Temporal Trends and Recent Correlates in Sedentary Behaviors among Chinese Adults from 2002 to 2010–2012
Abstract
1. Introduction
2. Materials and Methods
2.1. Study Design
2.2. Data Collection
2.3. Sedentary Behaviors (SB)
2.4. Sociodemographic Characteristics
2.5. Statistical Analysis
3. Results
3.1. Characteristics of Participants
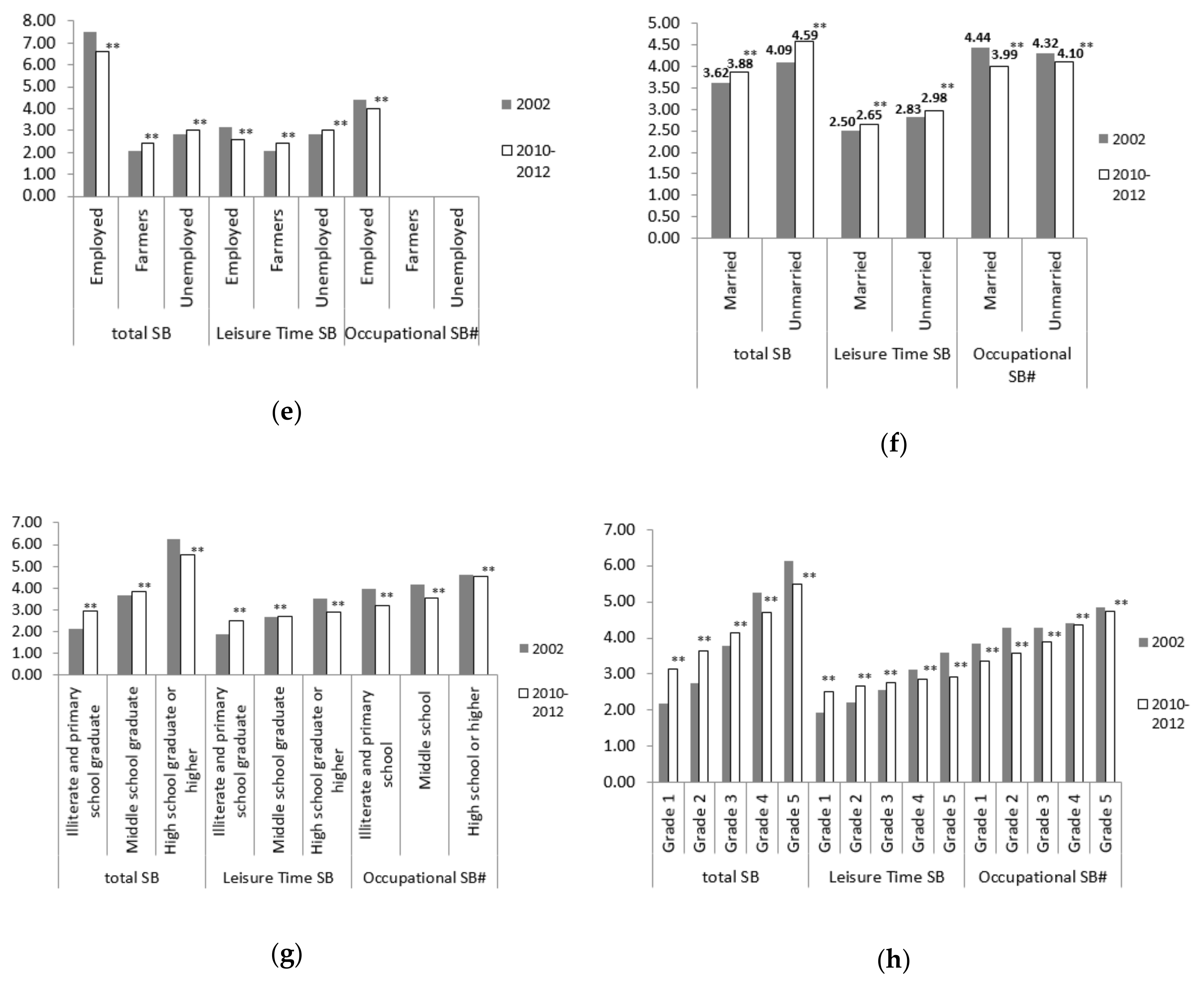
3.2. Sedentary Behavior Trends
3.3. Correlates of Sedentary Behaviors
3.4. Sensitivity Analysis of the Missing Values
4. Discussion
5. Conclusions
Supplementary Materials
Author Contributions
Funding
Acknowledgments
Conflicts of Interest
References
- World Health Organization. Global Health Risks: Mortality and Burden of Disease Attributable to Selected Major Risks. Available online: https://apps.who.int/iris/handle/10665/44203 (accessed on 24 December 2019).
