Addition of an Emotionally Stable Node in the SOSa-SPSa Model for Group Emotional Contagion of Panic in Public Health Emergency: Implications for Epidemic Emergency Responses
Abstract
1. Introduction
2. Model Basis
3. Model and Simulation
4. Discussion of Results
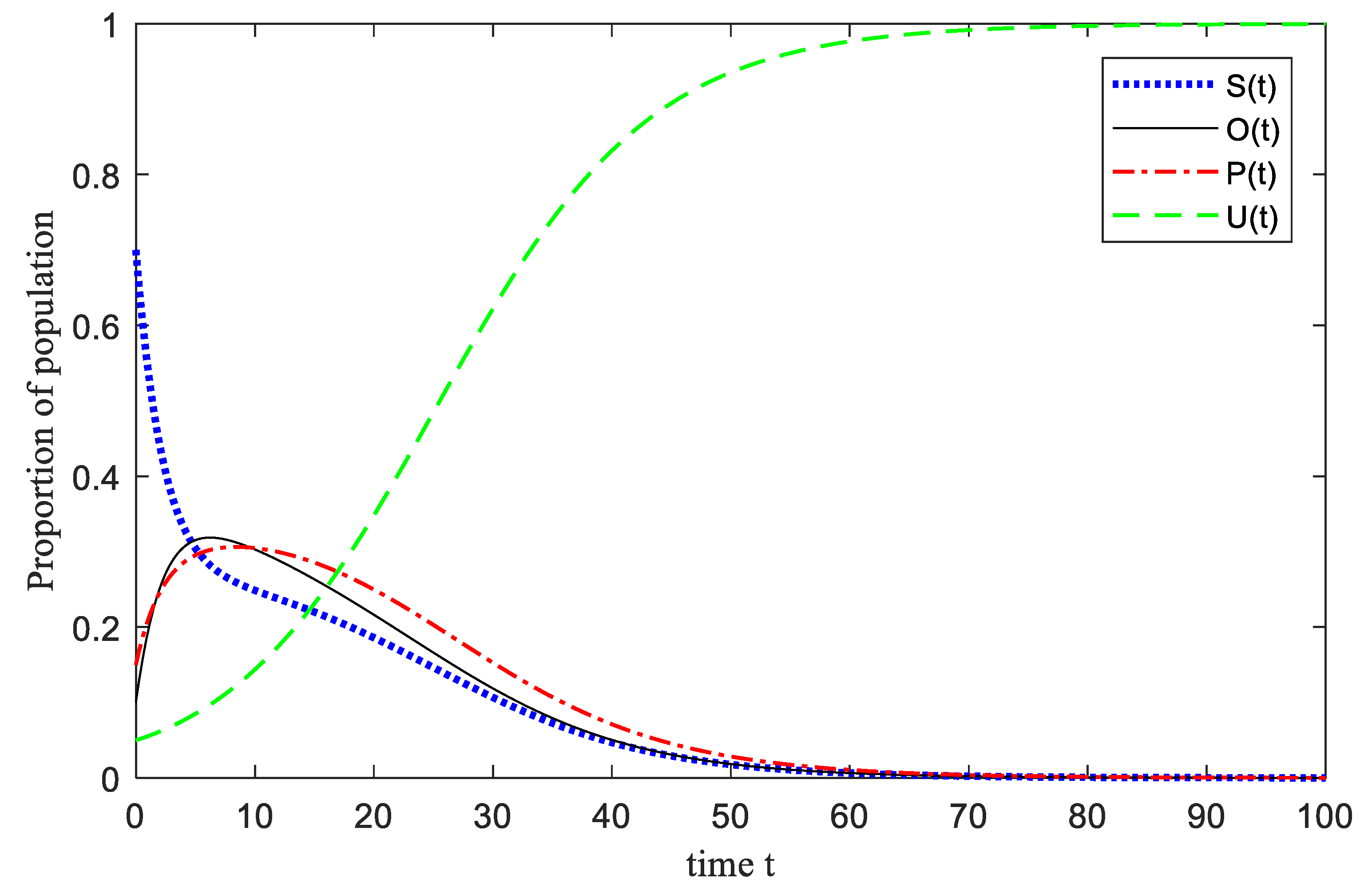
4.1. Analysis of the Influence of U(t)
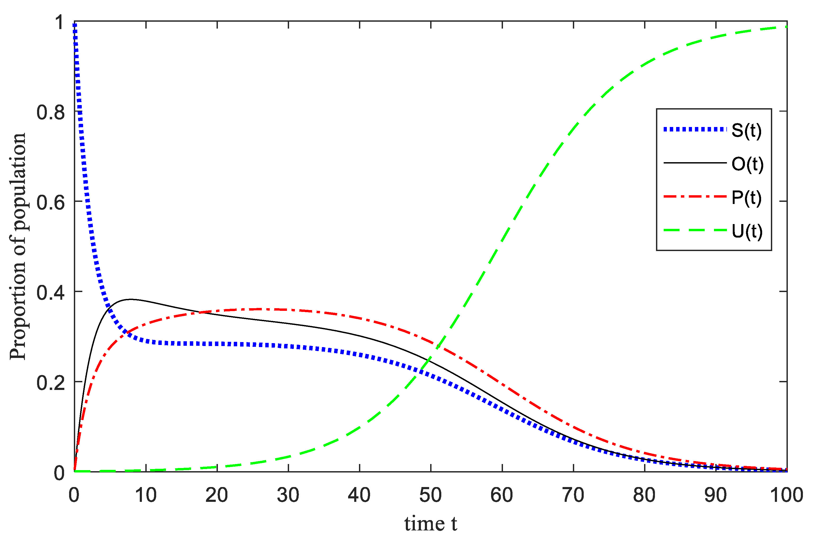
4.2. Analysis of the Influence of Initially Negative Emotion Scale
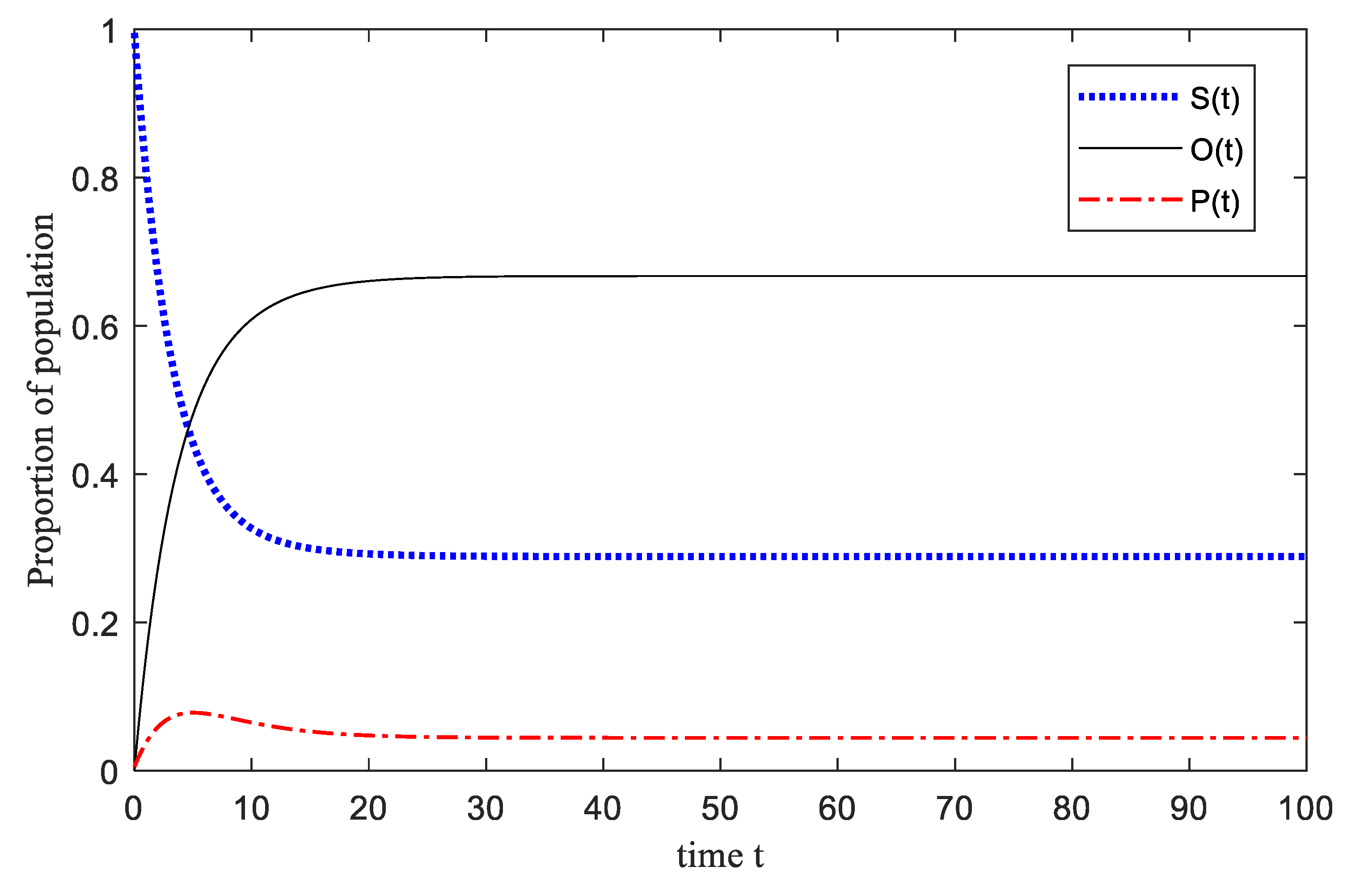
4.3. Analysis of the Impact of Spontaneous Infection Process
4.4. Analysis of the Impact of Contact Probability
4.5. Analysis of the Impact of Recovery Probability
4.6. Analysis of the Impact of Cure Probability
4.7. Analysis of the Influence of Risk Degree Coefficient a
5. Conclusions
- (a)
- Adding an emotionally stable group U(t) with control effect can inhibit the pessimists. By regulating the efficiency of emotionally stable groups with control, it can effectively control the proportion of pessimists in the group after the occurrence of an emergency, and thus avoid large-scale group turmoil or riots.
