Characterizing Mental Health Treatment Utilization among Individuals Exposed to the 2001 World Trade Center Terrorist Attacks 14–15 Years Post-Disaster
Abstract
1. Introduction
2. Materials and Methods
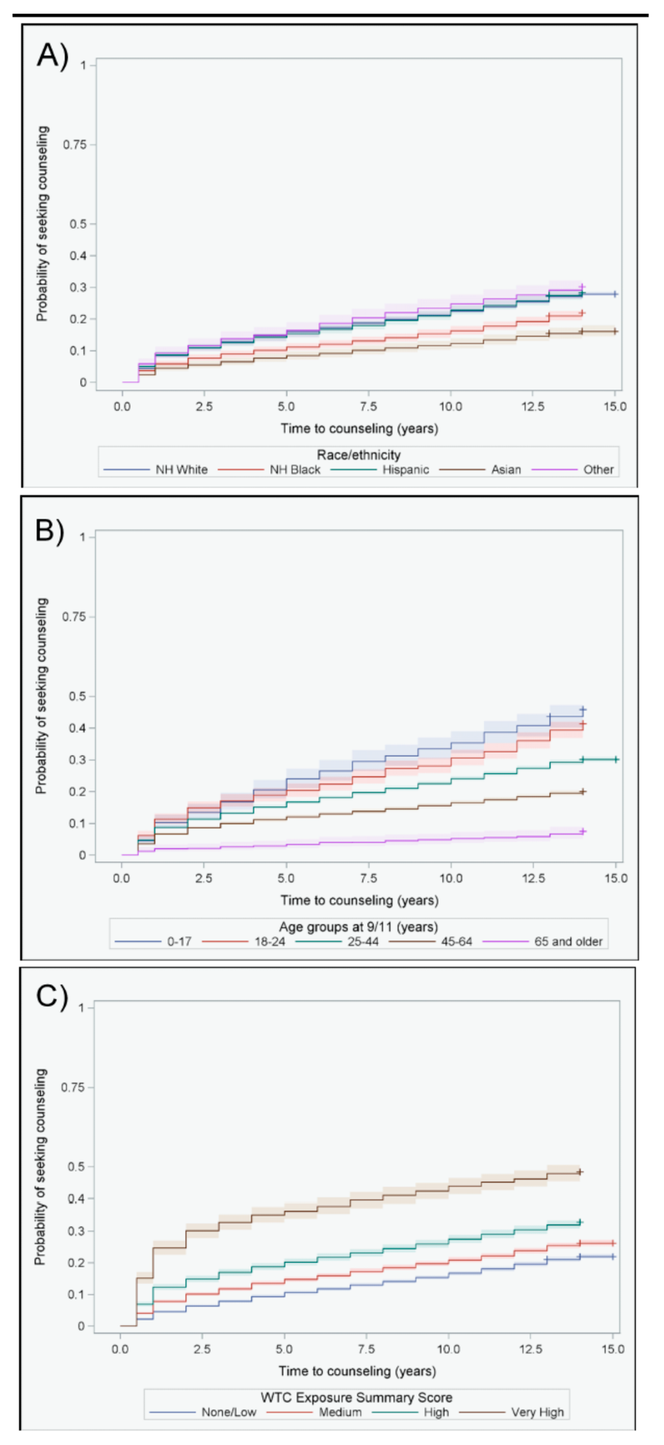
3. Results
4. Discussion
5. Conclusions
Author Contributions
Acknowledgements
Conflicts of Interest
References
- Herman, D.; Felton, C.; Susser, E. Mental health needs in New York State following the September 11th attacks. J. Urban Health 2002, 79, 322–331. [Google Scholar] [CrossRef] [PubMed]
- Brackbill, R.M.; Hadler, J.L.; DiGrande, L.; Ekenga, C.C.; Farfel, M.R.; Friedman, S.; et al. Asthma and posttraumatic stress symptoms 5 to 6 years following exposure to the World Trade Center terrorist attack. JAMA 2009, 302, 502–516. [Google Scholar] [CrossRef] [PubMed]
- Galea, S.; Nandi, A.; Vlahov, D. The epidemiology of post-traumatic stress disorder after disasters. Epidemiol. Rev. 2005, 27, 78–91. [Google Scholar] [CrossRef] [PubMed]
- Neria, Y.; DiGrande, L.; Adams, B.G. Posttraumatic stress disorder following the September 11, 2001, terrorist attacks: A review of the literature among highly exposed populations. Am. Psychol. 2011, 66, 429. [Google Scholar] [CrossRef] [PubMed]
- Felton, C.J. Project liberty: A public health response to New Yorkers’ mental health needs arising fromthe World Trade Center terrorist attacks. J. Urban Health 2002, 79, 429–433. [Google Scholar] [CrossRef] [PubMed][Green Version]
- Fairbrother, G.; Stuber, J.; Galea, S.; Pfefferbaum, B.; Fleischman, A.R. Unmet need for counseling services by children in New York City after the September 11th attacks on the World Trade Center: Implications for pediatricians. Pediatrics 2004, 113, 1367–1374. [Google Scholar] [CrossRef]
- Dasaro, C.R.; Holden, W.L.; Berman, K.D.; Crane, M.A.; Kaplan, J.R.; Lucchini, R.G.; Luft, B.J.; Moline, J.M.; Teitelbaum, S.L.; Tirunagari, U.S.; et al. Cohort profile: World trade center health program general responder cohort. Int. J. Epidemiol. 2015, 46, e9. [Google Scholar] [CrossRef]
- Petrsoric, L.; Miller-Archie, S.A.; Welch, A.; Cone, J.; Farfel, M. Considerations for future disaster registries: Effectiveness of treatment referral outreach in addressing long-term unmet 9/11 disaster needs. Disaster Prev. Manag. Int. J. 2018, 27, 321–333. [Google Scholar] [CrossRef]
- Stuber, J.; Galea, S.; Boscarino, J.A.; Schlesinger, M. Was there unmet mental health need after the September 11, 2001 terrorist attacks? Soc. Psychiatry Psychiatr. Epidemiol. 2006, 41, 230–240. [Google Scholar] [CrossRef]
