Green Microalgae Scenedesmus Obliquus Utilization for the Adsorptive Removal of Nonsteroidal Anti-Inflammatory Drugs (NSAIDs) from Water Samples
Abstract
1. Introduction
2. Materials and Methods
2.1. Microalgae Biomass
2.2. Adsorption Experiments
2.2.1. Chemicals and Analytic Methods
2.2.2. Adsorption Kinetics and Equilibrium
2.2.3. Modelling of Kinetic and Equilibrium Results
2.2.4. Thermodynamics of Adsorption
2.3. Microalgae Biomass Characterization
2.3.1. Point of Zero Charge (pHPZC) Determination
2.3.2. Fourier Transform Infrared (FT-IR) Analysis
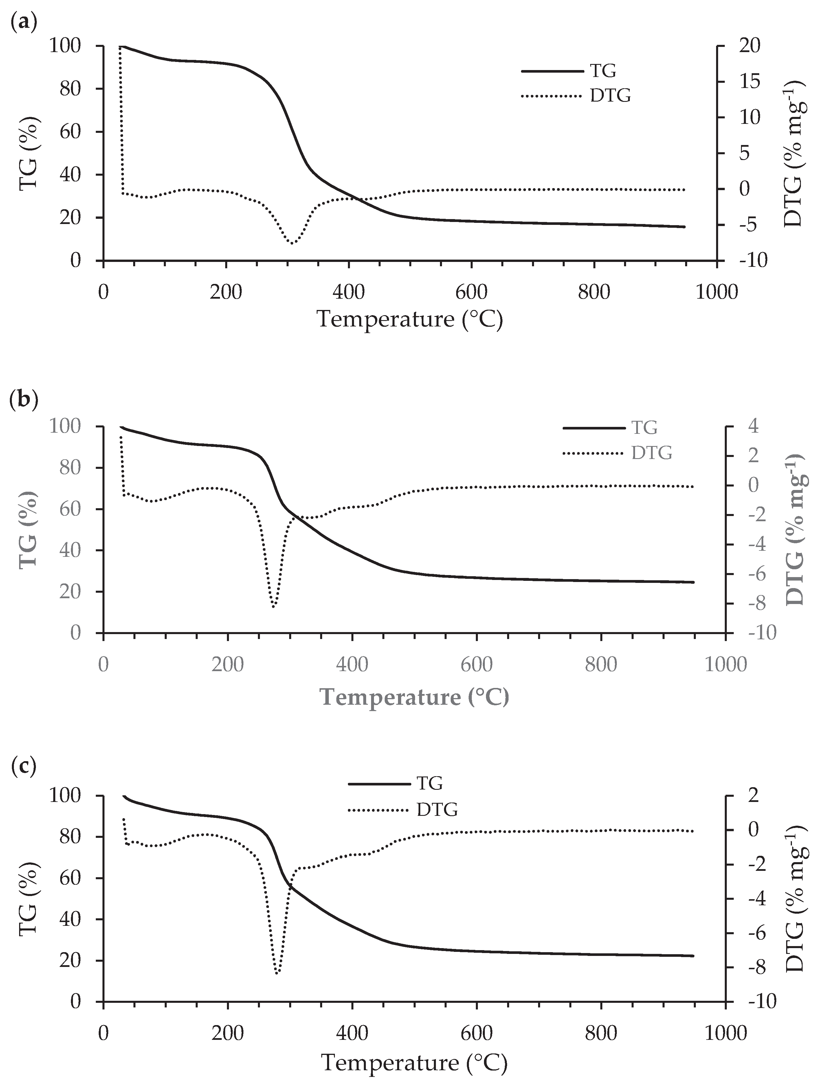
2.3.3. Simultaneous Thermal Analysis (STA)
2.3.4. Scanning Electron Microscopy with Energy Dispersive Spectroscopy (SEM/EDS)
3. Results and Discussion
3.1. Adsorption Results
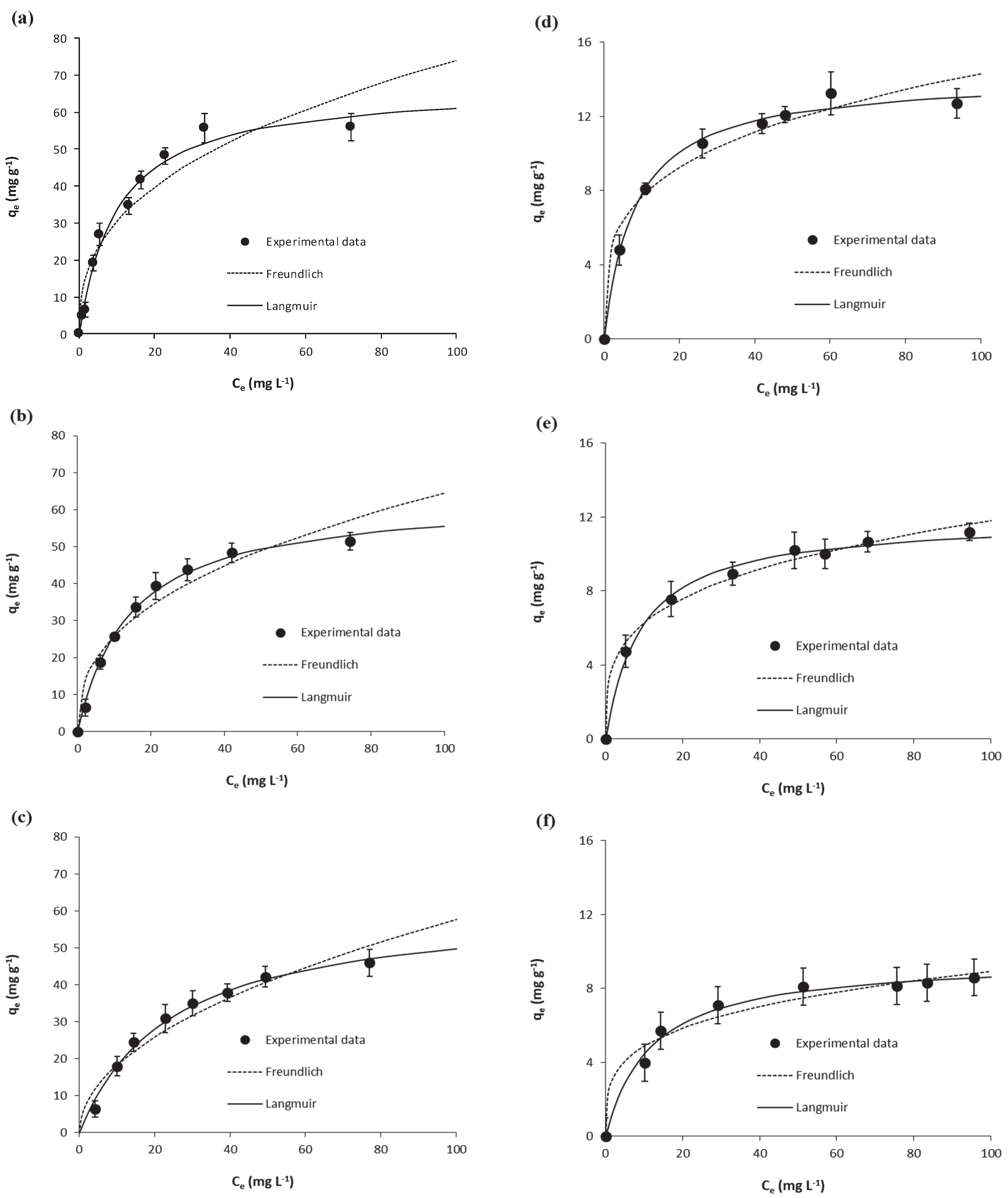
3.1.1. Adsorption Kinetic and Equilibrium
3.1.2. Thermodynamics of Adsorption
3.2. Microalgae Biomass Characterization
3.2.1. pHPZC
3.2.2. FT-IR
3.2.3. STA
3.2.4. SEM/EDS
3.3. Final Remarks and Future Work
4. Conclusions
Supplementary Materials
Author Contributions
Funding
Acknowledgments
Conflicts of Interest
References
- Smith, H.S. Nonsteroidal Anti-Inflammatory Drugs; Acetaminophen. In Encyclopedia of the Neurological Sciences, 2nd ed.; Aminoff, M.J., Daroff, R.B., Eds.; Academic Press: Oxford, UK, 2014; Volume 1, pp. 610–613. [Google Scholar]
- Ong, C.; Lirk, P.; Tan, C.; Seymour, R. An evidence-based update on nonsteroidal anti-inflammatory drugs. Clin. Med. Res. 2007, 5, 19–34. [Google Scholar] [CrossRef] [PubMed]
- Z hou, Y.; Boudreau, D.M.; Freedman, A.N. Trends in the use of aspirin and nonsteroidal anti-inflammatory drugs in the general U.S. population. Pharmacoepidemiol. Drug Saf. 2014, 23, 43–50. [Google Scholar] [CrossRef] [PubMed]
- Winker, M.; Faika, D.; Gulyas, H.; Otterpohl, R. A comparison of human pharmaceutical concentrations in raw municipal wastewater and yellowwater. Sci. Total Environ. 2008, 399, 96–104. [Google Scholar] [CrossRef] [PubMed]
- Guasch, H.; Ginebreda, A.; Geiszinger, A. Emerging and Priority Pollutants in Rivers. In The Handbook of Environmental Chemistry; Springer-Verlag Berlin and Heidelberg GmbH & Co. KG: Berlin, Germany, 2012. [Google Scholar]
- Rogowska, J.; Zimmermann, A.; Muszyńska, A.; Ratajczyk, W.; Wolska, L. Pharmaceutical Household Waste Practices: Preliminary Findings from a Case Study in Poland. Environ. Manag. 2019, 64, 97–106. [Google Scholar] [CrossRef] [PubMed]
- Tran, N.H.; Reinhard, M.; Gin, K.Y. Occurrence and fate of emerging contaminants in municipal wastewater treatment plants from different geographical regions-a review. Water Res. 2018, 133, 182–207. [Google Scholar] [CrossRef] [PubMed]
- Yang, Y.; Ok, Y.S.; Kim, K.-H.; Kwon, E.E.; Tsang, Y.F. Occurrences and removal of pharmaceuticals and personal care products (PPCPs) in drinking water and water/sewage treatment plants: A review. Sci. Total Environ. 2017, 596–597, 303–320. [Google Scholar] [CrossRef]