- (b)
- The initial negative emotions below 0.34 belong to medium and low risks, and P(t) increase steadily, while above 0.34 belong to high-risk states. In this state, the speed of external rescue should be accelerated to fully regulate P(t) infections in time.
- (c)
- In the three kinds of infection process, the influence of contact infection process is less than that of spontaneous infection and spontaneous recovery process. The spontaneous infection process can promote the emotional infection obviously, which shows that the spontaneous infection of group greatly affects the emotional infection process of group. Therefore, in reality, we should pay more attention to the spontaneous infection process of emergency events, strengthen effective safety publicity and training, improve the group’s drill skills in responding to public events, strengthen the intervention role of emotionally stable groups U(t), communicate information and confidence in a timely manner, and focus on the emergency skills of group when making emergency policies in order to control and improve the response.
- (d)
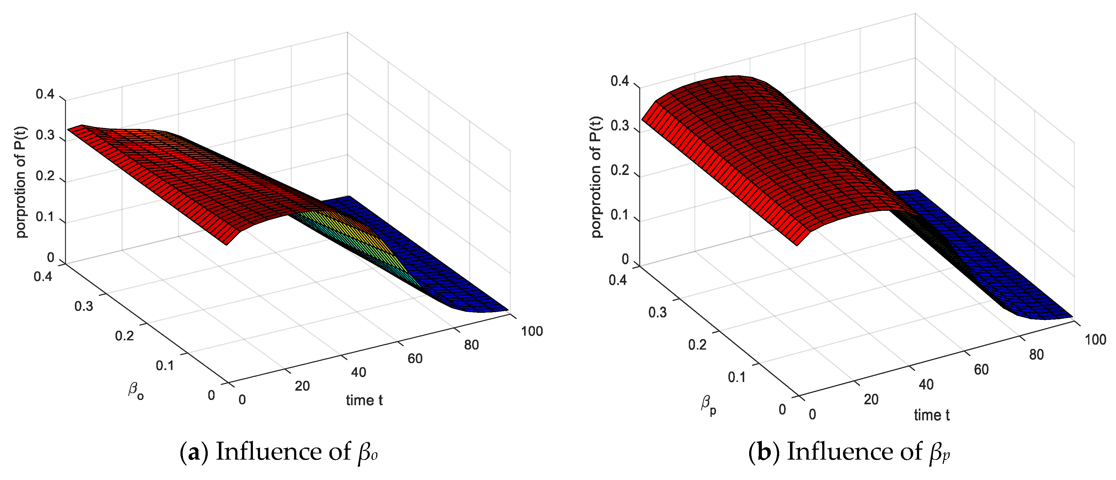
- θo has the least influence on the P(t), and its change range is small. At the same time, under the action of θp, the P(t) reaches the stable state first. Controlling θp, can effectively suppress infection of negative emotional groups.
- (e)
- Increased risk factor a can promote pessimists, but below the critical level, it will increase the infection rate for pessimists, and slow down the infection rate above the critical value.
