Internalized Stigmatization, Social Support, and Individual Mental Health Problems in the Public Health Crisis
Abstract
1. Introduction
2. Literature Review
2.1. The Impact of Internalized Stigmatization on Anxiety
2.2. The Impact of Internalized Stigmatization on Depression
2.3. The Impact of Internalized Stigmatization on Shame
2.4. The Moderating Role of Social Support in the Relationship Between Internalized Stigmatization and Mental Health Problems
3. Materials and Methods
3.1. Procedure
3.2. Measures
3.3. Confirmatory Factor Analyses
3.4. Analytic Strategy
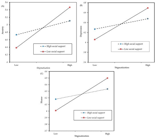
4. Results
5. Discussion
6. Conclusions
Author Contributions
Funding
Acknowledgments
Conflicts of Interest
Appendix A
| Internalized Stigmatization (1 = Strongly Disagree to 7 = Strongly Agree) [37] |
|---|
| 1. Having travelled in Hubei Province is a punishment for bad behavior. |
| 2. If I was in public or private transport and someone knew I had travelled in Hubei Province, they would not sit next to me. |
| 3. I think having travelled in Hubei Province was just a matter of bad luck. |
| 4. I think less of myself because I have travelled in Hubei Province. |
| 5. My neighbors would not like me living next door if they knew I had travelled in Hubei Province. |
| 6. I would understand if people rejected my friendship because I have travelled in Hubei Province. |
| 7. I feel it is completely safe for me to handle other people’s children (reverse). |
| 8. I have a lot to teach people about life through having travelled in Hubei Province (reverse). |
| 9. Because of my travelling experience in Hubei Province, people would not date me. |
| 10. People are right to be afraid of me because I have travelled in Hubei Province. |
| 11. I feel that it is my fault that I have travelled in Hubei Province. |
| 12. Although I have travelled in Hubei Province, I am a person who deserves as much respect as anyone else. |
| 13. Most employers would not employ me because I have travelled in Hubei Province. |
| 14. If I drank from a tap and people knew I had travelled in Hubei Province, they would not drink from the same tap. |
| 15. I must have done something wrong to deserve having travelled in Hubei Province. |
| 16. I feel ashamed that I have travelled in Hubei Province. |
| 17. When people know I have travelled in Hubei Province, I feel uncomfortable around them. |
| Anxiety (1 = Strongly Disagree to 7 = Strongly Agree) [39] |
| 1. I feel tense or “wound up”. |
| 2. I get a sort of frightened feeling as if something awful is about to happen. |
| 3. Worrying thoughts go through my mind. |
| 4. I can sit at ease and feel relaxed. |
| 5. I get a sort of frightened feeling like “butterflies” in my stomach. |
| 6. I feel restless as if I have to be on the move. |
| 7. I get sudden feelings of panic. |
| Depression (1 = Strongly Disagree to 7 = Strongly Agree) [39] |
| 1. I still enjoy the things I used to enjoy (reverse). |
| 2. I can laugh and see the funny side of things (reverse). |
| 3. I feel cheerful (reverse). |
| 4. I feel as if I am slowed down. |
| 5. I have lost interest in my appearance. |
| 6. I look forward with enjoyment to things (reverse). |
| 7. I can enjoy a good book or radio or TV program (reverse). |
| Shame (1 = Strongly Disagree to 7 = Strongly Agree) [40] |
| 1. Getting a travelling experience in Hubei Province means a person has been hanging with the wrong crowd. |
| 2. A travelling experience in Hubei Province means I don’t keep myself clean. |
| 3. Getting a travelling experience in Hubei Province means a person should be ashamed of himself or herself. |
| 4. Getting a travelling experience in Hubei Province means a person is dirty. |