- U.S. Department of Health and Human Services. Physical Activity Guidelines for Americans, 2nd ed.; U.S. Department of Health and Human Services: Washington, DC, USA, 2018; p. 45. [Google Scholar]
- Tang, S.; Ehiri, J.; Long, Q. China’s biggest, most neglected health challenge: Non-communicable diseases. Infect. Dis. Poverty 2013, 2, 7. [Google Scholar] [CrossRef] [PubMed]
- Zhai, F.Y.; Du, S.F.; Wang, Z.H.; Zhang, J.G.; Du, W.W.; Popkin, B.M. Dynamics diet and the role of urbanicity, 1991–2011. Obes. Rev. 2014, 15, 16–26. [Google Scholar] [CrossRef] [PubMed]
- Monda, K.L.; Adair, L.S.; Zhai, F.; Popkin, B.M. Longitudinal between occupational and domestic activity patterns and bodyweight in China. Eur. J. Clin. Nutr. 2008, 62, 1318–1325. [Google Scholar] [CrossRef] [PubMed]
- Owen, N.; Leslie, E.; Salmon, J.; Fotheringham, M.J. Environmental determinants of physical activity and sedentary behavior. Exerc. Sport Sci. Rev. 2000, 28, 153–158. [Google Scholar] [CrossRef]
- Ainsworth, B.E.; Haskell, W.L.; Leon, A.S.; Jacobs, D.R., Jr.; Montoye, H.J.; Sallis, J.F.; Paffenbarger, R.S., Jr. Compendium of physical activities: Classification of energy costs of human physical activities. Med. Sci. Sports Exerc. 1993, 25, 71–80. [Google Scholar] [CrossRef]
- Gibbs, B.B.; Hergenroeder, A.L.; Katzmarzyk, P.T.; Lee, I.M.; Jakicic, J.M. Definition, measurement, and health risks associated with sedentary behavior. Med. Sci. Sports Exerc. 2015, 47, 1295–1300. [Google Scholar] [CrossRef]
- Duncan, M.J.; Vandelanotte, C.; Caperchione, C.; Hanley, C.; Mummery, W.K. Temporal trends in and relationships between screen time, physical activity, overweight and obesity. BMC Public Health 2012, 12, 1060. [Google Scholar] [CrossRef]
- Yang, L.; Cao, C.; Kantor, E.D.; Nguyen, L.H.; Zheng, X.; Park, Y.; Giovannucci, E.L.; Matthews, C.E.; Colditz, G.A.; Cao, Y. Trends in Sedentary Behavior among the US Population, 2001–2016. JAMA 2019, 321, 1587–1597. [Google Scholar] [CrossRef]
- Du, Y.; Liu, B.; Sun, Y.; Snetselaar, L.G.; Wallace, R.B.; Bao, W. Trends in Adherence to the Physical Activity Guidelines for Americans for Aerobic Activity and Time Spent on Sedentary Behavior Among US Adults, 2007 to 2016. JAMA Netw. Open 2019, 2, e197597. [Google Scholar] [CrossRef]
- Chau, J.Y.; Merom, D.; Grunseit, A.; Rissel, C.; Bauman, A.E.; van der Ploeg, H.P. Temporal trends in non-occupational sedentary behaviours from Australian Time Use Surveys 1992, 1997 and 2006. Int. J. Behav. Nutr. Phys. Act. 2012, 9, 76. [Google Scholar] [CrossRef]
- Loyen, A.; Chey, T.; Engelen, L.; Bauman, A.; Lakerveld, J.; van der Ploeg, H.P.; Brug, J.; Chau, J.Y. Recent trends in population levels and correlates of occupational and leisure sitting time in full-time employed Australian adults. PLoS ONE 2018, 13, e0195177. [Google Scholar] [CrossRef] [PubMed]
