Explaining Income-Related Inequalities in Dietary Knowledge: Evidence from the China Health and Nutrition Survey
Abstract
1. Introduction
2. Methods
2.1. Study Design
2.2. Data
2.3. Variables
2.3.1. The Dietary Knowledge Score
2.3.2. Dietary Guideline Awareness
2.3.3. Independent Variables
2.4. Statistical Analysis
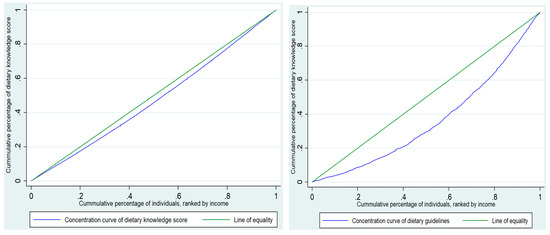
3. Results
4. Discussion
5. Conclusions
Author Contributions
Funding
Acknowledgments
Conflicts of Interest
References
- World Health Organization. NCD Mortality and Morbidity. Available online: https://www.who.int/gho/ncd/mortality_morbidity/en/ (accessed on 20 August 2019).
- Asakura, K.; Todoriki, H.; Sasaki, S. Relationship between nutrition knowledge and dietary intake among primary school children in Japan: Combined effect of children’s and their guardians’ knowledge. J. Epidemiol. 2017, 27, 483–491. [Google Scholar] [CrossRef]
- World Health Organization. Health Literacy. Available online: https://www.who.int/healthpromotion/health-literacy/en/ (accessed on 15 November 2019).
- Du, S.; Mroz, T.A.; Zhai, F.; Popkin, B.M. Rapid income growth adversely affects diet quality in China-particularly for the poor. Soc. Sci. Med. 2004, 59, 1505–1515. [Google Scholar] [CrossRef]
- Zhou, L.; Zeng, Q.; Jin, S.; Cheng, G. The impact of changes in dietary knowledge on adult overweight and obesity in China. PLoS ONE 2017, 12, e01795516. [Google Scholar]
- Darmon, N.; Drewnowski, A. Does social class predict diet quality? Am. J. Clin. Nutr. 2008, 87, 1107–1117. [Google Scholar] [CrossRef]
- Muhammad, A.; D’Souza, A.; Meade, B.; Micha, R.; Mozaffarian, D. How income and food prices influence global dietary intakes by age and sex: Evidence from 164 countries. BMJ Glob. Health 2017, 2, e184. [Google Scholar] [CrossRef]
- Petrovici, D.A.; Ritson, C. Factors influencing consumer dietary health preventative behaviours. BMC Public Health 2006, 6, 222. [Google Scholar] [CrossRef]
- Vasconcelos, C.; Almeida, A.; Sa, C.; Viana, J.; Cabral, M.; Ramos, E.; Mendes, R. Nutrition-related knowledge and its determinants in middle-aged and older patients with type 2 diabetes. Prim. Care Diabetes 2019. [Google Scholar] [CrossRef]
- Heshmat, R.; Salehi, F.; Qorbani, M.; Rostami, M.; Shafiee, G.; Ahadi, Z.; Khosravi, S.; Rezvani, V.; Sadeghi Ghotbabadi, F.; Ghaderpanahi, M.; et al. Economic inequality in nutritional knowledge, attitude and practice of Iranian households: The NUTRI-KAP study. Med. J. Islam. Republ. Iran 2016, 30, 426. [Google Scholar]
- Al-Shookri, A.; Al-Shukaily, L.; Hassan, F.; Al-Sheraji, S. Effect of mothers nutritional knowledge and attitudes on omani children’s dietary intake. Oman Med. J. 2011, 26, 253–257. [Google Scholar] [CrossRef]
- Santos, M.M.D.; de Azevedo Paiva, A.; Pedrosa, J.I.D.S.; Viana, R.L. Dietary knowledge, behaviours and attitudes of students of public school in a northeastern city in Brazil. Health (Lond.) 2014, 6, 1315–1321. [Google Scholar] [CrossRef]
