Performance of Prognostic Scoring Systems in Trauma Patients in the Intensive Care Unit of a Trauma Center
Abstract
1. Introduction
2. Materials and Methods
2.1. Study Population and Data Collection
2.2. Statistical Analyses
3. Results
3.1. Patient Demographics
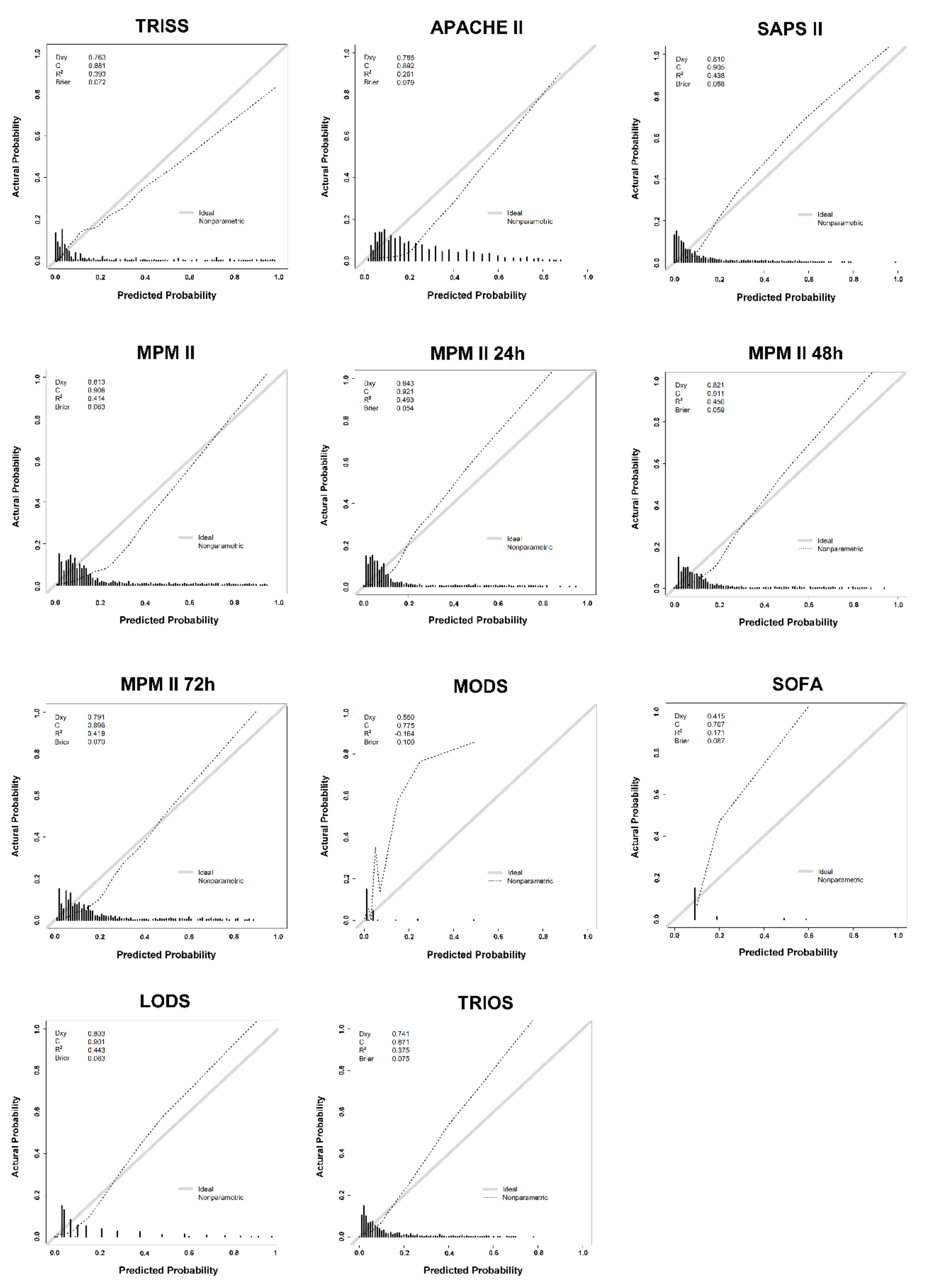
3.2. Performance of the Prognostic Scoring Systems
4. Discussion
5. Conclusions
Author Contributions
Funding
Acknowledgments
Conflicts of Interest
References
- Gabbe, B.J.; Cameron, P.A.; Wolfe, R. TRISS: Does it get better than this? Acad. Emerg. Med. 2004, 11, 181–186. [Google Scholar] [CrossRef]
- Glance, L.G.; Osler, T. Beyond the major trauma outcome study: Benchmarking performance using a national contemporary, population-based trauma registry. J. Trauma Inj. Infect. Crit. Care 2001, 51, 725–727. [Google Scholar] [CrossRef] [PubMed]
- De Munter, L.; Polinder, S.; Lansink, K.W.W.; Cnossen, M.C.; Steyerberg, E.W.; De Jongh, M.A.C. Mortality prediction models in the general trauma population: A systematic review. Injury 2017, 48, 221–229. [Google Scholar] [CrossRef] [PubMed]
- Champion, H.R.; Sacco, W.J.; Copes, W.S.; Gann, D.S.; Gennarelli, T.A.; Flanagan, M.E. A Revision of the Trauma Score. J. Trauma Inj. Infect. Crit. Care 1989, 29, 623–629. [Google Scholar] [CrossRef] [PubMed]
- Orhon, R.; Eren, S.H.; Karadayi, S.; Korkmaz, I.; Coşkun, A.; Eren, M.; Katrancioglu, N. Comparison of trauma scores for predicting mortality and morbidity on trauma patients. Turk. J. Trauma Emerg. Surg. 2014, 20, 258–264. [Google Scholar] [CrossRef] [PubMed]
- Salluh, J.I.; Soares, M. ICU severity of illness scores. Curr. Opin. Crit. Care 2014, 20, 557–565. [Google Scholar] [CrossRef] [PubMed]
- Rau, C.-S.; Wu, S.-C.; Chuang, J.-F.; Liu, H.-T.; Chien, P.-C.; Hsieh, C. Machine learning models of survival prediction in trauma patients. J. Clin. Med. 2019, 8, 799. [Google Scholar] [CrossRef] [PubMed]
- Knaus, W.; Draper, E.; Wagner, D.P.; Zimmerman, J. APACHE II: A severity of disease classification system. Crit. Care Med. 1985, 13, 818–829. [Google Scholar] [CrossRef]
- Le Gall, J.R. A new Simplified Acute Physiology Score (SAPS II) based on a European/North American multicenter study. JAMA 1993, 270, 2957–2963. [Google Scholar] [CrossRef]