- Medina, C.; Tolentino-Mayo, L.; López-Ridaura, R.; Barquera, S. Evidence of increasing sedentarism in Mexico City during the last decade: Sitting time prevalence, trends, and associations with obesity and diabetes. PLoS ONE 2017, 12, e0188518. [Google Scholar] [CrossRef] [PubMed]
- Aadahl, M.; Andreasen, A.H.; Hammer-Helmich, L.; Buhelt, L.; Jørgensen, T.; Glümer, C. Recent temporal trends in sleep duration, domain-specific sedentary behaviour and physical activity. A survey among 25–79-year-old Danish adults. Scand. J. Public Health 2013, 41, 706–711. [Google Scholar] [CrossRef] [PubMed]
- Su, C.; Jia, X.F.; Wang, Z.H.; Wang, H.J.; Ouyang, Y.F.; Zhang, B. Longitudinal association of leisure time physical activity and sedentary behaviors with body weight among Chinese adults from China Health and Nutrition Survey 2004–2011. Eur. J. Clin. Nutr. 2017, 71, 383–388. [Google Scholar] [CrossRef]
- Ng, S.W.; Howard, A.G.; Wang, H.J.; Su, C.; Zhang, B. The Physical Activity Transition among Adults in China: 1991–2011. Obes. Rev. 2014, 15, 27–36. [Google Scholar] [CrossRef]
- Wu, Y.; Huxley, R.; Li, L.; Anna, V.; Xie, G.; Yao, C.; Woodward, M.; Li, X.; Chalmers, J.; Gao, R.; et al. Prevalence, awareness, treatment, and control of hypertension in China: Data from the China National Nutrition and Health Survey 2002. Circulation 2008, 118, 2679–2686. [Google Scholar] [CrossRef]
- Ding, C.; Song, C.; Yuan, F.; Zhang, Y.; Feng, G.; Chen, Z.; Liu, A. The Physical Activity Patterns among Rural Chinese Adults: Data from China National Nutrition and Health Survey in 2010–2012. Int. J. Environ. Res. Public Health 2018, 15, 941. [Google Scholar] [CrossRef]
- Hu, Y.; Chen, J.; Wang, R.; Li, M.; Yun, C.; Li, W.; Yang, Y.; Piao, J.; Yang, X.; Yang, L. Vitamin D Nutritional Status and its Related Factors for Chinese Children and Adolescents in 2010–2012. Nutrients 2017, 9, 1024. [Google Scholar] [CrossRef]
- Ma, G.; Luan, D.; Liu, A.; Li, Y.; Cui, Z.; Hu, X. Analysis and Evaluation of a Physical Activity Questionniare of Professionals in China. Acta Nutr. Sin. 2007, 29, 217–221. [Google Scholar]
- Ekelund, U.; Steene-Johannessen, J.; Brown, W.J.; Fagerland, M.W.; Owen, N.; Powell, K.E.; Bauman, A.; Lee, I.M.; Lancet Physical Activity Series 2 Executive Committe; Lancet Sedentary Behaviour Working Group. Does physical activity attenuate, or even eliminate, the detrimental association of sitting time with mortality? A harmonised meta-analysis of data from more than 1 million men and women. Lancet 2016, 388, 1302–1310. [Google Scholar] [CrossRef]