- Green, D.C.; Buehler, J.W.; Silk, B.J.; Thompson, N.J.; Schild, L.A.; Klein, M.; Berkelman, R.L. Trends in healthcare use in the New York City region following the Terrorist Attacks of 2001. Biosecur. Bioterror. Biodef. Strategy Pract. Sci. 2006, 4, 263–275. [Google Scholar] [CrossRef]
- Norris, F.H.; Friedman, M.J.; Watson, P.J. 60,000 disaster victims speak: Part II. Summary and implications of the disaster mental health research. Psychiatry Interpers. Biol. Process. 2002, 65, 240–260. [Google Scholar] [CrossRef]
- Rodriguez, J.J.; Kohn, R. Use of mental health services among disaster survivors. Curr. Opin. Psychiatry 2008, 21, 370–378. [Google Scholar] [CrossRef] [PubMed]
- Boscarino, J.A.; Adams, R.E.; Stuber, J.; Galea, S. Disparities in mental health treatment following the World Trade Center Disaster: Implications for mental health care and health services research. J. Trauma. Stress 2005, 18, 287–297. [Google Scholar] [CrossRef] [PubMed]
- Boscarino, J.A.; Galea, S.; Adams, R.E.; Ahern, J.; Resnick, H.; Vlahov, D. Mental health service and medication use in New York City after the September 11, 2001, terrorist attack. Psychiatr. Serv. 2004, 55, 274–283. [Google Scholar] [CrossRef] [PubMed]
- Boscarino, J.A.; Adams, R.E.; Figley, C.R. Mental health service use 1-year after the World Trade Center disaster: Implications for mental health care. Gen. Hosp. Psychiatry 2004, 26, 346–358. [Google Scholar] [CrossRef] [PubMed]
- Boscarino, J.A.; Galea, S.; Ahern, J.; Resnick, H.; Vlahov, D. Utilization of mental health services following the September 11th terrorist attacks in Manhattan, New York City. Int. J. Emerg. Ment. Health 2002, 4, 143–155. [Google Scholar] [PubMed]
- Boscarino, J.A.; Adams, R.E.; Figley, C.R. Mental health service use after the World Trade Center disaster: Utilization trends and comparative effectiveness. J. Nerv. Ment. Dis. 2011, 199, 91. [Google Scholar] [CrossRef]
- Farfel, M.; DiGrande, L.; Brackbill, R.; Prann, A.; Cone, J.; Friedman, S.; Walker, D.J.; Pezeshki, G.; Thomas, P.; Galea, S.; et al. An overview of 9/11 experiences and respiratory and mental health conditions among World Trade Center Health Registry enrollees. J. Urban Health 2008, 85, 880–909. [Google Scholar] [CrossRef]
- Adams, R.E.; Boscarino, J.A. Stress and well-being in the aftermath of the World Trade Center attack: The continuing effects of a communitywide disaster. J. Community Psychol. 2005, 33, 175–190. [Google Scholar] [CrossRef]