- Lemeshow, S.; Klar, J.; Teres, D.; Avrunin, J.S.; Gehlbach, S.H.; Rapoport, J.; Rué, M. Mortality probability models for patients in the intensive care unit for 48 or 72 hours. Crit. Care Med. 1994, 22, 1351–1358. [Google Scholar] [CrossRef]
- Marshall, J.C.; Cook, D.; Christou, N.V.; Bernard, G.R.; Sprung, C.L.; Sibbald, W.J. Multiple organ dysfunction score. Crit. Care Med. 1995, 23, 1638–1652. [Google Scholar] [CrossRef] [PubMed]
- Vincent, J.-L.; Moreno, R.; Takala, J.; Willatts, S.; De Mendonça, A.; Bruining, H.; Reinhart, C.K.; Suter, P.M.; Thijs, L.G. The SOFA (Sepsis-related Organ Failure Assessment) score to describe organ dysfunction/failure. Intensiv. Care Med. 1996, 22, 707–710. [Google Scholar] [CrossRef] [PubMed]
- Le Gall, J.R. The Logistic Organ Dysfunction system. A new way to assess organ dysfunction in the intensive care unit. ICU Scoring Group. JAMA 1996, 276, 802–810. [Google Scholar] [CrossRef] [PubMed]
- Timsit, J.-F.; Fosse, J.P.; Troché, G.; De Lassence, A.; Alberti, C.; Garrouste-Orgeas, M.; Azoulay, E.; Chevret, S.; Moine, P.; Cohen, Y. Accuracy of a composite score using daily SAPS II and LOD scores for predicting hospital mortality in ICU patients hospitalized for more than 72 h. Intensiv. Care Med. 2001, 27, 1012–1021. [Google Scholar] [CrossRef]
- Karagöz, S.; Şeker, Y.T.; Çukurova, Z.; Hergünsel, O. The effectiveness of scoring systems in the prediction of diagnosis-based mortality. Ther. Apher. Dial. 2019, 23, 418–424. [Google Scholar] [CrossRef]
- Lefering, R.; Huber-Wagner, S.; Bouillon, B.; Lawrence, T.; Lecky, F.; Bouamra, O. Cross-validation of two prognostic trauma scores in severely injured patients. Eur. J. Trauma Emerg. Surg. 2020, 1–9. [Google Scholar] [CrossRef]
- Kaafarani, H.M.; Kongkaewpaisan, M.D.N.; Aicher, B.O.; Diaz, J.J.; Oʼmeara, L.B.; Decker, C.; Rodriquez, J.; Schroeppel, T.; Rattan, R.; Vasileiou, G.; et al. Prospective validation of the Emergency Surgery Score (ESS) in emergency general surgery. J. Trauma Acute Care Surg. 2020, 89, 118–124. [Google Scholar] [CrossRef]
- Sartelli, M.; Abu-Zidan, F.M.; Labricciosa, F.M.; Kluger, Y.; Coccolini, F.; Ansaloni, L.; Leppäniemi, A.; Kirkpatrick, A.W.; Tolonen, M.; Tranà, C.; et al. Physiological parameters for Prognosis in Abdominal Sepsis (PIPAS) Study: A WSES observational study. World J. Emerg. Surg. 2019, 14, 34. [Google Scholar] [CrossRef]
