Teaching Styles in Physical Education: A New Approach to Predicting Resilience and Bullying
Abstract
1. Introduction
- (1)
- PE teacher’s interpersonal AS style will be positively related to and will positively predict resilience, considering the characteristics of an interpersonal style based on AS [45,46] and external sources that facilitate the development of resilience, such as social support and supportive environments, positive peer relationships, and a sense of belonging to a group [21,23]. In turn, PE teacher’s interpersonal AS style will negatively predict bullying behaviors, as was the case in previous studies [44,49,50] in which this interpersonal style negatively predicted antisocial behavior [51].
- (2)
- The CS will be positively related to and will positively predict bullying behaviors as in a study with Estonian students between 12 and 16 years [58].
- (3)
2. Materials and Methods
2.1. Sample
2.2. Measuring Instruments
2.2.1. Measurement of the Physical Education Teacher’s Autonomy Support and Controlling Style
2.2.2. Resilience Measurement
2.2.3. Measurement of Bullying
2.3. Procedure
2.4. Data Analysis
2.4.1. Validation and Reliability of the Measuring Instruments
2.4.2. Relationship of Bullying Behaviors with Resilience and Teacher’s Autonomy-Supportive or Controlling Style
3. Results
3.1. Confirmatory Factor Analysis (CFA)
3.1.1. Physical Education Teacher’s Autonomy-Supportive and Controlling Style Scale
3.1.2. Resilience Scale
3.2. Descriptive Statistics, Reliability Analysis, and Correlation Analysis
3.3. Prediction of Bullying (Bullying and Victimization) Based on Personal and Situational Factors
3.3.1. Regression Models
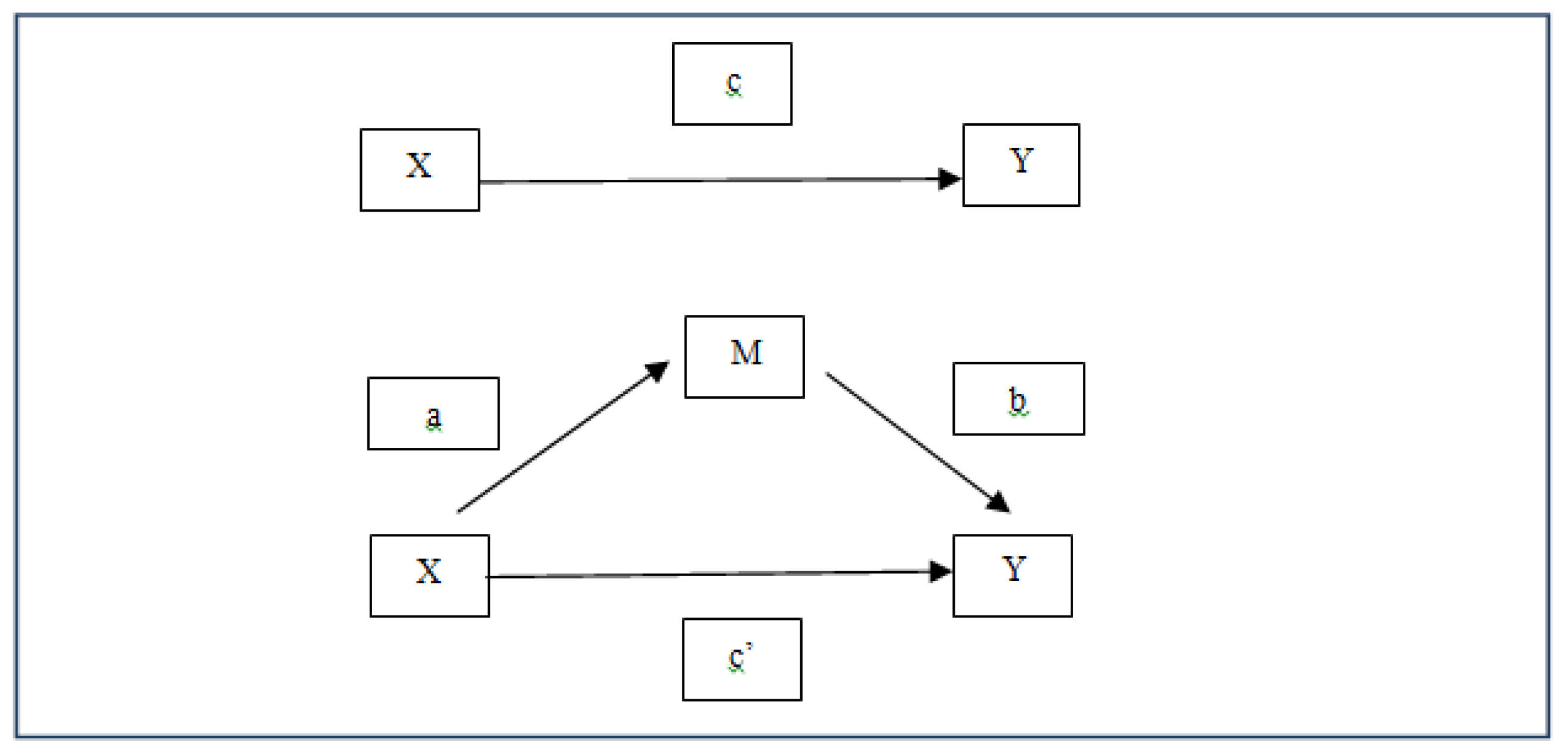
3.3.2. Mediation Model: General Autonomy Support (X)–Resilience (M)–Victimization (Y)
4. Discussion
5. Conclusions
Limitations and Future Prospects
Author Contributions
Funding
Conflicts of Interest
References
- Gilar-Corbi, R.; Pozo-Rico, T.; Castejón-Costa, L. Desarrollando la inteligencia emocional en educación superior: Evaluación de la efectividad de un programa en tres países [Developing emotional intelligence in higher education: Evaluating the effectiveness of a program in three countries]. Educación XX1 2019, 22, 161–187. [Google Scholar] [CrossRef]
