Effects of Biochar Combined with Nitrogen Fertilizer Reduction on Rapeseed Yield and Soil Aggregate Stability in Upland of Purple Soils
Abstract
1. Introduction
2. Materials and Methods
2.1. Study Site
2.2. Biochar Amended
2.3. Field Experiment
2.4. Soil Sampling and Analysis
2.5. Aggregate Separation
2.6. Statistical Analysis
3. Results
3.1. Effect of Biochar and Nitrogen Fertilizer on Soil Aggregate Content and Distribution
3.2. Effect of Biochar and Nitrogen Fertilizer on Soil Stability Index
3.3. Effect of Biochar and Nitrogen Fertilizer on Total Organic Carbon in Soil Mechanical-Stable Aggregates
3.4. Effect of Biochar and Nitrogen Fertilizer on Rapeseed Yield
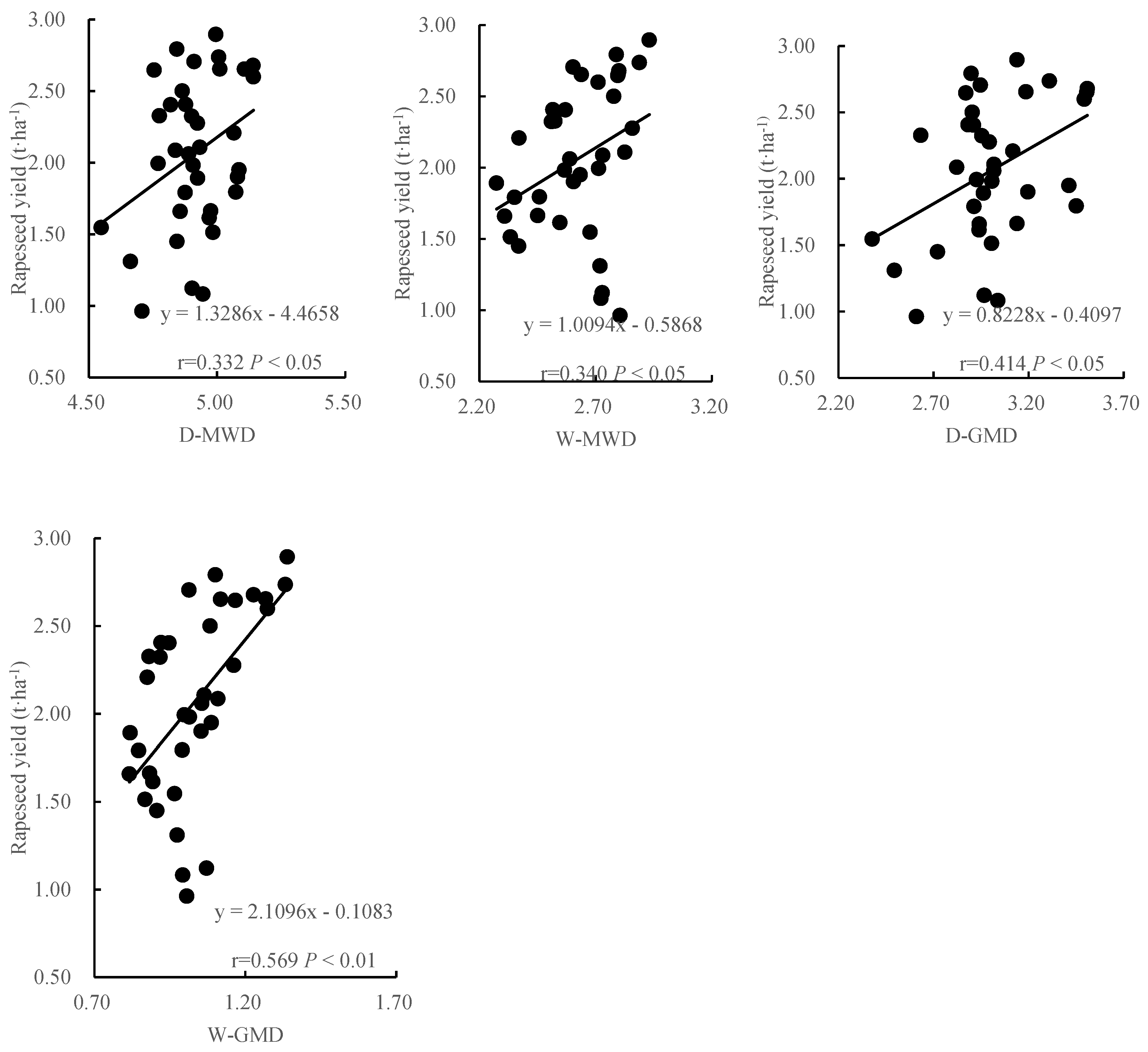
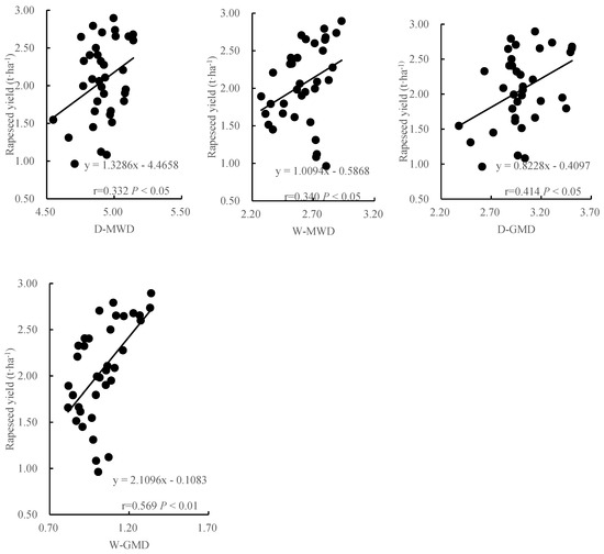
3.5. Correlation of Soil Aggregate Stability with Rapeseed Yield
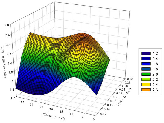
3.6. The Relationship between Rapeseed Yield and Application Rates of Biochar-Nitrogen Fertilizer
4. Discussion
4.1. Effect of Biochar and Nitrogen Fertilizer on Content and Distribution of Soil Aggregates
4.2. Effect of Biochar and Nitrogen Fertilizer on Soil Stability Index
4.3. Effect of Biochar and Nitrogen Fertilizer on Total Organic Carbon in Soil Mechanical-Stable Aggregates
4.4. Effect of Biochar and Nitrogen Fertilizer on Rapeseed Yield
5. Conclusions
Author Contributions
Funding
Conflicts of Interest
References
- Shen, C.Y.; Wang, Y.; Zhao, L.P.; Xu, X.H.; Yang, X.K.; Liu, X.L. Characteristics of material migration during soil erosion in sloped farmland in the black soil region of Northeast China. Trop. Conserv. Sci. 2019, 12, 1–11. [Google Scholar] [CrossRef]
- Ramos, M.C.; Pareja-Sánchez, E.; Plaza-Bonilla, D.; Cantero-Martínez, C.; Lampurlanés, J. Soil sealing and soil water content under no-tillage and conventional tillage in irrigated corn: Effects on grain yield. Hydrol. Process. 2019, 33, 2095–2109. [Google Scholar] [CrossRef]
- Yan, L.; Jiang, X.X.; Ji, X.N.; Zhou, L.T.; Li, S.Y.; Chen, C.; Li, P.Y.; Zhu, Y.C.; Dong, T.H.; Meng, Q.F. Distribution of water-stable aggregates under soil tillage practices in a black soil hillslope cropland in Northeast China. J. Soils Sediments 2019. [Google Scholar] [CrossRef]