- Brackbill, R.M.; Stellman, S.D.; Perlman, S.E.; Walker, D.J.; Farfel, M.R. Mental health of those directly exposed to the World Trade Center disaster: Unmet mental health care need, mental health treatment service use, and quality of life. Soc. Sci. Med. 2013, 81, 110–114. [Google Scholar] [CrossRef]
- Blanchard, E.B.; Jones-Alexander, J.; Buckley, T.C.; Forneris, C.A. Psychometric properties of the PTSD Checklist (PCL). Behav. Res. Therapy 1996, 34, 669–673. [Google Scholar] [CrossRef]
- Ruggiero, K.J.; Del Ben, K.; Scotti, J.R.; Rabalais, A.E. Psychometric properties of the PTSD Checklist—Civilian version. J. Trauma. Stress 2003, 16, 495–502. [Google Scholar] [CrossRef] [PubMed]
- Weathers, F.W.; Litz, B.T.; Herman, D.; Huska, J.; Keane, T. The PTSD Checklist-Civilian Version (PCL-C); National Center for PTSD: Boston, MA, USA, 1994.
- American Psychiatric Association. Diagnostic and Statistical Manual of Mental Disorders: DSM-IV1994; American Psychiatric Association: Washington, DC, USA, 2013. [Google Scholar]
- McDonald, S.D.; Calhoun, P.S. The diagnostic accuracy of the PTSD checklist: A critical review. Clin. Psychol. Rev. 2010, 30, 976–987. [Google Scholar] [CrossRef] [PubMed]
- Kroenke, K.; Strine, T.W.; Spitzer, R.L.; Williams, J.B.; Berry, J.T.; Mokdad, A.H. The PHQ-8 as a measure of current depression in the general population. J. Affect. Disorders 2009, 114, 163–173. [Google Scholar] [CrossRef] [PubMed]
- Kroenke, K.; Spitzer, R.L. The PHQ-9: A new depression diagnostic and severity measure. Psychiatr. Ann. 2002, 32, 509–515. [Google Scholar] [CrossRef]
- Kroenke, K.; Spitzer, R.L.; Williams, J.B. The PHQ-9: Validity of a brief depression severity measure. J. Gen. Intern. Med. 2001, 16, 606–613. [Google Scholar] [CrossRef] [PubMed]
- Fuertes, J.N.; Mislowack, A.; Bennett, J.; Paul, L.; Gilbert, T.C.; Fontan, G.; Boylan, L.S. The physician–patient working alliance. Patient Educ. Counsel. 2007, 66, 29–36. [Google Scholar] [CrossRef]
- Ankuta, G.Y.; Abeles, N. Client satisfaction, clinical significance, and meaningful change in psychotherapy. Prof. Psychol. Res. Pract. 1993, 24, 70. [Google Scholar] [CrossRef]
- Stuber, J.; Fairbrother, G.; Galea, S.; Pfefferbaum, B.; Wilson-Genderson, M.; Vlahov, D. Determinants of counseling for children in Manhattan after the September 11 attacks. Psychiatr. Serv. 2002, 53, 815–822. [Google Scholar] [CrossRef]
- Hoven, C.; Duarte, C.; Cohen, M.; Lucas, C.; Gregorian, N.; Rosen, C. Effects of the World Trade Center Attack on NYC Public School Students; New York City Board of Education: New York, NY, USA, 2002.
