Kriging-Based Land-Use Regression Models That Use Machine Learning Algorithms to Estimate the Monthly BTEX Concentration
Abstract
1. Introduction
2. Materials and Methods
2.1. Study Area
2.2. Air Pollutant Database
2.3. Geospatial Database
2.4. LUR Model Development and Validation
3. Results
3.1. Descriptive Statistics for BTEX Concentrations
3.2. Development and Validation of The LUR and Machine Learning Models
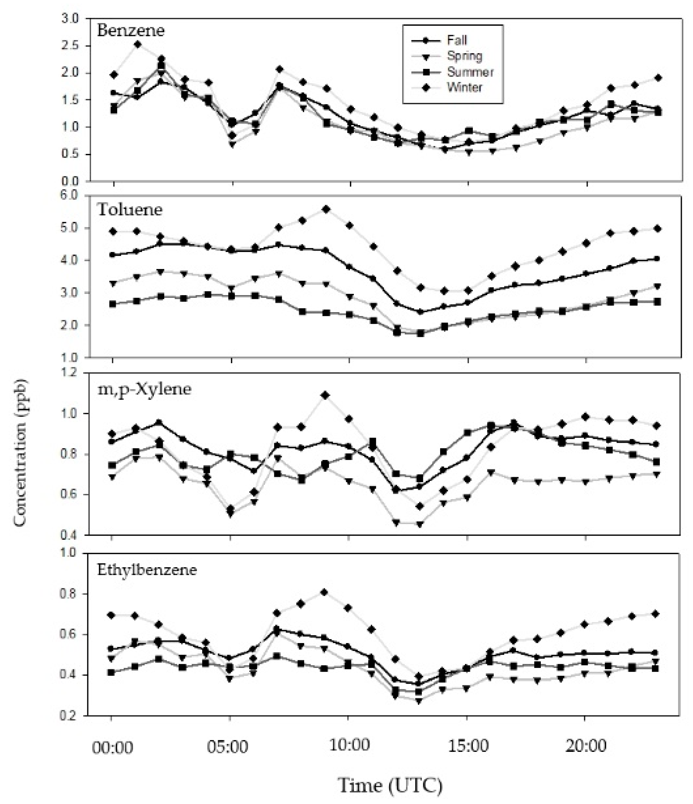
3.3. Spatiotemporal Distribution of BTEX
4. Discussion
5. Conclusions
Supplementary Materials
Author Contributions
Funding
Acknowledgments
Conflicts of Interest
References
- Heibati, B.; Pollitt, K.J.G.; Karimi, A.; Charati, J.Y.; Ducatman, A.; Shokrzadeh, M.; Mohammadyan, M. BTEX exposure assessment and quantitative risk assessment among petroleum product distributors. Ecotoxicol. Environ. Saf. 2017, 144, 445–449. [Google Scholar] [CrossRef]
- Liu, J.P.; Yang, Y.; Xu, S.H.; Zhao, Y.Y.; Wang, Y.; Zhang, F.H. A Geographically Temporal Weighted Regression Approach with Travel Distance for House Price Estimation. Entropy 2016, 18, 303. [Google Scholar] [CrossRef]
- Kennes, C.; Veiga, M.C. Fungal biocatalysts in the biofiltration of VOC-polluted air. J. Biotechnol. 2004, 113, 305–319. [Google Scholar] [CrossRef] [PubMed]
- Yassaa, N.; Brancaleoni, E.; Frattoni, M.; Ciccioli, P. Isomeric analysis of BTEXs in the atmosphere using beta-cyclodextrin capillary chromatography coupled with thermal desorption and mass spectrometry. Chemosphere 2006, 63, 502–508. [Google Scholar] [PubMed]
- Correa, S.M.; Arbilla, G.; Marques, M.R.C.; Oliveira, K.M.P.G. The impact of BTEX emissions from gas stations into the atmosphere. Atmos. Pollut. Res. 2012, 3, 163–169. [Google Scholar] [CrossRef]
- Jiang, Z.H.; Grosselin, B.; Daele, V.; Mellouki, A.; Mu, Y.J. Seasonal and diurnal variations of BTEX compounds in the semi-urban environment of Orleans, France. Sci. Total Environ. 2017, 574, 1659–1664. [Google Scholar] [CrossRef] [PubMed]
- Kountouriotis, A.; Aleiferis, P.G.; Charalambides, A.G. Numerical investigation of VOC levels in the area of petrol stations. Sci. Total Environ. 2014, 470, 1205–1224. [Google Scholar] [CrossRef]
- IARC. Chemical agents and related occupations. IARC Monogr. Eval. Carcinog Risks Hum. 2012, 100 Pt F, 9–562. [Google Scholar]
- Moolla, R.; Curtis, C.J.; Knight, J. Occupational Exposure of Diesel Station Workers to BTEX Compounds at a Bus Depot. Int. J. Environ. Res. Public Health 2015, 12, 4101–4115. [Google Scholar] [CrossRef]
- Bolden, A.L.; Kwiatkowski, C.F.; Colborn, T. New Look at BTEX: Are Ambient Levels a Problem? Environ. Sci. Technol. 2015, 49, 5261–5276. [Google Scholar]
