Study on the Oxygen Enrichment Effect of Individual Oxygen-Supply Device in a Tunnel of Plateau Mine
Abstract
1. Introduction
2. Individual Oxygen-Supply Device System Description
- (1)
- The oxygen delivered to the working area through the oxygen-supply duct stems from the oxygen source formed by the oxygen cylinder and the gas cylinder cabinet.
- (2)
- The oxygen-supply nozzle was fixed diagonally above the head of the human body through the stent, and the oxygen-supply nozzle outlet is inclined to the side of the nose.
- (3)
- The oxygen-supply duct and the oxygen-supply nozzle are connected by a retractable oxygen-supply hose that can make oxygen supply duct and nozzle to maintain connection when worker moves.
3. Modeling and Simulation
3.1. Physical Model
3.2. Boundary Conditions and Turbulence Model
4. Simulation Results
- (1)
- Case 1: when the oxygen was ejected vertically downward through the nozzle, the area with high oxygen mass fraction was located in front of the human nose. Moreover, the diffusion of oxygen far away from the human nose increased with the interference of the airflow in the tunnel, and the oxygen mass fraction of the air inhaled by the body was 25.4%.
- (2)
- Case 2: the level of the nozzle exit of Case 2 was equal to the top of the head of the human body, which resulted in the reduction of the blocking effect of the human body on the airflow in the tunnel. Therefore, the disturbance of the airflow in the tunnel was greater when the oxygen of high concentration was ejected from the nozzle, a large amount of oxygen diffused to the front of the human body with the airflow of the tunnel. As a result, the effect of the individual oxygen-supply device was not obvious, and the oxygen mass fraction of the air inhaled by human increased slightly to 23.4%.
- (3)
- Case 3, the angle of the oxygen-supply duct was 15 °C, and the nozzle outlet was aligned to the direction of the human nose. Due to the inertia effect, more oxygen was concentrated between the human nose and mouth, which improves the oxygen mass fraction of the air inhaled by human. Furthermore, the level of the nozzle outlet was 0.06 m lower than the top of the human head, which made the blocking effect of the human body on the airflow of the tunnel stronger, so the high concentration of oxygen emitted by the nozzle was less affected by the airflow in the tunnel, and the oxygen mass fraction of the air inhaled by human reached 26.4%.