Author Contributions
Funding
Conflicts of Interest
References
- Faroqi, H.; Mesgari, S. Agent-based crowd simulation considering emotion contagion for emergency evacuation problem. ISPRS Int. Arch. Photogramm. Remote Sens. Spat. Inf. Sci. 2015, XL-1-W5, 193–196. [Google Scholar] [CrossRef]
- Totterdell, P. Catching moods and hitting runs: Mood linkage and subjective performance in professional sport teams. J. Appl. Psychol. 2000, 85, 848–859. [Google Scholar] [CrossRef]
- Parkinson, B. Interpersonal emotion transfer: Contagion and social appraisal. Soc. Pers. Psychol. Compass 2011, 5, 428–439. [Google Scholar] [CrossRef]
- Barsade, S.G.; Coutifaris, C.G.; Pillemer, J. Emotional contagion in organizational life. Res. Organ. Behav. 2018, 38, 137–151. [Google Scholar] [CrossRef]
- Hess, U.; Fischer, A. Emotional mimicry: Why and when we mimic emotions. Soc. Pers. Psychol. Compass 2014, 8, 45–57. [Google Scholar] [CrossRef]
- Prochazkova, E.; Kret, M.E. Connecting minds and sharing emotions through mimicry: A neurocognitive model of emotional contagion. Neurosci. Biobehav. Rev. 2017, 80, 99–114. [Google Scholar] [CrossRef]
- Rincon, J.A.; Costa, A.; Novais, P.; Julián, V.; Carrascosa, C. A daynamic emotional model for agent societies. In International Conference on Practical Applications of Agents and Multi-Agent Systems; Springer: Cham, Switzerland, 2016; pp. 168–182. [Google Scholar]
- Rincon, J.A.; Costa, A.; Villarrubia, G.; Julian, V.; Carrascosa, C. Introducing dynamism in emotional agent societies. Neurocomputing 2017, 272, 27–39. [Google Scholar] [CrossRef]
- Tsai, J.; Fridman, N.; Bowring, E.; Brown, M.; Tambe, M. ESCAPES-Evacuation simulation with children, authorities, parents, emotions, and social comparison. In Proceedings of the 10th International Conference on Autonomous Agents and Multiagent Systems (AAMAS 2011), Taipei, Taiwan, 2–6 May 2011; International Foundation for Autonomous Agents & Multiagent Systems(IFAAMAS): Richland, SC, USA, 2011; pp. 1–3. [Google Scholar]
- Tsai, J.; Bowring, E.; Marsella, S. Empirical evaluation of computational fear contagion models in crowd dispersions. Auton. Agents Multi-Agent Syst. 2013, 27, 200–217. [Google Scholar] [CrossRef]
- Liu, Z.; Liu, T.T.; Ma, M.H. A perception-based emotion contagion model in crowd emergent evacuation simulation. Comput. Animat. Virtual Worlds 2018, 29, e1817. [Google Scholar] [CrossRef]
- Li, B.; Sun, D.Y.; Lin, Z.H. Agent-based simulation research on group emotion evolution of public emergency. In Proceedings of the IEEE/ACM International Conference on Advances in Social Networks Analysis and Mining, Beijing, China, 17–20 August 2014; IEEE Computer Society Press: Los Alamitos, CA, USA, 2014; pp. 497–502. [Google Scholar]
- Manzoor, A.; Treur, J. An agent-based model for integrated emotion regulation and contagion in socially affected decision making. Biol. Inspir. Cogn. Archit. 2015, 12, 105–120. [Google Scholar] [CrossRef]
- Gross, J.J. Emotion regulation: Current status and future prospects. Psychol. Inq. 2015, 26, 1–26. [Google Scholar] [CrossRef]
- Crockett, M.J. Moral outrage in the digital age. Nat. Hum. Behav. 2017, 1, 769–771. [Google Scholar] [CrossRef] [PubMed]
- Van Zomeren, M.; Leach, C.W.; Spears, R. Protesters as passionate economists: A dynamic dual pathway model of approach coping with collective disadvantage. Pers. Soc. Psychol. Rev. 2012, 16, 180–199. [Google Scholar] [CrossRef] [PubMed]
- Altman, M.; Tufekci, Z. Twitter and tear gas: The power and fragility of networked protest. Volunt. Int. J. Volunt. Nonprofit Organ. 2018, 29, 884–885. [Google Scholar]
- Goldenberg, A.; Garcia, D.; Halperin, E.; Zaki, J.; Kong, D.; Golarai, G.; Gross, J.J. Beyond emotional similarity: The role of situation specific motives. J. Exp. Psychol. Gen. 2019, 149, 138–159. [Google Scholar] [CrossRef]
