Assessment of Active Video Games’ Energy Expenditure in Children with Overweight and Obesity and Differences by Gender
Abstract
1. Introduction
2. Materials and Methods
2.1. Participants
2.2. Intervention
2.3. Outcomes
2.3.1. Physical Fitness
2.3.2. Accelerometer and Heart Rate Monitor
2.3.3. Energy Expenditure Estimate
2.4. Statistical Analyses
3. Results
3.1. Energy Expenditure by Device
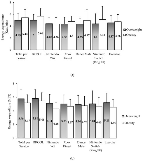
3.2. Gender Differences
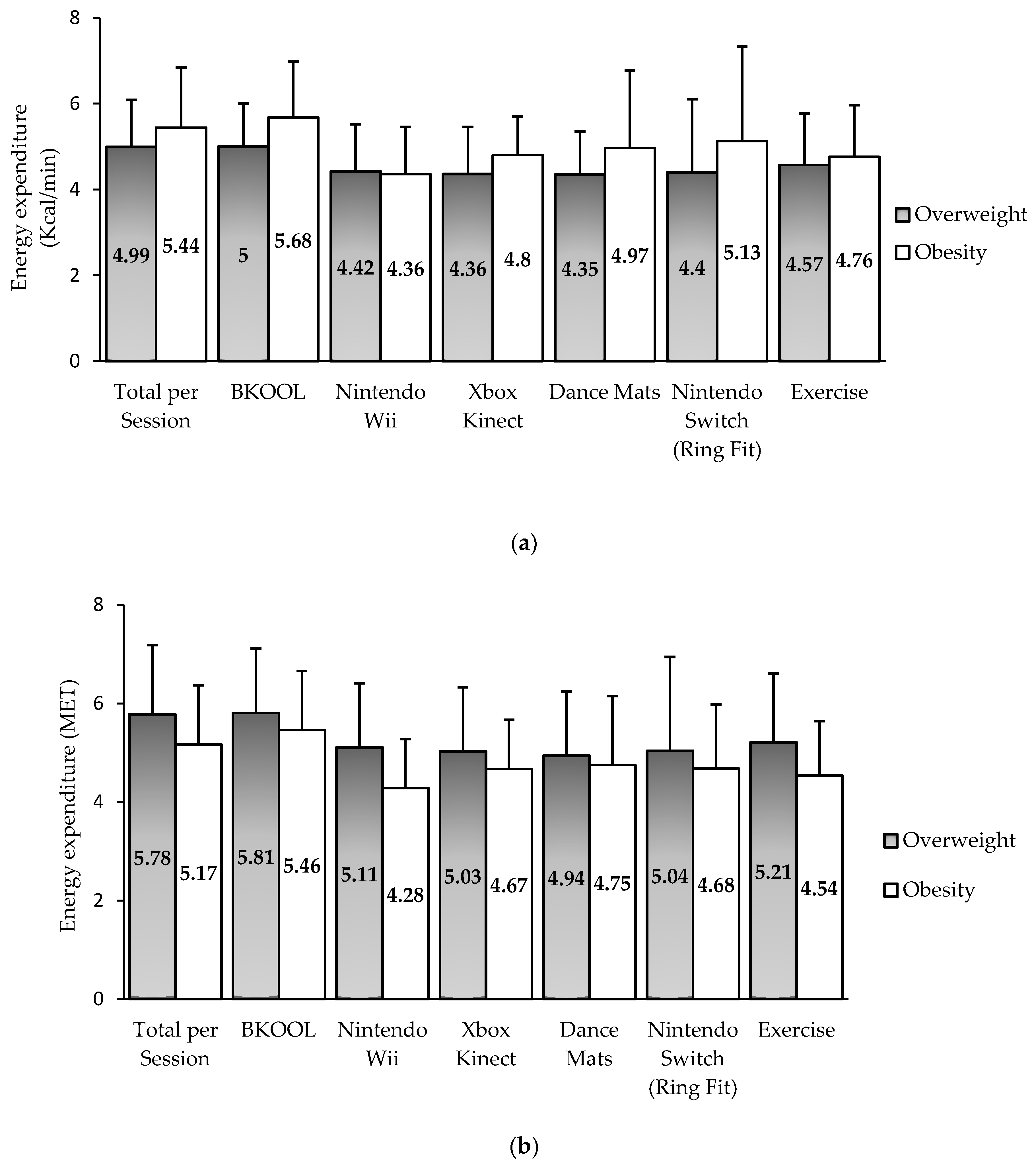
3.3. BMI Status
4. Discussion
5. Conclusions
6. Limitations and Strengths
Author Contributions
Funding
Acknowledgments
Conflicts of Interest
References
- Ng, M.; Fleming, T.; Robinson, M.; Thomson, B.; Graetz, N.; Margono, C.; Mullany, E.C.; Biryukov, S.; Abbafati, C.; Abera, S.F.; et al. Global, regional, and national prevalence of overweight and obesity in children and adults during 1980–2013: A systematic analysis for the Global Burden of Disease Study 2013. Lancet 2014, 384, 766–781. [Google Scholar] [CrossRef]
- World Health Organization. Obesity: Preventing and managing the global epidemic. Tech. Rep. Ser. 2000, 894, 1–268. [Google Scholar]
- Chooi, Y.C.; Ding, C.; Magkos, F. The epidemiology of obesity. Metabolism 2019, 92, 6–10. [Google Scholar] [CrossRef] [PubMed]
- Ahluwalia, N.; Dalmasso, P.; Rasmussen, M.; Lipsky, L.; Currie, C.; Haug, E.; Kelly, C.; Damsgaard, M.T.; Due, P.; Tabak, I.; et al. Trends in overweight prevalence among 11-, 13- and 15-year-olds in 25 countries in Europe, Canada and USA from 2002 to 2010. Eur. J. Public Health 2015, 25, 28–32. [Google Scholar] [CrossRef]