- Ashdown-Franks, G.; Vancampfort, D.; Firth, J.; Smith, L.; Sabiston, C.M.; Stubbs, B.; Koyanagi, A. Association of leisure-time sedentary behavior with fast food and carbonated soft drink consumption among 133,555 adolescents aged 12–15 years in 44 low-and middle-income countries. Int. J. Behav. Nutr. Phys. Act. 2019, 16, 35. [Google Scholar] [CrossRef] [PubMed]
- Sisson, S.B.; Camhi, S.M.; Church, T.S.; Martin, C.K.; Tudor-Locke, C.; Bouchard, C.; Earnest, C.P.; Smith, S.R.; Newton, R.L.; Rankinen, T.; et al. Leisure time sedentary behavior, occupational/domestic physical activity, and metabolic syndrome in U.S. men and women. Metab. Syndr. Relat. Disord. 2009, 7, 529–536. [Google Scholar] [CrossRef] [PubMed]
- Liu, S.; Wang, W.; Zhang, J.; He, Y.; Yao, C.; Zeng, Z.; Piao, J.; Howard, B.V.; Fabsitz, R.R.; Best, L.; et al. Prevalence of diabetes and impaired fasting glucose in Chinese adults, China National Nutrition and Health Survey, 2002. Prev. Chronic Dis. 2011, 8, A13. [Google Scholar] [PubMed]
- He, Y.; Li, Y.; Yang, X.; Hemler, E.C.; Fang, Y.; Zhao, L.; Zhang, J.; Yang, Z.; Wang, Z.; He, L.; et al. The dietary transition and its association with cardiometabolic mortality among Chinese adults, 1982–2012: A cross-sectional population-based study. Lancet Diabetes Endocrinol. 2019, 7, 540–548. [Google Scholar] [CrossRef]
- Mielke, G.I.; Burton, N.W.; Turrell, G.; Brown, W.J. Temporal trends in sitting time by domain in a cohort of mid-age Australian men and women. Maturitas 2018, 116, 108–115. [Google Scholar] [CrossRef] [PubMed]
- Chang, J.L.; Wang, Y. Comprehensive Report on Chinese Residents’ Nutrition and Health in 2010–2013; Peking University Medical Press: Beijing, China, 2016; pp. 96–116. [Google Scholar]
- Bauman, A.; Ainsworth, B.E.; Sallis, J.F.; Hagströmer, M.; Craig, C.L.; Bull, F.C.; Pratt, M.; Venugopal, K.; Chau, J.; Sjöström, M.; et al. The Descriptive Epidemiology of Sitting: A 20-Country Comparison Using the International Physical Activity Questionnaire (IPAQ). Am. J. Prev. Med. 2011, 41, 228–235. [Google Scholar] [CrossRef]
- World Health Organization. Global Action Plan on Physical Activity 2018–2030: More Active People for a Healthier World. Available online: https://www.who.int/ncds/prevention/physical-activity/global-action-plan-2018-2030/en/ (accessed on 19 March 2019).
- Piercy, K.L.; Troiano, R.P.; Ballard, R.M.; Carlson, S.A.; Fulton, J.E.; Galuska, D.A.; George, S.M.; Olson, R.D. The physical activity guidelines for Americans. JAMA 2018, 320, 2020–2028. [Google Scholar] [CrossRef]
- Schmid, D.; Leitzmann, M.F. Television viewing and time spent sedentary in relation to cancer risk: A meta-analysis. J. Natl. Cancer Inst. 2014, 106. [Google Scholar] [CrossRef]