- Vincent, J.-L.; Moreno, R.P. Clinical review: Scoring systems in the critically ill. Crit. Care 2010, 14, 207. [Google Scholar] [CrossRef]
- Keuning, B.E.; Kaufmann, T.; Wiersema, R.; Granholm, A.; Pettilä, V.; Wøjdemann, M.; Christiansen, C.F.; Forte, J.C.; Snieder, H.; Keus, F.; et al. Mortality prediction models in the adult critically ill: A scoping review. Acta Anaesthesiol. Scand. 2019, 64, 424–442. [Google Scholar] [CrossRef]
- Hsieh, C.; Hsu, S.-Y.; Hsieh, H.-Y.; Chen, Y.-C. Differences between the sexes in motorcycle-related injuries and fatalities at a Taiwanese level I trauma center. Biomed. J. 2017, 40, 113–120. [Google Scholar] [CrossRef] [PubMed]
- Hsieh, C.; Liu, H.-T.; Hsu, S.-Y.; Hsieh, H.-Y.; Chen, Y.-C. Motorcycle-related hospitalizations of the elderly. Biomed. J. 2017, 40, 121–128. [Google Scholar] [CrossRef] [PubMed]
- Hsieh, C.; Chen, Y.-C.; Hsu, S.-Y.; Hsieh, H.-Y.; Chien, P.-C. Defining polytrauma by abbreviated injury scale ≥ 3 for a least two body regions is insufficient in terms of short-term outcome: A cross-sectional study at a level I trauma center. Biomed. J. 2018, 41, 321–327. [Google Scholar] [CrossRef] [PubMed]
- Rapsang, A.G.; Shyam, D.C. Scoring systems in the intensive care unit: A compendium. Indian J. Crit. Care Med. 2014, 18, 220–228. [Google Scholar] [CrossRef] [PubMed]
- Delong, E.R.; Delong, D.M.; Clarke-Pearson, D.L. Comparing the areas under two or more correlated receiver operating characteristic curves: A nonparametric approach. Biometrics 1988, 44, 837. [Google Scholar] [CrossRef]
- Discacciati, A.; Crippa, A.; Orsini, N. Goodness of fit tools for dose-response meta-analysis of binary outcomes. Res. Synth. Methods 2015, 8, 149–160. [Google Scholar] [CrossRef]
- Glenn, W.B. Verification of forecasts expressed in terms of probability. Mon. Weather Rev. 1950, 78, 1–3. [Google Scholar]
- Lemeshow, S.; Teres, D.; Klar, J.; Avrunin, J.S.; Gehlbach, S.H.; Rapoport, J. Mortality Probability Models (MPM II) based on an international cohort of intensive care unit patients. JAMA 1993, 270, 2478–2486. [Google Scholar] [CrossRef]
- Lemeshow, S. Modeling the severity of illness of ICU patients. A systems update. JAMA 1994, 272, 1049–1055. [Google Scholar] [CrossRef]
