Media Reporting on Air Pollution: Health Risk and Precautionary Measures in National and Regional Newspapers
Abstract
1. Introduction
2. Materials and Methods
2.1. Study Sample
2.2. News Coverage Selection
2.3. Measures
2.4. Data Analysis
3. Results
3.1. Threat and Efficacy
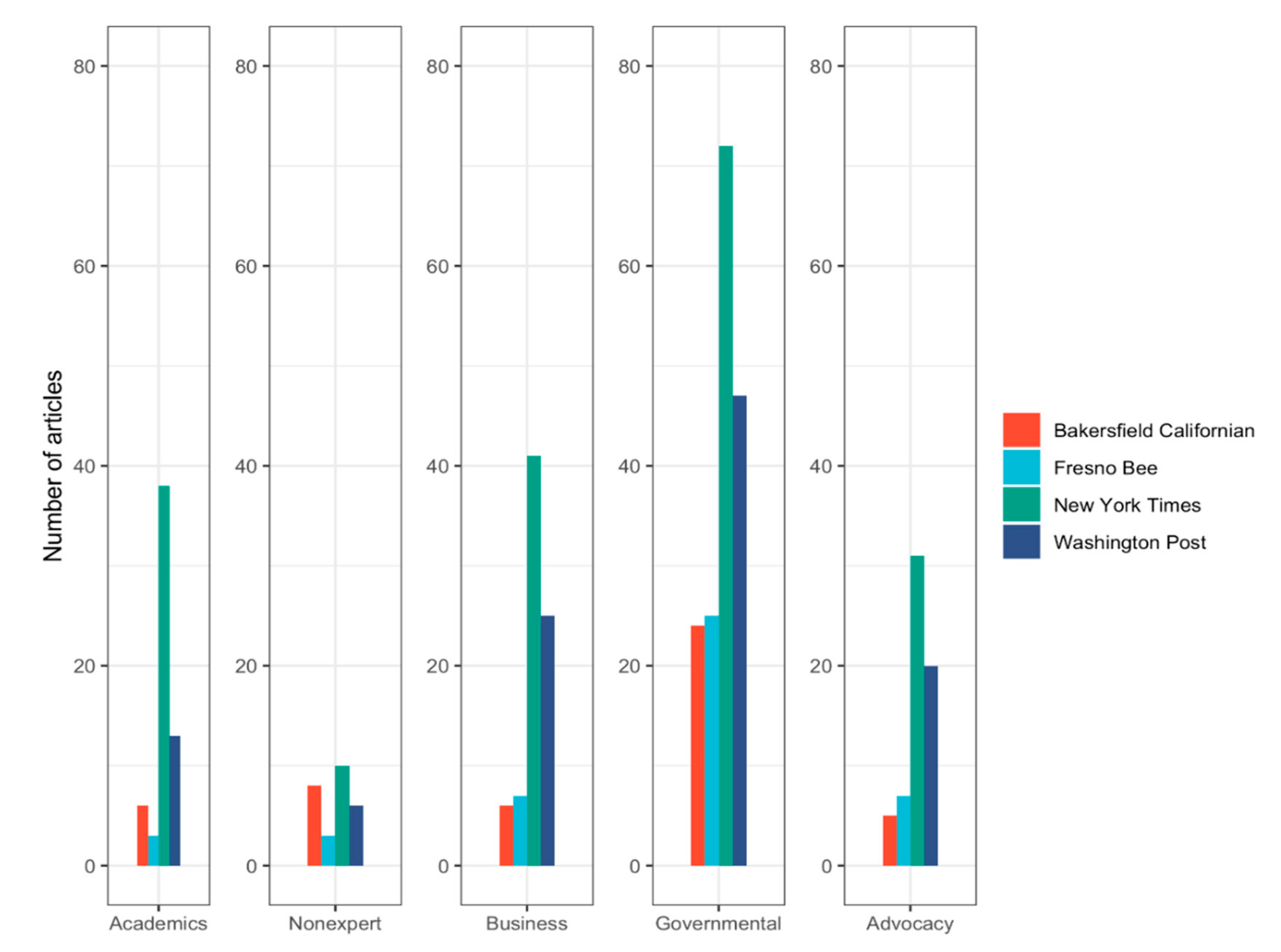
3.2. Information Sources
4. Discussion
5. Conclusions
Author Contributions
Funding
Acknowledgments
Conflicts of Interest
References
- Forouzanfar, M.H.; Alexander, L.; Anderson, H.R.; Bachman, V.F.; Biryukov, S.; Brauer, M.; Burnett, R.; Casey, D.; Coates, M.M.; Cohen, A.; et al. Global, regional, and national comparative risk assessment of 79 behavioural, environmental and occupational, and metabolic risks or clusters of risks in 188 countries, 1990–2013: A systematic analysis for the Global Burden of Disease Study 2013. Lancet 2015, 386, 2287–2323. [Google Scholar] [CrossRef]
- Owiti, P.; Fuller, R.; Acosta, N.J.R.; Adeyi, O.; Arnold, R.; Basu, N.; Baldé, A.B.; Bertollini, R.; Bose-O’Reilly, S.; Boufford, J.I.; et al. The Lancet Commission on pollution and health. Lancet 2018, 391, 462–512. [Google Scholar] [CrossRef]
- WHO. Mortality and Burden of Disease from Ambient Air Pollution. Available online: https://www.who.int/gho/phe/outdoor_air_pollution/burden/en/ (accessed on 17 July 2020).
- Borbet, T.C.; Gladson, L.A.; Cromar, K.R. Assessing air quality index awareness and use in Mexico City. BMC Public Heal. 2018, 18, 538. [Google Scholar] [CrossRef]
- Cairncross, E.K.; John, J.; Zunckel, M. A novel air pollution index based on the relative risk of daily mortality associated with short-term exposure to common air pollutants. Atmos. Environ. 2007, 41, 8442–8454. [Google Scholar] [CrossRef]
- Laumbach, R.; Meng, Q.; Kipen, H.M. What can individuals do to reduce personal health risks from air pollution? J. Thorac. Dis. 2015, 7, 96–107. [Google Scholar] [PubMed]
- Moldovan-Johnson, M.; Tan, A.S.; Hornik, R. Navigating the cancer information environment: The reciprocal relationship between patient-clinician information engagement and information seeking from nonmedical sources. Heal. Commun. 2013, 29, 974–983. [Google Scholar] [CrossRef] [PubMed][Green Version]