- Mlunguza, N.; Ncube, S.; Mahlambi, P.N.; Chimuka, L.; Madikizela, L.M. Adsorbents and removal strategies of non-steroidal anti-inflammatory drugs from contaminated water bodies. J. Environ. Chem. Eng. 2019, 7, 103142. [Google Scholar] [CrossRef]
- Otero, M.; Zabkova, M.; Grande, C.A.; Rodrigues, A.E. Fixed-Bed Adsorption of Salicylic Acid onto Polymeric Adsorbents and Activated Charcoal. Ind. Eng. Chem. Res. 2005, 44, 927–936. [Google Scholar] [CrossRef]
- Afsa, S.; Hamden, K.; Martin, P.A.L.; Ben Mansour, H. Occurrence of 40 pharmaceutically active compounds in hospital and urban wastewaters and their contribution to Mahdia coastal seawater contamination. Environ. Sci. Pollut. Res. Int. 2020, 27, 1941–1955. [Google Scholar] [CrossRef]
- Paíga, P.; Santos, L.; Ramos, S.; Jorge, S.; Silva, J.G.; Delerue-Matos, C. Presence of pharmaceuticals in the Lis river (Portugal): Sources, fate and seasonal variation. Sci. Total Environ. 2016, 573, 164–177. [Google Scholar] [CrossRef]
- Paíga, P.; Santos, L.; Delerue-Matos, C. Development of a multi-residue method for the determination of human and veterinary pharmaceuticals and some of their metabolites in aqueous environmental matrices by SPE-UHPLC-MS/MS. J. Pharm. Biomed. Anal. 2017, 135, 75–86. [Google Scholar] [CrossRef] [PubMed]
- Lolić, A.; Paíga, P.; Santos, L.; Ramos, S.; Correia, M.; Delerue-Matos, C. Assessment of non-steroidal anti-inflammatory and analgesic pharmaceuticals in seawaters of North of Portugal: Occurrence and environmental risk. Sci. Total Environ. 2015, 508, 240–250. [Google Scholar] [CrossRef] [PubMed]
- Paíga, P.; Lolić, A.; Hellebuyck, F.; Santos, L.; Correia, M.; Delerue-Matos, C. Development of a SPE-UHPLC-MS/MS methodology for the determination of non-steroidal anti-inflammatory and analgesic pharmaceuticals in seawater. J. Pharm. Biomed. Anal. 2015, 106, 61–70. [Google Scholar] [CrossRef] [PubMed]
- Luo, Y.; Guo, W.; Ngo, H.H.; Nghiem, L.D.; Hai, F.I.; Zhang, J.; Liang, S.; Wang, X.C. A review on the occurrence of micropollutants in the aquatic environment and their fate and removal during wastewater treatment. Sci. Total Environ. 2014, 473–474, 619–641. [Google Scholar] [CrossRef]
- Paíga, P.; Santos, L.; Amorim, C.G.; Araujo, A.; Montenegro, M.; Pena, A.; Delerue-Matos, C. Pilot monitoring study of ibuprofen in surface waters of north of Portugal. Environ. Sci. Pollut. Res. Int. 2013, 20, 2410–2420. [Google Scholar] [CrossRef]
- Gutiérrez-Noya, V.M.; Gómez-Oliván, L.M.; Ramírez-Montero, M.D.C.; Islas-Flores, H.; Galar-Martínez, M.; Dublán-García, O.; Romero, R. Ibuprofen at environmentally relevant concentrations alters embryonic development, induces teratogenesis and oxidative stress in Cyprinus carpio. Sci. Total Environ. 2020, 710, 136327. [Google Scholar] [CrossRef]
- Evgenidou, E.N.; Konstantinou, I.; Lambropoulou, D.A. Occurrence and removal of transformation products of PPCPs and illicit drugs in wastewaters: A review. Sci. Total Environ. 2015, 505, 905–926. [Google Scholar] [CrossRef]