- Nouri, A.; Lee, J.; Yin, X.H.; Saxton, A.M.; Tyler, D.D.; Sykes, V.R.; Arelli, P. Crop species in no-tillage summer crop rotations affect soil quality and yield in an Alfisol. Geoderma 2019, 345, 51–62. [Google Scholar] [CrossRef]
- Tian, X.M.; Fan, H.; Wang, J.Q.; Ippolito, J.; Li, Y.B.; Feng, S.S.; An, M.J.; Zhang, F.H.; Wang, K.Y. Effect of polymer materials on soil structure and organic carbon under drip irrigation. Geoderma 2019, 340, 94–103. [Google Scholar] [CrossRef]
- Liu, M.; Han, G.L.; Zhang, Q. Effects of soil aggregate stability on soil organic carbon and nitrogen under land use change in an erodible region in Southwest China. Int. J. Environ. Res. Public Health 2019, 16, 3809. [Google Scholar] [CrossRef]
- Li, X.P.; Shi, X.J. Effect of long-term imbalance fertilization on purple soil fertility. J. Plant Nutr. Fertil. 2007, 13, 27–32. [Google Scholar]
- Yang, S.H.; Jiang, Z.W.; Sun, X.; Ding, J.; Xu, J.Z. Effects of biochar amendment on CO2 emissions from paddy fields under water-saving irrigation. Int. J. Environ. Res. Public Health 2018, 15, 2580. [Google Scholar] [CrossRef]
- Xing, Y.; Wang, J.X.; Shaheen, S.M.; Feng, X.B.; Chen, Z.; Zhang, H.; Rinklebe, J. Mitigation of mercury accumulation in rice using rice hull-derived biochar as soil amendment: A field investigation. J. Hazard. Mater. 2019, 121747. [Google Scholar] [CrossRef]
- Joseph, U.E.; Toluwase, A.O.; Kehinde, E.O.; Omasan, E.E.; Tolulope, A.Y.; George, O.O.; Zhao, C.S.; Wang, H.Y. Effect of biochar on soil structure and storage of soil organic carbon and nitrogen in the aggregate fractions of an Albic soil. Arch. Agron. Soil Sci. 2019. [Google Scholar] [CrossRef]
- Zhou, H.; Fang, H.; Zhang, Q.; Wang, Q.; Chen, C.; Mooney, S.J.; Peng, X.; Du, Z. Biochar enhances soil hydraulic function but not soil aggregation in a sandy loam. Eur. J. Soil Sci. 2019, 70, 291–300. [Google Scholar] [CrossRef]
- Heikkinen, J.; Keskinen, R.; Soinne, H.; Hyväluoma, J.; Nikama, J.; Wikberg, H.; Källi, A.; Siipola, V.; Melkior, T.; Dupont, C.; et al. Possibilities to improve soil aggregate stability using biochars derived from various biomasses through slow pyrolysis, hydrothermal carbonization, or torrefaction. Geoderma 2019, 344, 40–49. [Google Scholar] [CrossRef]