5. Stability Analysis of Individual Oxygen-Supply Device
5.1. Oxygen-Supply Velocity
5.2. Oxygen-Supply Concentration
5.3. Tunnel Airflow Velocity
6. Influence Degree of Oxygen Enrichment Factors
7. Conclusions
- (1)
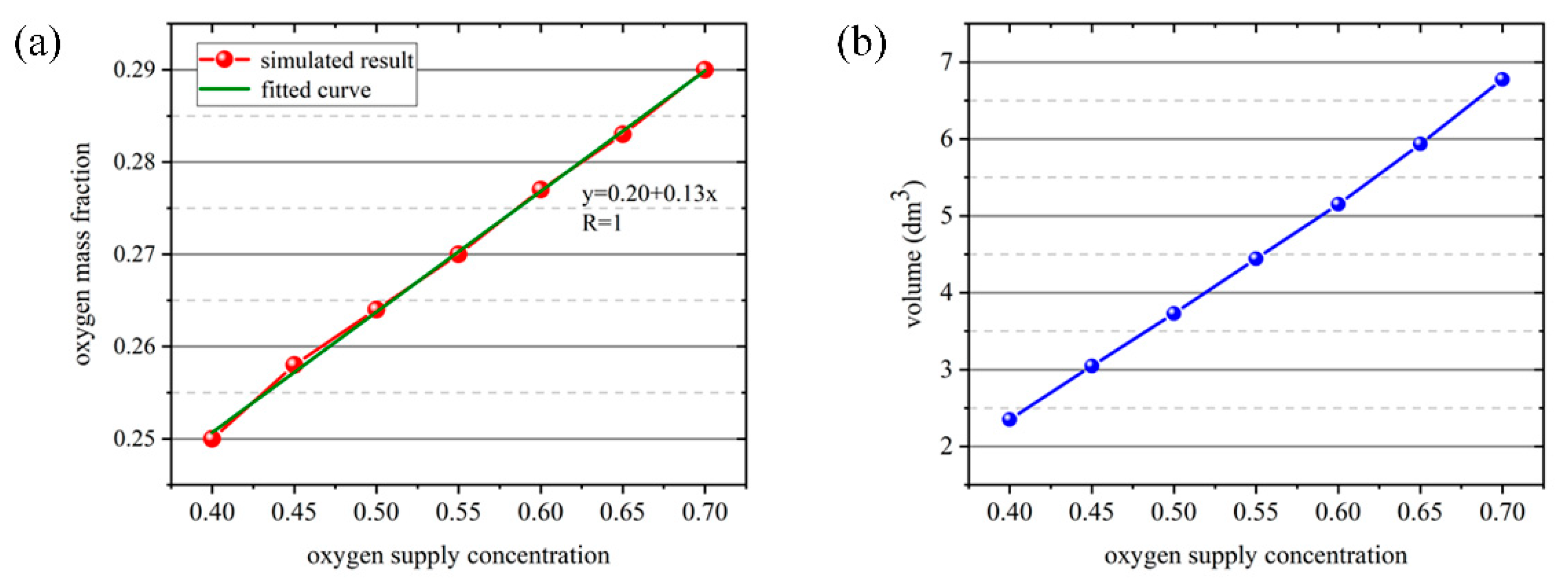
- When the angle of the oxygen-supply tube is 15 °C and the level of the nozzle outlet is 0.06 m lower than the top of the head, the oxygen mass fraction of the air inhaled by human reaches 26.4%, and the oxygen increase effect is better than other nozzle outlet positions. The oxygen mass fraction of the air inhaled by human had a positive correlation exponential function, a positive correlation linear function, and a negative correlation exponential function, respectively, concerning oxygen-supply velocity, oxygen-supply concentration, and tunnel airflow velocity.
- (2)
- Based on the orthogonal test results and range analysis, we found that the difference of range between the tunnel airflow velocity and the oxygen-supply concentration is small, indicating the level of importance both close, while the influence of oxygen-supply velocity was the most limited. In the practical application of the project, the adjustment of the oxygen-supply concentration is more convenient, and the wind velocity at the air inlet end is affected by the airflow of the tunnel, making it difficult to control. Therefore, when designing and optimizing the individual oxygen-supply device, the influence of tunnel airflow on the stability of the device should be mainly considered. The optimal level combination is an oxygen-supply velocity of 5 m/s, an oxygen-supply concentration of 60%, and a tunnel airflow velocity of 0.2 m/s, which increases the oxygen mass fraction of air inhaled by human to 30.42%.
- (3)
- It is worth mentioning that, because of the complexity of the actual working environment of the mine tunnel, this paper simplified the model to a certain extent, and the simulation was carried out in a more ideal state. In future work, the airflow generated by different ventilation systems should be considered comprehensively to establish a suitable physical model and perfect boundary conditions settings, to further optimize the individual oxygen-supply device.