- Farré, M.; Pérez, S.; Kantiani, L.; Barceló, J. Fate and toxicity of emerging pollutants, their metabolites and transformation products in the aquatic environment. TrAC Trends Anal. Chem. 2008, 27, 991–1007. [Google Scholar] [CrossRef]
- Santaeufemia, S.; Torres, E.; Mera, R.; Abalde, J. Bioremediation of oxytetracycline in seawater by living and dead biomass of the microalga Phaeodactylum tricornutum. J. Hazard. Mater. 2016, 320, 315–325. [Google Scholar] [CrossRef]
- Tarpani, R.R.Z.; Azapagic, A. A methodology for estimating concentrations of pharmaceuticals and personal care products (PPCPs) in wastewater treatment plants and in freshwaters. Sci. Total Environ. 2018, 622–623, 1417–1430. [Google Scholar] [CrossRef]
- Leng, L.; Wei, L.; Xiong, Q.; Xu, S.; Li, W.; Lv, S.; Lu, Q.; Wan, L.; Wen, Z.; Zhou, W. Use of microalgae based technology for the removal of antibiotics from wastewater: A review. Chemosphere 2020, 238, 124680. [Google Scholar] [CrossRef] [PubMed]
- Tolboom, S.N.; Carrillo-Nieves, D.; Rostro-Alanis, M.D.J.; Quiroz, R.D.L.C.; Barceló, D.; Iqbal, H.M.; Parra-Saldívar, R. Algal-based removal strategies for hazardous contaminants from the environment—A review. Sci. Total Environ. 2019, 665, 358–366. [Google Scholar] [CrossRef] [PubMed]
- Vo, H.N.P.; Ngo, H.H.; Guo, W.; Nguyen, T.M.H.; Liu, Y.; Liu, Y.; Nguyen, D.D.; Chang, S. A critical review on designs and applications of microalgae-based photobioreactors for pollutants treatment. Sci. Total Environ. 2019, 651 Pt 1, 1549–1568. [Google Scholar] [CrossRef]
- Silva, A.; Delerue-Matos, C.; Figueiredo, S.; Freitas, O. The Use of Algae and Fungi for Removal of Pharmaceuticals by Bioremediation and Biosorption Processes: A Review. Water 2019, 11, 1555. [Google Scholar] [CrossRef]
- Escapa, C.; Coimbra, R.; Paniagua, S.; Garcia, A.I.; Otero, M. Nutrients and pharmaceuticals removal from wastewater by culture and harvesting of Chlorella sorokiniana. Bioresour. Technol. 2015, 185, 276–284. [Google Scholar] [CrossRef]
- Escapa, C.; Coimbra, R.; Paniagua, S.; Garcia, A.I.; Otero, M. Paracetamol and salicylic acid removal from contaminated water by microalgae. J. Environ. Manag. 2017, 203 Pt 2, 799–806. [Google Scholar] [CrossRef]
- Escapa, C.; Torres, T.; Neuparth, T.; Coimbra, R.; Garcia, A.I.; Santos, M.; Otero, M. Zebrafish embryo bioassays for a comprehensive evaluation of microalgae efficiency in the removal of diclofenac from water. Sci. Total Environ. 2018, 640–641, 1024–1033. [Google Scholar] [CrossRef]
- Xiong, J.Q.; Kurade, M.B.; Jeon, B.H. Can Microalgae Remove Pharmaceutical Contaminants from Water? Trends Biotechnol. 2018, 36, 30–44. [Google Scholar] [CrossRef]
- Coimbra, R.; Escapa, C.; Vázquez, N.C.; Noriega-Hevia, G.; Otero, M. Utilization of Non-Living Microalgae Biomass from Two Different Strains for the Adsorptive Removal of Diclofenac from Water. Water 2018, 10, 1401. [Google Scholar] [CrossRef]
- Santaeufemia, S.; Torres, E.; Abalde, J. Biosorption of ibuprofen from aqueous solution using living and dead biomass of the microalga Phaeodactylum tricornutum. J. Appl. Phycol. 2017, 30, 471–482. [Google Scholar] [CrossRef]