- Ruiz, R.; Riuró, M.; Tesouro, M. Estudio del bullying en el ciclo superior de primaria [The study of bullying in the higher cycle of primary school]. Educación XX1 2015, 18, 345–368. [Google Scholar] [CrossRef]
- Gaffney, H.; Ttofi, M.M.; Farrington, D.P. Evaluating the effectiveness of school-bullying prevention programs: An updated meta-analytical review. Aggress. Violent Behav. 2019, 45, 111–133. [Google Scholar] [CrossRef]
- Álvarez-García, D.; Dobarro, A.; Álvarez, L.; Núñez, J.C.; Rodríguez, C. La violencia escolar en los centros de educación secundaria de Asturias desde la perspectiva del alumnado [School violence in the secondary schools of Asturias from the perspective of the students]. Educación XX1 2014, 17, 337–360. [Google Scholar] [CrossRef]
- González, P.M.; Gutiérrez, H.; Checa, M. Percepción del maltrato entre iguales en educación infantil y primaria [Perception of peer abuse in early childhood and primary education]. Rev. Educ. 2017, 377, 136–160. [Google Scholar] [CrossRef]
- Zych, I.; Ortega-Ruiz, R.; Del Rey, R. Systematic review of theoretical studies on bullying and cyberbullying: Facts, knowledge, prevention and intervention. Aggress. Violent Behav. 2015, 23, 1–21. [Google Scholar] [CrossRef]
- Modecki, K.L.; Minchin, J.; Harbaugh, A.G.; Guerra, N.G.; Runions, K.C. Bullying prevalence across contexts: A meta-analysis measuring cyber and traditional bullying. J. Adolesc. Health 2014, 55, 602–611. [Google Scholar] [CrossRef] [PubMed]
- Hernández De Frutos, T.; Del Olmo Vicen, N. Factors of risk and protection/resilience in adolescent school bullying. Longitudinal analysis. Rev. Int. Sociol. 2014, 72, 583–608. [Google Scholar] [CrossRef]
- Nocentini, A.; Palladino, B.E.; Menesini, E. For whom is anti-bullying intervention most effective? The role of temperament. Int. J. Environ. Res. Public Health 2019, 16, 388. [Google Scholar] [CrossRef]
- Zych, I.; Farrington, D.P.; Llorent, V.J.; Ttofi, M.M. Protecting Children Against Bullying and its Consequences; Springer: Cham, Switzerland, 2017. [Google Scholar]
- Real Decreto (Royal Decree) 1513/2006, Which Establishes the Minimal Learning of Primary Education; Reference: BOE-A-2006-21409; Ministerio de Educación y Ciencia: Madrid, Spain, 7 December 2006.