- Janicke, D.M.; Finney, J.W.; Riley, A.W. Children’s health care use a prospective investigation of factors related to care-seeking. Med. Care 2001, 39, 990–1001. [Google Scholar] [CrossRef]
- Klein, T.P.; Devoe, E.R.; Miranda-Julian, C.; Linas, K. Young children’s responses to September 11th: The New York City experience. Infant Ment. Health J. 2009, 30, 1–22. [Google Scholar] [CrossRef] [PubMed]
- Davis, L.; Siegel, L.J. Posttraumatic stress disorder in children and adolescents: A review and analysis. Clin. Child Fam. Psychol. Rev. 2000, 3, 135–154. [Google Scholar] [CrossRef] [PubMed]
- Wang, P.S.; Gruber, M.J.; Powers, R.E.; Schoenbaum, M.; Speier, A.H.; Wells, K.B.; Kessler, R.C. Mental health service use among Hurricane Katrina survivors in the eight months after the disaster. Psychiatr. Serv. 2007, 58, 1403–1411. [Google Scholar] [CrossRef] [PubMed]
- Wang, P.S.; Berglund, P.A.; Olfson, M.; Kessler, R.C. Delays in initial treatment contact after first onset of a mental disorder. Health Serv. Res. 2004, 39, 393–416. [Google Scholar] [CrossRef] [PubMed]
- Yousaf, O.; Grunfeld, E.A.; Hunter, M.S. A systematic review of the factors associated with delays in medical and psychological help-seeking among men. Health Psychol. Rev. 2015, 9, 264–276. [Google Scholar] [CrossRef] [PubMed]
- Clement, S.; Schauman, O.; Graham, T.; Maggioni, F.; Evans-Lacko, S.; Bezborodovs, N.; et al. What is the impact of mental health-related stigma on help-seeking? A systematic review of quantitative and qualitative studies. Psychol. Med. 2015, 45, 11–27. [Google Scholar] [CrossRef] [PubMed]
- Ward, E.C.; Wiltshire, J.C.; Detry, M.A.; Brown, R.L. African American men and women’s attitude toward mental illness, perceptions of stigma, and preferred coping behaviors. Nurs. Res. 2013, 62, 185–194. [Google Scholar] [CrossRef] [PubMed]
- Cohen, R.E. Mental health services for victims of disasters. World Psychiatry 2002, 1, 149. [Google Scholar] [PubMed]
- Shinfuku, N. Disaster mental health: Lessons learned from the Hanshin Awaji earthquake. World Psychiatry 2002, 1, 158–159. [Google Scholar]
- Sue, S.; Cheng, J.K.Y.; Saad, C.S.; Chu, J.P. Asian American mental health: A call to action. Am. Psychol. 2012, 67, 532. [Google Scholar] [CrossRef]
- Kim, G.; Loi, C.X.A.; Chiriboga, D.A.; Jang, Y.; Parmelee, P.; Allen, R.S. Limited English proficiency as a barrier to mental health service use: A study of Latino and Asian immigrants with psychiatric disorders. J. Psychiatr. Res. 2011, 45, 104–110. [Google Scholar] [CrossRef] [PubMed]
- McGuire, T.G.; Miranda, J. New evidence regarding racial and ethnic disparities in mental health: Policy implications. Health Affairs 2008, 27, 393–403. [Google Scholar] [CrossRef]
