. Chronic Dis. 2013, 10, E174. [Google Scholar] [CrossRef] [PubMed]
- Timmons, B.W.; LeBlanc, A.G.; Carson, V.; Connor Gorber, S.; Dillman, C.; Janssen, I.; Kho, M.E.; Spence, J.C.; Stearns, J.A.; Tremblay, M.S. Systematic review of physical activity and health in the early years (aged 0–4 years). Appl. Physiol. Nutr. Metab. 2012, 37, 773–792. [Google Scholar] [CrossRef] [PubMed]
- Piercy, K.L.; Troiano, R.P.; Ballard, R.M.; Carlson, S.A.; Fulton, J.E.; Galuska, D.A.; George, S.M.; Olson, R.D. The physical activity guidelines for Americans. JAMA 2018, 320, 2020–2028. [Google Scholar] [CrossRef] [PubMed]
- Poitras, V.J.; Gray, C.E.; Borghese, M.M.; Carson, V.; Chaput, J.P.; Janssen, I.; Katzmarzyk, P.T.; Pate, R.R.; Connor Gorber, S.; Kho, M.E.; et al. Systematic review of the relationships between objectively measured physical activity and health indicators in school-aged children and youth. Appl. Physiol. Nutr. Metab. 2016, 41, S197–S239. [Google Scholar] [CrossRef]
- Pate, R.R.; O‘Neill, J.R.; Brown, W.H.; Pfeiffer, K.A.; Dowda, M.; Addy, C.L. Prevalence of compliance with a new physical activity guideline for preschool-age children. Child. Obes. 2015, 11, 415–420. [Google Scholar] [CrossRef]
- Raustorp, A.; Pagels, P.; Boldemann, C.; Cosco, N.; Söderström, M.; Mårtensson, F. Accelerometer measured level of physical activity indoors and outdoors during preschool time in Sweden and the United States. J. Phys. Act. Health 2012, 9, 801–808. [Google Scholar] [CrossRef]
- Pate, R.R.; Brown, W.H.; Pfeiffer, K.A.; Howie, E.K.; Saunders, R.P.; Addy, C.L.; Dowda, M. An intervention to increase physical activity in children: A randomized controlled trial with 4-year-olds in preschools. Am. J. Prev. Med. 2016, 51, 12–22. [Google Scholar] [CrossRef]
- Robinson, L.E.; Wadsworth, D.D.; Peoples, C.M. Correlates of school-day physical activity in preschool students. Res. Q. Exerc. Sport 2012, 83, 20–26. [Google Scholar] [CrossRef]
- Kain, J.; Leyton, B.; Soto-Sánchez, J.; Concha, F. In preschool children, physical activity during school time can significantly increase by intensifying locomotor activities during physical education classes. BMC Res. Notes 2018, 11, 438. [Google Scholar] [CrossRef]
- Figueroa, R.; An, R. Motor skill competence and physical activity in preschoolers: A review. Mater. Child Health J. 2017, 21, 136–146. [Google Scholar] [CrossRef]
- Cliff, D.P.; Okely, A.D.; Smith, L.M.; McKeen, K. Relationships between fundamental movement skills and objectively measured physical activity in preschool children. Pediatr. Exerc. Sci. 2009, 21, 436–449. [Google Scholar] [CrossRef] [PubMed]
- Williams, H.G.; Pfeiffer, K.A.; O’neill, J.R.; Dowda, M.; McIver, K.L.; Brown, W.H.; Pate, R.R. Motor skill performance and physical activity in preschool children. Obesity 2008, 16, 1421–1426. [Google Scholar] [CrossRef] [PubMed]