- Haniffa, R.; Isaam, I.; De Silva, A.; Dondorp, A.; De Keizer, N. Performance of critical care prognostic scoring systems in low and middle-income countries: A systematic review. Crit. Care 2018, 22, 18. [Google Scholar] [CrossRef]
- Higgins, T.L.; Teres, D.; Copes, W.S.; Nathanson, B.H.; Stark, M.; A Kramer, A. Assessing contemporary intensive care unit outcome: An updated Mortality Probability Admission Model (MPM0-III)*. Crit. Care Med. 2007, 35, 827–835. [Google Scholar] [CrossRef] [PubMed]
- Kuzniewicz, M.W.; Vasilevskis, E.E.; Lane, R.; Dean, M.L.; Trivedi, N.G.; Rennie, D.J.; Clay, T.; Kotler, P.L.; Dudley, R.A. Variation in ICU Risk-Adjusted Mortality. Chest 2008, 133, 1319–1327. [Google Scholar] [CrossRef] [PubMed]



| Variables | Total | Mortality | p-Value | ||
|---|---|---|---|---|---|
| (n = 1554) | No (n = 1376) | Yes (n = 178) | |||
| Sex | Female | 529 (34.0%) | 478 (34.7%) | 51 (28.7%) | 0.111 |
| Male | 1025 (66.0%) | 898 (65.3%) | 127 (71.4%) | ||
| Diabetes mellitus (DM) | No | 1257 (80.9%) | 1121 (81.5%) | 136 (76.4%) | 0.106 |
| Yes | 297 (19.1%) | 255 (18.5%) | 42 (23.6%) | ||
| Hypertension (HTN) | No | 1023 (65.8%) | 924 (67.2%) | 99 (55.6%) | 0.003 |
| Yes | 531 (34.2%) | 452 (32.9%) | 79 (44.4%) | ||
| Coronary artery disease (CAD) | No | 1423 (91.6%) | 1274 (92.6%) | 149 (83.7%) | <0.001 |
| Yes | 131 (8.4%) | 102 (7.4%) | 29 (16.3%) | ||
| Congestive heart failure (CHF) | No | 1548 (99.6%) | 1372 (99.7%) | 176 (98.9%) | 0.144 |
| Yes | 6 (0.4%) | 4 (0.3%) | 2 (1.1%) | ||
| Cerebral vascular accident (CVA) | No | 1464 (94.2%) | 1299 (94.4%) | 165 (92.7%) | 0.392 |
| Yes | 90 (5.8%) | 77 (5.6%) | 13 (7.3%) | ||
| End-stage renal disease (ESRD) | No | 1507 (97.0%) | 1343 (97.6%) | 164 (92.1%) | <0.001 |
| Yes | 47 (3.0%) | 33 (2.4%) | 14 (7.9%) | ||
| Abbreviated Injury Scale (AIS, Head) | 0 | 403 (25.9%) | 384 (27.9%) | 19 (10.7%) | <0.001 |
| 1 | 18 (1.2%) | 18 (1.3%) | 0 (0.0%) | ||
| 2 | 110 (7.1%) | 108 (7.9%) | 2 (1.1%) | ||
| 3 | 524 (33.7%) | 511 (37.1%) | 13 (7.3%) | ||
| 4 | 270 (17.4%) | 236 (17.2%) | 34 (19.1%) | ||
| 5 | 223 (14.4%) | 118 (8.6%) | 105 (59.0%) | ||
| 6 | 6 (0.4%) | 1 (0.1%) | 5 (2.8%) | ||
| AIS (Face) | 0 | 1265 (81.4%) | 1118 (81.3%) | 147 (82.6%) | 0.939 |
| 1 | 56 (3.6%) | 49 (3.6%) | 7 (3.9%) | ||
| 2 | 224 (14.4%) | 201 (14.6%) | 23 (12.9%) | ||
| 3 | 9 (0.6%) | 8 (0.6%) | 1 (0.6%) | ||
| AIS (Thorax) | 0 | 1066 (68.6%) | 958 (69.6%) | 108 (60.7%) | <0.001 |