- El, H.M.; Kharroubi, S.; Hamadeh, S.K.; Jomaa, L. Impact of a pilot school-based nutrition intervention on dietary knowledge, attitudes, behavior and nutritional status of syrian refugee children in the Bekaa, Lebanon. Nutrients 2018, 10, 7. [Google Scholar]
- Iron-Segev, S.; Lusweti, J.N.; Kamau-Mbuthia, E.; Stark, A.H. Impact of community-based nutrition education on geophagic behavior and dietary knowledge and practices among rural women in nakuru town, Kenya: A Pilot Study. J. Nutr. Edu. Behav. 2018, 50, 408–414. [Google Scholar] [CrossRef]
- Racine, E.; Troyer, J.L.; Warren-Findlow, J.; McAuley, W.J. The effect of medical nutrition therapy on changes in dietary knowledge and DASH diet adherence in older adults with cardiovascular disease. J. Nutr. Health Aging 2011, 15, 868–876. [Google Scholar] [CrossRef]
- Clément, M.; Bonnefond, C. Does social class affect nutrition knowledge and food preferences among Chinese urban adults? Camb. J. China Stud. 2015, 10, 20–37. [Google Scholar]
- Barbosa, L.B.; Vasconcelos, S.M.; Correia, L.O.; Ferreira, R.C. Nutrition knowledge assessment studies in adults: A systematic review. Ciencia Saude Coletiva 2016, 21, 449–462. [Google Scholar] [CrossRef]
- Grosso, G.; Mistretta, A.; Turconi, G.; Cena, H.; Roggi, C.; Galvano, F. Nutrition knowledge and other determinants of food intake and lifestyle habits in children and young adolescents living in a rural area of Sicily, South Italy. Public Health Nutr. 2013, 16, 1827–1836. [Google Scholar] [CrossRef]
- Ng, S.W.; Norton, E.C.; Popkin, B.M. Why have physical activity levels declined among Chinese adults? Findings from the 1991–2006 China Health and Nutrition Surveys. Soc. Sci. Med. 2009, 68, 1305–1314. [Google Scholar] [CrossRef]
- Monda, K.L.; Adair, L.S.; Zhai, F.; Popkin, B.M. Longitudinal relationships between occupational and domestic physical activity patterns and body weight in China. Eur. J. Clin. Nutr. 2008, 62, 1318–1325. [Google Scholar] [CrossRef]
- Monda, K.L.; Gordon-Larsen, P.; Stevens, J.; Popkin, B.M. China’s transition: The effect of rapid urbanization on adult occupational physical activity. Soc. Sci. Med. 2007, 64, 858–870. [Google Scholar] [CrossRef]
- Moore, S.; Stewart, S.; Teixeira, A. Decomposing social capital inequalities in health. J. Epidemiol. Commun. Health 2014, 68, 233–238. [Google Scholar] [CrossRef]
- Xu, Y.; Ma, J.; Wu, N.; Fan, X.; Zhang, T.; Zhou, Z.; Gao, J.; Ren, J.; Chen, G. Catastrophic health expenditure in households with chronic disease patients: A pre-post comparison of the New Health Care Reform in Shaanxi Province China. PLoS ONE 2018, 13, e01945393. [Google Scholar] [CrossRef] [PubMed]