- Brian, A.; Pennell, A.; Taunton, S.; Starrett, A.; Howard-Shaughnessy, C.; Goodway, J.D.; Wadsworth, D.; Rudisill, M.; Stodden, D. Motor Competence Levels and Developmental Delay in Early Childhood: A Multicenter Cross-Sectional Study Conducted in the USA. Sports Med. 2019, 49, 1609–1618. [Google Scholar] [CrossRef] [PubMed]
- Rossen, L.M.; Schoendorf, K.C. Measuring health disparities: Trends in racial– ethnic and socioeconomic disparities in obesity among 2-to 18-year old youth in the United States, 2001–2010. Ann. Epidemiol. 2012, 22, 698–704. [Google Scholar] [CrossRef]
- Nelson, D.S.; Gerras, J.M.; McGlumphy, K.C.; Shaver, E.R.; Gill, A.K.; Kanneganti, K.; Ajibewa, T.A.; Hasson, R.E. Racial discrimination and low household education predict higher body mass index in African American youth. Child. Obes. 2018, 14, 114–121. [Google Scholar] [CrossRef]
- Bethell, C.; Simpson, L.; Stumbo, S.; Carle, A.C.; Gombojav, N. National, state, and local disparities in childhood obesity. Health Aff. 2010, 29, 347–356. [Google Scholar] [CrossRef]
- Carlson, J.A.; Mignano, A.M.; Norman, G.J.; McKenzie, T.L.; Kerr, J.; Arredondo, E.M.; Madanat, H.; Cain, K.L.; Elder, J.P.; Saelens, B.E.; et al. Socioeconomic disparities in elementary school practices and children’s physical activity during school. Am. J. Health Promot. 2014, 28 (Suppl. 3), S47–S53. [Google Scholar] [CrossRef]
- Hansen, A.Y.; Meyer, M.R.; Lenardson, J.D.; Hartley, D. Built environments and active living in rural and remote areas: A review of the literature. Curr. Obes. Rep. 2015, 4, 484–493. [Google Scholar] [CrossRef]
- Eaton, D.; Kann, L.; Kinchen, S.; Shanklin, S.; Ross, J.; Hawkins, J.; Harris, W.A.; Lowry, R.; McManus, T.; Chyen, D.; et al. Youth risk behavior surveillance—United States, 2009. MMWR Surveill. Summ. 2010, 59, 1–142. [Google Scholar]
- Nilsson, A.; Andersen, L.B.; Ommundsen, Y.; Froberg, K.; Sardinha, L.B.; Piehl-Aulin, K.; Ekelund, U. Correlates of objectively assessed physical activity and sedentary time in children: A cross-sectional study (The European Youth Heart Study). BMC Public Health 2009, 9, 322. [Google Scholar] [CrossRef]
- Tonge, K.L.; Jones, R.A.; Okely, A.D. Correlates of children’s objectively measured physical activity and sedentary behavior in early childhood education and care services: A systematic review. Prev. Med. 2016, 89, 129–139. [Google Scholar] [CrossRef] [PubMed]
- McFarland, J.; Hussar, B.; Zhang, J.; Wang, X.; Wang, K.; Hein, S.; Diliberti, M.; Cataldi, E.F.; Mann, F.B.; Barmer, A. The Condition of Education 2019. NCES 2019-144; National Center for Education Statistics: Washington, DC, USA, 2019.
