Survival of Microorganisms on Nonwovens Used for the Construction of Filtering Facepiece Respirators
Abstract
1. Introduction
2. Materials and Methods
2.1. Filtering Nonwovens
2.2. Assessment of the Survival of Microorganisms on Nonwovens
2.3. Structural Parameters and Contact angle Determination
3. Results and Discussion
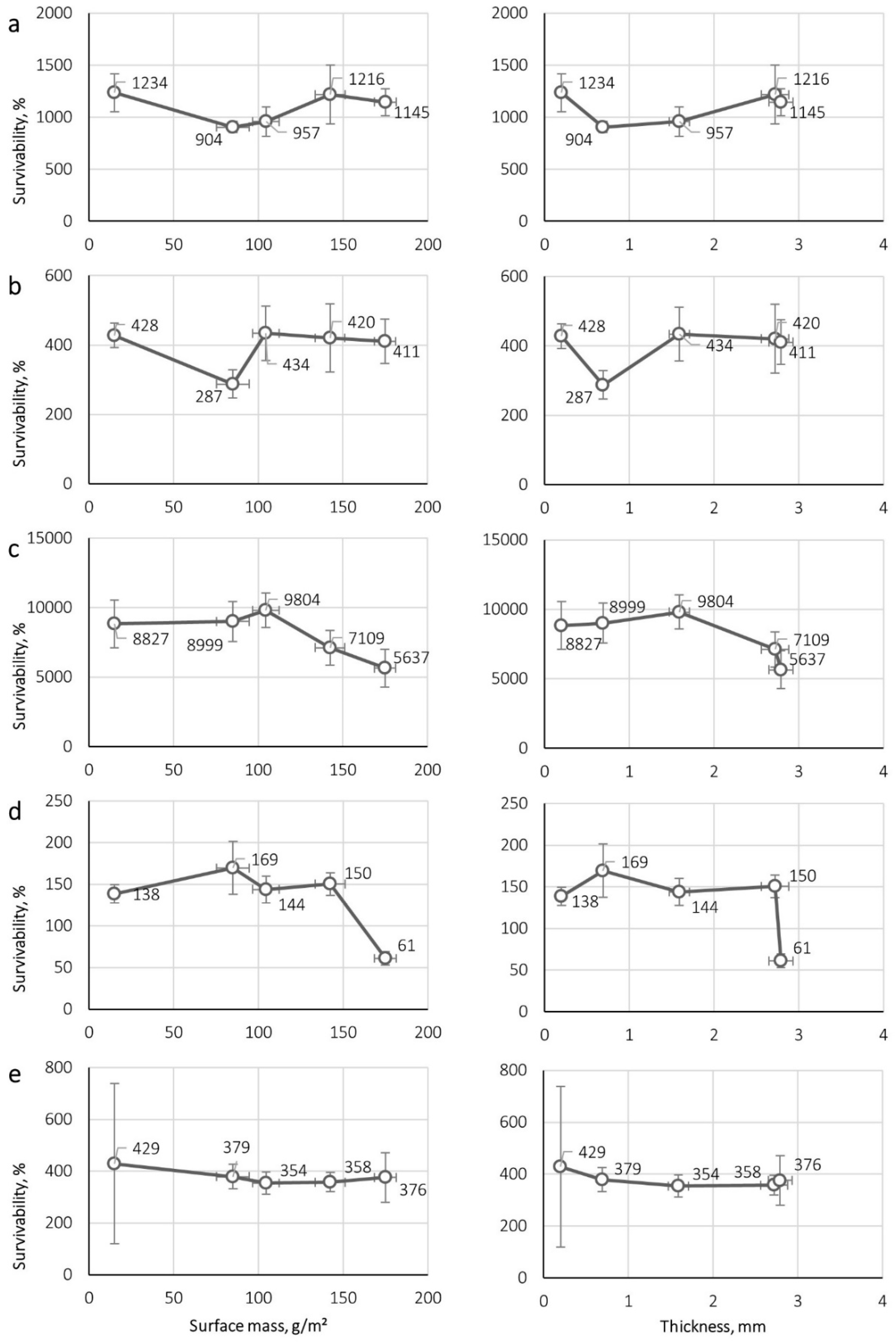
3.1. Assessment of the Survival of Microorganisms on Nonwovens
3.2. Nonwovens Structural Parameters and Contact Angle
4. Conclusions
Supplementary Materials
Author Contributions
Funding
Acknowledgments
Conflicts of Interest
References
- Rubino, I.; Choi, H.-J. Respiratory Protection against pandemic and epidemic diseases. Trends Biotechnol. 2017, 35, 907–910. [Google Scholar] [CrossRef] [PubMed]
- Coulliette, A.D.; Perry, K.A.; Edwards, J.R.; Noble-Wang, J.A. Persistence of the 2009 pandemic influenza A (H1N1) virus on N95 respirators. Appl. Environ. Microbiol. 2013, 79, 2148–2155. [Google Scholar] [CrossRef] [PubMed]
- European Standard EN 149. Respiratory Protective Devices. Filtering Half Masks to Protect against Particles. Requirements, Testing, Marking; EN 149:2001+A1:2009; European Committee for Standardization: Bruxelles, Belgium, 2009. [Google Scholar]
- Majchrzycka, K.; Gutarowska, B.; Brochocka, A.; Brycki, B. New filtering antimicrobial nonwovens with various carriers for biocides as respiratory protective materials against bioaerosol. Int. J. Occup. Saf. Ergon. 2012, 3, 375–385. [Google Scholar] [CrossRef] [PubMed]
- Gutarowska, B.; Skóra, J.; Nowak, E.; Łysiak, I.; Wdówka, M. Antimicrobial activity and filtration effectiveness of nonwovens with Sanitized for respiratory protective equipment. Fibres Text. East. Eur. 2014, 22, 120–125. [Google Scholar]
- Gutarowska, B.; Michalski, A. Antimicrobial activity of filtrating meltblown nonwoven with the additions of silver ions. Fibres Text. East. Eur. 2009, 3, 23–28. [Google Scholar]
- Brochocka, A.; Majchrzycka, K. Technology for the production of bioactive melt-blown filtration materials applied to respiratory protective devices. Fibres Text. East. Eur. 2009, 5, 92–98. [Google Scholar]