- World Health Organization. Consideration of the Evidence on Childhood Obesity for the Commission on Ending Childhood Obesity: Report of the Ad Hoc Working Group on Science and Evidence for Ending Childhood Obesity; World Health Organization: Geneva, Switzerland, 2016; ISBN 9789241565332. [Google Scholar]
- World Health Organization. World Health Organization Global Health Observatory (GHO) Data. Obesity and Overweight. 2016. Available online: https://www.who.int/gho/ncd/risk_factors/overweight_obesity/obesity_adolescents/en/ (accessed on 9 April 2020).
- Gurnani, M.; Birken, C.; Hamilton, J. Childhood Obesity: Causes, Consequences, and Management. Pediatr. Clin. North Am. 2015, 62, 821–840. [Google Scholar] [CrossRef]
- McCrindle, B.W. Cardiovascular Consequences of Childhood Obesity. Can. J. Cardiol. 2015, 31, 124–130. [Google Scholar] [CrossRef]
- Ding, D.; Lawson, K.D.; Kolbe-Alexander, T.L.; Finkelstein, E.A.; Katzmarzyk, P.T.; van Mechelen, W.; Pratt, M. The economic burden of physical inactivity: A global analysis of major non-communicable diseases. Lancet 2016, 388, 1311–1324. [Google Scholar] [CrossRef]
- Blüher, M. Obesity: Global epidemiology and pathogenesis. Nat. Rev. Endocrinol. 2019, 15, 288–298. [Google Scholar] [CrossRef]
- World Health Organization. World Health Organization Physical Activity. 2018. Available online: https://www.who.int/news-room/fact-sheets/detail/physical-activity (accessed on 6 April 2020).