- Gladden, R.M.; Vivolo-Kantor, A.M.; Hamburger, M.E.; Lumpkin, C.D. Bullying Surveillance Among Youths: Uniform Definitions for Public Health and Recommended Data Elements; Version 1.0; National Center for Injury Prevention and Control, Centers for Disease Control and Prevention Department of Education: Atlanta, GA, USA, 2014. [Google Scholar]
- Olweus, D.; Limber, S.P. Bullying in school: Evaluation and dissemination of the Olweus Bullying Prevention Program. Am. J. Orthopsychiatr. 2010, 80, 124–134. [Google Scholar] [CrossRef]
- Gairín Sallán, J.; Armengol Asparó, C.; Silva García, B.P. El «bullying» escolar. Consideraciones organizativas y estrategias para la intervención [School bullying. Organizational considerations and strategies for intervention]. Educación XX1 2013, 16, 17–38. [Google Scholar] [CrossRef][Green Version]
- Gini, G.; Pozzoli, T.; Hymel, S. Moral disengagement among children and youth: A meta-analytic review of links to aggressive behavior. Aggress. Behav. 2014, 40, 56–68. [Google Scholar] [CrossRef] [PubMed]
- Hinduja, S.; Patchin, J.W. Cultivating youth resilience to prevent bullying and cyberbullying victimization. Child. Abus. Neglect. 2017, 73, 51–62. [Google Scholar] [CrossRef]
- Henderson, N.; Milstein, M. Resiliencia en Las Escuelas; [Resilience in Schools]; Editorial Paidós: Buenos Aires, Argentina, 2003. [Google Scholar]
- Vanistendael, S.; Lecomte, J. La Felicidad es Posible. Despertar en Niños Maltratados La Confianza en sí Mismos: Construir La Resiliencia [Happiness is Possible. Awakening Self—Confidence in Abused Children: Building Resilience]; Gedisa: Barcelona, Spain, 2002. [Google Scholar]
- Fergus, S.; Zimmerman, M.A. Adolescent resilience: A framework for understanding healthy development in the face of risk. Annu. Rev. Public Health 2005, 26, 399–419. [Google Scholar] [CrossRef] [PubMed]
- Herrman, H.; Stewart, D.E.; Diaz-Granados, N.; Berger, E.L.; Jackson, B.; Yuen, T. What is resilience? Can. J. Psychiatry 2011, 56, 258–265. [Google Scholar] [CrossRef] [PubMed]
- Haskett, M.E.; Nears, K.; Ward, C.A.; McPherson, A.V. Diversity in adjustment of maltreated children. Factors associated with resilient functioning. Clin. Psychol. Rev. 2006, 26, 796–812. [Google Scholar] [CrossRef] [PubMed]
- Raskauskas, J.; Huynh, A. The process of coping with cyberbullying: A systematic review. Aggress. Violent Behav. 2015, 23, 118–125. [Google Scholar] [CrossRef]
- Bozak, S. College Students’ Sense of Belonging and Social Support: Potential Factors in Resilience; University of Hartford: West Hartford, CT, USA, 2013. [Google Scholar]
- Montero-Carretero, C.; Cervelló, E. Estudio de un modelo predictivo del clima escolar sobre el desarrollo del carácter y las conductas de “bullying.” [Study of a predictive model of school climate on character development and bullying behaviors]. Estud. Sobre Educ. 2019, 37, 135–157. [Google Scholar] [CrossRef]
- Navarro, R.; Yubero, S.; Larrañaga, E. Cyberbullying victimization and fatalism in adolescence: Resilience as a moderator. Child. Youth Serv. Rev. 2018, 84, 215–221. [Google Scholar] [CrossRef]
- Kabadayi, F.; Sari, V. What is the role of resilience in predicting cyber bullying perpetrators and their victims? J. Psychol. Couns. Sch. 2018, 1–16. [Google Scholar] [CrossRef]
- Moore, B.; Woodcock, S. Resilience, bullying, and mental health: Factors associated with improved outcomes. Psychol. Sch. 2017, 689–702. [Google Scholar] [CrossRef]
- Cohen, E.; Eshel, Y.; Kimhi, S.; Kurman, J. Individual resilience: A major protective factor in peer bullying and victimization of elementary school children in Israel. J. Interpers. Violence 2019, 1–20. [Google Scholar] [CrossRef] [PubMed]
- Tobias, S.; Chapanar, T. Predicting resilience after cyberbully victimization among high school students. J. Psychosoc. Educ. Res. 2016, 24, 7–25. [Google Scholar]