- Rengasamy, S.; Fisher, E.; Shaffer, R.E. Evaluation of the survivability of MS2 viral aerosols deposited on filtering face piece respirator samples incorporating antimicrobial technologies. Am. J. Infect. Control 2010, 38, 9–17. [Google Scholar] [CrossRef]
- Kamiyama, Y.; Adachi, K.; Handharyani, E.; Soejoedono, R.D.; Kusano, T.; Inai, M.; Tsukamoto, M.; Kashiwagi, S.; Tsukamoto, Y. Protection from avian influenza H5N1 virus infection with antibody-impregnated filters. Virol. J. 2011, 8, 54. [Google Scholar] [CrossRef] [PubMed]
- Quan, F.S.; Rubio, I.; Lee, S.-H.; Koch, B.; Choi, H.-J. Universal and reusable virus deactivation system for respiratory protection. Sci. Rep. 2017, 7, 39956. [Google Scholar] [CrossRef]
- Nicas, M.; Best, D. A study quantifying the hand-to-face contact rate and its potential application to predicting respiratory tract infection. J. Occup. Environ. Hyg. 2008, 5, 347–352. [Google Scholar] [CrossRef]
- Majchrzycka, K.; Okrasa, M.; Szulc, J.; Brycki, B.; Gutarowska, B. Time-dependent antimicrobial activity of filtering nonwovens with gemini surfactant-based biocides. Molecules 2017, 22, 1620. [Google Scholar] [CrossRef] [PubMed]
- Majchrzycka, K.; Okrasa, M.; Brycki, B.; Skóra, J.; Gutarowska, B. Application of bioactive porous structures with time-dependent activity into high-efficiency filtering melt-blown nonwovens. Przem. Chem. 2017, 96, 534–538. [Google Scholar]
- Li, Y.; Leung, P.; Yao, L.; Song, Q.W.; Newton, E. Antimicrobial effect of surgical masks coated with nanoparticles. J. Hosp. Infect. 2006, 62, 58–63. [Google Scholar] [CrossRef] [PubMed]
- Tseng, C.C.; Pan, Z.-M.; Chang, C.-H. Application of a quaternary ammonium agent on surgical face masks before use for pre-decontamination of nosocomial infection-related bioaerosols. Aerosol Sci. Technol. 2016, 50, 199–210. [Google Scholar] [CrossRef]
- Szulc, J.; Otlewska, A.; Okrasa, M.; Majchrzycka, K.; Sulyok, M.; Gutarowska, B. Microbiological contamination at workplaces in a combined heat and power (CHP) station processing plant biomass. Int. J. Environ. Res. Public Health 2017, 14, 99. [Google Scholar] [CrossRef]
- Bonnevie Perrier, J.C.; Le Coq, L.; Andres, Y.; Le Cloire, P. SFGP 2007—Microbial growth onto filter media used in air treatment devices. Int. J. Chem. React. Eng. 2008, 6. [Google Scholar] [CrossRef]
