Smoking and Physical Activity Trajectories from Childhood to Midlife
Abstract
1. Introduction
2. Methods
2.1. Study Design and Participants
2.2. Physical Activity and Smoking
2.3. Ethics and Consent
2.4. Statistical Analysis
3. Results
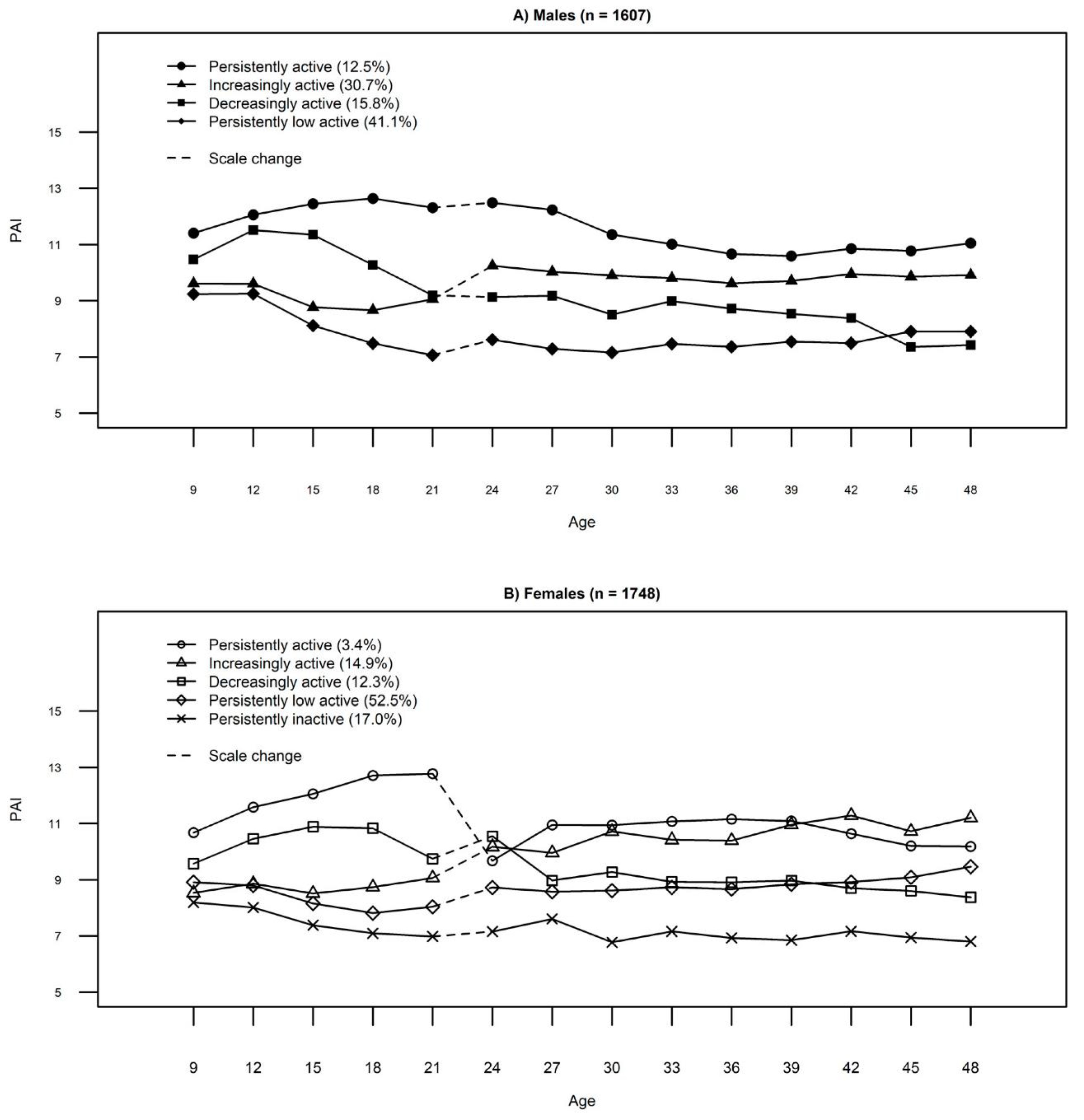
3.1. Physical Activity
3.2. Smoking
4. Discussion
5. Conclusions
Supplementary Materials
Author Contributions
Funding
Conflicts of Interest
References
- Lim, S.S.; Vos, T.; Flaxman, A.D.; Danaei, G.; Shibuya, K.; Adair-Rohani, H.; AlMazroa, M.A.; Amann, M.; Anderson, H.R.; Andrews, K.G.; et al. A comparative risk assessment of burden of disease and injury attributable to 67 risk factors and risk factor clusters in 21 regions, 1990–2010: A systematic analysis for the Global Burden of Disease Study 2010. Lancet 2013, 380, 2224–2260. [Google Scholar] [CrossRef]
- WHO. WHO Global Report on Trends in Prevalence of Tobacco Smoking; World Health Organization: Geneva, Switzerland, 2015. [Google Scholar]
- Shephard, J.; Johnson, N. Effects of physical activity upon the liver. Eur. J. Appl. Physiol. 2015, 115, 1–46. [Google Scholar] [CrossRef] [PubMed]
- Carter, B.; Abnet, C.C.; Feskanich, D.; Freedman, N.D.; Hartge, P.; Lewis, C.E.; Ockene, J.K.; Prentice, R.L.; Speizer, F.E.; Thun, M.J.; et al. Smoking and mortality—Beyond established causes. New Engl. J. Med. 2015, 372, 631–640. [Google Scholar] [CrossRef] [PubMed]
- Mozaffarian, D.; Benjamin, E.J.; Go, A.S.; Arnett, D.K.; Blaha, M.J.; Cushman, M.; Das, S.R.; de Ferranti, S.; Després, J.P.; Fullerton, H.J.; et al. Heart disease and stroke statistics—2016 update: A report from the American Heart Association. Circulation 2016, 133, e38–e360. [Google Scholar] [CrossRef] [PubMed]
- Héroux, M.; Janssen, E.; Lee, D.; Sui, X.; Hebert, J.R.; Blair, S.N. Clustering of unhealthy behaviors in the aerobics center. Prev. Med. 2012, 13, 183–195. [Google Scholar]
- Allegrante, J.P.; Allegrante, J.P.; Boutin-Foster, C.; Ogedegbe, G.; Charlson, M.E. Multiple health-risk behavior in a chronic disease population: What behaviors do people choose to change? Prev. Med. 2008, 46, 247–251. [Google Scholar] [CrossRef] [PubMed]
- Newsom, J.T.; McFarland, B.H.; Kaplan, M.S.; Huguet, N.; Zani, B. The health consciousness myth: Implications of the near independence of major health behaviors in the North American population. Soc. Sci. Med. 2005, 60, 433–437. [Google Scholar] [CrossRef] [PubMed]
- Telama, R.; Yang, X.; Leskinen, E.; Kankaanpaa, A.; Hirvensalo, M.; Tammelin, T.; Raitakari, O.T. Tracking of physical activity from early childhood through youth into adulthood. Med. Sci. Sports Exerc. 2014, 46, 955–962. [Google Scholar] [CrossRef]