- Petrera, M.; Valdivia, M.; Jimenez, E.; Almeida, G. Equity in health and health care in Peru, 2004–2008. Revista Panamericana de Salud Pública 2013, 33, 131–189. [Google Scholar] [CrossRef] [PubMed][Green Version]
- Morasae, E.K.; Forouzan, A.S.; Majdzadeh, R.; Asadi-Lari, M.; Noorbala, A.A.; Hosseinpoor, A.R. Understanding determinants of socioeconomic inequality in mental health in Iran’s capital, Tehran: A concentration index decomposition approach. Int. J. Equity Health 2012, 11, 18. [Google Scholar] [CrossRef]
- Yiengprugsawan, V.; Lim, L.L.; Carmichael, G.A.; Sidorenko, A.; Sleigh, A.C. Measuring and decomposing inequity in self-reported morbidity and self-assessed health in Thailand. Int. J. Equity Health 2007, 6, 23. [Google Scholar] [CrossRef]
- Goli, S.; Singh, L.; Jain, K.; Pou, L.M.A. Socioeconomic determinants of health inequalities among the older population in India: A decomposition analysis. J. Cross-Culture Gerontol. 2014, 29, 353–369. [Google Scholar] [CrossRef]
- Cabieses, B.; Cookson, R.; Espinoza, M.; Santorelli, G.; Delgado, I. Did socioeconomic inequality in self-reported health in chile fall after the equity-based healthcare Reform of 2005? A concentration index decomposition analysis. PLoS ONE 2015, 10, e138227. [Google Scholar] [CrossRef]
- Gundgaard, J.; Lauridsen, J. Decomposition of sources of income-related health inequality applied on SF-36 summary scores: A Danish health survey. Health Qual. Life Outcome 2006, 4, 53. [Google Scholar] [CrossRef]
- Xu, Y.; Yang, J.; Gao, J.; Zhou, Z.; Zhang, T.; Ren, J.; Li, Y.; Qian, Y.; Lai, S.; Chen, G. Decomposing socioeconomic inequalities in depressive symptoms among the elderly in China. BMC Public Health 2016, 16, 1214. [Google Scholar] [CrossRef]
- Hamulka, J.; Wadolowska, L.; Hoffmann, M.; Kowalkowska, J.; Gutkowska, K. Effect of an education program on nutrition knowledge, attitudes toward nutrition, diet quality, lifestyle, and body composition in polish teenagers. The ABC of Healthy Eating Project: Design, protocol, and methodology. Nutrients 2018, 10, 1439. [Google Scholar] [CrossRef]
- Hu, F.B.; Liu, Y.; Willett, W.C. Preventing chronic diseases by promoting healthy diet and lifestyle: Public policy implications for China. Obes. Rev. 2011, 12, 552–559. [Google Scholar] [CrossRef]
- Villegas, R.; Liu, S.; Gao, Y.T.; Yang, G.; Li, H.; Zheng, W.; Shu, X.O. Prospective study of dietary carbohydrates, glycemic index, glycemic load, and incidence of type 2 diabetes mellitus in middle-aged Chinese women. Arch. Intern. Med. 2007, 167, 2310–2316. [Google Scholar] [CrossRef]
- Powell, K.E.; Paluch, A.E.; Blair, S.N. Physical activity for health: What kind? How much? How intense? On top of what? Annu. Rev. Public Health 2011, 349–365. [Google Scholar] [CrossRef] [PubMed]
- Kollajtis-Dolowy, A.; Zamojcin, K. The level of knowledge on nutrition and its relation to health among Polish young men. Roczniki Państwowego Zakładu Higieny 2016, 67, 155–161. [Google Scholar] [PubMed]