- Leask, J.; Hooker, C.; King, C. Media coverage of health issues and how to work more effectively with journalists: A qualitative study. BMC Public Heal. 2010, 10, 535. [Google Scholar] [CrossRef]
- Niederdeppe, J.; Frosch, D.L.; Hornik, R. Cancer News Coverage and Information Seeking. J. Heal. Commun. 2008, 13, 181–199. [Google Scholar] [CrossRef]
- Viswanath, K. The communications revolution and cancer control. Nat. Rev. Cancer 2005, 5, 828–835. [Google Scholar] [CrossRef]
- Brown, P.; Cameron, L.D.; Cisneros, R.; Cox, R.; Gaab, E.; Gonzalez, M.; Ramondt, S.; Song, A. Latino and Non-Latino Perceptions of the Air Quality in California’s San Joaquin Valley. Int. J. Environ. Res. Public Heal. 2016, 13, 1242. [Google Scholar] [CrossRef]
- Johnson, B.B. Experience with Urban Air Pollution in Paterson, New Jersey and Implications for Air Pollution Communication. Risk Anal. 2011, 32, 39–53. [Google Scholar] [CrossRef] [PubMed]
- Mello, S. Media Coverage of Toxic Risks: A Content Analysis of Pediatric Environmental Health Information Available to New and Expecting Mothers. Heal. Commun. 2015, 30, 1–11. [Google Scholar] [CrossRef] [PubMed]
- Slovic, P. Perception of risk. Science 1987, 236, 280–285. [Google Scholar] [CrossRef] [PubMed]
- Finn, S.; O’Fallon, L. The Emergence of Environmental Health Literacy—From Its Roots to Its Future Potential. Environ. Heal. Perspect. 2015, 125, 495–501. [Google Scholar] [CrossRef]
- Gray, K.M. From Content Knowledge to Community Change: A Review of Representations of Environmental Health Literacy. Int. J. Environ. Res. Public Heal. 2018, 15, 466. [Google Scholar] [CrossRef]
- Ramírez, A.S.; Ramondt, S.; Van Bogart, K.; Perez-Zuniga, R. Public Awareness of Air Pollution and Health Threats: Challenges and Opportunities for Communication Strategies to Improve Environmental Health Literacy. J. Heal. Commun. 2019, 24, 75–83. [Google Scholar] [CrossRef]
- McCombs, M.E. Setting the Agenda: The Mass Media and Public Opinion; Blackwell: Malden, MA, USA, 2004. [Google Scholar]