- Telama, R.; Yang, X.; Viikari, J.; Välimäki, I.; Wanne, O.; Raitakari, O. Physical activity from childhood to adulthood: A 21-year tracking study. Am. J. Prev. Med. 2005, 28, 267–273. [Google Scholar] [CrossRef] [PubMed]
- Paavola, M.; Vartiainen, E.; Haukkala, A. Smoking, alcohol use, and physical activity: A 13-year longitudinal study ranging from adolescence into adulthood. J. Adolesc. Health 2004, 35, 238–244. [Google Scholar] [CrossRef]
- Masood, S.; Cappelli, C.; Li, Y.; Tanenbaum, H.; Chou, C.P.; Spruijt-Metz, D.; Palmer, P.H.; Johnson, C.A.; Xie, B. Cigarette smoking is associated with unhealthy patterns of food consumption, physical activity, sleep impairment, and alcohol drinking in Chinese male adults. Int. J. Public Health 2015, 60, 891–899. [Google Scholar] [CrossRef] [PubMed]
- MacArthur, G.J.; Smith, M.C.; Melotti, R.; Heron, J.; Macleod, J.; Hickman, M.; Kipping, R.R.; Campbell, R.; Lewis, G. Patterns of alcohol use and multiple risk behaviour by gender during early and late adolescence: The ALSPAC cohort. J. Public Health 2012, 4 (Suppl. 1), i20–i30. [Google Scholar] [CrossRef] [PubMed]
- Bryant, J.; Bonevski, B.; Paul, C.L.; Lecathelinais, C.L. A cross-sectional survey of health risk behaviour clusters among a sample of socially disadvantaged Australian welfare recipients. Aust. New Zealand J. Public Health 2013, 37, 118–123. [Google Scholar] [CrossRef] [PubMed]
- Noble, N.; Paul, C.; Turon, H.; Oldmeadow, C. Which modifiable health risk behaviours are related? A systematic review of the clustering of smoking, nutrition, alcohol and physical activity (‘SNAP’) health risk factors. Prev. Med. 2015, 81, 16–41. [Google Scholar] [CrossRef] [PubMed]
- Muthén, B.O. Latent variable mixture modeling. In Advanced Structural Equation Modeling: New Developments and Techniques; Marcoulides, G.A., Schumacker, R.E., Eds.; Erlbaum: Mahwah, NJ, USA, 2001; pp. 1–33. [Google Scholar]
- Nagin, D.S. Group-Based Modeling of Development; Harvard University Press: Cambridge, MA, USA, 2005; 214p. [Google Scholar]
- Nagin, D.S. Analyzing developmental trajectories: A semiparametric, group-based approach. Psychol. Methods 1999, 4, 139–157. [Google Scholar] [CrossRef]
- Lynne-Landsman, S.D.; Bradshaw, C.P.; Ialongo, N.S. Testing a developmental cascade model of adolescent substance use trajectories and young adult adjustment. Dev. Psychopathol. 2010, 22, 933–948. [Google Scholar] [CrossRef]
- Klein, E.G.; Bernat, D.H.; Lenk, K.M.; Forster, J.L. Nondaily smoking patterns in young adulthood. Addict. Behavior. 2013, 38, 2267–2272. [Google Scholar] [CrossRef]
- Akhtar-Khaleel, W.Z.; Cook, R.L.; Shoptow, S.; Surkan, P.J.; Teplin, L.A.; Stall, R.; Beyth, R.J.; Manini, T.M.; Plankey, M. Long-term cigarette smoking trajectories among HIV-seropositive and seronegative MSM in the multicenter AIDS cohort study. AIDS Behav. 2016, 20, 1–9. [Google Scholar] [CrossRef]