| 1 | 42 (2.7%) | 39 (2.8%) | 3 (1.7%) | ||
| 2 | 116 (7.5%) | 101 (7.3%) | 15 (8.4%) | ||
| 3 | 288 (18.5%) | 249 (18.1%) | 39 (21.9%) | ||
| 4 | 23 (1.5%) | 14 (1.0%) | 9 (5.1%) | ||
| 5 | 19 (1.2%) | 15 (1.1%) | 4 (2.3%) | ||
| AIS (Abdomen) | 0 | 1271 (81.8%) | 1120 (81.4%) | 151 (84.8%) | 0.055 |
| 2 | 108 (7.0%) | 99 (7.2%) | 9 (5.1%) | ||
| 3 | 86 (5.5%) | 83 (6.0%) | 3 (1.7%) | ||
| 4 | 61 (3.9%) | 51 (3.7%) | 10 (5.6%) | ||
| 5 | 28 (1.8%) | 23 (1.7%) | 5 (2.8%) | ||
| AIS (Extremities) | 0 | 1004 (64.6%) | 890 (64.7%) | 114 (64.0%) | 0.833 |
| 1 | 9 (0.6%) | 8 (0.6%) | 1 (0.6%) | ||
| 2 | 364 (23.4%) | 323 (23.5%) | 41 (23.0%) | ||
| 3 | 157 (10.1%) | 139 (10.1%) | 18 (10.1%) | ||
| 4 | 20 (1.3%) | 16 (1.2%) | 4 (2.3%) | ||
| AIS (External) | 0 | 1404 (90.4%) | 1235 (89.8%) | 169 (94.9%) | 0.168 |
| 1 | 87 (5.6%) | 84 (6.1%) | 3 (1.7%) | ||
| 2 | 32 (2.1%) | 29 (2.1%) | 3 (1.7%) | ||
| 3 | 11 (0.7%) | 11 (0.8%) | 0 (0.0%) | ||
| 4 | 6 (0.4%) | 5 (0.4%) | 1 (0.6%) | ||
| 5 | 14 (0.9%) | 12 (0.9%) | 2 (1.1%) | ||
| Variables | Total | Mortality | p-Value | |
|---|---|---|---|---|
| (n = 1554) | No (n = 1376) | Yes (n = 178) | ||
| Age (years) | 58 (41,71) | 57 (40,71) | 65 (49,76) | <0.001 |
| Body mass index (BMI) | 23.6 (21.0, 26.6) | 23.5 (20.9, 26.6) | 23.7 (21.1, 26.6) | 0.575 |
| Temperature (°C) | 37 (36,37) | 36.8 (36.2, 37.4) | 36.0 (35.0, 37.1) | <0.001 |
| Systolic blood pressure (SBP, mmHg) | 140 (123,156) | 141 (125,156) | 132 (105,155) | <0.001 |
| Diastolic blood pressure (DBP, mmHg) | 77 (66,88) | 78 (67,88) | 71 (56,83) | <0.001 |
| Mean arterial pressure (MAP, mmHg) | 98 (87,109) | 99 (88,109) | 93 (74,105) | <0.001 |
| Heart rate (times/min) | 89 (77,102) | 88 (76,101) | 99 (84,117) | <0.001 |
| Respiratory rate (times/min) | 18 (15,21) | 18 (15,21) | 16 (13,21) | 0.009 |
| Glasgow Coma Scale (GCS) | 13 (9,15) | 14 (10,15) | 4 (3,7) | <0.001 |
| Injury Severity Score (ISS) | 16 (9,24) | 16 (9,20) | 25 (25,34) | <0.001 |
| Sodium (Na, mEq/L) | 139 (137,140) | 139 (137,140) | 138 (136,141) | 0.585 |
| Potassium (K, mEq/L) | 4 (3,4) | 3.7 (3.3, 4.0) | 3.7 (3.2, 4.1) | 0.667 |
| Blood urine nitrogen (BUN, mg/dL) | 14 (11,19) | 14 (11,19) | 16 (12,24) | <0.001 |
| Creatinine (Cr, mg/dL) | 0.94 (0.75, 1.19) | 0.92 (0.74, 1.14) | 1.16 (0.92, 1.64) | <0.001 |