- Guthold, R.; Stevens, G.A.; Riley, L.M.; Bull, F.C. Global trends in insufficient physical activity among adolescents: A pooled analysis of 298 population-based surveys with 1·6 million participants. Lancet Child Adolesc. Health 2020, 4, 23–35. [Google Scholar] [CrossRef]
- Hallal, P.C.; Andersen, L.B.; Bull, F.C.; Guthold, R.; Haskell, W.; Ekelund, U.; Alkandari, J.R.; Bauman, A.E.; Blair, S.N.; Brownson, R.C.; et al. Global physical activity levels: Surveillance progress, pitfalls, and prospects. Lancet 2012, 380, 247–257. [Google Scholar] [CrossRef]
- Brock, D.W.; Thomas, O.; Cowan, C.D.; Allison, D.B.; Gaesser, G.A.; Hunter, G.R.; Cowan, A. Association Between Insufficiently Physically Active and the Prevalence of Obesity in the United States. J. Phys. Act. Health 2009, 6, 1–5. [Google Scholar] [CrossRef] [PubMed]
- Bar-On, M.E.; Broughton, D.D.; Buttross, S.; Corrigan, S.; Gedissman, A.; De Rivas, M.R.G.; Hogan, M. Children, adolescents, and television. Pediatrics 2001, 107, 423–426. [Google Scholar]
- Santaliestra-Pasías, A.M.; Mouratidou, T.; Verbestel, V.; Bammann, K.; Molnar, D.; Sieri, S.; Siani, A.; Veidebaum, T.; Mårild, S.; Lissner, L.; et al. Physical activity and sedentary behaviour in European children: The IDEFICS study. Public Health Nutr. 2013, 17, 2295–2306. [Google Scholar] [CrossRef] [PubMed]
- Tanaka, C.; Tanaka, M.; Okuda, M.; Inoue, S.; Aoyama, T.; Tanaka, S. Association between objectively evaluated physical activity and sedentary behavior and screen time in primary school children. BMC Res. Notes 2017, 10, 175. [Google Scholar] [CrossRef]
- O’Brien, W.; Issartel, J.; Belton, S. Relationship between Physical Activity, Screen Time and Weight Status among Young Adolescents. Sports 2018, 6, 57. [Google Scholar] [CrossRef]
- Stoner, L.; Rowlands, D.; Morrison, A.; Credeur, D.; Hamlin, M.; Gaffney, K.; Lambrick, D.; Matheson, A. Efficacy of Exercise Intervention for Weight Loss in Overweight and Obese Adolescents: Meta-Analysis and Implications. Sports Med. 2016, 46, 1737–1751. [Google Scholar] [CrossRef] [PubMed]
- Beedie, C.; Mann, S.; Jimenez, A.; Kennedy, L.; Lane, A.M.; Domone, S.; Wilson, S.; Whyte, G. Death by effectiveness: Exercise as medicine caught in the efficacy trap! Br. J. Sports Med. 2016, 50, 323–324. [Google Scholar] [CrossRef]
- Ara, I.; Vicente-Rodríguez, G.; Moreno, L.A.; Gutin, B.; Casajus, J.A. Child obesity can be better reduced through vigorous physical activity rather than through energy intake restriction. Apunt. Med. De L’esport 2009, 44, 111–118. [Google Scholar] [CrossRef]
- Drenowatz, C.; Hand, G.A.; Shook, R.P.; Jakicic, J.M.; Hebert, J.R.; Burgess, S.; Blair, S.N. The association between different types of exercise and energy expenditure in young nonoverweight and overweight adults. Appl. Physiol. Nutr. Metab. 2015, 40, 211–217. [Google Scholar] [CrossRef]
- Tershakovec, A.M.; Kuppler, K.M.; Zemel, B.; Stallings, V.A. Age, sex, ethnicity, body composition, and resting energy expenditure of obese African American and white children and adolescents. Am. Soc. Clin. Nutr. 2002, 75, 867–871. [Google Scholar] [CrossRef]