- De Leeuw, R.; Scholte, R.; Vermulst, A.; Engels, R. The relation between smoking-specific parenting and smoking trajectories of adolescents: How are changes in parenting related to changes in smoking? Psychol. Health 2010, 25, 999–1021. [Google Scholar] [CrossRef]
- Brook, D.W.; Brook, J.S.; Zhang, C.; Whiteman, M.; Cohen, P.; Finch, S.J. Developmental trajectories of cigarette smoking from adolescence to the early thirties: Personality and behavioral risk factors. Nicotine Tob. Res. 2008, 10, 1283–1291. [Google Scholar] [CrossRef]
- Caldeira, K.M.; O’Grady, K.E.; Garnier-Dykstra, L.M.; Vincent, K.B.; Pickworth, W.B.; Arria, A.M. Cigarette smoking among college students: Longitudinal trajectories and health outcomes. Nicotine Tob. Res. 2012, 14, 777–785. [Google Scholar] [CrossRef] [PubMed]
- Pollard, M.S.; Tucker, J.S.; Green, H.D.; Kennedy, D.; Go, M.H. Friendship networks and trajectories of adolescent tobacco use. Addict. Behav. 2010, 35, 678–685. [Google Scholar] [CrossRef] [PubMed]
- Oura, P.; Paananen, M.; Niinimäki, J.; Tammelin, T.; Herrala, S.; Auvinen, J.; Korpelainen, R.; Junno, J.A.; Karppinen, J. Effects of leisure-time physical activity on vertebral dimensions in the Northern Finland Birth Cohort 1966. Sci. Rep. 2016, 6, 27844. [Google Scholar] [CrossRef] [PubMed]
- Artaud, F.; Sabia, S.; Dugravot, A.; Kivimaki, M.; Singh-Manoux, A.; Elbaz, A. Trajectories of unhealthy behaviors in midlife and risk of disability at older ages in the Whitehall II Cohort Study. J. Gerontol. Ser. A Biol. Sci. Med Sci. 2016, 71, 1500–1506. [Google Scholar] [CrossRef] [PubMed]
- Audrain-McGovern, J.; Rodriquez, D.; Rodgers, K.; Cuevas, J.; Sass, J. Longitudinal variation in adolescent physical activity patterns and the emergence of tobacco use. J. Pediatric Psychol. 2012, 37, 622–633. [Google Scholar] [CrossRef] [PubMed]
- Rovio, S.; Yang, X.; Kankaanpää, A.; Aalto, V.; Hirvensalo, M.; Telama, R.; Pahkala, K.; Hutri-Kähönen, N.; Viikari, J.S.; Raitakari, O.T.; et al. Longitudinal physical activity trajectories from childhood to adulthood and their determinants: The Young Finns Study. Scand. J. Med. Sci. Sports 2017, 28, 1073–1083. [Google Scholar] [CrossRef]
- Loprinzi, P.D.; Walker, J.F. Association of longitudinal changes of physical activity on smoking cessation among young daily smokers. Phys. Act. Health 2016, 13, 1–5. [Google Scholar] [CrossRef]
- Loprinzi, P.D.; Wolfe, C.D.; Walker, J.F. Exercise facilitates smoking cessation indirectly via improvements in smoking-specific self-efficacy. Prospective cohort study among national sample of young smokers. Prev. Med. 2015, 81, 63–66. [Google Scholar] [CrossRef]