- Patterson, R.; McNamara, E.; Tainio, M.; de Sá, T.H.; Smith, A.D.; Sharp, S.J.; Edwards, P.; Woodcock, J.; Brage, S.; Wijndaele, K. Sedentary behaviour and risk of all-cause, cardiovascular and cancer mortality, and incident type 2 diabetes: A systematic review and dose response meta-analysis. Eur. J. Epidemiol. 2018, 33, 811–829. [Google Scholar] [CrossRef]
- Healy, G.N.; Clark, B.K.; Winkler, E.A.; Gardiner, P.A.; Brown, W.J.; Matthews, C.E. Measurement of adults’ sedentary time in population-based studies. Am. J. Prev. Med. 2011, 41, 216–227. [Google Scholar] [CrossRef]




| Variables | 2002 | 2010–2012 |
|---|---|---|
| Total | 52,697 (100.0) | 131,560 (100.0) |
| Gender | ||
| Female | 27,737 (52.6) | 73,282 (55.7) |
| Male | 24,960 (47.4) | 58,278 (44.3) |
| Age group(year) | ||
| 18–29.9 | 7994 (15.2) | 13,820 (10.5) |
| 30–39.9 | 12,934 (24.5) | 18,779 (14.3) |
| 40–49.9 | 33,654 (22.1) | 29,810 (22.7) |
| 50–59.9 | 10,195 (19.3) | 30,898 (23.5) |
| ≥60 | 9920 (18.8) | 38,253 (29.1) |
| Region | ||
| Urban | 17,458 (33.1) | 65,219 (49.6) |
| Rural | 35,239 (66.9) | 66,341 (50.4) |
| Occupation | ||
| Employed | 12,625 (24.0) | 31,914 (24.3) |
| Farmers | 22,801 (43.3) | 38,717 (29.4) |
| Unemployed | 17,271 (32.8) | 60,929 (46.3) |
| Marital Status | ||
| Yes | 45,889 (87.1) | 115,402 (87.7) |
| No | 6808 (12.9) | 16,158 (12.3) |
| Educational Level | ||
| Illiterate and primary school graduate | 22,267 (42.3) | 54,335 (41.3) |
| Middle school graduate | 18,434 (35.0) | 45,767 (34.8) |
| High school graduate or higher | 11,996 (22.7) | 31,458 (23.9) |
| Family economic level | ||
| Grade 1 | 7562 (14.3) | 35,498 (27.0) |
| Grade 2 | 15,681 (29.8) | 32,381 (24.6) |
| Grade 3 | 15,295 (29.0) | 25,225 (19.2) |
| Grade 4 | 9050 (17.2) | 23,925 (18.2) |
| Grade 5 | 5109 (9.7) | 14,531 (11.0) |
| Variables | Total SB | Leisure Time SB | Occupational SB # | |||
|---|---|---|---|---|---|---|
| 2002 | 2010–2012 | 2002 | 2010–2012 | 2002 | 2010–2012 | |
| Total | 3.0 (2.0–5.0) | 3.0 (2.0–5.0) ** | 2.0 (1.5–3.0) | 2.0 (2.0–3.0) ** | 4.0 (2.0–6.0) | 4.0 (2.0–6.0) ** |
| Gender | ||||||
| Female | 2.0 (1.5–4.0) | 3.0 (2.0–5.0) ** | 2.0 (1.0–3.0) | 2.0 (2.0–3.0) ** | 5.0 (2.5–6.0) | 4.0 (2.0–6.0) ** |
| Male | 3.0 (2.0–6.0) | 3.0 (2.0–6.0) ** | 2.5 (1.5–3.5) | 2.5 (2.0–3.0) ** | 4.0 (2.0–6.0) | 3.0 (2.0–6.0) ** |
| Age group (year) | ||||||
| 18–29.9 | 3.5 (2.0–7.0) | 4.0 (2.5–6.5) ** | 3.0 (2.0–4.0) | 3.0 (2.0–4.0) ** | 4.0 (2.0–6.0) | 4.0 (2.0–6.0) ** |
| 30–39.9 | 3.0 (2.0–6.0) | 3.0 (2.0–6.0) ** | 2.0 (1.5–3.0) | 2.0 (2.0–3.0) ** | 4.0 (2.5–6.0) | 4.0 (2.0–6.0) ** |
| 40–49.9 | 3.0 (2.0–5.5) | 3.0 (2.0–5.0) ** | 2.0 (1.5–3.0) | 2.0 (2.0–3.0) ** | 4.0 (3.0–6.0) | 4.0 (2.0–6.0) ** |
| 50–59.9 | 2.0 (1.5–4.0) | 3.0 (2.0–4.0) ** | 2.0 (1.0–3.0) | 2.0 (2.0–3.0) ** | 4.0 (3.0–6.0) | 3.0 (2.0–6.0) ** |