- Joseph, S.; Camps-Arbestain, M.; Lin, Y.; Munroe, P.; Chia, C.; Hook, J.; Van-Zwieten, L.; Kimber, S.; Cowie, A.; Singh, B. An investigation into the reactions of biochar in soil. Soil Res. 2010, 48, 501–515. [Google Scholar] [CrossRef]
- Ye, L.L.; Wang, C.H.; Zhou, H.; Peng, X.H. Effects of rice straw-derived biochar addition on soil structure stability of an ultisol. Soils 2012, 44, 62–66. [Google Scholar]
- Li, W.; Dai, Z.; Zhang, G.X.; Liu, Y.; Han, J. Combination of biochar and nitrogen fertilizer to improve soil aggregate stability and crop yield in Lou soil. J. Plant Nutr. Fertil. 2019, 25, 782–791. [Google Scholar]
- Yuan, J.J.; Tong, Y.A.; Lu, S.H.; Yuan, G.J. Biochar and nitrogen amendments improving soil aggregate structure and jujube yields. Trans. Chin. Soc. Agric. Eng. 2018, 34, 159–165. [Google Scholar]
- Hou, X.N.; Li, H.; Zhu, L.B.; Han, Y.L.; Tang, Z.; Li, Z.F.; Tang, J.F.; Zhang, S.Q. Effects of biochar and straw additions on lime concretion black soil aggregate composition and organic carbon distribution. Sci. Agric. Sin. 2015, 48, 705–712. [Google Scholar]
- Teng, Q.; Hu, X.F.; Luo, F.; Cheng, C.; Ge, X.Y.; Yang, M.Y.; Liu, L.M. Influences of introducing frogs in the paddy fields on soil properties and rice growth. J. Soils Sediments 2016, 16, 51–61. [Google Scholar] [CrossRef]
- Liu, K.L.; Han, T.F.; Huang, J.; Huang, Q.H.; Li, D.M.; Hu, Z.H.; Yu, X.C.; Muhammad, Q.; Ahmed, W.; Hu, H.W.; et al. Response of soil aggregate-associated potassium to long-term fertilization in red soil. Geoderma 2019, 352, 160–170. [Google Scholar] [CrossRef]
- Kabiri, V.; Raiesi, F.; Ghazavi, M.A. Six years of different tillage systems affected aggregate-associated SOM in a semi-arid loam soil from Central Iran. Soil Tillage Res. 2015, 154, 114–125. [Google Scholar] [CrossRef]
- Chun, Y.; Sheng, G.Y.; Cary, T.C.; Xing, B.S. Composition and sorptive properties of crop residue-derived chars. Environ. Sci. Technol. 2004, 38, 4649–4655. [Google Scholar] [CrossRef] [PubMed]
- Bai, N.; Zhang, H.; Li, S.; Zheng, X.; Zhang, J.; Zhang, H.; Zhou, S.; Sun, H.; Lv, W. Long-term effects of straw and straw-derived biochar on soil aggregation and fungal community in a rice–wheat rotation system. PeerJ 2019, 6, e6171. [Google Scholar] [CrossRef] [PubMed]