- Geer, E.B.; Shen, W. Gender differences in insulin resistance, body composition, and energy balance. Gend. Med. 2009, 6, 60–75. [Google Scholar] [CrossRef] [PubMed]
- Klausen, B.; Astrup, A. Age and sex effects on energy expenditure. Am. J. Clin. Nutr. 1197, 65, 895–907. [Google Scholar] [CrossRef] [PubMed]
- Grund, A.; Vollbrecht, H.; Frandsen, W.; Krause, H.; Siewers, M.; Rieckert, H.; Mu, M.J.; Ller, È. No effect of gender on different components of daily energy expenditure in free living prepubertal children. Int. J. Obes. 2000, 24, 299–305. [Google Scholar] [CrossRef] [PubMed][Green Version]
- Benzing, V.; Schmidt, M. Exergaming for Children and Adolescents: Strengths, Weaknesses, Opportunities and Threats. J. Clin. Med. 2018, 7, 422. [Google Scholar] [CrossRef] [PubMed]
- Robinson, T.N.; Banda, J.A.; Hale, L.; Lu, A.S.; Fleming-Milici, F.; Calvert, S.L.; Wartella, E. Screen media exposure and obesity in children and adolescents. Pediatrics 2017, 140, S97–S101. [Google Scholar] [CrossRef]
- Peng, W.; Lin, J.-H.H.; Crouse, J. Is playing exergames really exercising? A meta-analysis of energy expenditure in active video games. Cyberpsychol. Behav. Soc. Netw. 2011, 14, 681–688. [Google Scholar] [CrossRef]
- Gao, Z.; Chen, S.; Pasco, D.; Pope, Z. A meta-analysis of active video games on health outcomes among children and adolescents. Obes. Rev. 2015, 16, 783–794. [Google Scholar] [CrossRef]
- Sween, J.; Wallington, S.F.; Sheppard, V.; Taylor, T.; Llanos, A.A.; Adams-Campbell, L.L. The role of exergaming in improving physical activity: A review. J. Phys. Act. Health 2014, 11, 864–870. [Google Scholar] [CrossRef]
- LeBlanc, A.G.; Chaput, J.P.; McFarlane, A.; Colley, R.C.; Thivel, D.; Biddle, S.J.H.; Maddison, R.; Leatherdale, S.T.; Tremblay, M.S. Active Video Games and Health Indicators in Children and Youth: A Systematic Review. PLoS ONE 2013, 8, e65351. [Google Scholar] [CrossRef]
- Gao, Z.; Chen, S. Are field-based exergames useful in preventing childhood obesity? A systematic review. Int. Assoc. Study Obes. 2014, 15, 676–691. [Google Scholar] [CrossRef]
- Liang, Y.; Lau, P.W.C. Effects of active videogames on physical activity and related outcomes among healthy children: A systematic review. Games Health J. 2014, 3, 122–144. [Google Scholar] [CrossRef] [PubMed]
- De Brito-Gomes, J.L.; Perrier-Melo, R.J.; Melo De Oliveira, S.F.; De Sá Pereira Guimarães, F.J.; Da Cunha Costa, M. Physical effort, energy expenditure, and motivation in structured and unstructured active video games: A randomized controlled trial. Hum. Mov. 2016, 17, 190–198. [Google Scholar] [CrossRef]
- Cole, T.J.; Bellizzi, M.C.; Flegal, K.M.; Dietz, W.H. Establishing a standard definition for child overweight and obesity worldwide: International survey. Br. Med. J. 2000, 320, 1240. [Google Scholar] [CrossRef] [PubMed]
- Romanzini, M.; Petroski, E.L.; Ohara, D.; Dourado, A.C.; Reichert, F.F. Calibration of ActiGraph GT3X, Actical and RT3 accelerometers in adolescents. Eur. J. Sport Sci. 2014, 14, 91–99. [Google Scholar] [CrossRef]
- Keytel, L.R.; Goedecke, J.H.; Noakes, T.D.; Hiiloskorpi, H.; Laukkanen, R.; van der Merwe, L.; Lambert, E.V. Prediction of energy expenditure from heart rate monitoring during submaximal exercise. J. Sports Sci. 2005, 23, 289–297. [Google Scholar] [CrossRef]