- Moreira, V.R.; Lebron, Y.; Freire, S.; Santos, L.; Palladino, F.; Jacob, R. Biosorption of copper ions from aqueous solution using Chlorella pyrenoidosa: Optimization, equilibrium and kinetics studies. Microchem. J. 2019, 145, 119–129. [Google Scholar] [CrossRef]
- Sun, X.; Huang, H.; Zhu, Y.; Du, Y.; Yao, L.; Jiang, X.; Gao, P.; Yingying, D. Adsorption of Pb2+ and Cd2+ onto Spirulina platensis harvested by polyacrylamide in single and binary solution systems. Colloids Surf. A: Physicochem. Eng. Asp. 2019, 583, 123926. [Google Scholar] [CrossRef]
- Da Fontoura, J.T.; Rolim, G.S.; Mella, B.; Farenzena, M.; Gutterres, M. Defatted microalgal biomass as biosorbent for the removal of Acid Blue 161 dye from tannery effluent. J. Environ. Chem. Eng. 2017, 5, 5076–5084. [Google Scholar] [CrossRef]
- Da Rosa, A.L.D.; Carissimi, E.; Dotto, G.L.; Sander, H.; Feris, L. Biosorption of rhodamine B dye from dyeing stones effluents using the green microalgae Chlorella pyrenoidosa. J. Clean. Prod. 2018, 198, 1302–1310. [Google Scholar] [CrossRef]
- Sutherland, D.L.; Ralph, P.J. Microalgal bioremediation of emerging contaminants—Opportunities and challenges. Water Res. 2019, 164, 114921. [Google Scholar] [CrossRef]
- Hom-Diaz, A.; Llorca, M.; Rodriguez-Mozaz, S.; Vicent, T.; Barceló, J.; Blánquez, P. Microalgae cultivation on wastewater digestate: Beta-estradiol and 17alpha-ethynylestradiol degradation and transformation products identification. J. Environ. Manag. 2015, 155, 106–113. [Google Scholar] [CrossRef]
- Escapa, C.; Coimbra, R.N.; Neuparth, T.; Torres, T.; Santos, M.; Otero, M. Acetaminophen Removal from Water by Microalgae and Effluent Toxicity Assessment by the Zebrafish Embryo Bioassay. Water 2019, 11, 1929. [Google Scholar] [CrossRef]
- Mohammed, K.; Mota, C. Microalgae and sustainable wastewater treatment: A Review. Bayero J. Pure Appl. Sci. 2019, 11, 408–419. [Google Scholar] [CrossRef]
- Escapa, C.; Coimbra, R.; Nuevo, C.; Vega, S.; Paniagua, S.; Garcia, A.I.; Prieto, L.F.C.; Otero, M. Valorization of Microalgae Biomass by Its Use for the Removal of Paracetamol from Contaminated Water. Water 2017, 9, 312. [Google Scholar] [CrossRef]
- Coimbra, R.N.; Escapa, C.; Otero, M. Comparative Thermogravimetric Assessment on the Combustion of Coal, Microalgae Biomass and Their Blend. Energies 2019, 12, 2962. [Google Scholar] [CrossRef]
- Angulo-Mercado, E.R.; Bula, L.; Mercado, I.; Montaño, A.; Cubillán, N. Bioremediation of Cephalexin with non-living Chlorella sp., biomass after lipid extraction. Bioresour. Technol. 2018, 257, 17–22. [Google Scholar] [CrossRef]
- Escapa, C.; Coimbra, R.; Paniagua, S.; Garcia, A.I.; Otero, M. Comparative assessment of diclofenac removal from water by different microalgae strains. Algal Res. 2016, 18, 127–134. [Google Scholar] [CrossRef]
- PubChem®. Available online: https://pubchem.ncbi.nlm.nih.gov/compound/338 (accessed on 27 December 2019).