- Nagler, R.H.; Bigman, C.A.; Ramanadhan, S.; Ramamurthi, D.; Viswanath, K. Prevalence and Framing of Health Disparities in Local Print News: Implications for Multilevel Interventions to Address Cancer Inequalities. Cancer Epidemiol. Biomark. Prev. 2016, 25, 603–612. [Google Scholar] [CrossRef]
- Wardman, J.K. The Constitution of Risk Communication in Advanced Liberal Societies. Risk Anal. 2008, 28, 1619–1637. [Google Scholar] [CrossRef]
- Signorino, G.; Beck, E. Risk Perception Survey in Two High-Risk Areas. In Human Health in Areas with Industrial Contamination; Mudu, P., Terracini, B., Martuzzi, M., Eds.; World Health Organization—Europe: Copenhagen, Denmark, 2014; pp. 232–245. [Google Scholar]
- Witte, K. Putting the fear back into fear appeals: The extended parallel process model. Commun. Monogr. 1992, 59, 329–349. [Google Scholar] [CrossRef]
- Salonen, H.; Salthammer, T.; Morawska, L. Human exposure to ozone in school and office indoor environments. Environ. Int. 2018, 119, 503–514. [Google Scholar] [CrossRef]
- Bruce, N.; Perez-Padilla, R.; Albalak, R. Indoor air pollution in developing countries: A major environmental and public health challenge. Bull. World Heal. Organ. 2000, 78, 1078–1092. [Google Scholar]
- Scheufele, D.A.; Shanahan, J.; Kim, S.-H. Who Cares about Local Politics? Media Influences on Local Political Involvement, Issue Awareness, and Attitude Strength. J. Mass Commun. Q. 2002, 79, 427–444. [Google Scholar] [CrossRef]
- Boykoff, M.T.; Boykoff, J.M. Climate change and journalistic norms: A case-study of US mass-media coverage. Geoforum 2007, 38, 1190–1204. [Google Scholar] [CrossRef]
- Zamith, R.; Pinto, J.; Villar, M.E. Constructing Climate Change in the Americas. Sci. Commun. 2012, 35, 334–357. [Google Scholar] [CrossRef]
- Liebler, C.M.; Bendix, J. Old-Growth Forests on Network News: News Sources and the Framing of An Environmental Controversy. J. Mass Commun. Q. 1996, 73, 53–65. [Google Scholar] [CrossRef]
- Abood, M. San Joaquin Valley Fair Housing and Equity Assessment. Available online: http://www.frbsf.org/community-development/files/SJV-Fair-Housing-and-Equity-Assessment.pdf (accessed on 4 December 2016).