| Characteristics | All (N = 12,208) |
|---|---|
| Age, years | |
| Mean (SD) | 52.59 ± 15.31 |
| Gender | |
| Men, n (%) | 5746 (47.07) |
| Women, n (%) | 6462 (52.93) |
| Missing | |
| Income, RMB yuan | |
| Mean (SD) | 24942.94 ± 39654.58 |
| Education | |
| Illiterate, n (%) | 871 (7.13) |
| Elementary, n (%) | 2821 (23.11) |
| Middle school, n (%) | 4069 (33.33) |
| High school, n (%) | 2937 (24.06) |
| University, n (%) | 1510 (12.37) |
| Marital status | |
| Unmarried, n (%) | 648 (5.31) |
| Married, n (%) | 10,539 (86.33) |
| Others, n (%) | 1021 (8.36) |
| Basic medical insurance | |
| No, n (%) | 328 (2.69) |
| Yes, n (%) | 11,880 (97.31) |
| Working status | |
| No, n (%) | 6445 (52.79) |
| Yes, n (%) | 5763 (47.21) |
| Birthplace | |
| North China, n (%) | 965 (7.90) |
| Northeast, n (%) | 1714 (14.04) |
| East China, n (%) | 3244 (26.57) |
| Central China, n (%) | 3063 (25.09) |
| South China, n (%) | 1191 (9.76) |
| Western China, n (%) | 2031 (16.64) |
| Urbanization index | |
| Mean (SD) | 73.98 ± 17.07 |
| Residential areas | |
| Urban, n (%) | 4875 (39.93) |
| Rural, n (%) | 7333 (60.07) |
| Geographic region | |
| Eastern China, n (%) | 5942 (48.67) |
| Central China, n (%) | 3074 (25.18) |
| Western China, n (%) | 3192 (26.15) |
| Dietary Knowledge Score | Dietary Guideline Awareness | |||||||
|---|---|---|---|---|---|---|---|---|
| Mean | S.D. | F/t | p | n | % | χ2 | p | |
| Age | 25.52 | <0.001 | 94.60 | <0.001 | ||||
| 18−44 | 9.41 | 3.72 | 1226 | 33.23 | ||||
| 45−59 | 9.17 | 3.55 | 1134 | 27.24 | ||||
| ≥60 | 8.82 | 4.01 | 1025 | 23.53 | ||||
| Post-hoc test | “18−44” > “45−59” > “≥60” | “18−44” > “45−59” > “≥60” | ||||||
| Gender | 0.77 | 0.44 | 0.81 | 0.37 | ||||
| Men | 9.14 | 3.77 | 1571 | 27.34 | ||||
| Women | 9.09 | 3.78 | 1814 | 28.07 | ||||
| Income | 167.76 | <0.001 | 1072.66 | <0.001 | ||||
| Poorest | 7.95 | 3.89 | 291 | 11.92 | ||||
| Poorer | 8.36 | 3.72 | 412 | 16.89 | ||||
| Middle | 9.19 | 3.52 | 643 | 26.38 | ||||
| Richer | 9.84 | 3.44 | 830 | 33.92 | ||||
| Richest | 10.23 | 3.80 | 1209 | 49.47 | ||||
| Post-hoc test | Richest > Richer > Middle > Poorer > Poorest | Richest > Richer > Middle > Poorer > Poorest | ||||||
| Educational attainment | 187.41 | <0.001 | 1776.81 | <0.001 | ||||
| Illiterate | 7.20 | 3.92 | 34 | 3.90 | ||||
| Elementary | 8.24 | 3.70 | 328 | 11.63 | ||||
| Middle school | 9.12 | 3.51 | 882 | 21.68 | ||||
| High school | 9.75 | 3.68 | 1232 | 41.95 | ||||
| University | 10.64 | 3.81 | 909 | 60.20 | ||||
| Post-hoc test | University > High school > Middle school > Elementary > Illiteracy | University > High school > Middle school > Elementary > Illiteracy | ||||||
| Marital status | 20.58 | <0.001 | 50.70 | <0.001 | ||||
| Unmarried | 9.23 | 3.91 | 213 | 32.87 | ||||
| Married | 9.18 | 3.74 | 2980 | 28.28 | ||||