- Walker, J.F.; Loprinzi, P.D. Longitudinal examination pf predictors of smoking cessation in a national sample of U.S. adolescent and young adult smokers. Nicotine Tob. Res. 2014, 16, 820–827. [Google Scholar] [CrossRef]
- Hirvensalo, M.; Magnussen, C.G.; Yang, X.; Telama, R.; Heinonen, I.; Hutri-Kähönen, N.; Salin, K.; Viikari, J.; Raitakari, O.T.; Tammelin, T.H. Convergent validity of a physical activity questionnaire against objectively measured physical activity in adults: The Cardiovascular Risk in Young Finns Study. Adv. Phys. Educ. 2017, 7, 457–472. [Google Scholar] [CrossRef]
- Raitakari, O.T.; Juonala, M.; Rönnemaa, T.; Keltikangas-Järvinen, L.; Räsänen, L.; Pietikäinen, M.; Hutri-Kähönen, N.; Taittonen, L.; Jokinen, E.; Marniemi, J.; et al. Cohort profile: The cardiovascular risk in Young Finns Study. Int. J. Epidemiol. 2008, 37, 1220–1226. [Google Scholar] [CrossRef]
- Muthén, L.K.; Muthén, B. The Comprehensive Modelling Program for APPLIED Researchers: User’s Guide 5; Muthén & Muthén: Los Angeles, CA, USA, 2015; 315p. [Google Scholar]
- Nylund, K.L.; Asparouhov, T.; Muthén, B.O. Deciding on the number of classes in latent class analyses and growth mixture modeling: A Monte Carlo Simulation Study. Struct. Equatation Modeling 2007, 14, 535–569. [Google Scholar] [CrossRef]
- Kinnunen, J.M.; Pere, L.; Lindfors, P.; Ollila, H.; Rimpelä, A. The Adolescent Health and Lifestyle Survey 2015; National Institute for Health and Welfare: Helsinki, Finland, 2015. [Google Scholar]
- Munt, A.E.; Partridge, S.R.; Allman-Farinelli, M. The barriers and enablers of healthy eating among young adults: A missing piece of the obesity puzzle: A scoping review. Obes. Rev. 2017, 18, 1–17. [Google Scholar] [CrossRef] [PubMed]
- Raitakari, O.T.; Porkka, K.V.K.; Taimela, S.; Telama, R.; Räsänen, L.; Viikari, J.S. Effects of persistent physical activity and inactivity on coronary risk factors in children and young adults The Cardiovascular Risk in Young Finns Study. Am. J. Epidemiol. 1994, 140, 195–205. [Google Scholar] [CrossRef] [PubMed]
- Ortega, F.B.; Brown, W.J.; Lee, D.C.; Baruth, M.; Sui, X.; Blair, S.N. In fitness and health? A prospective study of changes in marital status and fitness in men and women. Am. J. Epidemiol. 2010, 173, 337–344. [Google Scholar] [CrossRef] [PubMed]
- Fishman, E.; Böcker, L.; Helbich, M. Adult active transport in the Netherlands: An analysis of its contribution to physical activity requirements. PLoS ONE 2015, 10, e0121871. [Google Scholar] [CrossRef] [PubMed]
- Ojajärvi, A. Terve Sotilas!—Etnografinen tutkimus varusmiesten tervestajusta sosiaalisena ilmiönä. [Healthy Soldier—An Ethnograhic Study on Conscripts’ Health Sense as a Social Phenomenon]; University of Helsinki: Helsinki, Finland, 2015; p. 296. [Google Scholar]