| 5. Getting a travelling experience in Hubei Province means I don’t take care of myself. |
| 6. Getting examined for a travelling experience in Hubei Province means I’m not clean. |
| Social support questionnaire (SSQ-6, 1 = Strongly Disagree to 7 = Strongly Agree). [38] |
| 1. You can easily find someone that you really count on to distract you from your worries when you feel under stress. |
| 2. You can easily find someone that you really count on to help you feel more relaxed when you are under pressure or tense. |
| 3. You can easily find someone that accepts you totally, including both your worst and your best points. |
| 4. You can easily find someone that you really count on to care about you, regardless of what is happening to you. |
| 5. You can easily find someone that you really count on to help you feel better when you are generally feeling down in the dumps. |
| 6. You can easily find someone that you count on to console you when you are very upset. |
References
- Zhu, N.; Zhang, D.; Wang, W.; Li, X.; Yang, B.; Song, J.; Zhao, X.; Huang, B.; Shi, W.; Lu, R.; et al. A Novel Coronavirus from Patients with Pneumonia in China. N. Eng. J. Med. 2020, 382, 727–733. [Google Scholar] [CrossRef] [PubMed]
- Gohain, Z.; Halliday, M.A.L. Internalized HIV-stigma, mental health, coping and perceived social support among people living with HIV/AIDS in Aizawl District A pilot study. Psychology 2014, 5, 1794. [Google Scholar] [CrossRef]
- Alonso, J.; Buron, A.; Rojas-Farreras, S.; Graaf, R.D.; Haro, J.M.; Girolamo, G.D.; Bruffaerts, R.; Kovess, V.; Matschinger, H.; Vilagut, G. Perceived stigma among individuals with common mental disorders. J. Affect. Disord. 2009, 118, 180–186. [Google Scholar] [CrossRef] [PubMed]
- Chen, G.; Li, Y.; Zhang, B.; Yu, Z.; Li, X.; Wang, L.; Yu, Z. Psychological characteristics in high-risk MSM in China. BMC Public Health 2012, 12, 58. [Google Scholar] [CrossRef]
- Feng, Y.; Wu, Z.; Detels, R.; Qin, G.; Liu, L.; Wang, X.; Wang, J.; Zhang, L. HIV/STD prevalence among MSM in Chengdu, China and associated risk factors for HIV infection. J. Acquir. Immune Defic. Syndr. 2010, 53, S74. [Google Scholar] [CrossRef]
- Cohen, S. Social relationships and health. Am. Psychol. 2004, 59, 676–684. [Google Scholar] [CrossRef] [PubMed]
- Takada, S.; Weiser, S.D.; Kumbakumba, E.; Muzoora, C.; Martin, J.N.; Hunt, P.W.; Haberer, J.E.; Kawuma, A.; Bangsberg, D.R.; Tsai, A.C. The dynamic relationship between social support and HIV-related stigma in rural Uganda. Ann. Behav. Med. 2014, 48, 26–37. [Google Scholar] [CrossRef] [PubMed]
- Thompson, V.L.S.; Noel, J.G.; Campbell, J. Stigmatization, discrimination, and mental health: The impact of multiple identity status. Am. J. Orthopsychiatr. 2004, 74, 529–544. [Google Scholar] [CrossRef]
- Clucas, C.; Sibley, E.; Harding, R.; Liu, L.; Catalan, J.; Sherr, L. A systematic review of interventions for anxiety in people with HIV. Psychol. Health Med. 2011, 16, 528–547. [Google Scholar] [CrossRef]
- Grupe, D.W.; Nitschke, J.B. Uncertainty and anticipation in anxiety: An integrated neurobiological and psychological perspective. Nat. Rev. Neurosci. 2013, 14, 488–501. [Google Scholar] [CrossRef]
- Varni, S.E.; Miller, C.T.; McCuin, T.; Solomon, S. Disengagement and engagement coping with HIV/AIDS stigma and psychological well-being of people with HIV/AIDS. J. Soc. Clin. Psychol. 2012, 31, 123–150. [Google Scholar] [CrossRef]
- Pachankis, J.E. The psychological implications of concealing a stigma: A cognitive-affective-behavioral model. Psychol. Bull. 2008, 133, 328. [Google Scholar] [CrossRef] [PubMed]