- Alegría, M.; Chatterji, P.; Wells, K.; Cao, Z.; Chen, C.-n.; Takeuchi, D.; Jackson, J.; Meng, X.-L. Disparity in depression treatment among racial and ethnic minority populations in the United States. Psychiatr. Serv. 2008, 59, 1264–1272. [Google Scholar] [CrossRef]
- Leong, F.T.; Lau, A.S. Barriers to providing effective mental health services to Asian Americans. Ment. Health Serv. Res. 2001, 3, 201–214. [Google Scholar] [CrossRef] [PubMed]
- Kung, W.W.; Lu, P.-C. How symptom manifestations affect help seeking for mental health problems among Chinese Americans. J. Nervous Ment. Dis. 2008, 196, 46–54. [Google Scholar] [CrossRef] [PubMed]
- Kung, W.W.; Liu, X.; Huang, D.; Kim, P.; Wang, X.; Yang, L.H. Factors related to the probable PTSD after the 9/11 World Trade Center attack among Asian Americans. J. Urban Health 2018, 95, 255–266. [Google Scholar] [CrossRef]
- Dell’Osso, L.; Carpita, B.; Cremone, I.M.; Muti, D.; Diadema, E.; Barberi, F.M.; Massimetti, C.; Brondino, N.; Petrosino, B.; Politi, P.; et al. The mediating effect of trauma and stressor related symptoms and ruminations on the relationship between autistic traits and mood spectrum. Psychiatry Res. 2018, in press. [Google Scholar] [CrossRef] [PubMed]
- Yu, S.; Brackbill, R.M.; Stellman, S.D.; Ghuman, S.; Farfel, M.R. Evaluation of non-response bias in a cohort study of World Trade Center terrorist attack survivors. BMC Res. Notes 2015, 8, 42. [Google Scholar] [CrossRef]
- Murphy, J.; Brackbill, R.M.; Thalji, L.; Dolan, M.; Pulliam, P.; Walker, D.J. Measuring and maximizing coverage in the World Trade Center Health Registry. Stat. Med. 2007, 26, 1688–1701. [Google Scholar] [CrossRef] [PubMed]

| Total (N = 35,629) | Sought Counseling (N = 13,435, 37.7%) | No Counseling (N = 22,194, 62.3%) | aRR a | 95% CI | |||||
|---|---|---|---|---|---|---|---|---|---|
| N | % | N | % | N | % | ||||
| Sex | |||||||||
| Men | 21586 | 60.6 | 7240 | 33.5 | 14346 | 66.5 | 1.00 | Reference | |
| Women | 14043 | 39.4 | 6195 | 44.1 | 7848 | 55.9 | 1.01 | 0.99 | 1.03 |
| Race/Ethnicity | |||||||||
| White | 24939 | 70.0 | 9857 | 39.5 | 15082 | 60.5 | 1.00 | Reference | |
| Black | 3416 | 9.6 | 1045 | 30.6 | 2371 | 69.4 | 0.83 | 0.76 | 0.90 |
| Hispanic | 4046 | 11.4 | 1550 | 38.3 | 2496 | 61.7 | 0.98 | 0.94 | 1.02 |
| Asian | 2002 | 5.6 | 470 | 23.5 | 1532 | 76.5 | 0.72 | 0.63 | 0.82 |
| Other race | 1226 | 3.4 | 513 | 41.8 | 713 | 58.2 | 1.00 | 0.99 | 1.02 |
| Education at Wave 1 | |||||||||
| ≤High school/GED | 7857 | 22.2 | 2619 | 33.3 | 5238 | 66.7 | 0.94 | 0.90 | 0.99 |
| Some college | 8704 | 24.6 | 3138 | 36.1 | 5566 | 63.9 | 0.99 | 0.96 | 1.02 |
| College | 11423 | 32.3 | 4470 | 39.1 | 6953 | 60.9 | 0.99 | 0.98 | 1.00 |