- Mo, Z.W.; Shao, M.; Lu, S.H.; Qu, H.; Zhou, M.Y.; Sun, J.; Gou, B. Process-specific emission characteristics of volatile organic compounds (VOCs) from petrochemical facilities in the Yangtze River Delta, China. Sci. Total Environ. 2015, 533, 422–431. [Google Scholar] [CrossRef] [PubMed]
- Yu, C.L.; Wang, S.F.; Pan, P.C.; Wu, M.T.; Ho, C.K.; Smith, T.J.; Li, Y.; Pothier, L.; Christiani, D.C. Residential exposure to petrochemicals and the risk of leukemia: Using Geographic Information System tools to estimate individual-level residential exposure. Am. J. Epidemiol. 2006, 164, 200–207. [Google Scholar] [CrossRef]
- Liu, Y.; Shao, M.; Fu, L.; Lu, S.; Zeng, L.; Tang, D. Source profiles of volatile organic compounds (VOCs) measured in China: Part I. Atmos. Environ. 2008, 42, 6247–6260. [Google Scholar] [CrossRef]
- Amini, H.; Schindler, C.; Hossein, V.; Yunesian, M.; Kunzli, N. Land Use Regression Models for Alkylbenzenes in a Middle Eastern Megacity: Tehran Study of Exposure Prediction for Environmental Health Research (Tehran SEPEHR). Environ. Sci. Technol. 2017, 51, 8481–8490. [Google Scholar] [CrossRef]
- Gaeta, A.; Cattani, G.; di Bucchianico, A.D.; De Santis, A.; Cesaroni, G.; Badaloni, C.; Ancona, C.; Forastiere, F.; Sozzi, R.; Bolignano, A.; et al. Development of nitrogen dioxide and volatile organic compounds land use regression models to estimate air pollution exposure near an Italian airport. Atmos. Environ. 2016, 131, 254–262. [Google Scholar] [CrossRef]
- Poirier, A.; Dodds, L.; Dummer, T.; Rainham, D.; Maguire, B.; Johnson, M. Maternal Exposure to Air Pollution and Adverse Birth Outcomes in Halifax, Nova Scotia. J. Occup. Environ. Med. 2015, 57, 1291–1298. [Google Scholar] [CrossRef] [PubMed]
- Wu, C.D.; Zeng, Y.T.; Lung, S.C.C. A hybrid kriging/land-use regression model to assess PM2.5 spatial-temporal variability. Sci. Total Environ. 2018, 645, 1456–1464. [Google Scholar] [CrossRef] [PubMed]
- McMillen, D.P. Geographically weighted regression: The analysis of spatially varying relationships. Am. J. Agric. Econ. 2004, 86, 554–556. [Google Scholar] [CrossRef]
- Joharestani, M.Z.; Cao, C.X.; Ni, X.L.; Bashir, B.; Talebiesfandarani, S. PM2.5 Prediction Based on Random Forest, XGBoost, and Deep Learning Using Multisource Remote Sensing Data. Atmosphere 2019, 10, 373. [Google Scholar] [CrossRef]
- Ma, J.H.; Yu, Z.Q.; Qu, Y.H.; Xu, J.M.; Cao, Y. Application of the XGBoost Machine Learning Method in PM2.5 Prediction: A Case Study of Shanghai. Aerosol Air Qual. Res. 2020, 20, 128–138. [Google Scholar] [CrossRef]
- Araki, S.; Shima, M.; Yamamoto, K. Spatiotemporal land use random forest model for estimating metropolitan NO2 exposure in Japan. Sci. Total Environ. 2018, 634, 1269–1277. [Google Scholar] [CrossRef]