| Others | 8.39 | 4.01 | 192 | 18.81 | ||||
| Post-hoc test | Unmarried, Married > Others | Unmarried > Married > Others | ||||||
| Basic medical insurance | −4.48 | <0.001 | 0.55 | 0.46 | ||||
| No | 8.20 | 4.27 | 85 | 25.91 | ||||
| Yes | 9.14 | 3.76 | 3300 | 27.78 | ||||
| Working status | −9.16 | <0.001 | 109.22 | <0.001 | ||||
| No | 8.82 | 3.94 | 1529 | 23.72 | ||||
| Yes | 9.45 | 3.55 | 1856 | 32.21 | ||||
| Residential areas | 14.87 | <0.001 | 544.53 | <0.001 | ||||
| Urban | 9.73 | 3.83 | 1917 | 39.32 | ||||
| Rural | 8.71 | 3.69 | 1468 | 20.02 | ||||
| Geographic region | 375.75 | <0.001 | ||||||
| Eastern China | 10.05 | 3.60 | 2232 | 37.56 | 559.25 | <0.001 | ||
| Central China | 8.35 | 3.64 | 577 | 18.77 | ||||
| Western China | 8.12 | 3.80 | 576 | 18.05 | ||||
| Post-hoc test | Eastern China > Central China> Western China | Eastern China > Central China, Western China | ||||||
| Questions on Dietary Knowledge | Urban | Rural | χ2 | p | ||
|---|---|---|---|---|---|---|
| n | % | n | % | |||
| Choosing a diet with a lot of fresh fruits and vegetables is good for one’s health | 3903 | 80.06 | 5424 | 73.97 | 60.33 | <0.001 |
| Eating a lot of sugar is good for one’s health | 3823 | 78.42 | 5150 | 70.23 | 100.85 | <0.001 |
| Eating a variety of foods is good for one’s health | 3858 | 79.14 | 5413 | 73.82 | 45.39 | <0.001 |
| Choosing a diet high in fat is good for one’s health | 3806 | 78.07 | 5081 | 69.29 | 114.05 | <0.001 |
| Choosing a diet with a lot of staple foods is not good for one’s health | 2077 | 42.61 | 3006 | 40.99 | 3.13 | 0.077 |
| Consuming a lot of animal products daily is good for one’s health | 3211 | 65.87 | 4467 | 60.92 | 30.75 | <0.001 |
| Reducing the amount of fatty meat and animal fat in the diet is good for one’s health | 3560 | 73.03 | 4997 | 68.14 | 33.28 | <0.001 |
| Consuming milk and dairy products is good for one’s health | 4098 | 84.06 | 5990 | 81.69 | 11.52 | 0.000 |
| Consuming beans and bean products is good for one’s health | 4064 | 83.36 | 6153 | 83.91 | 0.64 | 0.425 |
| Physical activities are good for one’s health | 3866 | 79.30 | 5667 | 77.28 | 7.00 | 0.008 |
| Sweaty sports or other intense physical activities are not good for one’s health | 2324 | 47.67 | 3179 | 43.35 | 22.07 | <0.001 |
| The heavier one’s body is, the healthier he or she is | 3908 | 80.16 | 5477 | 74.69 | 49.37 | <0.001 |
| Variables | Dietary Knowledge Score | Dietary Guideline Awareness | ||||
|---|---|---|---|---|---|---|
| Estimate | Std. Err. | p | Estimate | Std. Err. | p | |
| Age (years) | −0.007 | 0.003 | 0.015 | 0.000 | 0.002 | 0.950 |
| Gender | ||||||
| Men (ref) | ||||||
| Women | 0.149 | 0.068 | 0.028 | 0.252 | 0.048 | <0.001 |
| Income | ||||||
| Poorest (ref) | ||||||
| Poorer | 0.065 | 0.103 | 0.524 | 0.082 | 0.088 | 0.351 |
| Middle | 0.515 | 0.106 | <0.001 | 0.379 | 0.085 | <0.001 |