| ≥60 | 2.0 (1.0–3.0) | 2.5 (2.0–4.0) ** | 2.0 (1.0–3.0) | 2.0 (2.0–4.0) ** | 4.6 (3.0–6.0) | 3.0 (1.0–5.0) ** |
| Region | ||||||
| Urban | 4.0 (2.5–7.5) | 4.0 (2.0–7.0) ** | 3.0 (2.0–4.0) | 3.0 (2.0–4.0) ** | 5.0 (2.0–6.0) | 4.0 (2.0–6.0) ** |
| Rural | 2.0 (1.0–4.0) | 3.0 (2.0–4.0) ** | 2.0 (1.0–3.0) | 2.0 (2.0–3.0) ** | 6.0 (4.0–8.0) | 5.0 (3.0–8.0) ** |
| Occupation | ||||||
| Employed | 7.5 (5.0–10.0) | 6.0 (4.0–9.0) ** | 3.0(2.0–4.0) | 2.0 (2.0–3.0) ** | 4.0 (2.0–6.0) | 4.0 (2.0–6.0) ** |
| Farmers | 2.0 (1.0–3.0) | 2.0 (2.0–3.0) ** | 2.0 (1.0–3.0) | 2.0 (2.0–3.0) ** | / | / |
| Unemployed | 2.5 (1.5–4.0) | 3.0 (2.0–4.0) ** | 2.5 (1.5–4.0) | 3.0 (2.0–4.0) ** | / | / |
| Marital Status | ||||||
| Yes | 2.9 (2.0–5.0) | 3.0 (2.0–5.0) ** | 2.0 (1.5–3.0) | 2.0 (2.0–3.0) ** | 4.0 (2.0–6.0) | 4.0 (2.0–6.0) ** |
| No | 3.0 (2.0–6.0) | 4.0 (2.0–6.0) ** | 2.5 (1.5–4.0) | 3.0 (2.0–4.0) ** | 4.0 (2.0–6.0) | 4.0 (2.0–6.0) ** |
| Educational Level | ||||||
| Illiterate and primary school graduate | 2.0 (1.0–3.0) | 2.0 (2.0–4.0) ** | 2.0 (1.0–2.5) | 2.0 (2.0–3.0) ** | 4.0 (1.5–6.0) | 2.0 (1.0–5.0) ** |
| Middle school graduate | 3.0 (2.0–4.5) | 3.0 (2.0–5.0) ** | 2.5 (2.0–3.0) | 2.3 (2.0–3.0) ** | 4.0 (2.0–6.0) | 3.0 (1.0–5.0) ** |
| High school graduate or higher | 6.0 (3.0–9.0) | 5.0 (3.0–8.0) ** | 3.0(2.0–4.0) | 3.0 (2.0–4.0) ** | 5.0 (3.0–6.0) | 5.0 (3.0–6.0) ** |
| Family economic level | ||||||
| Grade 1 | 2.0 (1.0–3.0) | 3.0 (2.0–4.0) ** | 2.0 (1.0–3.0) | 2.0 (2.0–3.0) ** | 4.0 (2.0–6.0) | 3.0 (1.0–5.0) ** |
| Grade 2 | 2.0 (1.0–3.0) | 3.0 (2.0–4.0) ** | 2.0 (1.0–3.0) | 2.0 (2.0–3.0) ** | 4.0 (2.0–6.0) | 3.0 (1.0–5.0) ** |
| Grade 3 | 2.0 (1.0–3.0) | 2.0 (1.5–3.0) ** | 2.0 (1.5–3.0) | 2.5 (2.0–3.0) ** | 4.0 (2.0–6.0) | 4.0 (2.0–6.0) ** |
| Grade 4 | 4.5 (2.5–8.0) | 4.0 (2.0–6.5) ** | 3.0 (2.0–4.0) | 3.0 (2.0–4.0) ** | 4.0 (2.0–6.0) | 4.0 (2.0–6.0) ** |
| Grade 5 | 5.5 (3.0–9.0) | 5.0 (3.0–8.0) ** | 3.0 (2.0–4.0) | 3.0 (2.0–4.0) ** | 5.0 (3.0–6.0) | 5.0 (3.0–7.0) ** |
| Variables | Total SB Time ≥ 4 h/d | Leisure SB Time ≥ 3 h/d | Occupational SB Time ≥ 4 h/d | |||||||||
|---|---|---|---|---|---|---|---|---|---|---|---|---|
| 2002 | 2010–2012 | Absolute Change (%) | Relative Change (%) | 2002 | 2010–2012 | Absolute Change (%) | Relative Change (%) | 2002 | 2010–2012 | Absolute Change (%) | Relative Change (%) | |
| Total | 35.4 | 43.0 | +7.6 ** | +21.5 | 42.0 | 48.0 | +6.0 ** | +14.3 | 63.4 | 53.0 | −10.4 ** | −16.4 |
| Gender | ||||||||||||
| Female | 29.8 | 38.3 | +8.5** | +28.5 | 38.0 | 46.1 | +8.1 ** | +21.3 | 66.4 | 59.7 | −6.7 ** | −10.1 |
| Male | 40.8 | 47.6 | +6.8** | +16.7 | 46.0 | 49.8 | +3.8 ** | +8.3 | 61.6 | 49.1 | −12.5 ** | −20.3 |