- Löfroth, G.; Stensman, C.; Brandhorstsatzkorn, M. Indoor Sources of Mutagenic Aerosol Particulate Matter-Smoking, Cooking and Incense Burning. Mutat. Res. 1991, 261, 21–28. [Google Scholar] [CrossRef]
- Tranfo, G.; Pigini, D.; Paci, E.; Bauleo, L.; Forastiere, F.; Ancona, C. Biomonitoring of Urinary Benzene Metabolite SPMA in the General Population in Central Italy. Toxics 2018, 6, 37. [Google Scholar] [CrossRef] [PubMed]
- Alghamdi, M.A.; Khoder, M.; Abdelmaksoud, A.S.; Harrison, R.M.; Hussein, T.; Lihavainen, H.; Al-Jeelani, H.; Goknil, M.H.; Shabbaj, I.I.; Almehmadi, F.M.; et al. Seasonal and diurnal variations of BTEX and their potential for ozone formation in the urban background atmosphere of the coastal city Jeddah, Saudi Arabia. Air Qual. Atmos. Health 2014, 7, 467–480. [Google Scholar] [CrossRef]
- Wang, M.; Zhu, T.; Zheng, J.; Zhang, R.Y.; Zhang, S.Q.; Xie, X.X.; Han, Y.Q.; Li, Y. Use of a mobile laboratory to evaluate changes in on-road air pollutants during the Beijing 2008 Summer Olympics. Atmos. Chem. Phys. 2009, 9, 8247–8263. [Google Scholar] [CrossRef]
- Hsu, C.Y.; Wu, C.D.; Hsiao, Y.P.; Chen, Y.C.; Chen, M.J.; Lung, S.C.C. Developing Land-Use Regression Models to Estimate PM2.5-Bound Compound Concentrations. Remote Sens. 2018, 10, 1971. [Google Scholar] [CrossRef]
- Hsu, C.Y.; Wu, J.Y.; Chen, Y.C.; Chen, N.T.; Chen, M.J.; Pan, W.C.; Lung, S.C.C.; Guo, Y.L.; Wu, C.D. Asian Culturally Specific Predictors in a Large-Scale Land Use Regression Model to Predict Spatial-Temporal Variability of Ozone Concentration. Int. J. Environ. Res. Public Health 2019, 16, 1300. [Google Scholar] [CrossRef]
- Wu, C.D.; Cheng, C.C.; Lo, H.C.; Chen, Y.K. Study on estimating the evapotranspiration cover coefficient for stream flow simulation through remote sensing techniques. Int. J. Appl. Earth Obs. Geoinf. 2010, 12, 225–232. [Google Scholar] [CrossRef]
- Wu, C.D.; Chen, Y.C.; Pan, W.C.; Zeng, Y.T.; Chen, M.J.; Guo, Y.L.; Lung, S.C.C. Land Use Regression with Long-term Satellite based Greenness Index and Culture-Specific Sources to Model PM2.5 Spatial-Temporal Variability. Environ. Pollut. 2017, 224, 148–157. [Google Scholar]
- Breiman, L. Random forests. Mach. Learn. 2001, 45, 5–32. [Google Scholar] [CrossRef]
- Chen, T.; Guestrin, C. Xgboost: A Scalable Tree Boosting System; Cornell Univ.: Ithaca, NY, USA, 2016; pp. 785–794. [Google Scholar]
- Li, L.; Li, H.; Zhang, X.M.; Wang, L.; Xu, L.H.; Wang, X.Z.; Yu, Y.T.; Zhang, Y.J.; Cao, G. Pollution characteristics and health risk assessment of benzene homologues in ambient air in the northeastern urban area of Beijing, China. J. Environ. Sci. (China) 2014, 26, 214–223. [Google Scholar] [CrossRef]