| Richer | 0.805 | 0.110 | <0.001 | 0.463 | 0.085 | <0.001 |
| Richest | 0.768 | 0.118 | <0.001 | 0.798 | 0.088 | <0.001 |
| Education | ||||||
| Illiterate (ref) | ||||||
| Elementary | 0.841 | 0.141 | <0.001 | 1.059 | 0.181 | <0.001 |
| Middle school | 1.342 | 0.146 | <0.001 | 1.641 | 0.179 | <0.001 |
| High school | 1.479 | 0.156 | <0.001 | 2.340 | 0.181 | <0.001 |
| University | 1.871 | 0.183 | <0.001 | 2.821 | 0.191 | <0.001 |
| Marital status | ||||||
| Unmarried (ref) | ||||||
| Married | 0.521 | 0.156 | 0.001 | 0.392 | 0.107 | <0.001 |
| Others | 0.359 | 0.202 | 0.076 | 0.258 | 0.147 | 0.079 |
| Basic medical insurance | ||||||
| No (ref) | ||||||
| Yes | 1.207 | 0.200 | <0.001 | 0.292 | 0.143 | 0.041 |
| Working status | ||||||
| No (ref) | ||||||
| Yes | 0.191 | 0.075 | 0.011 | 0.111 | 0.055 | 0.041 |
| Birthplace | ||||||
| North China (ref) | ||||||
| Northeast | −0.602 | 0.147 | <0.001 | −0.380 | 0.093 | <0.001 |
| East China | −0.420 | 0.132 | 0.001 | −0.187 | 0.081 | 0.021 |
| Central China | −0.915 | 0.422 | 0.030 | 0.026 | 0.275 | 0.926 |
| South China | 0.306 | 0.461 | 0.506 | 0.136 | 0.301 | 0.652 |
| Western China | −0.481 | 0.453 | 0.288 | −0.206 | 0.293 | 0.482 |
| Urbanization index | 0.015 | 0.002 | <0.001 | 0.010 | 0.002 | <0.001 |
| Residential areas | ||||||
| Urban (ref) | ||||||
| Rural | −0.353 | 0.074 | <0.001 | −0.370 | 0.051 | <0.001 |
| Geographic region | ||||||
| Eastern China(ref) | ||||||
| Central China | −0.804 | 0.410 | 0.050 | −0.852 | 0.269 | 0.002 |
| Western China | −1.648 | 0.443 | <0.001 | −0.667 | 0.287 | 0.020 |
| Variables | Dietary Knowledge Score | Dietary Guidelines | ||||||
|---|---|---|---|---|---|---|---|---|
| Elasticity | CK | Absolute Contribution to C | Percentage Contribution to C | Elasticity | CK | Absolute Contribution to C | Percentage Contribution to C | |
| Age (years) | −0.041 | −0.003 | 0.000 | 0.200 | 0.004 | −0.003 | 0.000 | −0.004 |
| Gender | ||||||||
| Men (ref) | ||||||||
| Women | 0.025 | −0.003 | 0.000 | −0.148 | 0.243 | −0.003 | −0.001 | −0.283 |
| Income | ||||||||
| Poorest (ref) | ||||||||
| Poorer | 0.001 | −0.401 | −0.001 | −1.065 | 0.010 | −0.401 | −0.004 | −1.528 |
| Middle | 0.011 | −0.001 | 0.000 | −0.020 | 0.051 | −0.001 | 0.000 | −0.018 |
| Richer | 0.018 | 0.399 | 0.007 | 13.123 | 0.063 | 0.399 | 0.025 | 9.187 |
| Richest | 0.017 | 0.800 | 0.013 | 24.989 | 0.113 | 0.800 | 0.091 | 33.047 |
| Education | ||||||||
| Illiterate (ref) | ||||||||
| Elementary | 0.021 | −0.210 | −0.004 | −8.288 | 0.176 | −0.210 | −0.037 | −13.477 |
| Middle school | 0.049 | −0.070 | −0.003 | −6.361 | 0.386 | −0.070 | −0.027 | −9.870 |
| High school | 0.039 | 0.172 | 0.007 | 12.413 | 0.426 | 0.172 | 0.073 | 26.696 |
| University | 0.025 | 0.432 | 0.011 | 20.307 | 0.270 | 0.432 | 0.117 | 42.546 |
| Marital status | ||||||||