- Helms, C.B.; Turan, J.M.; Atkins, G.; Kempf, M.C.; Clay, O.J.; Raper, J.L.; Mugavero, M.J.; Turan, B. Interpersonal mechanisms contributing to the association between HIV-related internalized stigma and medication adherence. AIDS Behav. 2017, 21, 238–247. [Google Scholar] [CrossRef] [PubMed]
- Chesney, M.A.; Smith, A.W. Critical delays in HIV testing and care: The potential role of stigma. Am. Behav. Sci. 1999, 42, 1162–1174. [Google Scholar] [CrossRef]
- Holtzheimer, P.E.; Mayberg, H.S. Stuck in a rut: Rethinking depression and its treatment. Trends Neurosci. 2011, 34, 1–9. [Google Scholar] [CrossRef]
- Beck, A.T. Depression: Causes and treatment. Clin. Geriat. Med. 2009, 14, 765–786. [Google Scholar] [CrossRef]
- Rieger, S.; Göllner, R.; Trautwein, U.; Roberts, B.W. Low self-esteem prospectively predicts depression in the transition to young adulthood: A replication of Orth, Robins, and Roberts. J. Personal. Soc. Psychol. 2016, 110, e16. [Google Scholar] [CrossRef]
- Lysaker, P.H.; Vohs, J.L.; Ballard, R.; Fogley, R.; Salvatore, G.; Popolo, R.; Dimaggio, G. Metacognition. Self-reflection and recovery in schizophrenia. Future Neurol. 2013, 8, 103–115. [Google Scholar] [CrossRef]
- Schrank, B.; Woppmann, A.; Sibitz, I.; Lauber, C. Development and validation of an integrative scale to assess hope. Health Expect. 2011, 14, 417–428. [Google Scholar] [CrossRef]
- Mittal, D.; Drummond, K.L.; Blevins, D.; Curran, G.; Corrigan, P.; Sullivan, G. Stigma associated with PTSD: Perceptions of treatment seeking combat veterans. Psychiatr. Rehabil. J. 2013, 36, 86. [Google Scholar] [CrossRef]
- Rüsch, N.; Hölzer, A.; Hermann, C.; Schramm, E.; Jacob, G.A.; Bohus, M.; Lieb, K.; Corrigan, P.W. Self-stigma in women with borderline personality disorder and women with social phobia. J. Nerv. Ment. Dis. 2006, 194, 766–773. [Google Scholar] [CrossRef] [PubMed]
- Fazeli, P.L.; Turan, J.M.; Budhwani, H.; Smith, W.; Raper, J.L.; Mugavero, M.J.; Turan, B. Moment-to-moment within-person associations between acts of discrimination and internalized stigma in people living with HIV: An experience sampling study. Stigma Health 2017, 2, 216. [Google Scholar] [CrossRef] [PubMed]
- Person, B.; Bartholomew, L.K.; Gyapong, M.; Addiss, D.G.; Borne, B. Health-related stigma among women with lymphatic filariasis from the Dominican Republic and Ghana. Soc. Sci. Med. 2009, 68, 30–38. [Google Scholar] [CrossRef] [PubMed]
- Tao, J.; Wang, L.; Kipp, A.; Qian, H.; Yin, L.; Ruan, Y.; Shao, Y.; Lu, H.; Vermund, S.H. Relationship of stigma and depression among newly HIV-diagnosed Chinese men who have sex with men. AIDS Behav. 2017, 21, 292–299. [Google Scholar] [CrossRef] [PubMed]
- Tracy, J.L.; Robins, R.W. Putting the self into self-conscious emotions: A theoretical model. Psychol. Inq. 2004, 15, 103–125. [Google Scholar] [CrossRef]
- Sangmoon, K.; Ryan, T.; Randall, S.J. Shame, guilt, and depressive symptoms: A meta-analytic review. Psychol. Bull. 2011, 137, 68–96. [Google Scholar] [CrossRef]
- Earnshaw, V.A.; Kalichman, S.C. Stigma Experienced by People Living with HIV/AIDS. Stigma Discrimin. Liv. HIV AIDS 2013, 23–38. [Google Scholar] [CrossRef]
- Corrigan, P.W.; Watson, A.C.; Miller, F.E. Blame, shame, and contamination: The impact of mental illness and drug dependence stigma on family members. J. Fam. Psychol. 2006, 20, 239. [Google Scholar] [CrossRef] [PubMed]
- Visser, M.J.; Makin, J.D.; Lehobye, K. Stigmatizing attitudes of the community towards people living with hiv/aids. J. Commun. Appl. Soc. Psychol. 2006, 16, 42–58. [Google Scholar] [CrossRef]
- Thibodeau, R.; Kim, S.; Jorgensen, R.S. Internal Shame, External Shame, and Depressive Symptoms: A Meta-Analytic Review. Psychol. Facul. Staff Pub. Available online: https://fisherpub.sjfc.edu/psychology_facpub/4/ (accessed on 22 June 2020).