- Appleton, J.J.; Christenson, S.L.; Furlong, M.J. Student engagement with school: Critical conceptual and methodological issues of the construct. Psychol. Sch. 2008, 45, 369–386. [Google Scholar] [CrossRef]
- Thapa, A.; Cohen, J.; Guffey, S.; Higgins-D’Alessandro, A. A review of school climate research. Rev. Educ. Res. 2013, 83, 357–385. [Google Scholar] [CrossRef]
- Bejerot, S.; Edgar, J.; Humble, M.B. Poor performance in physical education—A risk factor for bully victimization. A case—Control study. Acta Pediátrica 2011, 100, 413–419. [Google Scholar] [CrossRef]
- Van de Berghe, L.; Vansteenkiste, M.; Cardon, G.; Kirk, D.; Haerens, L. Research on self-determination in physical education: Key findings and proposals for future research. Phys. Educ. Sport Pedagog. 2014, 1, 97–121. [Google Scholar] [CrossRef]
- Tinning, R. Pedagogy, sport pedagogy, and the field of kinesiology. Quest 2008, 60, 405–424. [Google Scholar] [CrossRef]
- Mosston, M.; Ashworth, S. Teaching Physical Education, 5th ed.; Benjamin Cummings: San Francisco, CA, USA, 2002. [Google Scholar]
- Chatoupis, C. Contributions of the spectrum of teaching styles to research on teaching. Stud. Phys. Cult. Tour. 2009, 16, 193–205. [Google Scholar]
- Mouratidou, K.; Goutza, S.; Chatzopoulos, D. Physical Education and moral development: An intervention programme to promote moral reasoning through Physical Education in high school students. Eur. Phys. Educ. Rev. 2007, 13, 41–56. [Google Scholar] [CrossRef]
- Garn, A.; Byra, M. Psychomotor, cognitive, and social development Spectrum style. Teach. Elem. Phys. Educ. 2002, 13, 8–13. [Google Scholar]
- Cleland, F.E. The Spectrum connection. Assessment, social responsibility, and critical thinking. Teach. Elem. Phys. Educ. 2002, 14, 10–13. [Google Scholar]
- Zapatero, J.A. Benefits of teaching styles and student-centered methodologies in Physical Education. e-balonmano.com Rev. Cienc. Deporte 2017, 13, 237–250. [Google Scholar]
- Deci, E.L.; Ryan, R.M. Intrinsic Motivation and Self-Determination in Human Behavior; Plenum: New York, NY, USA, 1985. [Google Scholar] [CrossRef]
- Ryan, R.M.; Deci, E.L. Self-determination theory and the facilitation of intrinsic motivation, social development and well-being. Am. Psychol. 2000, 55, 68–78. [Google Scholar] [CrossRef]
- Reeve, J. Why teachers adopt a controlling motivating style toward students and how they can become more autonomy supportive. Educ. Psychol. 2009, 44, 159–178. [Google Scholar] [CrossRef]
- Roth, G.; Kanat-Maymon, Y.; Bibi, U. Prevention of school bullying: The important role of autonomy-supportive teaching and internalization of pro-social values. Br. J. Educ. Psychol. 2011, 81, 654–666. [Google Scholar] [CrossRef]
- Guay, F.; Vallerand, R.J. Social context, student’s motivation and academic achievement: Toward a process model. Soc. Psychol. Educ. 1996, 1, 211–233. [Google Scholar] [CrossRef]
- Tilga, H.; Hein, V.; Koka, A. Measuring the perception of the teachers’ autonomy-supportive behavior in physical education: Development and initial validation of a multi-dimensional instrument. Meas. Phys. Educ. Exerc. Sci. 2017, 21, 244–255. [Google Scholar] [CrossRef]
- Koka, A. The relative roles of teachers and peers on students’ motivation in physical education and its relationship to self-esteem and health-related quality of life. Int. J. Sport Psychol. 2014, 45, 187–213. [Google Scholar] [CrossRef]
- Weinstein, N.; Ryan, R.M. When helping helps: Autonomous motivation for prosocial behavior and its influence on well-being for the helper and recipient. J. Personal. Soc. Psychol. 2010, 98, 222–244. [Google Scholar] [CrossRef]
- Huéscar, E.; Moreno-Murcia, J.A.; Ruíz, L.; León, J. Motivational profiles of high school physical education students: The role of controlling teacher behavior. Int. J. Environ. Res. Public Health 2019, 16, 1714. [Google Scholar] [CrossRef] [PubMed]