- Brosseau, L.M.; McCullough, N.V.; Vesley, D. Bacterial survival on respirator filters and surgical masks. Appl. Biosaf. 1997, 2, 232–243. [Google Scholar] [CrossRef]
- Maus, R.; Goppelsroder, A.; Umhauer, H. Survival of bacterial and mold spores in air filter media. Atmos. Environ. 2001, 35, 105–113. [Google Scholar] [CrossRef]
- Pasanen, A.L.; Keinanen, J.; Kalliokoski, P.; Martikainen, P.I.; Ruuskanen, J. Microbial growth on respirator filters from improper storage. Scand. J. Work Environ. Health 1993, 19, 421–425. [Google Scholar] [CrossRef]
- Majchrzycka, K.; Okrasa, M.; Skóra, J.; Gutarowska, B. Evaluation of the survivability of microorganisms deposited on filtering respiratory protective devices under varying conditions of humidity. Int. J. Environ. Res. Public Health 2016, 13, 98. [Google Scholar] [CrossRef]
- Majchrzycka, K.; Okrasa, M.; Szulc, J.; Gutarowska, B. The impact of dust in filter materials of respiratory protective devices on the microorganisms viability. Int. J. Ind. Ergon. 2017, 58, 109–116. [Google Scholar] [CrossRef]
- Majchrzycka, K.; Okrasa, M.; Jachowicz, A.; Szulc, J.; Gutarowska, B. Microbial growth on dust-loaded filtering materials used for the protection of respiratory tract as a factor affecting filtration efficiency. Int. J. Environ. Res. Public Health 2018, 15, 1902. [Google Scholar] [CrossRef] [PubMed]
- Lai, A.C.K.; Poon, C.K.M.; Cheung, A.C.T. Effectiveness of facemasks to reduce exposure hazard for airborne infections among general populations. JRC Soc. Interface 2012, 9, 938–948. [Google Scholar] [CrossRef] [PubMed]
- Makison Booth, C.; Clayton, M.; Crook, B.; Gawn, J.M. Effectiveness of surgical masks against influenza bioaerosol. J. Hosp. Infect. 2013, 84, 22–26. [Google Scholar] [CrossRef] [PubMed]
- Sublett, J.L. Effectiveness of air filters and air cleaners in allergic respiratory diseases: A review of the recent literature. Curr. Allergy Asthma Rep. 2011, 11, 395–402. [Google Scholar] [CrossRef] [PubMed]
- AATCC Test Method 100-2004. Antibacterial Finishes on Textile Materials: Assessment of Antibacterial Finishes on Textile Materials. Technical Manual/2010. 2004. Available online: http://www. manufacturingsolutionscenter.org/aatcc-100-antibacterial-finishes-textile.html (accessed on 14 February 2019).