- PubChem®. Available online: https://pubchem.ncbi.nlm.nih.gov/compound/3672 (accessed on 27 December 2019).
- Radecki, A.; Wesołowski, M. Thermogravimetric studies of binary and ternary systems containing salicylic acid, sodium salicylate, sodium carbonate and sodium hydrogen carbonate. Part II J. Therm. Anal. 1976, 10, 233–245. [Google Scholar] [CrossRef]
- Bertol, C.D.; Cruz, A.P.; Stulzer, H.K.; Murakami, F.S.; Silva, M.A.S. Thermal decomposition kinetics and compatibility studies of primaquine under isothermal and non-isothermal conditions. J. Therm. Anal. Calorim. 2009, 102, 187–192. [Google Scholar] [CrossRef]
- Wastewater Connect. Available online: http://wastewaterconnect.co.za/wastewater-info-hub-entry?id=12 (accessed on 6 March 2020).
- Metcalf & Eddy, Inc.; Tchobanoglous, G.; Burton, F.L.; Stensel, H.D. Wastewater Engineering: Treatment and Reuse, 4th ed.; McGraw-Hill Education: New York, NY, USA, 2003. [Google Scholar]
- Lagergren, S.K. About theory of so-called adsorption of soluble substances. K. Sven. Vetensk. Handlingar. 1898, 24, 1–39. [Google Scholar]
- Ho, Y.S.; McKay, G. Pseudo-second order model for sorption processes. Process. Biochem. 1999, 34, 451–465. [Google Scholar] [CrossRef]
- Freundlich, H.M.F. Über die Adsorption in Lösungen. Z. Elktrochem. Angew. Phys. Chem. 1906, 57, 385–470. [Google Scholar] [CrossRef]
- Langmuir, I. The Adsorption of Gases on Plane Surfaces of Glass, Mica and Platinum. J. Am. Chem. Soc. 1918, 40, 1361–1403. [Google Scholar] [CrossRef]
- Lima, E.C.; Hosseini-Bandegharaei, A.; Moreno-Piraján, J.C.; Anastopoulos, I. A critical review of the estimation of the thermodynamic parameters on adsorption equilibria. Wrong use of equilibrium constant in the Van’t Hoof equation for calculation of thermodynamic parameters of adsorption. J. Mol. Liq. 2019, 273, 425–434. [Google Scholar] [CrossRef]
- Rivera-Utrilla, J.; Bautista-Toledo, I.; A Ferro-García, M.; Moreno-Castilla, C.; Rivera-Utrilla, J. Activated carbon surface modifications by adsorption of bacteria and their effect on aqueous lead adsorption. J. Chem. Technol. Biotechnol. 2001, 76, 1209–1215. [Google Scholar] [CrossRef]
- Silva, A.; Stawiński, W.; Romacho, J.; Santos, L.H.M.L.M.; Figueiredo, S.A.; Freitas, O.M.; Delerue-Matos, C. Adsorption of Fluoxetine and Venlafaxine onto the Marine Seaweed Bifurcaria bifurcata. Environ. Eng. Sci. 2019, 36, 573–582. [Google Scholar] [CrossRef]
- Valenzuela, C.; García, A.B. Un método termogravimétrico rápido para el análisis inmediato de carbones. Boletín Geológico y Minero 1985, XCVI-I, 58–61. [Google Scholar]
- Ferreira, C.I.; Calisto, V.; Cuerda-Correa, E.; Otero, M.; Nadais, H.; Esteves, V.I. Comparative valorisation of agricultural and industrial biowastes by combustion and pyrolysis. Bioresour. Technol. 2016, 218, 918–925. [Google Scholar] [CrossRef] [PubMed]
- Freitas, O.; Moura, L.M.; Figueiredo, S.; De Amorim, M.T.P. Adsorption equilibrium studies of a simulated textile effluent containing a wool reactive dye on gallinaceous feathers. Coloration Technol. 2016, 132, 421–430. [Google Scholar] [CrossRef]
- Jagadamma, S.; Mayes, M.A.; Phillips, J.R. Selective sorption of dissolved organic carbon compounds by temperate soils. PLoS ONE. 2012, 7, e50434. [Google Scholar] [CrossRef]
- Bello, O.S.; Alao, O.C.; Alagbada, T.C.; Olatunde, A.M. Biosorption of ibuprofen using functionalized bean husks. Sustain. Chem. Pharm. 2019, 13, 100151. [Google Scholar] [CrossRef]
- Ali, M.E.; El-Aty, A.M.A.; Badawy, M.; Ali, R. Removal of pharmaceutical pollutants from synthetic wastewater using chemically modified biomass of green alga Scenedesmus obliquus. Ecotoxicol. Environ. Saf. 2018, 151, 144–152. [Google Scholar] [CrossRef] [PubMed]
- Mucha, M.; Mucha, M. Ibuprofen and acetylsalicylic acid biosorption on the leaves of the knotweed Fallopia x bohemica. New J. Chem. 2017, 41, 7953–7959. [Google Scholar] [CrossRef]