- Zhou, J.A.; You, Y.; Bai, Z.P.; Hu, Y.D.; Zhang, J.F.; Zhang, N. Health risk assessment of personal inhalation exposure to volatile organic compounds in Tianjin, China. Sci. Total Environ. 2011, 409, 452–459. [Google Scholar] [CrossRef] [PubMed]
- Hsu, C.Y.; Chiang, H.C.; Shie, R.H.; Ku, C.H.; Lin, T.Y.; Chen, M.J.; Chen, N.T.; Chen, Y.C. Ambient VOCs in residential areas near a large-scale petrochemical complex: Spatiotemporal variation, source apportionment and health risk. Environ. Pollut. 2018, 240, 95–104. [Google Scholar] [CrossRef] [PubMed]
- Zhang, Y.C.; Li, R.; Fu, H.B.; Zhou, D.; Chen, J.M. Observation and analysis of atmospheric volatile organic compounds in a typical petrochemical area in Yangtze River Delta, China. J. Environ. Sci. (China) 2018, 71, 233–248. [Google Scholar] [CrossRef]
- Zhang, Y.J.; Mu, Y.J.; Liu, J.F.; Mellouki, A. Levels, sources and health risks of carbonyls and BTEX in the ambient air of Beijing, China. J. Environ. Sci. (China) 2012, 24, 124–130. [Google Scholar] [CrossRef]
- Na, K.; Kim, Y.P.; Moon, K.C. Diurnal characteristics of volatile organic compounds in the Seoul atmosphere. Atmos. Environ. 2003, 37, 733–742. [Google Scholar] [CrossRef]
- Borbon, A.; Locoge, N.; Veillerot, M.; Galloo, J.C.; Guillermo, R. Characterisation of NMHCs in a French urban atmosphere: Overview of the main sources. Sci. Total Environ. 2002, 292, 177–191. [Google Scholar] [CrossRef]
- Tang, J.H.; Chan, L.Y.; Chan, C.Y.; Li, Y.S.; Chang, C.C.; Liu, S.C.; Wu, D.; Li, Y.D. Characteristics and diurnal variations of NMHCs at urban, suburban, and rural sites in the Pearl River Delta and a remote site in South China. Atmos. Environ. 2007, 41, 8620–8632. [Google Scholar] [CrossRef]
- Aguilera, I.; Sunyer, J.; Fernandez-Patier, R.; Hoek, G.; Aguirre-Alfaro, A.; Meliefste, K.; Bomboi-Mingarro, M.T.; Nieuwenhuijsen, M.J.; Herce-Garraleta, D.; Brunekreef, B. Estimation of outdoor NOx, NO2, and BTEX exposure in a cohort of pregnant women using land use regression modeling. Environ. Sci. Technol. 2008, 42, 815–821. [Google Scholar] [CrossRef]
- Mukerjee, S.; Smith, L.; Neas, L.; Norris, G. Evaluation of Land Use Regression Models for Nitrogen Dioxide and Benzene in Four US Cities. Sci. World J. 2012, 2012, 1–8. [Google Scholar] [CrossRef]
- Smith, L.A.; Mukerjee, S.; Chung, K.C.; Afghani, J. Spatial analysis and land use regression of VOCs and NO2 in Dallas, Texas during two seasons. J. Environ. Monit. 2011, 13, 999–1007. [Google Scholar] [PubMed]
- Atari, D.O.; Luginaah, I.N. Assessing the distribution of volatile organic compounds using land use regression in Sarnia, “Chemical Valley”, Ontario, Canada. Environ. Health 2009, 8, 16. [Google Scholar] [PubMed]