- European Standard EN 29073-1:1992. Methods of Test for Nonwovens. Methods of Test for Nonwovens. Determination of Mass per Unit Area; European Committee for Standardization: Bruxelles, Belgium, 1992. [Google Scholar]
- European Standard EN ISO 5084:1996. Textiles. Determination of Thickness of Textiles and Textile Products; European Committee for Standardization: Bruxelles, Belgium, 1996. [Google Scholar]



| Notation | Raw Material Composition | Type of Nonwoven | Function in FFR |
|---|---|---|---|
| A | polypropylene/polyacrylonitrile (PP/PEL) | needle-punched nonwoven | stiffening of the FFR structure, pre-filtration of coarse dust particles |
| B | polyethylene (PET) | ||
| C | polypropylene (PPQ) | corona charged melt-blown nonwoven | high-efficiency filtration of fine dust particles |
| D | polypropylene (PP) | spun-bonded nonwoven | pre-filtration of coarse dust particles |
| E | polypropylene (PP) | calandered needle-punched nonwoven | stiffening of the FFR structure, |
| Microorganisms | Species | Collection Reference Number | Inoculum Density, CFU/mL | |
|---|---|---|---|---|
| Bacteria | Escherichia coli | ATCC 10536 | 1.12 × 109 ± 4.06 × 108 | |
| Staphylococcus aureus | ATCC 6538 | 1.05 × 109 ± 3.60 × 108 | ||
| Bacillus subtilis | NCAIM 01644 | 6.67 × 108 ± 1.06 × 108 | ||
| Fungi | Yeast | Candida albicans | ATCC 10231 | 1.32 × 108 ± 1.93 × 107 |
| Mould | Aspergillus niger | ATCC 16404 | 3.70 × 107 ± 8.87 × 106 | |
| Type of Nonwoven | Mass per unit Area, g/m2 | Thickness, mm | Contact Angle, Θ |
|---|---|---|---|
| A | 142.4 ± 8.8 | 2.72 ± 0.16 | 128.0 ± 6.9 |
| B | 174.9 ± 6.3 | 2.79 ± 0.14 | 119.6 ± 8.6 |
| C | 104.5 ± 7.8 | 1.59 ± 0.12 | 135.0 ± 5.2 |
| D | 15.1 ± 1.5 | 0.20 ± 0.01 | 122.8 ± 8.8 |
| E | 85.0 ± 9.6 | 0.69 ± 0.02 | 94.9 ± 4.0 |
© 2019 by the authors. Licensee MDPI, Basel, Switzerland. This article is an open access article distributed under the terms and conditions of the Creative Commons Attribution (CC BY) license (http://creativecommons.org/licenses/by/4.0/).
Share and Cite
Majchrzycka, K.; Okrasa, M.; Szulc, J.; Jachowicz, A.; Gutarowska, B. Survival of Microorganisms on Nonwovens Used for the Construction of Filtering Facepiece Respirators. Int. J. Environ. Res. Public Health 2019, 16, 1154. https://doi.org/10.3390/ijerph16071154
Majchrzycka K, Okrasa M, Szulc J, Jachowicz A, Gutarowska B. Survival of Microorganisms on Nonwovens Used for the Construction of Filtering Facepiece Respirators. International Journal of Environmental Research and Public Health. 2019; 16(7):1154. https://doi.org/10.3390/ijerph16071154
Chicago/Turabian StyleMajchrzycka, Katarzyna, Małgorzata Okrasa, Justyna Szulc, Anita Jachowicz, and Beata Gutarowska. 2019. "Survival of Microorganisms on Nonwovens Used for the Construction of Filtering Facepiece Respirators" International Journal of Environmental Research and Public Health 16, no. 7: 1154. https://doi.org/10.3390/ijerph16071154
APA StyleMajchrzycka, K., Okrasa, M., Szulc, J., Jachowicz, A., & Gutarowska, B. (2019). Survival of Microorganisms on Nonwovens Used for the Construction of Filtering Facepiece Respirators. International Journal of Environmental Research and Public Health, 16(7), 1154. https://doi.org/10.3390/ijerph16071154