- Taylor, J.E.; Martin, P.L. The new rural poverty: Central Valley evolving into patchwork of poverty and prosperity. Calif. Agric. 2000, 54, 26–32. [Google Scholar] [CrossRef][Green Version]
- American Lung Association. State of the air State of the Air 2019. In State of the Air; American Lung Association: Chicago, IL, USA, 2019. [Google Scholar]
- Ramírez, A.S.; Estrada, E.; Ruiz, A. Mapping the Health Information Landscape in a Rural, Culturally Diverse Region: Implications for Interventions to Reduce Information Inequality. J. Prim. Prev. 2017, 38, 345–362. [Google Scholar] [CrossRef]
- Viswanath, K.; Ackerson, L.K. Race, Ethnicity, Language, Social Class, and Health Communication Inequalities: A Nationally-Representative Cross-Sectional Study. PLoS ONE 2011, 6, e14550. [Google Scholar] [CrossRef]
- Hispanics and Healthcare in the United States: Access, Information and Knowledge. Available online: https://www.pewresearch.org/hispanic/2008/08/13/hispanics-and-health-care-in-the-united-states-access-information-and-knowledge/ (accessed on 25 August 2020).
- Ropeik, D.; Slovic, P. Risk Communications: A Neglected Tool in Protecting Public Health. Risk Perspect. 2003, 11, 4. [Google Scholar]
- Feldman, L.; Hart, P.S.; Milosevic, T. Polarizing news? Representations of threat and efficacy in leading US newspapers’ coverage of climate change. Public Underst. Sci. 2015, 26, 481–497. [Google Scholar] [CrossRef]
- Hart, P.S.; Feldman, L. Threat without Efficacy? Climate Change on U.S. Network News. Sci. Commun. 2014, 36, 325–351. [Google Scholar] [CrossRef]
- Cisneros, R.; Brown, P.; Cameron, L.; Gaab, E.; Gonzalez, M.; Ramondt, S.; Veloz, D.; Song, A.; Schweizer, D. Understanding Public Views about Air Quality and Air Pollution Sources in the San Joaquin Valley, California. J. Environ. Public Heal. 2017, 2017, 1–7. [Google Scholar] [CrossRef] [PubMed]
- Hall, J.V.; Brajer, V.; Lurmann, F.W. Measuring the gains from improved air quality in the San Joaquin Valley. J. Environ. Manag. 2008, 88, 1003–1015. [Google Scholar] [CrossRef] [PubMed]
- Stryker, J.E.; Wray, R.J.; Hornik, R.; Yanovitzky, I. Validation of Database Search Terms for Content Analysis: The Case of Cancer News Coverage. J. Mass Commun. Q. 2006, 83, 413–430. [Google Scholar] [CrossRef]
- Luke, D.; Caburnay, C.A.; Cohen, E.L. How Much Is Enough? New Recommendations for Using Constructed Week Sampling in Newspaper Content Analysis of Health Stories. Commun. Methods Meas. 2011, 5, 76–91. [Google Scholar] [CrossRef]
- Brossard, D.; Shanahan, J.; McComas, K. Are Issue-Cycles Culturally Constructed? A Comparison of French and American Coverage of Global Climate Change. Mass Commun. Soc. 2004, 7, 359–377. [Google Scholar] [CrossRef]
- Neuendorf, K.A. The Content Analysis Guidebook; SAGE Publications: Thousand Oaks, CA, USA, 2017. [Google Scholar]
- He, S.; Shen, Q.; Yin, X.; Xu, L.; Lan, X. Newspaper coverage of tobacco issues: An analysis of print news in Chinese cities, 2008–2011. Tob. Control. 2013, 23, 345–352. [Google Scholar] [CrossRef]
- Jensen, J.D.; Moriarty, C.M.; Hurley, R.J.; Stryker, J.E. Making Sense of Cancer News Coverage Trends: A Comparison of Three Comprehensive Content Analyses. J. Heal. Commun. 2010, 15, 136–151. [Google Scholar] [CrossRef]