- Su, J.G.; Jerrett, M.; Beckerman, B.; Verma, D.; Arain, M.A.; Kanaroglou, P.; Stieb, D.; Finkelstein, M.; Brook, J. A land use regression model for predicting ambient volatile organic compound concentrations in Toronto, Canada. Atmos. Environ. 2010, 44, 3529–3537. [Google Scholar]
- Mukerjee, S.; Smith, L.A.; Johnson, M.M.; Neas, L.M.; Stallings, C.A. Spatial analysis and land use regression of VOCs and NO2 from school-based urban air monitoring in Detroit/Dearborn, USA. Sci. Total Environ. 2009, 407, 4642–4651. [Google Scholar] [PubMed]
- Kheirbek, I.; Johnson, S.; Ross, Z.; Pezeshki, G.; Ito, K.; Eisl, H.; Matte, T. Spatial variability in levels of benzene, formaldehyde, and total benzene, toluene, ethylbenzene and xylenes in New York City: A land-use regression study. Environ. Health 2012, 11, 51. [Google Scholar] [PubMed]
- TWEPA. Taiwan Emission Data System (TEDS), Version 8.1. 2015. Available online: http://teds.epa.gov.tw/new_main2-0-1.htm (accessed on 15 June 2020).
- Lee, S.C.; Wang, B. Characteristics of emissions of air pollutants from burning of incense in a large environmental chamber. Atmos. Environ. 2004, 38, 941–951. [Google Scholar]
- Lui, K.H.; Bandowe, B.A.M.; Ho, S.S.H.; Chuang, H.C.; Cao, J.J.; Chuang, K.J.; Lee, S.C.; Hu, D.; Ho, K.F. Characterization of chemical components and bioreactivity of fine particulate matter (PM2.5) during incense burning. Environ. Pollut. 2016, 213, 524–532. [Google Scholar]
- Lung, S.C.C.; Hsiao, P.K.; Wen, T.Y.; Liu, C.H.; Fu, C.B.; Cheng, Y.T. Variability of intra–urban exposure to particulate matter and CO from Asian-type community pollution sources. Atmos. Environ. 2014, 83, 6–13. [Google Scholar]
- Wang, B.; Lee, S.C.; Ho, K.F.; Kang, Y.M. Characteristics of emissions of air pollutants from burning of incense in temples, Hong Kong. Sci. Total Environ. 2007, 377, 52–60. [Google Scholar]
- Navasumrit, P.; Arayasiri, M.; Hiang, O.M.T.; Leechawengwongs, M.; Promvijit, J.; Choonvisase, S.; Chantchaemsai, S.; Nakngam, N.; Mahidol, C.; Ruchirawat, M. Potential health effects of exposure to carcinogenic compounds in incense smoke in temple workers. Chem. Biol. Interact. 2008, 173, 19–31. [Google Scholar]
- Johnson, M.; Isakov, V.; Touma, J.S.; Mukerjee, S.; Ozkaynak, H. Evaluation of land-use regression models used to predict air quality concentrations in an urban area. Atmos. Environ. 2010, 44, 3660–3668. [Google Scholar] [CrossRef]



| BTEX | Variable | Coefficient | p-Value | Partial R2 | VIF |
|---|---|---|---|---|---|
| Benzene | Intercept | 1.964 | <0.05 | - | - |
| BenzeneKriging-based | 0.223 | <0.05 | 0.006 | 1.395 | |
| Ultraviolet | −0.163 | <0.05 | 0.045 | 1.394 | |