- Pituello, C.; Francioso, O.; Simonetti, G.; Pisi, A.; Torreggiani, A.; Berti, A.; Morari, F. Characterization of chemical–physical, structural and morphological properties of biochars from biowastes produced at different temperatures. J. Soils Sediments 2015, 15, 792–804. [Google Scholar] [CrossRef]
- Bailey, V.L.; Fansler, S.J.; Smith, J.L.; Bolton, H., Jr. Reconciling apparent variability in effects of biochar amendment on soil enzyme activities by assay optimization. Soil Biol. Biochem. 2011, 43, 296–301. [Google Scholar] [CrossRef]
- Kumara, N.; Nath, C.P.; Hazra, K.K.; Das, K.; Venkatesh, M.S.; Singh, M.K.; Singh, S.S.; Praharaj, C.S.; Singh, N.P. Impact of zero-till residue management and crop diversification with legumes on soil aggregation and carbon sequestration. Soil Tillage Res. 2019, 189, 158–167. [Google Scholar] [CrossRef]
- Busscher, W.; Novak, J.; Evans, D.; Watts, D.; Niandou, M.; Ahmedna, M. Influence of peacan biochar on physical properties of a Norfolk loamy sand. Soil Sci. 2010, 175, 10–14. [Google Scholar] [CrossRef]
- Choudhury, S.G.; Srivastava, S.; Singh, R.; Chaudhari, S.K.; Sharma, D.K.; Singh, S.K.; Sarkar, D. Tillage and residue management effects on soil aggregation, organic carbon dynamics and yield attribute in rice–wheat cropping system under reclaimed sodic soil. Soil Tillage Res. 2014, 136, 76–83. [Google Scholar] [CrossRef]
- Ukalska-Jaruga, A.; Debaene, G.; Smreczak, B. Dissipation and sorption processes of polycyclic aromatic hydrocarbons (PAHs) to organic matter in soils amended by exogenous rich-carbon material. J. Soils Sediments 2019. [Google Scholar] [CrossRef]
- Gao, L.L.; Wang, B.S.; Li, S.P.; Wu, H.J.; Wu, X.P.; Liang, G.P.; Gong, D.Z.; Zhang, X.M.; Cai, D.X.; Degré, A. Soil wet aggregate distribution and pore size distribution under different tillage systems after 16 years in the Loess Plateau of China. Catena 2019, 173, 38–47. [Google Scholar] [CrossRef]
- Dekemati, I.; Simon, B.; Vinogradov, S.; Birkás, M. The effects of various tillage treatments on soil physical properties, earthworm abundance and crop yield in Hungary. Soil Tillage Res. 2019, 104334. [Google Scholar] [CrossRef]