- Chassin, L.; Presson, C.; Seo, D.C.; Sherman, S.J.; Macy, J.; Wirth, R.J.; Curran, P. Multiple trajectories of cigarette smoking and the intergenerational transmission of smoking: A multigenerational, longitudinal study of a midwestern community sample. Health Psychol. 2008, 27, 819–828. [Google Scholar] [CrossRef]



| Males (N = 1607, 47.9%) | n | Females (N = 1748, 52.1%) | n | |
|---|---|---|---|---|
| Age (years), mean (SD) | 41.7 (4.9) | 41.7 (4.9) | ||
| Height (cm), mean (SD) | 179.8 (6.6) | 923 | 166.1 (6.0) | 1115 |
| Weight (kg), mean (SD) | 87.5 (16.0) | 923 | 72.0 (15.4) | 1117 |
| BMI, mean (SD) | 27.0 (4.4) | 922 | 26.1 (5.5) | 1114 |
| Education (%) | 878 | 1096 | ||
| ≤12 years | 34.3 | 18.4 | ||
| >12 years | 65.7 | 81.6 | ||
| SES (%) | 801 | 981 | ||
| Manual | 33.3 | 8.8 | ||
| Non-manual, low | 20.8 | 53.1 | ||
| Non-manual, high | 45.8 | 38.1 | ||
| Smoking status 2011 (%) | 882 | 1105 | ||
| Non-smoker | 78.6 | 84.3 | ||
| Smoker | 21.4 | 15.7 | ||
| Physical activity 2011 (%) | 877 | 1095 | ||
| Once a month or seldom | 24.2 | 17.4 | ||
| Once a week | 22.2 | 23.7 | ||
| 2–3 times a week | 38.3 | 38.4 | ||
| 4–6 times a week | 13.2 | 16.5 | ||
| Every day | 2.1 | 4.0 |
| Distribution % | Posterior Probability (M) | |
|---|---|---|
| PA trajectory group | ||
| Males | ||
| Group 1: Persistently active | 12.5 | 0.87 |
| Group 2: Increasingly active | 30.7 | 0.78 |
| Group 3: Decreasingly active | 15.8 | 0.74 |
| Group 4: Persistently low active | 41.1 | 0.83 |
| Females | ||
| Group 1: Persistently active | 3.4 | 0.85 |
| Group 2: Increasingly active | 14.9 | 0.75 |
| Group 3: Decreasingly active | 12.3 | 0.78 |
| Group 4: Persistently low active | 52.5 | 0.78 |
| Group 5: Persistently inactive | 17.0 | 0.79 |
| Smoking trajectory group | ||
| Males | ||
| Group 1: Persistently non-smokers | 44.6 | 0.91 |
| Group 2: Persistently mild smokers | 17.3 | 0.83 |
| Group 3: Ex-smokers | 4.0 | 0.72 |
| Group 4: Persistently moderate smokers | 25.3 | 0.76 |
| Group 5: Persistently heavy smokers | 8.8 | 0.82 |
| Females | ||
| Group 1: Persistently non-smokers | 56.4 | 0.94 |
| Group 2: Persistently light smokers | 16.0 | 0.78 |
| Group 3: Persistently mild smokers | 16.7 | 0.76 |
| Group 4: Decreasing smokers | 1.8 | 0.91 |
| Group 5: Persistently moderate smokers | 9.2 | 0.81 |
| Smoking among Males (Non-Smokers as Reference Group) | ||||||||||||
| Persistently Heavy Smokers | Persistently Moderate Smokers | Ex-Smokers | Persistently Mild Smokers | |||||||||
| b | s.e. | p | b | s.e. | p | b | s.e. | p | b | s.e. | p | |
| Persistently low active (as reference group) | ||||||||||||