- Shim, M.; Kim, Y.; Kye, S.Y.; Park, K. News Portrayal of Cancer: Content Analysis of Threat and Efficacy by Cancer Type and Comparison with Incidence and Mortality in Korea. J. Korean Med. Sci. 2016, 31, 1231–1238. [Google Scholar] [CrossRef]
- Witte, K.; Allen, M. A meta-analysis of fear appeals: Implications for effective public health campaigns. Heal. Educ. Behav. 2000, 27, 591–615. [Google Scholar] [CrossRef]
- Meng, Y.-Y.; Rull, R.; Wilhelm, M.; Lombardi, C.; Balmes, J.; Ritz, B. Outdoor air pollution and uncontrolled asthma in the San Joaquin Valley, California. J. Epidemiol. Community Heal. 2010, 64, 142–147. [Google Scholar] [CrossRef] [PubMed]
- Fitzpatrick-Lewis, D.; Yost, J.; Ciliska, D.; Krishnaratne, S. Communication about environmental health risks: A systematic review. Environ. Heal. 2010, 9, 67. [Google Scholar] [CrossRef] [PubMed]
- Tabuchi, H. Calling Car Pollution Standards ‘Too High,’ E.P.A. Sets Up Fight with California. The New York Times, 2 April 2018. [Google Scholar]
- Eliott, J.; Forster, A.J.; McDonough, J.; Bowd, K.; Crabb, S. An examination of Australian newspaper coverage of the link between alcohol and cancer 2005 to 2013. BMC Public Heal. 2017, 18, 47. [Google Scholar] [CrossRef] [PubMed]
- BreatheLife. Available online: http://breathelife2030.org/ (accessed on 17 April 2018).


| Total (n = 276) | Local (n = 114) | National (n = 162) | |
|---|---|---|---|
| Threat | 110 (39.9%) | 51 (44.7%) | 59 (36.4%) |
| Efficacy | 21 (7.6%) | 11 (9.6%) | 10 (6.2%) |
| Stay indoors | 13 (4.7%) | 7 (6.1%) | 6 (3.7%) |
| Limit physical activity * | 9 (3.3%) | 7 (6.1%) | 2 (1.2%) |
| Use air filter | 5 (1.8%) | 1 (0.9%) | 4 (2.5%) |
| Sources | Total (n = 276) | Local (n = 114) | National (n = 162) |
|---|---|---|---|
| Academics and scientist sources * | 60 | 9 | 51 |
| Non-expert/citizen sources | 27 | 11 | 16 |
| Business/industry groups * | 79 | 13 | 66 |
| Governmental sources * | 168 | 49 | 119 |
| Health and environmental advocacy groups * | 63 | 12 | 51 |
© 2020 by the authors. Licensee MDPI, Basel, Switzerland. This article is an open access article distributed under the terms and conditions of the Creative Commons Attribution (CC BY) license (http://creativecommons.org/licenses/by/4.0/).
Share and Cite
Ramondt, S.; Ramírez, A.S. Media Reporting on Air Pollution: Health Risk and Precautionary Measures in National and Regional Newspapers. Int. J. Environ. Res. Public Health 2020, 17, 6516. https://doi.org/10.3390/ijerph17186516
Ramondt S, Ramírez AS. Media Reporting on Air Pollution: Health Risk and Precautionary Measures in National and Regional Newspapers. International Journal of Environmental Research and Public Health. 2020; 17(18):6516. https://doi.org/10.3390/ijerph17186516
Chicago/Turabian StyleRamondt, Steven, and A. Susana Ramírez. 2020. "Media Reporting on Air Pollution: Health Risk and Precautionary Measures in National and Regional Newspapers" International Journal of Environmental Research and Public Health 17, no. 18: 6516. https://doi.org/10.3390/ijerph17186516
APA StyleRamondt, S., & Ramírez, A. S. (2020). Media Reporting on Air Pollution: Health Risk and Precautionary Measures in National and Regional Newspapers. International Journal of Environmental Research and Public Health, 17(18), 6516. https://doi.org/10.3390/ijerph17186516