| Bilirubin (mg/dL) | 0.8 (0.6, 1.1) | 0.8 (0.6, 1.1) | 0.8 (0.5, 1.1) | 0.937 |
| White Blood Cell (WBC, 103/uL) | 12.6 (9.0, 17.4) | 12.6 (8.9, 17.5) | 12.4 (9.7, 16.6) | 0.948 |
| Hematocrit (Hct, %) | 38.2 (33.8, 42.0) | 38.6 (34.4, 42.0) | 34.9 (30.2, 40.5) | <0.001 |
| Platelets (103/uL) | 199 (160,242) | 203 (163,247) | 176 (127,216) | <0.001 |
| Oxygenation (mmHg) | 121.8 (84.5, 176.1) | 120.9 (85.7, 170.9) | 130.3 (80.7, 203.2) | 0.234 |
| Arterial pH | 7.4 (7.3, 7.4) | 7.4 (7.4, 7.4) | 7.4 (7.3, 7.4) | <0.001 |
| HCO3 (meq/L) | 21.8 (19.4, 23.6) | 22.1 (19.7, 23.8) | 20.4 (17.0, 22.4) | <0.001 |
| Urine output (L/day) | 2.0 (1.5, 2.7) | 2.1 (1.5, 2.7) | 1.8 (1.0, 2.8) | 0.001 |
| Length of stay in hospital (days) | 12 (7,22) | 13 (7,22) | 5 (1,14) | <0.001 |
| Variables | Total | Mortality | p-Value | |
|---|---|---|---|---|
| (n = 1554) | No (n = 1376) | Yes (n = 178) | ||
| Trauma and Injury Severity Score (TRISS) | 0.96 (0.89, 0.98) | 0.97 (0.91, 0.98) | 0.61 (0.27, 0.89) | <0.001 |
| Acute Physiology and Chronic Health Evaluation (APACHE II) | 12 (8,18) | 11 (7,16) | 24 (20,29) | <0.001 |
| Simplified Acute Physiology Score (SAPS II) | 24 (17,35) | 23 (15,31) | 52 (41,60) | <0.001 |
| Mortality prediction model (MPM II) | 10.8 (6.6, 19.2) | 10.0 (6.2, 15.3) | 59.3 (35.7, 76.5) | <0.001 |
| MPM II 24 h | 7.0 (4.0, 11.7) | 6.4 (3.7, 10.0) | 47.3 (21.9, 65.1) | <0.001 |
| MPM II 48 h | 8.8 (5.1, 14.9) | 8.0 (4.6, 12.9) | 49.3 (22.7, 67.2) | <0.001 |
| MPM II 72 h | 11.1 (6.0, 19.2) | 9.6 (5.7, 15.9) | 51.3 (25.8, 69.1) | <0.001 |
| Multiple Organ Dysfunction Score (MODS) | 2 (1,4) | 2 (1,3) | 6 (4,8) | <0.001 |
| Sequential Organ Failure Assessment (SOFA) | 2 (1,4) | 2 (1,4) | 6 (4,9) | <0.001 |
| Logistic Organ Dysfunction Score (LODS) | 2 (1,4) | 1 (0,3) | 7 (5,9) | <0.001 |
| Three Days Recalibrated ICU Outcome Score (TRIOS) | 6.5 (3.1, 14.1) | 5.9 (2.9, 10.7) | 27.3 (16.5, 46.2) | <0.001 |
| Performance | The Area under the Curve (AUC) of Receiver Operating Characteristic (ROC) Curves | ||||||||||
|---|---|---|---|---|---|---|---|---|---|---|---|
| 88.14% | 89.23% | 90.44% | 90.63% | 92.13% | 91.05% | 89.56% | 81.79% | 70.73% | 90.13% | 87.04% | |
| Variables | TRISS | APACHE II | SAPS II | MPM II | MPM II 24 h | MPM II 48 h | MPM II 72 h | MODS | SOFA | LODS | TRIOS |