- Achten, J.; Jeukendrup, A.E. Heart Rate Monitoring Applications and Limitations. Sports Med. 2003, 33, 517–538. [Google Scholar] [CrossRef]
- Durkalec-Michalski, K.; Woåniewicz, M.; Bajerska, J.; Jeszka, J. Comparison of accuracy of various non-calorimetric methods measuring energy expenditure at different intensities. Hum. Mov. 2013, 14, 161–167. [Google Scholar] [CrossRef]
- Haskell, W.L.; Lee, I.M.; Pate, R.R.; Powell, K.E.; Blair, S.N.; Franklin, B.A.; MacEra, C.A.; Heath, G.W.; Thompson, P.D.; Bauman, A. Physical activity and public health: Updated recommendation for adults from the American College of Sports Medicine and the American Heart Association. Med. Sci. Sports Exerc. 2007, 39, 1423–1434. [Google Scholar] [CrossRef]
- Harrell, J.S.; Mcmurray, R.G.; Baggett, C.D.; Pennell, M.L.; Pearce, P.F.; Bangdiwala, S.I. Energy costs of physical activities in children and adolescents. Med. Sci. Sports Exerc. 2005, 37, 329–336. [Google Scholar] [CrossRef]
- Graf, D.L.; Pratt, L.V.; Hester, C.N.; Short, K.R. Playing active video games increases energy expenditure in children. Pediatrics 2009, 124, 534–540. [Google Scholar] [CrossRef]
- Lanningham-Foster, L.; Foster, R.C.; McCrady, S.K.; Jensen, T.B.; Mitre, N.; Levine, J.A. Activity-Promoting Video Games and Increased Energy Expenditure. J. Pediatr. 2009, 154, 819–823. [Google Scholar] [CrossRef]
- McNarry, M.A.; Mackintosh, K.A. Investigating the relative exercise intensity of exergames in prepubertal children. Games Health J. 2016, 5, 135–140. [Google Scholar] [CrossRef] [PubMed]
- Barkman, J.; Pfeiffer, K.; Diltz, A.; Peng, W. Examining energy expenditure in youth using XBOX kinect: Differences by player mode. J. Phys. Act. Health 2016, 13, S41–S43. [Google Scholar] [CrossRef] [PubMed]
- Lau, P.W.C.; Liang, Y.; Lau, E.Y.; Choi, C.R.; Kim, C.G.; Shin, M.S. Evaluating physical and perceptual responses to exergames in chinese children. Int. J. Environ. Res. Public Health 2015, 12, 4018–4030. [Google Scholar] [CrossRef] [PubMed]
- O’Donovan, C.; Roche, E.F.; Hussey, J. The energy cost of playing active video games in children with obesity and children of a healthy weight. Pediatr. Obes. 2014, 9, 310–317. [Google Scholar] [CrossRef] [PubMed]
- Graves, L.E.F.; Ridgers, N.D.; Stratton, G. The contribution of upper limb and total body movement to adolescents’ energy expenditure whilst playing Nintendo Wii. Eur. J. Appl. Physiol. 2008, 104, 617–623. [Google Scholar] [CrossRef] [PubMed]
- White, K.; Schofield, G.; Kilding, A.E. Energy expended by boys playing active video games. J. Sci. Med. Sport 2011, 14, 130–134. [Google Scholar] [CrossRef] [PubMed]
- Siegmund, L.A.; Naylor, J.B.; Santo, A.S.; Barkley, J.E. The effect of a peer on VO2 and game choice in 6–10 year old children. Front. Physiol. 2014, 5, 202. [Google Scholar] [CrossRef]
- Bailey, B.W.; McInnis, K. Energy cost of exergaming: A comparison of the energy cost of 6 forms of exergaming. Arch. Pediatr. Adolesc. Med. 2011, 165, 597–602. [Google Scholar] [CrossRef]