- Copple, C.; Bredekamp, S. Developmentally Appropriate Practice in Early Childhood Programs Serving Children from Birth Through Age 8; National Association for the Education of Young Children: Washington, DC, USA, 2009. [Google Scholar]
- Ward, D.S.; Vaughn, A.; McWilliams, C.; Hales, D. Physical activity at child care settings: Review and research recommendations. Am. J. Lifestyle Med. 2009, 3, 474–488. [Google Scholar] [CrossRef]
- Gordon, E.S.; Tucker, P.; Burke, S.M.; Carron, A.V. Effectiveness of physical activity interventions for preschoolers: A meta-analysis. Res. Q. Exerc. Sport 2013, 84, 287–294. [Google Scholar] [CrossRef] [PubMed]
- Hnatiuk, J.; Brown, H.E.; Downing, K.L.; Hinkley, T.; Salmon, J.; Hesketh, K.D. Interventions to increase physical activity in children 0–5 years old: A systematic review, meta-analysis and realist synthesis. Obes. Rev. 2019, 20, 75–87. [Google Scholar] [CrossRef] [PubMed]
- Gray, C.; Gibbons, R.; Larouche, R.; Sandseter, E.; Bienenstock, A.; Brussoni, M.; Chabot, G.; Herrington, S.; Janssen, I.; Pickett, W.; et al. What is the relationship between outdoor time and physical activity, sedentary behaviour, and physical fitness in children? A systematic review. Int. J. Environ. Res. Public Health 2015, 12, 6455–6474. [Google Scholar] [CrossRef] [PubMed]
- Wadsworth, D.D.; Rudisill, M.E.; Hastie, P.A.; Irwin, J.M.; Rodriguez-Hernandez, M.G. Preschoolers’ Physical Activity Participation Across a Yearlong Mastery-Motivational Climate Intervention. Res. Q. Exerc. Sport 2017, 88, 339–345. [Google Scholar] [CrossRef]
- Wadsworth, D.D.; Rudisill, M.E.; Hastie, P.A.; Boyd, K.L.; Rodríguez-Hernández, M. Preschoolers’ Physical Activity and Time on Task During a Mastery Motivational Climate and Free Play. MHSalud 2014, 11, 26–34. [Google Scholar]
- Johnson, J.L.; Rudisill, M.E.; Hastie, P.; Wadsworth, D.; Strunk, K.; Venezia, A.; Sassi, J.; Morris, M.; Merritt, M. Changes in Fundamental Motor-Skill Performance Following a Nine-Month Mastery Motivational Climate Intervention. Res. Q. Exerc. Sport 2019, 90, 517–526. [Google Scholar] [CrossRef]
- Boyce, A.B. Creating instructional environments that keep students on TARGET. J. Phys. Educ. Recreat. Danc. 2009, 80, 49–56. [Google Scholar] [CrossRef]
- Butte, N.F.; Wong, W.W.; Lee, J.S.; Adolph, A.L.; Puyau, M.R.; Zakeri, I.F. Prediction of energy expenditure and physical activity in preschoolers. Med. Sci. Sports Exerc. 2014, 46, 1216. [Google Scholar] [CrossRef]
- Costa, S.; Barber, S.E.; Cameron, N.; Clemes, S.A. Calibration and validation of the ActiGraph GT3X+ in 2–3 year olds. J. Sci. Med. Sport 2014, 17, 617–622. [Google Scholar] [CrossRef] [PubMed]
- Nilsen, A.K.O.; Anderssen, S.A.; Resaland, G.K.; Johannessen, K.; Ylvisaaker, E.; Aadland, E. Boys, older children, and highly active children benefit most from the preschool arena regarding moderate-to-vigorous physical activity: A cross-sectional study of Norwegian preschoolers. Prev. Med. Rep. 2019, 14, 100837. [Google Scholar] [CrossRef] [PubMed]
- Pate, R.R.; McIver, K.; Dowda, M.; Brown, W.H.; Addy, C. Directly observed physical activity levels in preschool children. J. Sch. Health 2008, 78, 438–444. [Google Scholar] [CrossRef] [PubMed]
- Cheung, P. Teachers as role models for physical activity: Are preschool children more active when their teachers are active? Eur. Phys. Educ. Rev. 2019. [Google Scholar] [CrossRef]