| Age group (year) | ||||||||||||
| 18–29.9 | 47.8 | 55.5 | +7.7 ** | +16.1 | 53.2 | 55.5 | +2.3 * | +4.3 | 60.7 | 54.3 | −6.4 ** | −10.5 |
| 30–39.9 | 38.3 | 49.1 | +10.8 ** | +28.2 | 41.0 | 44.7 | +3.7 ** | +9.0 | 64.7 | 55.8 | −8.9 ** | −13.8 |
| 40–49.9 | 36.2 | 41.3 | +5.1 ** | +14.1 | 38.9 | 44.4 | +5.5 ** | +14.1 | 65.1 | 50.7 | −14.4 ** | −22.1 |
| 50–59.9 | 26.5 | 33.6 | +7.1 ** | +26.8 | 37.3 | 45.6 | +8.3 ** | +22.3 | 66.2 | 48.5 | −17.7 ** | −26.7 |
| ≥60 | 19.8 | 27.3 | +7.5 ** | +37.9 | 34.5 | 47.3 | +12.8 ** | +37.1 | 63.2 | 41.3 | −21.9 ** | −34.7 |
| Region | ||||||||||||
| Urban | 56.3 | 45.2 | −11.1 ** | −19.7 | 57.6 | 51.8 | −5.8 ** | −10.1 | 65.3 | 59.2 | −6.1 ** | −9.3 |
| Rural | 25.3 | 31.8 | +6.5 ** | +25.7 | 34.6 | 44.5 | +9.9 ** | +28.6 | 61.3 | 41.4 | −19.9 ** | −32.5 |
| Occupation | ||||||||||||
| Employed | 86.9 | 83.1 | −3.8 ** | −4.4 | 57.3 | 45.9 | −11.4 ** | −19.9 | 63.4 | 53.0 | −10.4 ** | −16.4 |
| Farmers | 9.6 | 14.4 | +4.8 ** | +50.0 | 28.7 | 40.8 | +12.1 ** | +42.2 | / | / | / | / |
| Unemployed | 27.6 | 30.5 | +2.9 ** | +10.5 | 47.5 | 54.7 | +7.2 ** | +15.2 | / | / | / | / |
| Marital Status | ||||||||||||
| Yes | 33.8 | 40.8 | +7.0 ** | +20.7 | 40.6 | 46.1 | +5.5 ** | +13.5 | 64.2 | 52.9 | −11.3 ** | −17.6 |
| No | 41.6 | 52.9 | +11.3 ** | +27.2 | 47.8 | 56.2 | +8.4 ** | +17.6 | 60.9 | 53.5 | −7.4 ** | −12.2 |
| Educational Level | ||||||||||||
| Illiterate and primary school graduate | 13.0 | 26.1 | +13.1 ** | +100.8 | 24.3 | 42.0 | +17.7 ** | +72.8 | 51.6 | 35.8 | −15.8 ** | −30.6 |
| Middle school graduate | 35.1 | 40.9 | +5.8 ** | +16.5 | 44.9 | 48.8 | +3.9 ** | +8.7 | 57.4 | 42.5 | −14.9 ** | −26.0 |
| High school graduate or higher | 71.1 | 65.7 | −5.4 ** | −7.6 | 65.5 | 53.8 | −11.7 ** | −17.9 | 69.3 | 65.3 | −4.0 ** | −5.8 |
| Family economic level | ||||||||||||
| Grade 1 | 14.7 | 29.3 | +14.6 ** | +99.3 | 26.8 | 42.9 | +16.1 ** | +60.1 | 54.5 | 39.0 | −15.5 ** | −28.4 |
| Grade 2 | 21.1 | 37.6 | +16.5 ** | +78.2 | 33.5 | 47.2 | +13.7 ** | +40.9 | 59.2 | 44.0 | −15.2 ** | −25.7 |
| Grade 3 | 36.6 | 45.7 | +9.1 ** | +24.9 | 42.5 | 49.1 | +6.6 ** | +15.5 | 59.4 | 50.8 | −8.6 ** | −14.5 |
| Grade 4 | 57.3 | 54.1 | −3.2 ** | −5.6 | 56.1 | 52.0 | −4.1 ** | −7.3 | 65.0 | 60.0 | −5.0 ** | −7.7 |
| Grade 5 | 69.6 | 64.3 | −5.3 ** | −7.6 | 66.0 | 53.3 | −12.7 * | −19.2 | 72.2 | 68.1 | −4.1 ** | −5.7 |
| Independent Variables | Odds Ratio (95% Confidence Intervals) | ||
|---|---|---|---|
| Total SB Time ≥ 4 h/d | Leisure SB Time ≥ 3 h/d | Occupational SB # Time ≥ 4 h/d | |
| Gender | |||
| Female | 1.0 | 1.0 | 1.0 |
| Male | 1.10 (1.10–1.11) | 1.27 (1.27–1.28) | 0.74 (0.74–0.74) |
| Age group (year) | |||
| 18–29.9 | 1.0 | 1.0 | 1.0 |