- Smallwood, S.R.; Morris, M.M.; Fallows, S.J.; Buckley, J.P. Physiologic responses and energy expenditure of kinect active video game play in schoolchildren. Arch. Pediatr. Adolesc. Med. 2012, 166, 1005–1009. [Google Scholar] [CrossRef]
- Clevenger, K.A.; Howe, C.A. Energy Cost and Enjoyment of Active Videogames in Children and Teens: Xbox 360 Kinect. Games Health J. 2015, 4, 318–324. [Google Scholar] [CrossRef]
- Canabrava, K.L.; Faria, F.R.; Lima, J.R.D.; Guedes, D.P.; Amorim, P.R. Energy Expenditure and Intensity of Active Video Games in Children and Adolescents. Res. Q. Exerc. Sport 2018, 89, 47–56. [Google Scholar] [CrossRef]
- Verhoeven, K.; Abeele, V.V.; Gers, B.; Seghers, J. Energy Expenditure During Xbox Kinect Play in Early Adolescents: The Relationship with Player Mode and Game Enjoyment. Games Health J. 2015, 4, 444–451. [Google Scholar] [CrossRef] [PubMed]
- Moholdt, T.; Weie, S.; Chorianopoulos, K.; Wang, A.I.; Hagen, K. Exergaming can be an innovative way of enjoyable high-intensity interval training. Exerc. Med. 2017, 3, 258. [Google Scholar] [CrossRef] [PubMed]
- Quan, M.; Pope, Z.; Gao, Z. Examining Young Children’s Physical Activity and Sedentary Behaviors in an Exergaming Program Using Accelerometry. J. Clin. Med. 2018, 7, 302. [Google Scholar] [CrossRef] [PubMed]
- Gao, Z.; Chen, S.; Stodden, D.F. A comparison of children’s physical activity levels in physical education, recess, and exergaming. J. Phys. Act. Health 2015, 12, 349–354. [Google Scholar] [CrossRef] [PubMed]
- Vallabhajosula, S.; Holder, J.B.; Bailey, E.K. Effect of Exergaming on Physiological Response and Enjoyment during Recess in Elementary School-Aged Children: A Pilot Study. Games Health J. 2016, 5, 325–332. [Google Scholar] [CrossRef]
- Biddiss, E.; Irwin, J. Active Video Games to Promote Physical Activity in Children and Youth a Systematic Review. Arch. Pediatr. Adolesc. Med. 2010, 164, 664–672. [Google Scholar] [CrossRef]
- Sousa, C.V.; Fernandez, A.; Hwang, J.; Lu, A.S. The effect of narrative on physical activity via immersion during active video game play in children: Mediation analysis. J. Med. Internet Res. 2020, 22, e17994. [Google Scholar] [CrossRef]
- Hwang, J.; Lee, I.-M.; Fernandez, A.M.; Charles, H.H.; Lu, A.S. Exploring energy expenditure and body movement of exergaming in children of different weight status. Pediatr. Exerc. Sci. 2019, 31, 438–447. [Google Scholar] [CrossRef]
- Adamo, K.B.; Rutherford, J.A.; Goldfield, G.S. Effects of interactive video game cycling on overweight and obese adolescent health. Appl. Physiol. Nutr. Metab. 2010, 35, 805–815. [Google Scholar] [CrossRef] [PubMed]
- Iannotti, R.J.; Claytor, R.P.; Horn, T.S.; Chen, R. Heart rate monitoring as a measure of physical activity in children. Med. Sci. Sports Exerc. 2004, 36, 1964–1971. [Google Scholar] [CrossRef] [PubMed]


| Divided by Gender | |||||
| Variable | All (N = 45) Mean ± SD | Boys (n = 26) Mean ± SD | Girls (n = 19) Mean ± SD | d | pValue |
| Age (years) | 10.1 ± 1.0 | 10.3 ± 1.0 | 9.8 ± 1.0 | 0.20 | 0.116 |
| Weight (kg) | 56.3 ± 10.7 | 60.1 ± 10.9 | 51.0 ± 8.1 * | 0.36 | 0.004 |
| Height (cm) | 146.6 ± 7.6 | 149.1 ± 6.0 | 143.1 ± 8.4 * | 0.37 | 0.008 |
| BMI a (kg/m2) | 26.0 ± 3.2 | 26.9 ± 3.6 | 24.8 ± 2.3 * | 0.26 | 0.030 |