| Rice farm150m | 0.002 | <0.05 | 0.068 | 1.272 | |
| HarborNearest distance | −1.113 × 10−4 | <0.05 | 0.070 | 1.163 | |
| Industry500m | 0.002 | <0.05 | 0.240 | 1.185 | |
| Toluene | Intercept | −1.229 | <0.05 | - | - |
| TolueneKriging-based | 0.581 | <0.05 | 0.061 | 2.366 | |
| Nitrogen Oxides | 0.068 | <0.05 | 0.246 | 2.311 | |
| Water bodyNearest distance | 5.966 × 10−4 | <0.05 | 0.001 | 1.412 | |
| Purely residential area250m | 0.002 | <0.05 | 0.048 | 1.649 | |
| Sandstone field150m | −0.005 | <0.05 | 0.058 | 1.102 | |
| Sandstone field 2500m | 0.002 | <0.05 | 0.002 | 1.257 | |
| Industry150m | 6.208 × 10−4 | <0.05 | 0.025 | 1.406 | |
| All types of road(width)50m | 3.241 × 10−4 | 0.153 | 0.005 | 1.359 | |
| Temple250m | 0.515 | <0.05 | 0.071 | 1.403 | |
| Ethylbenzene | Intercept | −0.105 | 0.442 | - | - |
| EthylbenzeKriging-based | 0.072 | 0.239 | 0.007 | 1.097 | |
| SO2 | 0.094 | <0.05 | 0.032 | 1.342 | |
| winter | 0.114 | <0.05 | 0.011 | 1.299 | |
| Industry250m | 3.737 × 10−4 | <0.05 | 0.160 | 1.072 | |
| Temple250m | 0.105 | <0.05 | 0.096 | 1.056 | |
| Sandstone field 500m | −3.224 × 10−4 | <0.05 | 0.010 | 1.928 | |
| Fruit orchard50m | 6.428 × 10−4 | <0.05 | 0.038 | 1.635 | |
| Fruit orchard1500m | 5.927 × 10−4 | 0.161 | 0.003 | 2.434 | |
| m,p-Xylene | Intercept | −0.045 | 0.778 | - | - |
| m,p-XyleneKriging-based | 0.432 | <0.05 | 0.041 | 1.062 | |
| Sandstone field 150m | −8.339 × 10−4 | 0.079 | 0.040 | 1.169 | |
| Funerary services1250m | 0.003 | <0.05 | 0.011 | 1.041 | |
| Industry50m | 6.963 × 10−4 | <0.05 | 0.075 | 1.516 | |
| Local road250m | 16.121 | <0.05 | 0.010 | 1.518 | |
| Temple250m | 0.364 | <0.05 | 0.248 | 1.042 |
| BTEX | Statistic | Hybrid Kriging-LUR | GWR-Hybrid LUR | RF-Hybrid LUR | XGBoost-Hybrid LUR |
|---|---|---|---|---|---|
| Benzene | R2 (training, testing) | 0.45 (0.43, 0.55) | 0.47 (0.46, 0.45) | 0.57 (0.59, 0.42) | 0.63 (0.65, 0.53) |
| Adjusted R2 (training, testing) | 0.45 (0.42, 0.54) | 0.47 (0.46, 0.44) | 0.56 (0.59, 0.38) | 0.63 (0.64, 0.50) | |
| RMSE (training, testing) | 1.24 (1.29, 1.06) | 1.22 (1.23, 0.44) | 1.10 (1.11, 1.04) | 1.02 (1.01, 1.03) | |
| Toluene | R2 (training, testing) | 0.52 (0.52, 0.56) | 0.54 (0.52, 0.60) | 0.69 (0.70, 0.63) | 0.72 (0.74, 0.60) |
| Adjusted R2 (training, testing) | 0.52 (0.51, 0.56) | 0.54 (0.52, 0.59) | 0.68 (0.69, 0.59) | 0.71 (0.73, 0.56) | |
| RMSE (training, testing) | 1.35 (1.42, 1.10) | 1.33 (1.32, 1.36) | 1.09 (1.07, 1.16) | 1.03 (1.03, 1.16) | |
| Ethylbenzene | R2 (training, testing) | 0.37 (0.36, 0.49) | 0.38 (0.31, 0.23) | 0.50 (0.50, 0.45) | 0.61 (0.62, 0.54) |
| Adjusted R2 (training, testing) | 0.37 (0.34, 0.49) | 0.38 (0.31, 0.22) | 0.49 (0.49, 0.40) | 0.61 (0.61, 0.50) | |