- Bosse, T.; Duell, R.; Memon, Z.A. A Multi-Agent Model for Emotion Contagion Spirals Integrated within a Supporting Ambient Agent Model; Springer: Berlin/Heidelberg, Germany, 2009; pp. 48–67. [Google Scholar]
- Bosse, T.; Duell, R.; Memon, Z.A.; Treur, J.; van der Wal, C.N. Agent-based modeling of emotion contagion in groups. Cognit. Comput. 2015, 7, 111–136. [Google Scholar] [CrossRef]
- Durupinar, F. From Audiences to Mobs: Crowd Simulation with Psychological Factors; Bilkent University: Ankara, Turkey, 2010. [Google Scholar]
- Durupınar, F.; Güdükbay, U.; Aman, A.; Badler, N.I. Psychological pa-rameters for crowd simulation: From audiences to mobs. IEEE Trans. Visual. Comput. Graph. 2016, 22, 2145–2159. [Google Scholar] [CrossRef]
- Lungu, V. Newtonian Emotion System; Springer: Berlin/Heidelberg, Germany, 2013; pp. 307–315. [Google Scholar]
- Gibson, S. Grinning, Frowning, and Emotion-Less: Agent Perceptions of Power and Their Effect on Felt and Displayed Emotions in Influence Attempts; M E Shape Armonk: New York, NY, USA, 2002; pp. 184–211. [Google Scholar]
- Fu, L.; Song, W.; Lv, W.; Lo, S. Simulation of emotional contagion using modified SIR model: A cellular automaton ap-proach. Phys. A Stat. Mech. Its Appl. 2014, 405, 380–391. [Google Scholar] [CrossRef]
- Mao, Y.; Li, Z.; Li, Y.; He, W. Emotion-based diversity crowd behavior simulation in public emergency. Vis. Comput. 2018, 35, 1725–1739. [Google Scholar] [CrossRef]
- Wang, X.; Zhang, L.; Lin, Y.; Zhao, Y.; Hu, X. Computational models and optimal control strategies for emotion contagion in the human population in emergencies. Knowl.-Based Syst. 2016, 109, 35–47. [Google Scholar] [CrossRef]
- Cao, M.X.; Zhang, G.J.; Wang, M.S.; Lu, D.J.; Liu, H. A method of emotion contagion for crowd evacuation. Phys. A Stat. Mech. Its Appl. 2017, 483, 250–258. [Google Scholar] [CrossRef]
- Hill, A.L.; Rand, D.G.; Nowak, M.A.; Christakis, N.A. Christakis emotions as infectious diseases in a large social network: The SISa model. Proc. R. Soc. B 2010, 277, 827–835. [Google Scholar] [CrossRef] [PubMed]
- Song, Z.; Shi, R.; Jia, J.; Wang, J. Sentiment contagion based on the modified SOSa-SPSa model. Comput. Math. Methods Med. 2016, 2016, 9682538. [Google Scholar] [CrossRef] [PubMed]
- Xiao, D.; Ruan, S. Global analysis of an epidemic model with nonmonotone incidence rate. Math. Biosci. 2007, 208, 419–429. [Google Scholar] [CrossRef] [PubMed]

















© 2020 by the authors. Licensee MDPI, Basel, Switzerland. This article is an open access article distributed under the terms and conditions of the Creative Commons Attribution (CC BY) license (http://creativecommons.org/licenses/by/4.0/).
Share and Cite
Ni, X.; Zhou, H.; Chen, W. Addition of an Emotionally Stable Node in the SOSa-SPSa Model for Group Emotional Contagion of Panic in Public Health Emergency: Implications for Epidemic Emergency Responses. Int. J. Environ. Res. Public Health 2020, 17, 5044. https://doi.org/10.3390/ijerph17145044
Ni X, Zhou H, Chen W. Addition of an Emotionally Stable Node in the SOSa-SPSa Model for Group Emotional Contagion of Panic in Public Health Emergency: Implications for Epidemic Emergency Responses. International Journal of Environmental Research and Public Health. 2020; 17(14):5044. https://doi.org/10.3390/ijerph17145044
Chicago/Turabian StyleNi, Xiaoyang, Haojie Zhou, and Weiming Chen. 2020. "Addition of an Emotionally Stable Node in the SOSa-SPSa Model for Group Emotional Contagion of Panic in Public Health Emergency: Implications for Epidemic Emergency Responses" International Journal of Environmental Research and Public Health 17, no. 14: 5044. https://doi.org/10.3390/ijerph17145044
APA StyleNi, X., Zhou, H., & Chen, W. (2020). Addition of an Emotionally Stable Node in the SOSa-SPSa Model for Group Emotional Contagion of Panic in Public Health Emergency: Implications for Epidemic Emergency Responses. International Journal of Environmental Research and Public Health, 17(14), 5044. https://doi.org/10.3390/ijerph17145044