| Graduate degree | 7376 | 20.9 | 3115 | 42.2 | 4261 | 57.8 | 1.00 | Reference | |
| Income at Wave 1 | |||||||||
| <$50,000 | 8876 | 27.6 | 3632 | 40.9 | 5244 | 59.1 | 1.00 | 0.98 | 1.01 |
| ≥$50,000 to <$150,000 | 19249 | 59.8 | 6974 | 36.2 | 12275 | 63.8 | 0.99 | 0.98 | 1.00 |
| ≥$150,000 | 4050 | 12.6 | 1623 | 40.1 | 2427 | 59.9 | 1.00 | Reference | |
| Age at 9/11 (years) | |||||||||
| 0–17 | 852 | 2.4 | 438 | 51.4 | 414 | 48.6 | 2.44 | 1.86 | 3.20 |
| 18–24 | 1720 | 4.8 | 845 | 49.1 | 875 | 50.9 | 2.42 | 1.84 | 3.17 |
| 25–44 | 18212 | 51.1 | 7442 | 40.9 | 10770 | 59.1 | 2.37 | 1.81 | 3.11 |
| 45–64 | 14010 | 39.3 | 4551 | 32.5 | 9459 | 67.5 | 2.08 | 1.58 | 2.73 |
| ≥65 | 835 | 2.3 | 159 | 19.0 | 676 | 81.0 | 1.00 | Reference | |
| Eligibility group | |||||||||
| Rescue/recovery worker | 16480 | 46.3 | 5732 | 34.8 | 10748 | 65.2 | 1.00 | 0.98 | 1.01 |
| Lower Manhattan resident | 5103 | 14.3 | 2266 | 44.4 | 2837 | 55.6 | 0.99 | 0.95 | 1.02 |
| Lower Manhattan area worker/passerby | 14046 | 39.4 | 5437 | 38.7 | 8609 | 61.3 | 1.00 | Reference | |
| WTC exposure score | |||||||||
| None/low | 15620 | 43.8 | 5083 | 32.5 | 10537 | 67.5 | 1.00 | Reference | |
| Medium | 11923 | 33.5 | 4518 | 37.9 | 7405 | 62.1 | 1.08 | 1.04 | 1.12 |
| High | 6203 | 17.4 | 2743 | 44.2 | 3460 | 55.8 | 1.09 | 1.04 | 1.13 |
| Very high | 1883 | 5.3 | 1091 | 57.9 | 792 | 42.1 | 1.10 | 1.06 | 1.14 |
| Traumatic experiences after 9/11 b | |||||||||
| No | 21859 | 61.4 | 6700 | 30.7 | 15159 | 69.3 | 1.00 | Reference | |
| Yes | 13770 | 38.6 | 6735 | 48.9 | 7035 | 51.1 | 1.08 | 1.05 | 1.12 |
| Ever-PTSD c | |||||||||
| No | 17572 | 72.9 | 5156 | 29.3 | 12416 | 70.7 | 1.00 | Reference | |
| Yes | 6543 | 27.1 | 3726 | 56.9 | 2817 | 43.1 | 1.27 | 1.20 | 1.33 |
| Ever-Depression d | |||||||||
| No | 22209 | 77.5 | 6691 | 30.1 | 15518 | 69.9 | 1.00 | Reference | |
| Yes | 6451 | 22.5 | 3973 | 61.6 | 2478 | 38.4 | 1.17 | 1.11 | 1.23 |
| Counseling before 9/11 | |||||||||
| No | 27971 | 81.5 | 7460 | 26.7 | 20511 | 73.3 | 1.00 | Reference | |
| Yes | 6340 | 18.5 | 4810 | 75.9 | 1530 | 24.1 | 2.25 | 2.16 | 2.34 |
| Doctor-diagnosed depression (ever) | |||||||||
| No | 28099 | 78.9 | 7366 | 26.2 | 20733 | 73.8 | - | - | |
| Yes | 7530 | 21.1 | 6069 | 80.6 | 1461 | 19.4 | - | - | |
| Doctor-diagnosed PTSD (ever) | |||||||||
| No | 29816 | 83.7 | 8490 | 28.5 | 21326 | 71.5 | - | - | |
| Yes | 5813 | 16.3 | 4945 | 85.1 | 868 | 14.9 | - | - | |
| Doctor-diagnosed anxiety (ever) | |||||||||
| No | 30950 | 86.9 | 9695 | 31.3 | 21255 | 68.7 | - | - | |
| Yes | 4679 | 13.1 | 3740 | 79.9 | 939 | 20.1 | - | - | |