- Barbu, S.; Cabanes, G.; Le, G. Maner-Idrissi, Boys and girls on the playground: Sex differences in social development are not stable across early childhood. PLoS ONE 2011, 6, e16407. [Google Scholar] [CrossRef]
- Bonvin, A.; Barral, J.; Kakebeeke, T.H.; Kriemler, S.; Longchamp, A.; Schindler, C.; Marques-Vidal, P.; Puder, J.J. Effect of a governmentally-led physical activity program on motor skills in young children attending child care centers: A cluster randomized controlled trial. Int. J. Behav. Nutr. Phys. Act. 2013, 10, 90. [Google Scholar] [CrossRef]
- Palmer, K.K.; Chinn, K.M.; Robinson, L.E. The effect of the CHAMP intervention on fundamental motor skills and outdoor physical activity in preschoolers. J. Sport Health Sci. 2019, 8, 98–105. [Google Scholar] [CrossRef]



| Group | N (Females) | Mean Age (SD) | Mean Height in Inches (SD) | Mean Weight in Lbs. (SD) |
|---|---|---|---|---|
| Control | 23 (12) | 4.53 (0.67) | 41.87 (2.97) | 42.79 (9.45) |
| Fundamental motor skills (FMS) | 25 (12) | 4.45 (0.62) | 43.00 (2.47) | 42.55 (5.75) |
| FMS + physical activity (PA) | 25 (12) | 4.40 (0.64) | 42.52 (3.29) | 41.46 (7.89) |
| PA | 25 (10) | 4.54 (0.59) | 42.73 (1.73) | 44.15 (8.10) |
| Group | Sex | Mean % MVPA Weeks 1 and 2 (SD) | Mean % MVPA Weeks 6 and 7 (SD) | t-Statistic | Cohen’s D | p-Value |
|---|---|---|---|---|---|---|
| Control | Male | 20.27 (8.62) | 33.45 (16.23) | t(8) = −2.13 | d = −1.01 | p = 0.07 |
| Female | 23.00 (5.77) | 41.08 (15.38) | t(10) = −5.15 | d = −1.56 | p < 0.001 | |
| FMS | Male | 61.94 (15.62) | 51.48 (15.19) | t(11) = 2.04 | d = 0.68 | p = 0.07 |
| Female | 39.39 (15.03) | 40.40 (13.60) | t(11) = −0.25 | d = −0.07 | p = 0.81 | |
| FMS + PA | Male | 34.58 (21.87) | 59.58 (21.14) | t(9) = −2.05 | d = −1.16 | p = 0.07 |
| Female | 36.55 (14.38) | 44.36 (12.05) | t(9) = −1.80 | d = −0.59 | p = 0.11 | |
| PA | Male | 42.68 (12.34) | 48.62 (12.50) | t(13) = −1.17 | d = −0.48 | p = 0.26 |
| Female | 32.17 (11.69) | 40.56 (22.40) | t(8) = −1.32 | d = −0.47 | p = 0.22 |
© 2020 by the authors. Licensee MDPI, Basel, Switzerland. This article is an open access article distributed under the terms and conditions of the Creative Commons Attribution (CC BY) license (http://creativecommons.org/licenses/by/4.0/).
Share and Cite
Wadsworth, D.D.; Johnson, J.L.; Carroll, A.V.; Pangelinan, M.M.; Rudisill, M.E.; Sassi, J. Intervention Strategies to Elicit MVPA in Preschoolers during Outdoor Play. Int. J. Environ. Res. Public Health 2020, 17, 650. https://doi.org/10.3390/ijerph17020650
Wadsworth DD, Johnson JL, Carroll AV, Pangelinan MM, Rudisill ME, Sassi J. Intervention Strategies to Elicit MVPA in Preschoolers during Outdoor Play. International Journal of Environmental Research and Public Health. 2020; 17(2):650. https://doi.org/10.3390/ijerph17020650
Chicago/Turabian StyleWadsworth, Danielle D., Jerraco L. Johnson, Alexandra V. Carroll, Melissa M. Pangelinan, Mary E. Rudisill, and Julia Sassi. 2020. "Intervention Strategies to Elicit MVPA in Preschoolers during Outdoor Play" International Journal of Environmental Research and Public Health 17, no. 2: 650. https://doi.org/10.3390/ijerph17020650
APA StyleWadsworth, D. D., Johnson, J. L., Carroll, A. V., Pangelinan, M. M., Rudisill, M. E., & Sassi, J. (2020). Intervention Strategies to Elicit MVPA in Preschoolers during Outdoor Play. International Journal of Environmental Research and Public Health, 17(2), 650. https://doi.org/10.3390/ijerph17020650