| TRISS | - | 0.41 | 0.07 | 0.04 | <0.001 | <0.001 | <0.001 | <0.001 | <0.001 | 0.12 | 0.13 |
| APACHE II | - | - | 0.17 | 0.09 | <0.001 | <0.001 | <0.001 | <0.001 | <0.001 | 0.37 | 0.13 |
| SAPS II | - | - | - | 0.79 | 0.01 | 0.02 | <0.001 | <0.001 | <0.001 | 0.74 | 0.75 |
| MPM II | - | - | - | - | <0.001 | 0.01 | <0.001 | <0.001 | <0.001 | 0.59 | 0.54 |
| MPM II 24 h | - | - | - | - | - | 0.37 | 0.10 | <0.001 | <0.001 | 0.03 | 0.01 |
| MPM II 48 h | - | - | - | - | - | - | 0.01 | <0.001 | <0.001 | 0.01 | 0.01 |
| MPM II 72 h | - | - | - | - | - | - | - | <0.001 | <0.001 | <0.001 | <0.001 |
| MODS | - | - | - | - | - | - | - | - | <0.001 | <0.001 | <0.001 |
| SOFA | - | - | - | - | - | - | - | - | - | <0.001 | <0.001 |
| LODS | - | - | - | - | - | - | - | - | - | - | 0.46 |
© 2020 by the authors. Licensee MDPI, Basel, Switzerland. This article is an open access article distributed under the terms and conditions of the Creative Commons Attribution (CC BY) license (http://creativecommons.org/licenses/by/4.0/).
Share and Cite
Wu, S.-C.; Chou, S.-E.; Liu, H.-T.; Hsieh, T.-M.; Su, W.-T.; Chien, P.-C.; Hsieh, C.-H. Performance of Prognostic Scoring Systems in Trauma Patients in the Intensive Care Unit of a Trauma Center. Int. J. Environ. Res. Public Health 2020, 17, 7226. https://doi.org/10.3390/ijerph17197226
Wu S-C, Chou S-E, Liu H-T, Hsieh T-M, Su W-T, Chien P-C, Hsieh C-H. Performance of Prognostic Scoring Systems in Trauma Patients in the Intensive Care Unit of a Trauma Center. International Journal of Environmental Research and Public Health. 2020; 17(19):7226. https://doi.org/10.3390/ijerph17197226
Chicago/Turabian StyleWu, Shao-Chun, Sheng-En Chou, Hang-Tsung Liu, Ting-Min Hsieh, Wei-Ti Su, Peng-Chen Chien, and Ching-Hua Hsieh. 2020. "Performance of Prognostic Scoring Systems in Trauma Patients in the Intensive Care Unit of a Trauma Center" International Journal of Environmental Research and Public Health 17, no. 19: 7226. https://doi.org/10.3390/ijerph17197226
APA StyleWu, S.-C., Chou, S.-E., Liu, H.-T., Hsieh, T.-M., Su, W.-T., Chien, P.-C., & Hsieh, C.-H. (2020). Performance of Prognostic Scoring Systems in Trauma Patients in the Intensive Care Unit of a Trauma Center. International Journal of Environmental Research and Public Health, 17(19), 7226. https://doi.org/10.3390/ijerph17197226