| Total (N = 13,435) | Psychiatrist (N = 5399, 40.2%) a | Psychologist (N = 6720, 50.0%) a | Other Mental Health Professional (N = 6360, 47.3%) a,b | General Practitioner/Doctor (N = 3082, 22.9%) a | Nurse/ Occupational Therapist (N = 726, 5.4%) a | Religious or Spiritual Advisor (N = 2092, 15.6%) a | ||||||||
|---|---|---|---|---|---|---|---|---|---|---|---|---|---|---|
| N | % | N | % | N | % | N | % | N | % | N | % | N | % | |
| Sex | ||||||||||||||
| Men | 7240 | 53.9 | 3009 | 41.6 | 3591 | 49.6 | 3376 | 46.6 | 1650 | 22.8 | 404 | 5.6 | 1155 | 16.0 |
| Women | 6195 | 46.1 | 2390 | 38.6 | 3129 | 50.5 | 2984 | 48.2 | 1432 | 23.1 | 322 | 5.2 | 937 | 15.1 |
| Race/Ethnicity | ||||||||||||||
| White | 9857 | 73.4 | 3998 | 40.6 | 5140 | 52.1 | 4759 | 48.3 | 2118 | 21.5 | 432 | 4.4 | 1362 | 13.8 |
| Black | 1045 | 7.8 | 369 | 35.3 | 419 | 40.1 | 458 | 43.8 | 272 | 26.0 | 95 | 9.1 | 240 | 23.0 |
| Hispanic | 1550 | 11.5 | 649 | 41.9 | 703 | 45.4 | 713 | 46.0 | 408 | 26.3 | 123 | 7.9 | 308 | 19.9 |
| Asian | 470 | 3.5 | 142 | 30.2 | 178 | 37.9 | 186 | 39.6 | 143 | 30.4 | 32 | 6.8 | 48 | 10.2 |
| Other race | 513 | 3.8 | 241 | 47.0 | 280 | 54.6 | 244 | 47.6 | 141 | 27.5 | 44 | 8.6 | 134 | 26.1 |
| Education at Wave 1 | ||||||||||||||
| ≤High school/GED | 2619 | 19.6 | 1126 | 43.0 | 1156 | 44.1 | 1115 | 42.6 | 726 | 27.7 | 209 | 8.0 | 419 | 16.0 |
| Some college | 3138 | 23.5 | 1293 | 41.2 | 1513 | 48.2 | 1578 | 50.3 | 805 | 25.7 | 197 | 6.3 | 575 | 18.3 |
| College | 4470 | 33.5 | 1729 | 38.7 | 2328 | 52.1 | 2142 | 47.9 | 936 | 20.9 | 203 | 4.5 | 650 | 14.5 |
| Graduate degree | 3115 | 23.4 | 1215 | 39.0 | 1686 | 54.1 | 1481 | 47.5 | 585 | 18.8 | 109 | 3.5 | 420 | 13.5 |
| Income at Wave 1 | ||||||||||||||
| <$50,000 | 3632 | 29.7 | 1521 | 41.9 | 1718 | 47.3 | 1778 | 49.0 | 1007 | 27.7 | 300 | 8.3 | 676 | 18.6 |
| ≥$50,000 to <$150,000 | 6974 | 57.0 | 2729 | 39.1 | 3523 | 50.5 | 3399 | 48.7 | 1548 | 22.2 | 327 | 4.7 | 1064 | 15.3 |
| ≥$150,000 | 1623 | 13.3 | 659 | 40.6 | 881 | 54.3 | 651 | 40.1 | 282 | 17.4 | 38 | 2.3 | 185 | 11.4 |
| Age at 9/11 (years) | ||||||||||||||
| 0–17 | 438 | 3.3 | 203 | 46.3 | 258 | 58.9 | 232 | 53.1 | 50 | 11.4 | 22 | 5.0 | 40 | 9.2 |
| 18–24 | 845 | 6.3 | 331 | 39.2 | 468 | 55.4 | 442 | 52.3 | 157 | 18.6 | 32 | 3.8 | 114 | 13.5 |
| 25–44 | 7442 | 55.4 | 3033 | 40.8 | 3787 | 50.9 | 3726 | 50.1 | 1686 | 22.7 | 384 | 5.2 | 1270 | 17.1 |
| 45–64 | 4551 | 33.9 | 1791 | 39.4 | 2168 | 47.6 | 1922 | 42.2 | 1141 | 25.1 | 268 | 5.9 | 656 | 14.4 |
| ≥65 | 159 | 1.2 | 41 | 25.8 | 39 | 24.5 | 38 | 23.9 | 48 | 30.2 | 20 | 12.6 | 12 | 7.5 |
| Eligibility group | ||||||||||||||
| Rescue/recovery worker | 5732 | 42.7 | 2287 | 39.9 | 2811 | 49.0 | 2910 | 50.8 | 1361 | 23.7 | 354 | 6.2 | 1059 | 18.5 |