Author Contributions
Funding
Conflicts of Interest
References
- Bian, S.-Z.; Jin, J.; Li, Q.-N.; Yu, J.; Tang, C.-F.; Rao, R.-S.; Yu, S.-Y.; Zhao, X.-H.; Qin, J.; Huang, L. Hemodynamic characteristics of high-altitude headache following acute high altitude exposure at 3700 m in young Chinese men. J. Headache Pain 2015, 16, 1–13. [Google Scholar] [CrossRef] [PubMed][Green Version]
- Taylor, A. High-altitude illnesses: Physiology, risk factors, prevention, and treatment. Rambam Maimonides Med J. 2011, 2, 0022. [Google Scholar] [CrossRef] [PubMed]
- Wang, M.; Yan, G.; Yu, L.; Xie, W.; Dai, Y. Effects of different artificial oxygen-supply systems on migrants’ physical and psychological reactions in high-altitude tunnel construction. Build. Environ. 2019, 149, 458–467. [Google Scholar] [CrossRef]
- Valant, A.Z.; Ziberna, L.; Papaharilaou, Y.; Anayiotos, A.; Georgiou, G.C. The influence of oxygen concentration on the rheological properties and flow of whole human blood. Rheol. Acta 2016, 55, 921–933. [Google Scholar] [CrossRef]
- Osculati, G.; Revera, M.; Branzi, G.; Faini, A.; Malfatto, G.; Bilo, G.; Giuliano, A.; Gregorini, F.; Ciambellotti, F.; Lombardi, C.; et al. Effects of hypobaric hypoxia exposure at high altitude on left ventricular twist in healthy subjects: Data from HIGHCARE study on Mount Everest. Eur. Hear. J. Cardiovasc. Imaging 2015, 17, 635–643. [Google Scholar] [CrossRef]
- Koehle, M.S.; Guenette, J.A.; Warburton, D.E. Oximetry, heart rate variability, and the diagnosis of mild-to-moderate acute mountain sickness. Eur. J. Emerg. Med. 2010, 17, 119–122. [Google Scholar] [CrossRef]
- Vinnikov, D.; Brimkulov, N.; Redding-Jones, R. Four-year prospective study of lung function in workers in a high altitude (4000 m) Mine. High Alt. Med. Boil. 2011, 12, 65–69. [Google Scholar] [CrossRef]
- Lawley, J.S.; Alperin, N.; Bagci, A.M.; Lee, S.H.; Mullins, P.G.; Oliver, S.J.; Macdonald, J.H. Normobaric hypoxia and symptoms of acute mountain sickness: Elevated brain volume and intracranial hypertension. Ann. Neurol. 2014, 75, 890–898. [Google Scholar] [CrossRef]
- Boos, C.; Bass, M.; O’Hara, J.P.; Vincent, E.; Mellor, A.; Sevier, L.; Abdul-Razakq, H.; Cooke, M.; Barlow, M.; Woods, D.R. The relationship between anxiety and acute mountain sickness. PLOS ONE 2018, 13, e0197147. [Google Scholar] [CrossRef]
- Sracic, M.K.; Thomas, D.; Pate, A.; Norris, J.; Norman, M.; Gertsch, J.H. Syndrome of acute anxiety among marines after recent arrival at high altitude. Mil. Med. 2014, 179, 559–564. [Google Scholar] [CrossRef]
- Pavlicek, V.; Schirlo, C.; Nebel, A.; Regard, M.; A Koller, E.; Brugger, P. Cognitive and emotional processing at high altitude. Aviat. Space. Environ. Med. 2005, 76, 28–33. [Google Scholar] [PubMed]
- Gong, G.; Guo, Y.; Sun, X.; Wang, X.; Yin, Y.; Feng, D. Study of an oxygen supply and oxygen saturation monitoring system for radiation therapy associated with the active breathing coordinator. Sci. Rep. 2018, 8, 1254. [Google Scholar] [CrossRef] [PubMed]
- Kim, E.J.; Jung, C.Y.; Kim, K.C. Effectiveness and safety of high-flow nasal cannula oxygen delivery during bronchoalveolar lavage in acute respiratory failure patients. Tuberc. Respir. Dis. 2018, 81, 319–329. [Google Scholar] [CrossRef]
- Simancas, D.; Arévalo-Rodriguez, I.; Osorio, D.; Franco, J.V.; Xu, Y.; Hidalgo, R. Interventions for treating acute high altitude illness. Cochrane Database Syst. Rev. 2018, 6, CD009567. [Google Scholar] [CrossRef]