- Malecki, C.K.; Demaray, M.K. What type of support do they need? Investigating student adjustment as related to emotional, informational, appraisal, and instrumental support. Sch. Psychol. Quart. 2006, 18, 231–252. [Google Scholar] [CrossRef]
- Marroquín, B. Interpersonal emotion regulation as a mechanism of social support in depression. Clin. Psychol. Rev. 2011, 31, 1276–1290. [Google Scholar] [CrossRef] [PubMed]
- Donenberg, G.R. Youths and HIV/AIDS: Psychiatry’s role in a changing epidemic. J. Am. Acad. Child Adol. Psychiatry 2005, 44, 728–747. [Google Scholar] [CrossRef] [PubMed]
- Knight, M.T.; Wykes, T.; Hayward, P. Group treatment of perceived stigma and self-esteem in schizophrenia: A waiting list trial of efficacy. Behav. Cognit. Psychcol. 2006, 34, 305–318. [Google Scholar] [CrossRef]
- Podsakoff, P.M.; MacKenzie, S.B.; Lee, J.Y.; Podsakoff, N.P. Common method biases in behavioral research: A critical review of the literature and recommended remedies. J. Appl. Psychol. 2003, 88, 879–903. [Google Scholar] [CrossRef] [PubMed]
- Brislin, R.W. Translation and content analysis of oral and written material. In Handbook of Cross-Cultural Psychology; Allyn & Bacon: Boston, MA, USA, 1980; pp. 349–444. [Google Scholar]
- Visser, M.J.; Kershaw, T.; Makin, J.D.; Forsyth, B.W.C. Development of parallel scales to measure HIV-related stigma. AIDS Behav. 2008, 12, 759–771. [Google Scholar] [CrossRef]
- Sarason, I.G.; Sarason, B.R.; Shearin, E.N.; Pierce, G.R. A Brief Measure of Social Support: Practical and Theoretical Implications. J. Soc. Pers. Relat. 1987, 4, 497–510. [Google Scholar] [CrossRef]
- Andrea, H.; Bültmann, U.; Beurskens, A.J.H.M.; Swaen, G.M.H.; Schayck, C.P.V.; Kant, I.J. Anxiety and depression in the working population using the had scale. Soc. Psychiatry Psychiatr. Epidemiol. 2004, 39, 637–646. [Google Scholar] [CrossRef]
- Fortenberry, D.J.; McFarlan, M.; Bleakley, A.; Bull, S.; Fishbein, M.; Grimley, D.M.; Malotte, K.C.; Stoner, B.P. Relationships of Stigma and Shame to Gonorrhea and HIV Screening. Am. J. Public Health 2002, 92, 378–381. [Google Scholar] [CrossRef]
- Muthén, L.K.; Muthén, B.O. Mplus User’s Guide 2012, 7th ed.; Muthén and Muthén: Los Angeles, CA, USA, 2012. [Google Scholar]
- Cohen, J.; Cohen, P.; West, S.G.; Aiken, L.S. Applied Multiple Regression/Correlation Analysis for the Behavioral Sciences; Erlbaum: Mahwah, NJ, USA, 2003. [Google Scholar]
- Almeida, J.; Kawachi, I.; Molnar, B.E.; Subramanian, S.V. A multilevel analysis of social ties and social cohesion among Latinos and their neighborhoods: Results from Chicago. J. Urban Health 2009, 86, 745–759. [Google Scholar] [CrossRef]