| Unmarried (ref) | ||||||||
| Married | 0.049 | 0.003 | 0.000 | 0.318 | 0.196 | 0.003 | 0.001 | 0.250 |
| Others | 0.003 | −0.099 | 0.000 | −0.604 | 0.014 | −0.099 | −0.001 | −0.520 |
| Basic medical insurance | ||||||||
| No (ref) | ||||||||
| Yes | 0.129 | 0.001 | 0.000 | 0.306 | 0.166 | 0.001 | 0.000 | 0.078 |
| Working status | ||||||||
| No(ref) | ||||||||
| Yes | 0.010 | 0.082 | 0.001 | 1.511 | 0.033 | 0.082 | 0.003 | 0.998 |
| Birthplace | ||||||||
| North China (ref) | ||||||||
| Northeast | −0.009 | 0.053 | 0.000 | −0.905 | −0.031 | 0.053 | −0.002 | −0.598 |
| East China | −0.012 | 0.219 | −0.003 | −4.972 | −0.031 | 0.219 | −0.007 | −2.452 |
| Central China | −0.025 | −0.143 | 0.004 | 6.684 | 0.004 | −0.143 | −0.001 | −0.214 |
| South China | 0.003 | −0.318 | −0.001 | −1.933 | 0.009 | −0.318 | −0.003 | −1.000 |
| Western China | −0.009 | −0.154 | 0.001 | 2.501 | −0.021 | −0.154 | 0.003 | 1.169 |
| Urbanization index | 0.120 | 0.053 | 0.006 | 11.868 | 0.469 | 0.053 | 0.025 | 9.135 |
| Residential areas | ||||||||
| Urban (ref) | ||||||||
| Rural | −0.062 | −0.048 | 0.003 | 5.524 | −0.374 | −0.048 | 0.018 | 6.560 |
| Geographic region | ||||||||
| Eastern China (ref) | ||||||||
| Central China | −0.022 | −0.144 | 0.003 | 5.935 | −0.120 | −0.144 | 0.017 | 6.305 |
| Western China | −0.047 | −0.222 | 0.011 | 19.461 | −0.101 | −0.222 | 0.022 | 8.161 |
© 2020 by the authors. Licensee MDPI, Basel, Switzerland. This article is an open access article distributed under the terms and conditions of the Creative Commons Attribution (CC BY) license (http://creativecommons.org/licenses/by/4.0/).
Share and Cite
Xu, Y.; Zhu, S.; Zhang, T.; Wang, D.; Hu, J.; Gao, J.; Zhou, Z. Explaining Income-Related Inequalities in Dietary Knowledge: Evidence from the China Health and Nutrition Survey. Int. J. Environ. Res. Public Health 2020, 17, 532. https://doi.org/10.3390/ijerph17020532
Xu Y, Zhu S, Zhang T, Wang D, Hu J, Gao J, Zhou Z. Explaining Income-Related Inequalities in Dietary Knowledge: Evidence from the China Health and Nutrition Survey. International Journal of Environmental Research and Public Health. 2020; 17(2):532. https://doi.org/10.3390/ijerph17020532
Chicago/Turabian StyleXu, Yongjian, Siyu Zhu, Tao Zhang, Duolao Wang, Junteng Hu, Jianmin Gao, and Zhongliang Zhou. 2020. "Explaining Income-Related Inequalities in Dietary Knowledge: Evidence from the China Health and Nutrition Survey" International Journal of Environmental Research and Public Health 17, no. 2: 532. https://doi.org/10.3390/ijerph17020532
APA StyleXu, Y., Zhu, S., Zhang, T., Wang, D., Hu, J., Gao, J., & Zhou, Z. (2020). Explaining Income-Related Inequalities in Dietary Knowledge: Evidence from the China Health and Nutrition Survey. International Journal of Environmental Research and Public Health, 17(2), 532. https://doi.org/10.3390/ijerph17020532