- Lam, S.; Law, W.; Chan, C.-K.; Wong, B.P.H.; Zhang, X. A latent class growth analysis of school bullying and its social context: The self-determination theory perspective. Sch. Psychol. Q. 2015, 30, 75–90. [Google Scholar] [CrossRef] [PubMed]
- Cheon, S.H.; Reeve, J.; Ntoumanis, N. A needs-supportive intervention to help PE teachers enhance students’ prosocial behavior and diminish antisocial behavior. Psychol. Sport Exerc. 2018, 35, 74–88. [Google Scholar] [CrossRef]
- Pérez-González, A.M.; Valero-Valenzuela, A.; Moreno-Murcia, J.A.; Sánchez-Alcaraz, B.J. Systematic review of autonomy support in Physical Education. Apunts. Educ. Física Y Deportes 2019, 138, 51–61. [Google Scholar] [CrossRef]
- Bartholomew, K.J.; Ntoumanis, N.; Thøgersen-Ntoumani, C. A review of controlling motivational strategies from a self-determination theory perspective: Implications for sports coaches. Int. Rev. Sport Exerc. Psychol. 2009, 2, 215–233. [Google Scholar] [CrossRef]
- Soenens, B.; Sierens, E.; Vansteenkiste, M.; Dochy, F.; Goosens, L. Psychologically controlling teaching: Examining outcomes, antecedents, and mediators. J. Educ. Psychol. 2012, 104, 108–120. [Google Scholar] [CrossRef]
- Cheon, S.H.; Reeve, J. A classroom-based intervention to help teachers decrease students’ amotivation. Contemp. Educ. Psychol. 2015, 40, 99–111. [Google Scholar] [CrossRef]
- Reeve, J.; Tseng, M. Agency as a fourth aspect of student engagement during learning activities. Contemp. Educ. Psychol. 2011, 36, 257–267. [Google Scholar] [CrossRef]
- Assor, A.; Kaplan, H.; Kanat-Maymon, Y.; Roth, G. Directly controlling teacher behaviors as predictors of poor motivation and engagement in girls and boys: The role of anger and anxiety. Learn. Instr. 2005, 15, 397–413. [Google Scholar] [CrossRef]
- Hein, V.; Koka, A.; Hagger, M.S. Relationships between perceived teachers’ controlling behaviour, psychological need thwarting, anger and bullying behaviour in high-school students. J. Adolesc. 2015, 42, 103–114. [Google Scholar] [CrossRef]
- Tilga, H.; Hein, V.; Koka, A.; Hagger, M.S. How physical education teachers’ interpersonal behaviour is related to students’ health-related quality of life. Scand. J. Educ. Res. 2019. [Google Scholar] [CrossRef]
- Appleton, P.; Ntoumanis, N.; Quested, E.; Viladrich, C.; Duda, J. Initial validation of the coach-created Empowering and Disempowering Motivational Climate Questionnaire (EDMCQ-C). Psychol. Sport Exerc. 2016, 22, 53–65. [Google Scholar] [CrossRef]
- Connor, K.M.; Davidson, J.R. Development of a new resilience scale: The Connor-Davidson Resilience Scale (CD-RISC). Depress. Anxiety 2003, 18, 76–82. [Google Scholar] [CrossRef] [PubMed]
- Notario-Pacheco, B.; Solera-Martínez, M.; Serrano-Parra, M.D.; Bartolomé-Gutiérrez, R.; García-Campayo, J.; Martínez-Vizcaíno, V. Reliability and validity of the Spanish version of the 10-item Connor-Davidson Resilience Scale (10-item CD-RISC) in young adults. Health Qual. Life Outcomes 2011, 9, 63–68. [Google Scholar] [CrossRef]
- Ortega Ruíz, R.; Del Rey, R.; Casas, J.A. Evaluar el bullying y el cyberbullying validación española del EBIP-Q y del ECIP-Q [Evaluating bullying and cyberbullying. Spanish validation of the EBIP-Q and ECIP-Q]. Psicol. Educ. 2016, 22, 71–79. [Google Scholar] [CrossRef]
- Hu, L.T.; Bentler, P.M. Cutoff criteria for fit indexes in covariance structure analysis: Conventional criteria versus new alternatives. Struct. Equ. Modeling 1999, 6, 1–55. [Google Scholar] [CrossRef]
- Marsh, H.W.; Hau, K.T.; Wen, Z. In search of golden rules: Comment on hypothesis-testing approaches to setting cutoff values for fit indexes and dangers in over-generalizing Hu and Bentler’s (1999) findings. Struct. Equ. Modeling 2004, 11, 320–341. [Google Scholar] [CrossRef]