| 30–39.9 | 0.78 (0.77–0.78) | 0.75 (0.75–0.75) | 1.03 (1.03–1.04) |
| 40–49.9 | 0.73 (0.73–0.73) | 0.76 (0.76–0.76) | 0.95 (0.95–0.96) |
| 50–59.9 | 0.68 (0.68–0.69) | 0.72 (0.72–0.73) | 0.90 (0.89–0.90) |
| ≥60 | 0.75 (0.75–0.75) | 0.69 (0.68–0.69) | 1.01 (1.00–1.01) |
| Region | |||
| Rural | 1.0 | 1.0 | 1.0 |
| Urban | 1.26 (1.26–1.27) | 1.12 (1.12–1.12) | 1.31 (1.30–1.31) |
| Occupation | |||
| Unemployed | 1.0 | 1.0 | / |
| Farmers | 0.52 (0.52–0.52) | 0.65 (0.65–0.66) | / |
| Employed | 9.56 (9.55–9.56) | 0.55 (0.55–0.55) | / |
| Marital Status | |||
| Yes | 1.0 | 1.0 | 1.0 |
| No | 1.28 (1.27–1.28) | 1.29 (1.28–1.29) | 0.90 (0.89–0.90) |
| Educational Level | |||
| Illiterate and primary school graduate | 1.0 | 1.0 | 1.0 |
| Middle school graduate | 1.11 (1.10–1.11) | 1.20 (1.19–1.20) | 1.26 (1.25–1.26) |
| High school graduate or higher | 1.53 (1.53–1.53) | 1.35 (1.35–1.36) | 2.50 (2.49–2.50) |
| Family economic level | |||
| Grade 1 | 1.0 | 1.0 | 1.0 |
| Grade 2 | 1.12 (1.11–1.12) | 1.16 (1.16–1.16) | 1.12 (1.14–1.15) |
| Grade 3 | 1.26 (1.26–1.27) | 1.21 (1.20–1.21) | 1.34 (1.33–1.34) |
| Grade 4 | 1.46 (1.45–1.46) | 1.31 (1.30–1.31) | 1.72 (1.71–1.72) |
| Grade 5 | 1.65 (1.64–1.65) | 1.36 (1.36–1.37) | 2.11 (2.11–2.12) |
© 2019 by the authors. Licensee MDPI, Basel, Switzerland. This article is an open access article distributed under the terms and conditions of the Creative Commons Attribution (CC BY) license (http://creativecommons.org/licenses/by/4.0/).
Share and Cite
Ding, C.; Feng, G.; Yuan, F.; Gong, W.; Yao, Y.; Ma, Y.; Zhang, Y.; Liu, A. Temporal Trends and Recent Correlates in Sedentary Behaviors among Chinese Adults from 2002 to 2010–2012. Int. J. Environ. Res. Public Health 2020, 17, 158. https://doi.org/10.3390/ijerph17010158
Ding C, Feng G, Yuan F, Gong W, Yao Y, Ma Y, Zhang Y, Liu A. Temporal Trends and Recent Correlates in Sedentary Behaviors among Chinese Adults from 2002 to 2010–2012. International Journal of Environmental Research and Public Health. 2020; 17(1):158. https://doi.org/10.3390/ijerph17010158
Chicago/Turabian StyleDing, Caicui, Ganyu Feng, Fan Yuan, Weiyan Gong, Yecheng Yao, Yanning Ma, Yan Zhang, and Ailing Liu. 2020. "Temporal Trends and Recent Correlates in Sedentary Behaviors among Chinese Adults from 2002 to 2010–2012" International Journal of Environmental Research and Public Health 17, no. 1: 158. https://doi.org/10.3390/ijerph17010158
APA StyleDing, C., Feng, G., Yuan, F., Gong, W., Yao, Y., Ma, Y., Zhang, Y., & Liu, A. (2020). Temporal Trends and Recent Correlates in Sedentary Behaviors among Chinese Adults from 2002 to 2010–2012. International Journal of Environmental Research and Public Health, 17(1), 158. https://doi.org/10.3390/ijerph17010158