| Persistently active | −3.32 | 1.39 | 0.017 * | −1.43 | 0.34 | <0.001 *** | −0.39 | 0.69 | 0.571 | −0.30 | 0.31 | 0.680 |
| Increasingly active | −2.50 | 0.63 | <0.001 *** | −0.72 | 0.24 | 0.003 ** | −0.12 | 0.60 | 0.845 | −0.14 | 0.27 | 0.593 |
| Decreasingly active | −1.41 | 0.58 | 0.015 * | −0.26 | 0.28 | 0.364 | −0.08 | 0.86 | 0.923 | 0.16 | 0.33 | 0.626 |
| Smoking among Females (Rare or Non-Smokers as Reference Group) | ||||||||||||
| Persistently Moderate Smokers | Persistently Mild Smokers | Decreasing Smokers | Persistently Light Smokers | |||||||||
| b | s.e. | p | b | s.e. | p | b | s.e. | p | b | s.e. | p | |
| Persistently inactive (as reference group) | ||||||||||||
| Persistently active | −2.43 | 1.21 | 0.044 * | - a | - | - | −1.20 | 1.28 | 0.734 | 0.09 | 0.52 | 0.865 |
| Increasingly active | - a | - | - | −1.11 | 0.42 | 0.007** | −1.77 | 1.04 | 0.090 | 0.23 | 0.39 | 0.555 |
| Decreasingly active | −1.80 | 0.53 | 0.00 1** | −1.20 | 0.41 | 0.004** | - | - | - | −0.35 | 0.44 | 0.438 |
| Persistently low active | −1.08 | 0.33 | 0.001 ** | −0.60 | 0.30 | 0.043* | −1.54 | 0.73 | 0.036* | −0.21 | 0.38 | 0.578 |
© 2019 by the authors. Licensee MDPI, Basel, Switzerland. This article is an open access article distributed under the terms and conditions of the Creative Commons Attribution (CC BY) license (http://creativecommons.org/licenses/by/4.0/).
Share and Cite
Salin, K.; Kankaanpää, A.; Hirvensalo, M.; Lounassalo, I.; Yang, X.; Magnussen, C.G.; Hutri-Kähönen, N.; Rovio, S.; Viikari, J.; Raitakari, O.T.; et al. Smoking and Physical Activity Trajectories from Childhood to Midlife. Int. J. Environ. Res. Public Health 2019, 16, 974. https://doi.org/10.3390/ijerph16060974
Salin K, Kankaanpää A, Hirvensalo M, Lounassalo I, Yang X, Magnussen CG, Hutri-Kähönen N, Rovio S, Viikari J, Raitakari OT, et al. Smoking and Physical Activity Trajectories from Childhood to Midlife. International Journal of Environmental Research and Public Health. 2019; 16(6):974. https://doi.org/10.3390/ijerph16060974
Chicago/Turabian StyleSalin, Kasper, Anna Kankaanpää, Mirja Hirvensalo, Irinja Lounassalo, Xiaolin Yang, Costan G. Magnussen, Nina Hutri-Kähönen, Suvi Rovio, Jorma Viikari, Olli T. Raitakari, and et al. 2019. "Smoking and Physical Activity Trajectories from Childhood to Midlife" International Journal of Environmental Research and Public Health 16, no. 6: 974. https://doi.org/10.3390/ijerph16060974
APA StyleSalin, K., Kankaanpää, A., Hirvensalo, M., Lounassalo, I., Yang, X., Magnussen, C. G., Hutri-Kähönen, N., Rovio, S., Viikari, J., Raitakari, O. T., & Tammelin, T. H. (2019). Smoking and Physical Activity Trajectories from Childhood to Midlife. International Journal of Environmental Research and Public Health, 16(6), 974. https://doi.org/10.3390/ijerph16060974