- Cea, M.A. Análisis Multivariable. Teoría y Práctica en La Investigación; Social [Multivariate Analysis. Theory and Practice in Social Research]; Síntesis: Madrid, Spain, 2002. [Google Scholar]
- Byrne, B.M. Structural Equation Modeling with EQS: Basic Concepts, Applications, and Programming; Lawrence Erlbaum: Mahwah, NJ, USA, 2006. [Google Scholar]
- Cheung, G.W.; Rensvold, R.B. Evaluating goodness-of-fit indexes for testing measurement invariance. Struct. Equ. Modeling 2002, 9, 233–255. [Google Scholar] [CrossRef]
- Byrne, B.M.; Shavelson, R.J.; Muthén, B. Testing for the equivalence of factor covariance and means structures: The issue of partial measurement invariance. Psychol. Bull. 1989, 105, 456–466. [Google Scholar] [CrossRef]
- Milfont, T.L.; Fischer, R. Testing measurement invariance across groups: Applications in cross-cultural research. Int. J. Psychol. Res. 2010, 3, 111–121. [Google Scholar] [CrossRef]
- George, D.; Mallery, P. SPSS for Windows Step by Step: A Simple Guide for Reference 11.0 Update, 4th ed.; Allyn & Bacon: Boston, MA, USA, 2013. [Google Scholar]
- MacKinnon, D.; Fairchild, A.; Fritz, M. Mediation analysis. Annu. Rev. Psychol. 2007, 58, 593–614. [Google Scholar] [CrossRef] [PubMed]
- Preacher, K.J.; Hayes, A.F. SPSS and SAS procedures for estimating indirect effects in simple mediation models. Behav. Res. Methods Instrum. Comput. 2004, 36, 717–731. [Google Scholar] [CrossRef] [PubMed]
- Cheon, S.H.; Reeve, J.; Moon, I.S. Experimentally based, longitudinally designed, teacher-focused intervention to help physical education teachers be more autonomy supportive toward their students. J. Sport Exerc. Psychol. 2012, 34, 365–396. [Google Scholar] [CrossRef] [PubMed]
- Cheon, S.H.; Reeve, J.; Yu, T.H.; Jang, H.R. The teacher benefits from giving autonomy support during physical education instruction. J. Sport Exerc. Psychol. 2014, 36, 331–346. [Google Scholar] [CrossRef] [PubMed]
- De Meyer, J.; Soenens, B.; Vansteenkiste, M.; Aelterman, N.; Van Petegem, S.; Haerens, L. Do students with different motives for physical education respond differently to autonomy-supportive and controlling teaching? Psychol. Sport Exerc. 2016, 22, 72–82. [Google Scholar] [CrossRef]
- Haerens, L.; Aelterman, N.; Vansteenkiste, M.; Soenens, B.; Van Petegem, S. Do perceived autonomy-supportive and controlling teaching relate to physical education students’ motivational experiences through unique pathways? Distinguishing between the bright and dark side of motivation. Psychol. Sport Exerc. 2015, 16, 26–36. [Google Scholar] [CrossRef]
- Leptokaridou, E.; Vlachopoulos, S.; Papaioannou, A. Experimental longitudinal test of the influence of autonomy-supportive teaching on motivation for participation in elementary school physical education. Educ. Psychol. 2014, 36, 1138–1159. [Google Scholar] [CrossRef]
- Beltrán-Catalán, M.; Zych, I.; Ortega-Ruiz, R.; Llorent, V.J. Victimisation through bullying and cyberbullying: Emotional intelligence, severity of victimisation and technology use in different types of victims. Psicothema 2018, 30, 183–188. [Google Scholar] [CrossRef]
- Casas, J.A.; Ortega-Ruiz, R.; Del Rey, R. Bullying: The impact of teacher management and trait emotional intelligence. Br. J. Educ. Psychol. 2015, 85, 407–423. [Google Scholar] [CrossRef]
- Rodríguez-Fernández, A.; Ramos-Díaz, E.; Ros, I.; Zuazagoitia, A. Implicación escolar de estudiantes de secundaria: La influencia de la resiliencia, el autoconcepto y el apoyo social percibido [School engagement of high school students: The influence of resilience, self-concept and perceived social support]. Educación XX1 2018, 21, 87–108. [Google Scholar] [CrossRef]
- Zurita, F.; Orlando, E.; Valdivia, P.; Rodríguez, S.; Castro, M.; Muros, J.J. Análisis de la resiliencia, autoconcepto y motivación en judo según el género [Analysis of resilience, self-concept and motivation in judo according to gender]. Rev. Psicol. Deporte 2017, 26, 71–82. [Google Scholar]