- West, J.B. Safe upper limits for oxygen enrichment of room air at high altitude. High Alt. Med. Boil. 2001, 2, 47–51. [Google Scholar] [CrossRef] [PubMed]
- Guo, C.; Xu, J.; Wang, M.; Yan, T.; Yang, L.; Sun, Z. Study on oxygen supply standard for physical health of construction personnel of high-altitude tunnels. Int. J. Environ. Res. Public Health 2015, 13, 64. [Google Scholar] [CrossRef]
- Wu, P.; Yang, F.; Zheng, J.; Wei, Y. Evaluating the highway tunnel construction in western sichuan plateau considering vocational health and environment. Int. J. Environ. Res. Public Health 2019, 16, 4671. [Google Scholar] [CrossRef]
- Zhang, C.Z.; Liu, Y.S.; Wang, H.Y.; Wu, Y.M.; Ma, X.J.; Chen, F.X. Oxygen enrichment characteristics of an enclosed architectural space under anoxic conditions. Chinese J. Eng. 2018, 40, 1380–1388. [Google Scholar]
- Wang, H.Y.; LIU, Y.S.; ZHANG, C.Z.; CHEN, F.X.; MA, X.J.; LI, C.W. Simulation of oxygen enrichment characteristics and effect in hypoxia air-conditioning room. Chinese J. Eng. 2019, 41, 1061–1073. [Google Scholar]
- Shi, Y.; Wang, Y.; Cai, M.; Zhang, B.; Zhu, J. An aviation oxygen supply system based on a mechanical ventilation model. Chin. J. Aeronaut. 2018, 31, 197–204. [Google Scholar] [CrossRef]
- Yu, Z.J.; Zhao, J.Q. Numerical simulation of oxygen supply system’s performance parameters characteristic at high altitude. J. Beijing Univ. Aeronaut. Astronaut. 2010, 36, 918–921. [Google Scholar]
- Shen, G.; Wu, X.; Tang, C.; Yan, Y.; Liu, J.; Guo, W.; Jing, D.; Lei, T.; Tian, Y.; Xie, K.; et al. An oxygen enrichment device for lowlanders ascending to high altitude. Biomed. Eng. Online 2013, 12, 100. [Google Scholar] [CrossRef] [PubMed]
- Viscor, G.; Torrella, J.R.; Corral, L.; Ricart, A.; Javierre, C.; Pages, T.; Ventura, J.L. Physiological and biological responses to short-term intermittent hypobaric hypoxia exposure: From sports and mountain medicine to new biomedical applications. Front. Physiol. 2018, 9, 9. [Google Scholar] [CrossRef] [PubMed]
- Shen, G.; Xie, K.; Yan, Y.; Jing, D.; Tang, C.; Wu, X.; Liu, J.; Sun, T.; Zhang, J.; Luo, E.-P. The role of oxygen-increased respirator in humans ascending to high altitude. Biomed. Eng. Online 2012, 11, 49. [Google Scholar] [CrossRef]
- Butler, G.J.; Al-Waili, N.; Passano, D.V.; Ramos, J.; Chavarri, J.; Beale, J.; Allen, M.W.; Lee, B.Y.; Urteaga, G.; Salom, K. Altitude mountain sickness among tourist populations: A review and pathophysiology supporting management with hyperbaric oxygen. J. Med Eng. Technol. 2011, 35, 197–207. [Google Scholar] [CrossRef]
- Liu, Y.S.; Wu, T.Y.; Ding, S.Q.; Liu, W.H.; Hou, Q.W.; Feng, J.X.; Le, K.; Zhang, H.; Li, Y.L. Oxygen concentrating and appilcation for railway tunnel construction in high altitude area and it’s physiological effects on the construction workers. In Proceedings of the 4th International Conference on Bioinformatics And Biomedical Engineering, Chengdu, China, 18–20 June 2010. [Google Scholar]
- Li, Y.; Liu, Y. Oxygen enrichment and its application to life support systems for workers in high-altitude areas. Int. J. Occup. Environ. Health 2014, 20, 207–214. [Google Scholar] [CrossRef]
- Kurnia, J.C.; Sasmito, A.P.; Mujumdar, A.S. CFD simulation of methane dispersion and innovative methane management in underground mining faces. Appl. Math. Model. 2014, 38, 3467–3484. [Google Scholar] [CrossRef]