- Cardoso, N.F.; Lima, E.C.; Royer, B.; Bach, M.V.; Dotto, G.L.; Pinto, L.A.; Calvete, T. Comparison of Spirulina platensis microalgae and commercial activated carbon as adsorbents for the removal of Reactive Red 120 dye from aqueous effluents. J. Hazard. Mater. 2012, 241, 146–153. [Google Scholar] [CrossRef]
- Ayranci, E.; Hoda, N.; Bayram, E. Adsorption of benzoic acid onto high specific area activated carbon cloth. J. Colloid Interface Sci. 2005, 284, 83–88. [Google Scholar] [CrossRef]
- A Davis, T.; Volesky, B.; Mucci, A. A review of the biochemistry of heavy metal biosorption by brown algae. Water Res. 2003, 37, 4311–4330. [Google Scholar] [CrossRef]
- Özer, A.; Akkaya, G.; Turabik, M. Biosorption of Acid Blue 290 (AB 290) and Acid Blue 324 (AB 324) dyes on Spirogyra rhizopus. J. Hazard. Mater. 2006, 135, 355–364. [Google Scholar] [CrossRef] [PubMed]
- Bernal, V.; Giraldo, L.; Moreno-Piraján, J.C. Thermodynamic study of the interactions of salicylic acid and granular activated carbon in solution at different pHs. Adsorpt. Sci. Technol. 2017, 36, 833–850. [Google Scholar] [CrossRef]
- Singh, R.; Hankins, N. Emerging Membrane Technology for Sustainable Water Treatment, 1st ed.; Elsevier Science: Oxford, UK, 2016. [Google Scholar]
- Oh, S.; Shin, W.S.; Kim, H.T. Effects of pH, dissolved organic matter, and salinity on ibuprofen sorption on sediment. Environ. Sci. Pollut. Res. Int. 2016, 23, 22882–22889. [Google Scholar] [CrossRef] [PubMed]
- Sigee, D.; Dean, A.; Levado, E.; Tobin, M.J. Fourier-transform infrared spectroscopy of Pediastrum duplex: Characterization of a micro-population isolated from a eutrophic lake. Eur. J. Phycol. 2002, 37, 19–26. [Google Scholar] [CrossRef]
- Ponnuswamy, I.; Madhavan, S.; Shabudeen, S. Isolation and Characterization of Green Microalgae for Carbon Sequestration, Waste Water Treatment and Bio-fuel Production. Int. J. Bio-Sci. Bio-Technol. 2013, 5, 17–26. [Google Scholar]
- Grace, C.E.E.; Lakshmi, P.K.; Meenakshi, S.; Vaidyanathan, S.; Srisudha, S.; Mary, M.B. Biomolecular transitions and lipid accumulation in green microalgae monitored by FTIR and Raman analysis. Spectrochim Acta A Mol. Biomol. Spectrosc. 2020, 224, 117382. [Google Scholar] [CrossRef]
- Dilek, D. Fourier transform infrared (FTIR) spectroscopy for identification of Chlorella vulgaris Beijerinck 1890 and Scenedesmus obliquus (Turpin) Kützing 1833. Afr. J. Biotechnol. 2012, 11. [Google Scholar] [CrossRef]
- Giordano, M.; Kansiz, M.; Heraud, P.; Beardall, J.; Wood, B.; McNaughton, N. Fourier Transform Infrared Spectroscopy as a Novel Tool to Investigate Changes in Intracellular Macromolecular Pools in the Marine Microalga Chaetoceros Muellerii (Bacillariophyceae). J. Phycol. 2002, 37, 271–279. [Google Scholar] [CrossRef]
- Wen, Y.; Chen, H.; Yuan, Y.; Xu, N.; Kang, X. Enantioselective ecotoxicity of the herbicide dichlorprop and complexes formed with chitosan in two fresh water green algae. J. Environ. Monit. 2011, 13, 879–885. [Google Scholar] [CrossRef]
- Stehfest, K.; Toepel, J.; Wilhelm, C. The application of micro-FTIR spectroscopy to analyze nutrient stress-related changes in biomass composition of phytoplankton algae. Plant Physiol. Biochem. 2005, 43, 717–726. [Google Scholar] [CrossRef] [PubMed]
- Ferreira, A.F.; Dias, A.P.S.; Silva, C.; Costa, M. Evaluation of thermochemical properties of raw and extracted microalgae. Energy 2015, 92, 365–372. [Google Scholar] [CrossRef]
- Kousha, M.; Farhadian, O.; Dorafshan, S.; Soofiani, N.M.; Bhatnagar, A. Optimization of malachite green biosorption by green microalgae—Scenedesmus quadricauda and Chlorella vulgaris: Application of response surface methodology. J. Taiwan Inst. Chem. Eng. 2013, 44, 291–294. [Google Scholar] [CrossRef]