- Estévez, E.; Estévez, J.F.; Segura, L.; Suárez, C. The influence of bullying and cyberbullying in the psychological adjustment of victims and aggressors in adolescence. Int. J. Environ. Res. Public Health 2019, 16, 1–16. [Google Scholar] [CrossRef] [PubMed]
- Del Rey, R.; Casas, J.; Ortega Ruiz, R. Desarrollo y validación de la Escala de Convivencia Escolar [Development and validation of the School Cohabitation Scale]. Univ. Psychol. 2017, 16, 1–11. [Google Scholar] [CrossRef]
- Stefanou, C.R.; Perencevich, K.C.; DiCintio, M.; Turner, J.C. Supporting autonomy in the classroom: Ways teachers encourage student decision making and ownership. Educ. Psychol. 2004, 39, 97–110. [Google Scholar] [CrossRef]
- Haerens, L.; Vansteenkiste, M.; De Meester, A.; Delrue, J.; Tallir, I.; Vande Broek, G.; Goris, W.; Aelterman, N. Different combinations of perceived autonomy support and control: Identifying the most optimal motivating style. Phys. Educ. Sport Pedagog. 2018, 23, 16–36. [Google Scholar] [CrossRef]
- Moreno Murcia, J.A.; Aracil, A.; Reina, R. La cesión de responsabilidad en la evaluación: Una estrategia adaptada al Espacio Europeo de Educación Superior [The transfer of responsibility in evaluation: A strategy adapted to the European Space for Higher Education]. Educación XX1 2014, 17, 183–200. [Google Scholar] [CrossRef][Green Version]
- Tessier, D.; Sarrazin, P.; Ntoumanis, N. The effect of an intervention to improve newly qualified teachers’ interpersonal style, students’ motivation and psychological need satisfaction in sport-based physical education. Contemp. Educ. Psychol. 2010, 35, 242–253. [Google Scholar] [CrossRef]
- Pujolàs, P. La calidad en los equipos de aprendizaje cooperativo. Algunas consideraciones para el cálculo del grado de cooperatividad [Quality in cooperative learning teams. Some considerations for calculating the degree of cooperation]. Rev. Educ. 2009, 349, 225–239. [Google Scholar]
- Gea, G.; Alonso, J.I.; Rodríguez, J.P.; Caballero, M.F. ¿Es la vivencia emocional cuestión de género? Análisis de juegos motores de oposición en universitarios [Is emotional experience a gender issue? Analysis of opposition motor games in university students]. Rev. Investig. Educ. 2017, 35, 269–283. [Google Scholar] [CrossRef]


| Models | χ2 | df | χ2/df | CFI | IFI | SRMR | RMSEA | 90% CI |
|---|---|---|---|---|---|---|---|---|
| Model 1 | 812.282 | 148 | 5.448 | 0.897 | 0.897 | 0.073 | 0.092 | 0.085–0.098 |
| Model 2 | 655.556 | 131 | 5.004 | 0.915 | 0.915 | 0.066 | 0.086 | 0.080–0.093 |
| Model 3 | 839.797 | 262 | 3.205 | 0.906 | 0.907 | 0.073 | 0.064 | 0.059–0.069 |
| Model 4 | 859.590 | 276 | 3.114 | 0.905 | 0.906 | 0.079 | 0.063 | 0.058–0.068 |
| Model 5 | 864.325 | 278 | 3.109 | 0.905 | 0.905 | 0.080 | 0.063 | 0.058–0.068 |
| Model 6 | 872.621 | 281 | 3.105 | 0.905 | 0.904 | 0.080 | 0.063 | 0.058–0.068 |
| Model 7 | 873.955 | 284 | 3.077 | 0.905 | 0.904 | 0.080 | 0.062 | 0.058–0.068 |
| Model 8 | 923.163 | 302 | 3.057 | 0.899 | 0.899 | 0.080 | 0.062 | 0.058–0.067 |
| Model 9 | 992.550 | 393 | 2.526 | 0.904 | 0.905 | 0.066 | 0.053 | 0.049–0.058 |
| Model 10 | 1027.776 | 421 | 2.441 | 0.904 | 0.904 | 0.066 | 0.052 | 0.048–0.056 |
| Model 11 | 1032.027 | 425 | 2.428 | 0.904 | 0.903 | 0.066 | 0.052 | 0.048–0.056 |
| Model 12 | 1046.801 | 431 | 2.429 | 0.903 | 0.903 | 0.070 | 0.052 | 0.048–0.056 |
| Model 13 | 1051.468 | 437 | 2.406 | 0.903 | 0.903 | 0.071 | 0.051 | 0.047–0.055 |
| Model 14 | 1189.941 | 473 | 2.516 | 0.885 | 0.885 | 0.073 | 0.053 | 0.050–0.057 |
| Models | χ2 | df | χ2/df | CFI | IFI | SRMR | RMSEA | 90% CI |
|---|---|---|---|---|---|---|---|---|
| Model 1 | 74.110 | 34 | 2.180 | 0.961 | 0.962 | 0.034 | 0.047 | 0.032–0.062 |