| BMI percentile | 97.22 ± 2.4 | 97.6 ± 2.1 | 96.7 ± 2.7 | 0.39 | 0.201 |
| VO2peak (mL·kg·min) | 32.5 ± 5.4 | 32.8 ± 6.1 | 32.1 ± 4.4 | 0.06 | 0.650 |
| Divided by BMI status | |||||
| Overweight (n = 19) Mean ± SD | Obesity (n = 26) Mean ± SD | d | pValue | ||
| Age (years) | - | 10.6 ± 0.7 | 10.1 ± 1.0 | 0.49 | 0.117 |
| Weight (kg) | - | 49.9 ± 6.9 | 60.9 ± 10.7 † | 1.22 | 0.000 |
| Height (cm) | - | 145.5 ± 7.2 | 147.3 ± 8.0 | 0.24 | 0.438 |
| BMI a (kg/m2) | - | 23.4 ± 1.5 | 27.9 ± 2.9 † | 1.94 | 0.000 |
| BMI percentile | - | 95.4 ± 2.7 | 98.58 ± 0.5 | 1.65 | 0.000 |
| VO2peak (mL·kg·min) | - | 34.0 ± 5.3 | 31.4 ± 5.2 | 0.50 | 0.106 |
| Variable | N | Kcal/min (n = 45) | METs a | Average Heart Rate |
|---|---|---|---|---|
| Complete session | 45 | 5.25 ± 1.3 | 5.42 ± 1.3 | 134.52 ± 14.4 |
| BKOOL | 43 | 5.38 ± 1.2 | 5.61 ± 1.2 | 145.7 ± 12.0 |
| Nintendo Wii | 40 | 4.38 ± 1.0 * | 4.63 ± 1.2 * | 133.76 ± 10.9 * |
| Xbox Kinect | 44 | 4.64 ± 1.0 | 4.83 ± 1.1 | 135.20 ± 13.5 * |
| Dance Mats | 40 | 4.70 ± 1.5 | 4.83 ± 1.3 | 136.59 ± 12.2 * |
| Nintendo Switch (Ring Fit) | 23 | 4.88 ± 2.0 | 4.80 ± 1.5 | 137.57 ± 14.8 |
| Exercise | 44 | 4.68 ± 1.2 | 4.81 ± 1.3 | 132.94 ± 12.2 * |
© 2020 by the authors. Licensee MDPI, Basel, Switzerland. This article is an open access article distributed under the terms and conditions of the Creative Commons Attribution (CC BY) license (http://creativecommons.org/licenses/by/4.0/).
Share and Cite
Comeras-Chueca, C.; Villalba-Heredia, L.; Pérez-Llera, M.; Lozano-Berges, G.; Marín-Puyalto, J.; Vicente-Rodríguez, G.; Matute-Llorente, Á.; Casajús, J.A.; González-Agüero, A. Assessment of Active Video Games’ Energy Expenditure in Children with Overweight and Obesity and Differences by Gender. Int. J. Environ. Res. Public Health 2020, 17, 6714. https://doi.org/10.3390/ijerph17186714
Comeras-Chueca C, Villalba-Heredia L, Pérez-Llera M, Lozano-Berges G, Marín-Puyalto J, Vicente-Rodríguez G, Matute-Llorente Á, Casajús JA, González-Agüero A. Assessment of Active Video Games’ Energy Expenditure in Children with Overweight and Obesity and Differences by Gender. International Journal of Environmental Research and Public Health. 2020; 17(18):6714. https://doi.org/10.3390/ijerph17186714
Chicago/Turabian StyleComeras-Chueca, Cristina, Lorena Villalba-Heredia, Marcos Pérez-Llera, Gabriel Lozano-Berges, Jorge Marín-Puyalto, Germán Vicente-Rodríguez, Ángel Matute-Llorente, José A. Casajús, and Alejandro González-Agüero. 2020. "Assessment of Active Video Games’ Energy Expenditure in Children with Overweight and Obesity and Differences by Gender" International Journal of Environmental Research and Public Health 17, no. 18: 6714. https://doi.org/10.3390/ijerph17186714
APA StyleComeras-Chueca, C., Villalba-Heredia, L., Pérez-Llera, M., Lozano-Berges, G., Marín-Puyalto, J., Vicente-Rodríguez, G., Matute-Llorente, Á., Casajús, J. A., & González-Agüero, A. (2020). Assessment of Active Video Games’ Energy Expenditure in Children with Overweight and Obesity and Differences by Gender. International Journal of Environmental Research and Public Health, 17(18), 6714. https://doi.org/10.3390/ijerph17186714