- Hua, Y.; Nie, W.; Wei, W.; Liu, Q.; Liu, Y.; Peng, H. Research on multi-radial swirling flow for optimal control of dust dispersion and pollution at a fully mechanized tunnelling face. Tunn. Undergr. Space Technol. 2018, 79, 293–303. [Google Scholar] [CrossRef]
- Wang, W.; Zhang, C.; Yang, W.; Xu, H.; Li, S.; Li, C.; Ma, H.; Qi, G. In situ measurements and CFD numerical simulations of thermal environment in blind headings of underground mines. Process 2019, 7, 313. [Google Scholar] [CrossRef]
- Zhang, S.J.; Hu, S.S.; Liu, G.Y.; Zhu, D.M.; Yang, C.Y.; Liu, R.E. Layout parameters of controlled cooling nozzles for seamless pipes based on Fluent software. J. Univ. Sci. Technol. B. 2010, 32, 123–127. [Google Scholar]
- Zhong, H.; Hu, N.L.; Li, G.Q.; Hou, J. On the oxygen−intensifying ventilation technology for plateau mine tunneling via the application of the software Fluent. J. Safety Environ. 2017, 17, 81–85. [Google Scholar]
- Yong, L.; Xia, S.L.; Zhu, J.H. Study on flow characteristics of gas-mist two phase confined jet. J. Sichuan U. (Eng. Sci. Ed.) 2001, 4, 54–58. [Google Scholar]













| Type | Parameter |
|---|---|
| Temperature | 288.15 K |
| Atmospheric pressure | 66614 KPa |
| Air density | 0.8064 kg/m3 |
| Airflow inlet | Velocity-inlet, 0.5 m/s |
| Airflow outlet | Outflow |
| Oxygen-supply duct | Velocity-inlet, 5 m/s |
| Nose gas inlet | Velocity-inlet, 4.5 m/s |
| Factor Level | Oxygen-Supply Velocity (m/s) | Oxygen-Supply Concentration % | Tunnel Airflow Velocity (m/s) |
|---|---|---|---|
| 1 level | 3 | 40 | 0.2 |
| 2 level | 5 | 50 | 0.5 |
| 3 level | 7 | 60 | 0.8 |
| Test Number | Oxygen-Supply Velocity (m/s) | Oxygen-Supply Concentration (%) | Tunnel Airflow Velocity (m/s) | Oxygen Mass Fraction (%) |
|---|---|---|---|---|
| 1 | 3 | 40 | 0.2 | 25.52 |
| 2 | 3 | 50 | 0.5 | 25.15 |
| 3 | 3 | 60 | 0.8 | 23.74 |
| 4 | 5 | 40 | 0.5 | 25.00 |
| 5 | 5 | 50 | 0.8 | 24.48 |
| 6 | 5 | 60 | 0.2 | 30.42 |
| 7 | 7 | 40 | 0.8 | 24.29 |
| 8 | 7 | 50 | 0.2 | 24.47 |
| 9 | 7 | 60 | 0.5 | 28.51 |
| Range | 1.83 | 2.86 | 2.63 | |
| Optimal level | V2 | C3 | U1 | |
| Optimal combination | V2C3U1 | |||
© 2020 by the authors. Licensee MDPI, Basel, Switzerland. This article is an open access article distributed under the terms and conditions of the Creative Commons Attribution (CC BY) license (http://creativecommons.org/licenses/by/4.0/).
Share and Cite
Li, Z.; Li, R.; Xu, Y.; Xu, Y. Study on the Oxygen Enrichment Effect of Individual Oxygen-Supply Device in a Tunnel of Plateau Mine. Int. J. Environ. Res. Public Health 2020, 17, 5934. https://doi.org/10.3390/ijerph17165934
Li Z, Li R, Xu Y, Xu Y. Study on the Oxygen Enrichment Effect of Individual Oxygen-Supply Device in a Tunnel of Plateau Mine. International Journal of Environmental Research and Public Health. 2020; 17(16):5934. https://doi.org/10.3390/ijerph17165934
Chicago/Turabian StyleLi, Zijun, Rongrong Li, Yu Xu, and Yuanyuan Xu. 2020. "Study on the Oxygen Enrichment Effect of Individual Oxygen-Supply Device in a Tunnel of Plateau Mine" International Journal of Environmental Research and Public Health 17, no. 16: 5934. https://doi.org/10.3390/ijerph17165934
APA StyleLi, Z., Li, R., Xu, Y., & Xu, Y. (2020). Study on the Oxygen Enrichment Effect of Individual Oxygen-Supply Device in a Tunnel of Plateau Mine. International Journal of Environmental Research and Public Health, 17(16), 5934. https://doi.org/10.3390/ijerph17165934