- Pardo, M.T.; Giampaolo, S.; Almendros, G. Effect of cultivation on physical speciation of humic substances and plant nutrients in aggregate fractions of crusting soil from Zimbabwe. Biol. Fertil. Soils 1997, 25, 95–102. [Google Scholar] [CrossRef]
- Karami, A.; Khavazi, K. Determination of agricultural sulfur effects on the soil structure using fractal geometery and aggregate stability indices. J. Water Soil Sci. 2019, 23, 267–280. [Google Scholar] [CrossRef][Green Version]
- Jin, Z.W.; Chen, C.; Chen, X.M.; Jiang, F.; Hopkins, I.; Zhang, X.L.; Han, Z.Q.; Billy, G.; Benavides, J. Soil acidity, available phosphorus content, and optimal biochar and nitrogen fertilizer application rates: A five-year field trial in upland red soil, China. Field Crop. Res. 2019, 232, 77–87. [Google Scholar] [CrossRef]





| Factors | Soil Aggregates by Dry Sieving | Soil Aggregates by Wet Sieving | DR0.25 | D-MWD | D-GMD | WR0.25 | W-MWD | W-GMD | PAD0.25 | ||||||||
|---|---|---|---|---|---|---|---|---|---|---|---|---|---|---|---|---|---|
| >5 | 2–5 | 1–2 | 0.25–1 | <0.25 | >5 | 2–5 | 1–2 | 0.25–1 | <0.25 | ||||||||
| N | ns | ns | ns | * | ns | ns | ** | ns | ns | * | ns | ns | ns | * | ns | ns | ns |
| C | ** | ns | ** | ns | ** | ** | ** | ** | ns | ** | ** | ** | ** | ** | ** | ** | ns |
| N × C | ns | ns | ns | ns | ns | ns | ns | ns | ns | ns | ns | ns | ns | ns | ns | ns | ns |
| Treatments | Aggregate Size (mm), % | ||||||||||
|---|---|---|---|---|---|---|---|---|---|---|---|
| Pure N (kg·ha−1) | Biochar (t·ha−1) | Dry Sieving | Wet Sieving | ||||||||
| >5 | 2–5 | 1–2 | 0.25–1 | <0.25 | >5 | 2–5 | 1–2 | 0.25–1 | <0.25 | ||
| 180 (N100) | 0 (C0) | 54.0 ± 1.8Aa | 22.5 ± 1.1Aa | 5.0 ± 0.4Aa | 6.5 ± 0.3Aa | 12.1 ± 0.4Aab | 17.6 ± 1.3Aa | 23.0 ± 2.0Ab | 8.7 ± 0.7Aa | 16.7 ± 1.2Aa | 34.0 ± 3.4Aa |
| 10 (C10) | 55.1 ± 0.4Aa | 23.0 ± 2.3Aa | 6.6 ± 0.6Aa | 6.6 ± 0.5Aa | 8.6 ± 1.4Aa | 19.6 ± 2.4Aa | 30.6 ± 1.7Aa | 9.1 ± 0.9Aa | 17.2 ± 1.5Aa | 23.5 ± 2.0Ab | |
| 20 (C20) | 51.2 ± 1.8Aa | 24.4 ± 1.4Aa | 5.3 ± 0.4Aa | 6.7 ± 0.5Aa | 12.5 ± 0.3Aa | 21.0 ± 0.9Aa | 23.4 ± 1.4Ab | 7.8 ± 1.4Aa | 17.7 ± 0.5Aa | 30.1 ± 3.5Aab | |
| 40 (C40) | 52.4 ± 0.9Aa | 22.8 ± 1.7Aa | 5.1 ± 0.4Aa | 6.9 ± 0.5Aa | 12.8 ± 0.2Aa | 21.5 ± 1.6Aa | 23.7 ± 1.1Ab | 7.5 ± 0.2Aa | 15.6 ± 0.5Aa | 31.6 ± 2.4Aa | |