- Guan, X.-H.; Chen, G.; Shang, C. ATR-FTIR and XPS study on the structure of complexes formed upon the adsorption of simple organic acids on aluminum hydroxide. J. Environ. Sci. 2007, 19, 438–443. [Google Scholar] [CrossRef]
- Wray, P.S.; Clarke, G.S.; Kazarian, S.G. Application of FTIR spectroscopic imaging to study the effects of modifying the pH microenvironment on the dissolution of ibuprofen from HPMC matrices. J. Pharm. Sci. 2011, 100, 4745–4755. [Google Scholar] [CrossRef]
- Acharya, M.; Mishra, S.; Sahoo, R.N.; Mallick, S. Infrared Spectroscopy for Analysis of Co-processed Ibuprofen and Magnesium Trisilicate at Milling and Freeze Drying. Acta Chim. Slov. 2017, 64, 45–54. [Google Scholar] [CrossRef]
- Pane, L.; Franceschi, E.; De Nuccio, L.; Carli, A. Applications of Thermal Analysis on the Marine Phytoplankton, Tetraselmis Suecica. J. Therm. Anal. Calorim. 2001, 66, 145–154. [Google Scholar] [CrossRef]
- Sudhakar, K.; Premalatha, M. Characterization of Micro Algal Biomass Through FTIR/TGA/CHN Analysis: Application to Scenedesmus sp. Energy Sources Part A: Recovery Util. Environ. Eff. 2015, 37, 2330–2337. [Google Scholar] [CrossRef]
- Haines, P.J.; Heal, G.R.; Laye, P.G.; Price, D.M.; Warrington, S.B.; Wilson, R.J. Principles of Thermal Analysis and Calorimetry, 2nd ed.; The Royal Society of Chemistry: Cambridge, UK, 2002. [Google Scholar]
- Andrade, L.; Batista, F.R.X.; Lira, T.; Barrozo, M.A.S.; Vieira, L. Characterization and product formation during the catalytic and non-catalytic pyrolysis of the green microalgae. Chlamydomonas reinhardtii. Renew. Energy 2018, 119, 731–740. [Google Scholar] [CrossRef]
- Basu, P. Biomass Gasification, Pyrolysis and Torrefaction: Practical Design and Theory, 2nd ed.; Elsevier Inc.: London, UK, 2013; p. 548. [Google Scholar]
- An, S.S.; Friedl, T.; Hegewald, E. Phylogenetic Relationships of Scenedesmus and Scenedesmus-like Coccoid Green Algae as Inferred from ITS-2 rDNA Sequence Comparisons. Plant Biol. 1999, 1, 418–428. [Google Scholar] [CrossRef]
- Gojkovic, Z.; Lindberg, R.H.; Tysklind, M.; Funk, C. Northern green algae have the capacity to remove active pharmaceutical ingredients. Ecotoxicol. Environ. Saf. 2019, 170, 644–656. [Google Scholar] [CrossRef] [PubMed]
- Choi, H.-J.; Lee, S.-M. Heavy metal removal from acid mine drainage by calcined eggshell and microalgae hybrid system. Environ. Sci. Pollut. Res. Int. 2015, 22, 13404–13411. [Google Scholar] [CrossRef] [PubMed]
- Saeed, A.; Iqbal, M. Immobilization of blue green microalgae on loofa sponge to biosorb cadmium in repeated shake flask batch and continuous flow fixed bed column reactor system. World J. Microbiol. Biotechnol. 2005, 22, 775–782. [Google Scholar] [CrossRef]
- Lam, M.; Lee, K.T.; Mohamed, A.R. Current status and challenges on microalgae-based carbon capture. Int. J. Greenh. Gas Control 2012, 10, 456–469. [Google Scholar] [CrossRef]
- Shahid, A.; Malik, S.; Zhu, H.; Xu, J.; Nawaz, M.Z.; Nawaz, S.; Alam, A.; Mehmood, M.A. Cultivating microalgae in wastewater for biomass production, pollutant removal, and atmospheric carbon mitigation; a review. Sci. Total Environ. 2020, 704, 135303. [Google Scholar] [CrossRef] [PubMed]







| Pharmaceutical (Formula) | Structure | Mw (g mol−1) | Sw (mg L−1) | pKa | Log Kow | PSA (Å2) | HBAC | TS (°C) |
|---|---|---|---|---|---|---|---|---|
| Salicylic acid (C7H6O3) | ![]() | 138.12 | 2.24 | (1) 3.0 (2) 13.6 | 2.2 | 57.5 | 3 | < 120 [47] |
| Ibuprofen Sodium (C3H17NaO2) | ![]() | 228.26 | 100.0 | 4.9 | 3.8 | 40.1 | 2 | < 75 [48] |
| MW—molecular weight; Sw—water solubility (25 °C); pKa—acid dissociation constant; (1) pKa1; (2) pKa2; Kow—octanol-water partition coefficient; PSA—polar surface area; HBAC—hydrogen bound acceptor count; TS—thermal stability. | ||||||||
| Scenedesmus Obliquus | Activated Carbon | ||||
|---|---|---|---|---|---|