| RMSE (training, testing) | 0.31 (0.33, 0.23) | 0.31 (0.32, 0.17) | 0.28 (0.29, 0.22) | 0.60 (0.25, 0.22) | |
| m,p-Xylene | R2 (training, testing) | 0.42 (0.42, 0.43) | 0.44 (0.40, 0.29) | 0.77 (0.77, 0.77) | 0.79 (0.79, 0.79) |
| Adjusted R2 (training, testing) | 0.42 (0.41, 0.42) | 0.44 (0.40, 0.29) | 0.77 (0.77, 0.77) | 0.79 (0.79, 0.77) | |
| RMSE (training, testing) | 0.70 (0.72, 0.67) | 0.69 (0.72, 0.27) | 0.44 (0.41, 0.44) | 0.42 (0.36, 0.61) |
| BTEX | Statistic | Hybrid Kriging-LUR | GWR-Hybrid LUR | RF-Hybrid LUR | XGBoost-Hybrid LUR |
|---|---|---|---|---|---|
| Benzene | R2 | 0.52 | 0.52 | 0.44 | 0.41 |
| Adjusted R2 | 0.52 | 0.52 | 0.43 | 0.40 | |
| RMSE | 0.29 | 0.29 | 0.31 | 0.80 | |
| Toluene | R2 | 0.65 | 0.58 | 0.56 | 0.55 |
| Adjusted R2 | 0.64 | 0.58 | 0.55 | 0.54 | |
| RMSE | 0.81 | 0.88 | 0.90 | 0.91 | |
| Ethylbenzene | R2 | 0.47 | 0.43 | 0.42 | 0.45 |
| Adjusted R2 | 0.47 | 0.42 | 0.41 | 0.44 | |
| RMSE | 0.15 | 0.16 | 0.16 | 0.16 | |
| m,p-Xylene | R2 | 0.34 | 0.28 | 0.51 | 0.52 |
| Adjusted R2 | 0.34 | 0.27 | 0.51 | 0.52 | |
| RMSE | 0.24 | 0.25 | 0.23 | 0.19 |
© 2020 by the authors. Licensee MDPI, Basel, Switzerland. This article is an open access article distributed under the terms and conditions of the Creative Commons Attribution (CC BY) license (http://creativecommons.org/licenses/by/4.0/).
Share and Cite
Hsu, C.-Y.; Zeng, Y.-T.; Chen, Y.-C.; Chen, M.-J.; Lung, S.-C.C.; Wu, C.-D. Kriging-Based Land-Use Regression Models That Use Machine Learning Algorithms to Estimate the Monthly BTEX Concentration. Int. J. Environ. Res. Public Health 2020, 17, 6956. https://doi.org/10.3390/ijerph17196956
Hsu C-Y, Zeng Y-T, Chen Y-C, Chen M-J, Lung S-CC, Wu C-D. Kriging-Based Land-Use Regression Models That Use Machine Learning Algorithms to Estimate the Monthly BTEX Concentration. International Journal of Environmental Research and Public Health. 2020; 17(19):6956. https://doi.org/10.3390/ijerph17196956
Chicago/Turabian StyleHsu, Chin-Yu, Yu-Ting Zeng, Yu-Cheng Chen, Mu-Jean Chen, Shih-Chun Candice Lung, and Chih-Da Wu. 2020. "Kriging-Based Land-Use Regression Models That Use Machine Learning Algorithms to Estimate the Monthly BTEX Concentration" International Journal of Environmental Research and Public Health 17, no. 19: 6956. https://doi.org/10.3390/ijerph17196956
APA StyleHsu, C.-Y., Zeng, Y.-T., Chen, Y.-C., Chen, M.-J., Lung, S.-C. C., & Wu, C.-D. (2020). Kriging-Based Land-Use Regression Models That Use Machine Learning Algorithms to Estimate the Monthly BTEX Concentration. International Journal of Environmental Research and Public Health, 17(19), 6956. https://doi.org/10.3390/ijerph17196956