| 144 (N80) | 0 (C0) | 52.0 ± 0.4Aa | 24.0 ± 1.0Aa | 5.0 ± 0.7Aa | 6.8 ± 0.7Aa | 12.2 ± 0.4Aa | 17.9 ± 0.9Ab | 22.7 ± 2.3Ab | 9.0 ± 1.0Aa | 16.3 ± 1.2Aa | 34.2 ± 4.6Aa |
| 10 (C10) | 54.1 ± 0.6Aa | 23.8 ± 0.4Aa | 6.6 ± 1.0Aa | 7.0 ± 0.1Aa | 8.6 ± 1.6Aa | 19.6 ± 1.7Aab | 29.4 ± 1.6Aa | 9.2 ± 1.2Aa | 17.5 ± 1.3Aa | 24.3 ± 3.1Ab | |
| 20 (C20) | 53.0 ± 0.4Aa | 22.0 ± 0.9Aa | 5.4 ± 0.6Aa | 7.0 ± 0.3Aa | 12.5 ± 0.7Aa | 21.4 ± 1.7Aab | 23.7 ± 1.9Ab | 8.5 ± 1.0Aa | 16.0 ± 2.2Aa | 30.4 ± 4.1Aab | |
| 40 (C40) | 51.8 ± 1.7Aa | 22.9 ± 2.2Aa | 5.2 ± 0.9Aa | 7.1 ± 0.9Aa | 13.0 ± 2.5Aa | 22.8 ± 1.6Aa | 20.9 ± 2.2Ab | 7.2 ± 1.2Aa | 15.5 ± 0.7Aa | 33.6 ± 2.5Aa | |
| 108 (N60) | 0 (C0) | 53.6 ± 0.7Aa | 22.5 ± 1.2Aa | 5.0 ± 0.6Ab | 5.8 ± 0.6Aa | 13.2 ± 2.6Aab | 17.6 ± 1.3Ac | 22.3 ± 0.8Aab | 9.5 ± 0.9Aa | 16.2 ± 1.2Aa | 34.5 ± 1.5Aa |
| 10 (C10) | 55.0 ± 1.0Aa | 22.7 ± 1.9Aa | 7.3 ± 0.7Aa | 6.1 ± 0.9Aa | 8.9 ± 1.9Ab | 18.2 ± 1.5Abc | 26.1 ± 1.2Ba | 9.8 ± 0.8Aa | 16.4 ± 2.4Aa | 29.5 ± 1.8Aab | |
| 20 (C20) | 52.2 ± 3.3Aa | 21.6 ± 1.2Aa | 5.3 ± 0.5Ab | 6.3 ± 0.9Aa | 14.6 ± 3.3Aa | 21.9 ± 1.0Aab | 21.4 ± 1.7Ab | 8.2 ± 0.7Aa | 14.8 ± 1.0Aa | 33.6 ± 3.3Aa | |
| 40 (C40) | 51.6 ± 1.6Aa | 21.9 ± 0.9Aa | 5.2 ± 0.3Ab | 6.4 ± 0.8Aa | 14.9 ± 3.0Aa | 23.9 ± 1.1Aa | 20.5 ± 1.3Ab | 7.1 ± 0.3Aa | 14.4 ± 1.4Aa | 34.1 ± 1.0Aa | |
| Treatments | DR0.25 | D-MWD | D-GMD | WR0.25 | W-MWD | W-GMD | PAD0.25 | |
|---|---|---|---|---|---|---|---|---|
| Pure N (kg·ha−1) | Biochar (t·ha−1) | |||||||
| 180 | 0 | 87.93 ± 0.38Aa | 4.97 ± 0.09Aa | 3.03 ± 0.08Aa | 66.05 ± 3.38Ab | 2.40 ± 0.15Ab | 0.90 ± 0.10Ab | 24.90 ± 4.46Aa |
| 10 | 91.38 ± 1.43Aa | 5.09 ± 0.08Aa | 3.38 ± 0.21Aa | 76.52 ± 2.02Aa | 2.81 ± 0.11Aa | 1.28 ± 0.06Aa | 16.25 ± 2.85Aa | |
| 20 | 87.55 ± 0.30Aa | 4.83 ± 0.08Aa | 2.91 ± 0.04Aa | 69.90 ± 3.46Aab | 2.66 ± 0.13Aab | 1.04 ± 0.11Ab | 19.96 ± 3.31Aa | |
| 40 | 87.16 ± 0.17Aa | 4.86 ± 0.02Aa | 2.89 ± 0.01Aa | 68.42 ± 2.45Ab | 2.69 ± 0.15Aab | 1.04 ± 0.10Ab | 21.50 ± 4.99Aa | |
| 144 | 0 | 87.83 ± 0.41Aa | 4.87 ± 0.02Aa | 2.96 ± 0.06Aa | 65.85 ± 4.56Ab | 2.42 ± 0.15Ab | 0.91 ± 0.13Ab | 25.04 ± 4.97Aa |
| 10 | 91.42 ± 1.59Aa | 5.04 ± 0.06Aa | 3.33 ± 0.16Aa | 75.68 ± 3.08Aa | 2.78 ± 0.13Aa | 1.24 ± 0.11ABa | 17.13 ± 7.84Aa | |
| 20 | 87.46 ± 0.73Aa | 4.89 ± 0.04Aa | 2.92 ± 0.09Aa | 69.63 ± 4.07Aab | 2.70 ± 0.18Aab | 1.06 ± 0.13Aab | 20.35 ± 6.69Aa | |