| Salicylic Acid | Ibuprofen | Salicylic Acid | Ibuprofen | ||
| Kinetic equations | |||||
| Pseudo-first order | k1 (min−1) | 0.062 ± 0.006 | 0.11 ± 0.02 | 0.22 ± 0.03 | 0.095 ± 0.007 |
| qe (mg g−1) | 4 ± 1 | 10.32 ± 0.29 | 198 ± 4 | 120 ± 2 | |
| r2 | 0.988 | 0.960 | 0.984 | 0.991 | |
| Sy.x | 2.08 | 0.738 | 8.94 | 8.94 | |
| Pseudo-second order | k2 (g mg−1 min−1) | 0.0016 ± 0.0001 | 0.016 ± 0.002 | 0.0020 ± 0.0002 | 0.0019 ± 0.0002 |
| qe (mg g−1) | 53.6 ± 0.6 | 10.9 ± 0.2 | 211 ± 3 | 137 ± 3 | |
| r2 | 0.998 | 0.993 | 0.996 | 0.995 | |
| Sy.x | 0.944 | 0.308 | 4.62 | 2.94 | |
| Equilibrium isotherms | |||||
| Freundlich | KF (mg g−1 (mg L−1) −1/n) | 10 ± 2 | 3.4 ± 0.3 | 41 ± 8 | 35 ± 7 |
| n | 2.51 ± 0.07 | 3.7 ± 0.3 | 2.6 ± 0.4 | 3.3 ± 0.6 | |
| r2 | 0.945 | 0.992 | 0.931 | 0.923 | |
| Sy.x | 4.57 | 0.37 | 20.2 | 12.4 | |
| Langmuir | Qmax (mg g−1) | 63 ± 2 | 11.9 ± 0.3 | 250 ± 10 | 147 ± 6 |
| KL (L mg−1) | 0.070 ± 0.005 | 0.11 ± 0.01 | 0.066 ± 0.007 | 0.09 ± 0.01 | |
| r2 | 0.996 | 0.994 | 0.990 | 0.988 | |
| Sy.x | 1.23 | 0.32 | 7.50 | 4.87 | |
| Salicylic Acid | Ibuprofen | |||||
|---|---|---|---|---|---|---|
| Thermodynamic Parameter | Temperature (°C) | |||||
| 15 | 25 | 35 | 15 | 25 | 35 | |
| ∆G° (kJ mol−1) | −22.83 | −22.74 | −22.18 | −24.54 | −25.11 | −25.33 |
| ∆H° (kJ mol−1) | −32.13 | −13.02 | ||||
| ∆S° (J mol−1 K−1) | −32.03 | 40.18 | ||||
| Step of Decomposition | Parameters 1 | S. obliquus | S. obliquus after Biosorption of | |
|---|---|---|---|---|
| Salicylic Acid | Ibuprofen | |||
| First | Ti (°C) | 26.6 | 28.2 | 32.5 |
| TTG,max (°C) | 64.6 | 77.4 | 83.3 | |
| Tf (°C) | 65.2 | 130.2 | 105.9 | |
| DTGmax (% mg−1) | −1.2 | −1.1 | −1.0 | |
| Second | Ti (°C) | 256.6 | 246.7 | 253.3 |
| TTG,max (°C) | 307.5 | 274.1 | 279.7 | |
| Tf (°C) | 353.0 | 300.4 | 307.4 | |
| DTGmax (% mg−1) | −7.7 | −8.3 | −8.4 | |
| Sample | Proximate Analysis (wt. %) | |||
|---|---|---|---|---|
| Moisture Content | Volatile Matter | Fixed Carbon | Ash Content | |
| S. obliquus | 6.2 | 77.9 | 13.2 | 2.7 |
| S. obliquusafter salicylic acid biosorption | 6.7 | 68.9 | 22.4 | 2.0 |
| S. obliquusafter ibuprofen biosorption | 7.2 | 70.8 | 21.7 | 0.3 |
© 2020 by the authors. Licensee MDPI, Basel, Switzerland. This article is an open access article distributed under the terms and conditions of the Creative Commons Attribution (CC BY) license (http://creativecommons.org/licenses/by/4.0/).
Share and Cite
Silva, A.; Coimbra, R.N.; Escapa, C.; Figueiredo, S.A.; Freitas, O.M.; Otero, M. Green Microalgae Scenedesmus Obliquus Utilization for the Adsorptive Removal of Nonsteroidal Anti-Inflammatory Drugs (NSAIDs) from Water Samples. Int. J. Environ. Res. Public Health 2020, 17, 3707. https://doi.org/10.3390/ijerph17103707
Silva A, Coimbra RN, Escapa C, Figueiredo SA, Freitas OM, Otero M. Green Microalgae Scenedesmus Obliquus Utilization for the Adsorptive Removal of Nonsteroidal Anti-Inflammatory Drugs (NSAIDs) from Water Samples. International Journal of Environmental Research and Public Health. 2020; 17(10):3707. https://doi.org/10.3390/ijerph17103707
Chicago/Turabian StyleSilva, Andreia, Ricardo N. Coimbra, Carla Escapa, Sónia A. Figueiredo, Olga M. Freitas, and Marta Otero. 2020. "Green Microalgae Scenedesmus Obliquus Utilization for the Adsorptive Removal of Nonsteroidal Anti-Inflammatory Drugs (NSAIDs) from Water Samples" International Journal of Environmental Research and Public Health 17, no. 10: 3707. https://doi.org/10.3390/ijerph17103707
APA StyleSilva, A., Coimbra, R. N., Escapa, C., Figueiredo, S. A., Freitas, O. M., & Otero, M. (2020). Green Microalgae Scenedesmus Obliquus Utilization for the Adsorptive Removal of Nonsteroidal Anti-Inflammatory Drugs (NSAIDs) from Water Samples. International Journal of Environmental Research and Public Health, 17(10), 3707. https://doi.org/10.3390/ijerph17103707