| Model 2 | 141.477 | 68 | 2.081 | 0.932 | 0.933 | 0.052 | 0.045 | 0.034–0.055 |
| Model 3 | 151.79 | 77 | 1.971 | 0.932 | 0.931 | 0.051 | 0.043 | 0.033–0.053 |
| Model 4 | 151.925 | 78 | 1.948 | 0.931 | 0.932 | 0.053 | 0.042 | 0.032–0.052 |
| Model 5 | 162.634 | 102 | 1.594 | 0.943 | 0.946 | 0.048 | 0.033 | 0.023–0.043 |
| Model 6 | 176.358 | 120 | 1.470 | 0.943 | 0.946 | 0.049 | 0.030 | 0.020–0.039 |
| Model 7 | 179.026 | 122 | 1.467 | 0.947 | 0.947 | 0.050 | 0.030 | 0.022–0.039 |
| Variables | MD | SD | α | 1 | 2 | 3 | 4 | 5 | 6 | 7 | 8 |
|---|---|---|---|---|---|---|---|---|---|---|---|
| 1. Victimization | 1.47 | 0.59 | 0.79 | 1 | 0.522 * | −0.157 ** | −0.040 | −0.031 | −0.031 | 0.170 ** | −0.037 |
| 2. Bullying | 1.23 | 0.42 | 0.80 | 1 | −0.079 | −0.132 ** | −0.120 ** | −0.051 | 0.247 ** | −0.109 * | |
| 3. Resilience | 3.36 | 0.69 | 0.79 | 1 | 0.254 ** | 0.269 ** | 0.231 ** | −0.083 | 0.272 ** | ||
| 4. Cognitive Autonomy Support | 5.10 | 1.47 | 0.90 | 1 | 0.867 ** | 0.750 ** | −0.019 | 0.948 ** | |||
| 5. Procedural Autonomy Support | 5.47 | 1.36 | 0.88 | 1 | 0.696 ** | −0.090 | 0.924 ** | ||||
| 6. Organizational Autonomy Support | 4.44 | 1.47 | 0.82 | 1 | 0.111 | 0.889 ** | |||||
| 7. Controlling Style | 2.61 | 1.49 | 0.82 | 1 | 0.003 | ||||||
| 8. General Autonomy Support | 5.00 | 1.32 | 0.89 | 1 |
| Coefficients | |||||
|---|---|---|---|---|---|
| Model | Non-Standardized Coefficients | Standardized Coefficients | t | p | |
| B | Standard Error | β | |||
| (Constant) | 1.285 | 0.104 | 12.313 | 0.000 | |
| Resilience | −0.019 | 0.026 | −0.031 | −0.721 | 0.471 |
| Controlling Style | 0.069 | 0.012 | 0.244 | 5.841 | 0.000 |
| General Autonomy Support | −0.032 | 0.014 | −0.101 | −2.340 | 0.020 |
| Coefficients | |||||
|---|---|---|---|---|---|
| Model | Non-Standardized Coefficients | Standardized Coefficients | t | p | |
| B | Standard Error | β | |||
| (Constant) | 1.723 | 0.149 | 11.588 | 0.000 | |
| Resilience | −0.123 | 0.038 | −0.144 | −3.269 | 0.001 |
| Controlling Style | 0.062 | 0.017 | 0.158 | 3.720 | 0.000 |
| General Autonomy Support | −0.001 | 0.020 | −0.001 | 0.033 | 0.974 |
| Predictor Variable | Criterion Variable | Total Effect | Direct Effect | Indirect Effect Path c’ | Path a | Path b | |||||||
|---|---|---|---|---|---|---|---|---|---|---|---|---|---|
| Est. | SE | Est. | SE | Est. | SE | 95% CI | Est. | SE | Est. | SE | |||
| Lower | Upper | ||||||||||||
| Autonomy Support | Victimi-zation | −0.01 | 0.19 | −0.00 | 0.01 | −0.01 | 0.00 | −0.03 | −0.004 | 0.14 * | 0.02 | −0.13 * | 0.03 |
© 2019 by the authors. Licensee MDPI, Basel, Switzerland. This article is an open access article distributed under the terms and conditions of the Creative Commons Attribution (CC BY) license (http://creativecommons.org/licenses/by/4.0/).
Share and Cite
Montero-Carretero, C.; Cervelló, E. Teaching Styles in Physical Education: A New Approach to Predicting Resilience and Bullying. Int. J. Environ. Res. Public Health 2020, 17, 76. https://doi.org/10.3390/ijerph17010076
Montero-Carretero C, Cervelló E. Teaching Styles in Physical Education: A New Approach to Predicting Resilience and Bullying. International Journal of Environmental Research and Public Health. 2020; 17(1):76. https://doi.org/10.3390/ijerph17010076
Chicago/Turabian StyleMontero-Carretero, Carlos, and Eduardo Cervelló. 2020. "Teaching Styles in Physical Education: A New Approach to Predicting Resilience and Bullying" International Journal of Environmental Research and Public Health 17, no. 1: 76. https://doi.org/10.3390/ijerph17010076
APA StyleMontero-Carretero, C., & Cervelló, E. (2020). Teaching Styles in Physical Education: A New Approach to Predicting Resilience and Bullying. International Journal of Environmental Research and Public Health, 17(1), 76. https://doi.org/10.3390/ijerph17010076