| 40 | 87.01 ± 2.52Aa | 4.83 ± 0.09Aa | 2.86 ± 0.20Aa | 66.36 ± 2.52Ab | 2.69 ± 0.15Aab | 0.98 ± 0.09Ab | 23.70 ± 2.29Aa | |
| 108 | 0 | 86.85 ± 2.56Aab | 4.93 ± 0.08Aab | 2.95 ± 0.21Aab | 65.52 ± 1.49Aa | 2.39 ± 0.06Ab | 0.89 ± 0.02Aa | 24.45 ± 5.95Aa |
| 10 | 91.11 ± 1.92Aa | 5.08 ± 0.01Aa | 3.35 ± 0.13Aa | 70.47 ± 1.75Aa | 2.57 ± 0.09Aab | 1.04 ± 0.05Ba | 22.63 ± 2.37Aa | |
| 20 | 85.38 ± 3.28Ab | 4.81 ± 0.23Aab | 2.76 ± 0.33Ab | 66.37 ± 3.29Aa | 2.65 ± 0.09Aab | 0.98 ± 0.09Aa | 22.22 ± 3.82Aa | |
| 40 | 85.11 ± 3.01Ab | 4.77 ± 0.16Ab | 2.71 ± 0.29Ab | 65.93 ± 0.97Aa | 2.75 ± 0.05Aa | 0.99 ± 0.02Aa | 22.47 ± 2.77Aa | |
© 2019 by the authors. Licensee MDPI, Basel, Switzerland. This article is an open access article distributed under the terms and conditions of the Creative Commons Attribution (CC BY) license (http://creativecommons.org/licenses/by/4.0/).
Share and Cite
Tian, X.; Li, Z.; Wang, L.; Wang, Y.; Li, B.; Duan, M.; Liu, B. Effects of Biochar Combined with Nitrogen Fertilizer Reduction on Rapeseed Yield and Soil Aggregate Stability in Upland of Purple Soils. Int. J. Environ. Res. Public Health 2020, 17, 279. https://doi.org/10.3390/ijerph17010279
Tian X, Li Z, Wang L, Wang Y, Li B, Duan M, Liu B. Effects of Biochar Combined with Nitrogen Fertilizer Reduction on Rapeseed Yield and Soil Aggregate Stability in Upland of Purple Soils. International Journal of Environmental Research and Public Health. 2020; 17(1):279. https://doi.org/10.3390/ijerph17010279
Chicago/Turabian StyleTian, Xiaoqin, Zhuo Li, Longchang Wang, Yifan Wang, Biao Li, Meichun Duan, and Bangyan Liu. 2020. "Effects of Biochar Combined with Nitrogen Fertilizer Reduction on Rapeseed Yield and Soil Aggregate Stability in Upland of Purple Soils" International Journal of Environmental Research and Public Health 17, no. 1: 279. https://doi.org/10.3390/ijerph17010279
APA StyleTian, X., Li, Z., Wang, L., Wang, Y., Li, B., Duan, M., & Liu, B. (2020). Effects of Biochar Combined with Nitrogen Fertilizer Reduction on Rapeseed Yield and Soil Aggregate Stability in Upland of Purple Soils. International Journal of Environmental Research and Public Health, 17(1), 279. https://doi.org/10.3390/ijerph17010279