- Falci, C.D.; McNeely, C. Too many friends: Social integration, network cohesion and adolescent depressive symptoms. Soc. Forces 2009, 87, 2031–2061. [Google Scholar] [CrossRef]

| Model | Description | χ2 | df | Δχ2 | RMSEA | SRMR | CFI | TLI |
|---|---|---|---|---|---|---|---|---|
| The baseline five-factor model | ST, SS, AN, DE, SH. | 1443.052 | 395 | 0.059 | 0.070 | 0.911 | 0.902 | |
| The four-factor model a | ST and SH were combined into one factor. | 2932.681 | 400 | 1489.629 ** | 0.090 | 0.329 | 0.785 | 0.766 |
| The four-factor model | ST and SS were combined into one factor. | 5469.909 | 400 | 4026.857 ** | 0.128 | 0.133 | 0.569 | 0.532 |
| The four-factor model | AN and DE were combined into one factor. | 2599.756 | 400 | 1156.704 ** | 0.084 | 0.127 | 0.813 | 0.797 |
| The four-factor model | AN and SH were combined into one factor. | 2327.843 | 400 | 884.791 ** | 0.079 | 0.129 | 0.836 | 0.822 |
| The four-factor model | DE and SH were combined into one factor. | 1886.997 | 400 | 443.945 ** | 0.069 | 0.086 | 0.874 | 0.863 |
| The three-factor model | AN, DE, and SH were combined into one factor. | 3163.953 | 404 | 1720.901 ** | 0.094 | 0.125 | 0.766 | 0.748 |
| Variable | M | SD | 1 | 2 | 3 | 4 | 5 | 6 | 7 | 8 | 9 |
|---|---|---|---|---|---|---|---|---|---|---|---|
| 1. Gender | 0.460 | 0.499 | |||||||||
| 2. Age | 32.940 | 5.959 | 0.050 | ||||||||
| 3. Education | 15.800 | 1.560 | 0.001 | −0.010 | |||||||
| 4. Days | 7.360 | 1.945 | −0.018 | −0.092 * | −0.060 | ||||||
| 5. Stigmatization | 4.582 | 0.694 | −0.025 | −0.055 | 0.028 | −0.017 | (0.945) | ||||
| 6. Social support | 3.386 | 0.577 | 0.076 * | 0.051 | −0.016 | −0.003 | 0.076 * | (0.898) | |||
| 7. Anxiety | 4.914 | 0.640 | 0.041 | 0.030 | 0.028 | 0.053 | 0.274 ** | 0.014 | (0.790) | ||
| 8. Depression | 4.369 | 0.376 | 0.073 * | −0.026 | 0.006 | 0.055 | 0.272 ** | 0.016 | 0.365 ** | (0.677) | |
| 9. Shame | 4.252 | 0.315 | 0.046 | −0.051 | −0.048 | 0.050 | 0.248 ** | 0.021 | 0.290 ** | 0.276 ** | (0.885) |
| Variable | Regression 1. Dependent variable: Anxiety | ||
|---|---|---|---|
| Step 1 | Step 2 | Step 3 | |
| Demographics | |||
| Gender | 0.051 (0.045) | 0.059 (0.044) | 0.062 (0.044) |
| Age | 0.004 (0.004) | 0.005 (0.004) | 0.005 (0.004) |
| Education | 0.013 (0.013) | 0.010 (0.013) | 0.011 (0.013) |
| Days | 0.019 (0.011) | 0.021 * (0.011) | 0.020 (0.011) |
| Independent variable | |||
| Stigmatization | 0.257 ** (0.026) | 0.262 ** (0.026) | |
| Moderator | |||
| Social Support | −0.005 (0.035) | ||
| Interaction | |||
| Stigmatization × Social Support | −0.222 ** (0.049) | ||
| Regression 2. Dependent variable: Depression | |||
| Step 1 | Step 2 | Step 3 | |
| Demographics | |||
| Gender | 0.056 * (0.027) | 0.061 * (0.026) | 0.062 * (0.026) |
| Age | −0.002 (0.002) | −0.001 (0.002) | −0.001 (0.002) |
| Education | 0.002 (0.009) | 0.001 (0.008) | 0.001 (0.008) |
| Days | 0.011 (0.007) | 0.012 (0.007) | 0.011 (0.007) |
| Independent variable | |||
| Stigmatization | 0.149 ** (0.016) | 0.152 ** (0.016) | |
| Moderator | |||
| Social Support | −0.002 (0.020) | ||
| Interaction | |||
| Stigmatization × Social Support | −0.133 ** (0.031) | ||
| Regression 3. Dependent variable: Shame | |||
| Step 1 | Step 2 | Step 3 | |
| Demographics | |||
| Gender | 0.031 (0.023) | 0.034 (0.023) | 0.035 (0.023) |
| Age | −0.003 (0.002) | −0.002 (0.002) | −0.002 (0.002) |
| Education | −0.009 (0.007) | −0.011 (0.008) | −0.010 (0.007) |
| Days | 0.007 (0.005) | 0.008 (0.005) | 0.007 (0.005) |
| Independent variable | |||
| Stigmatization | 0.114 ** (0.017) | 0.116 ** (0.016) | |
| Moderator | |||
| Social Support | 0.004 (0.018) | ||
| Interaction | |||
| Stigmatization × Social Support | −0.106 ** (0.032) | ||
| Variable | PY1X | PY2X | PY3X | |||
|---|---|---|---|---|---|---|
| β | S.E. | β | S.E. | β | S.E. | |
| Zero Social Support | 0.257 ** | 0.026 | 0.149 ** | 0.016 | 0.114 ** | 0.017 |
| High Social Support (+1 SD) | 0.134 ** | 0.037 | 0.075 ** | 0.021 | 0.055 * | 0.026 |
| Low Social Support (−1 SD) | 0.390 ** | 0.039 | 0.229 ** | 0.026 | 0.177 ** | 0.024 |
| High- and Low-Level Difference z | −0.257 ** | 0.056 | −0.154 ** | 0.035 | −0.122 ** | 0.037 |
© 2020 by the authors. Licensee MDPI, Basel, Switzerland. This article is an open access article distributed under the terms and conditions of the Creative Commons Attribution (CC BY) license (http://creativecommons.org/licenses/by/4.0/).
Share and Cite
Li, J.; Liang, W.; Yuan, B.; Zeng, G. Internalized Stigmatization, Social Support, and Individual Mental Health Problems in the Public Health Crisis. Int. J. Environ. Res. Public Health 2020, 17, 4507. https://doi.org/10.3390/ijerph17124507
Li J, Liang W, Yuan B, Zeng G. Internalized Stigmatization, Social Support, and Individual Mental Health Problems in the Public Health Crisis. International Journal of Environmental Research and Public Health. 2020; 17(12):4507. https://doi.org/10.3390/ijerph17124507
Chicago/Turabian StyleLi, Jiannan, Wenqi Liang, Bocong Yuan, and Guojun Zeng. 2020. "Internalized Stigmatization, Social Support, and Individual Mental Health Problems in the Public Health Crisis" International Journal of Environmental Research and Public Health 17, no. 12: 4507. https://doi.org/10.3390/ijerph17124507
APA StyleLi, J., Liang, W., Yuan, B., & Zeng, G. (2020). Internalized Stigmatization, Social Support, and Individual Mental Health Problems in the Public Health Crisis. International Journal of Environmental Research and Public Health, 17(12), 4507. https://doi.org/10.3390/ijerph17124507