| Lower Manhattan resident | 2266 | 16.9 | 956 | 42.2 | 1217 | 53.7 | 978 | 43.2 | 457 | 20.2 | 120 | 5.3 | 205 | 9.0 |
| Lower Manhattan area worker/passerby | 5437 | 40.5 | 2156 | 39.7 | 2692 | 49.5 | 2472 | 45.5 | 1264 | 23.2 | 252 | 4.6 | 828 | 15.2 |
| WTC exposure score | ||||||||||||||
| None/low | 5083 | 37.8 | 1901 | 37.4 | 2416 | 47.5 | 2364 | 46.5 | 1092 | 21.5 | 238 | 4.7 | 769 | 15.1 |
| Medium | 4518 | 33.6 | 1797 | 39.8 | 2227 | 49.3 | 2098 | 46.4 | 918 | 20.3 | 213 | 4.7 | 585 | 12.9 |
| High | 2743 | 20.4 | 1141 | 41.6 | 1464 | 53.4 | 1320 | 48.1 | 705 | 25.7 | 161 | 5.9 | 487 | 17.8 |
| Very high | 1091 | 8.1 | 560 | 51.3 | 613 | 56.2 | 578 | 53.0 | 367 | 33.6 | 114 | 10.4 | 251 | 23.0 |
| Ever-PTSD c | ||||||||||||||
| No | 5156 | 58.1 | 1544 | 29.9 | 2361 | 45.8 | 2445 | 47.4 | 709 | 13.8 | 132 | 2.6 | 561 | 10.9 |
| Yes | 3726 | 42.0 | 1962 | 52.7 | 2122 | 57.0 | 1872 | 50.2 | 1201 | 32.2 | 288 | 7.7 | 744 | 20.0 |
| Ever-Depression d | ||||||||||||||
| No | 6691 | 62.7 | 2018 | 30.2 | 3105 | 46.4 | 3103 | 46.4 | 1011 | 15.1 | 195 | 2.9 | 821 | 12.3 |
| Yes | 3973 | 37.3 | 2241 | 56.4 | 2290 | 57.6 | 2033 | 51.2 | 1359 | 34.2 | 342 | 8.6 | 803 | 20.2 |
| Counseling before 9/11 | ||||||||||||||
| No | 7460 | 60.8 | 3014 | 40.4 | 3811 | 51.1 | 3576 | 47.9 | 1624 | 21.8 | 414 | 5.5 | 1137 | 15.2 |
| Yes | 4810 | 39.2 | 2105 | 43.8 | 2612 | 54.3 | 2476 | 51.5 | 1086 | 22.6 | 233 | 4.8 | 760 | 15.8 |
| Doctor-diagnosed depression (ever) | ||||||||||||||
| No | 7366 | 54.8 | 1642 | 22.3 | 3098 | 42.1 | 3245 | 44.1 | 1088 | 14.8 | 240 | 3.3 | 973 | 13.2 |
| Yes | 6069 | 45.2 | 3757 | 61.9 | 3622 | 59.7 | 3115 | 51.3 | 1994 | 32.9 | 486 | 8.0 | 1119 | 18.4 |
| Doctor-diagnosed PTSD (ever) | ||||||||||||||
| No | 8490 | 63.2 | 2568 | 30.2 | 3690 | 43.5 | 3645 | 42.9 | 1511 | 17.8 | 304 | 3.6 | 1065 | 12.5 |
| Yes | 4945 | 36.8 | 2831 | 57.2 | 3030 | 61.3 | 2715 | 54.9 | 1571 | 31.8 | 422 | 8.5 | 1027 | 20.8 |
| Doctor-diagnosed anxiety (ever) | ||||||||||||||
| No | 9695 | 72.2 | 3030 | 31.3 | 4463 | 46.0 | 4414 | 45.5 | 1706 | 17.6 | 363 | 3.7 | 1400 | 14.4 |
| Yes | 3740 | 27.8 | 2369 | 63.3 | 2257 | 60.3 | 1946 | 52.0 | 1376 | 36.8 | 363 | 9.7 | 692 | 18.5 |
| Conditions for which received counseling a | ||||||||||||||
| Depression | 6421 | 47.8 | 3944 | 61.4 | 3892 | 60.6 | 3383 | 52.7 | 2037 | 31.7 | 497 | 7.7 | 1199 | 18.7 |
| PTSD | 4768 | 35.5 | 2751 | 57.7 | 3020 | 63.3 | 2704 | 56.7 | 1490 | 31.3 | 409 | 8.6 | 1005 | 21.1 |
| Anxiety disorder | 3990 | 29.7 | 2506 | 62.8 | 2447 | 61.3 | 2139 | 53.6 | 1463 | 36.7 | 392 | 9.8 | 755 | 18.9 |
| Other mental health problem | 3773 | 28.1 | 1848 | 49.0 | 2215 | 58.7 | 2136 | 56.6 | 1153 | 30.6 | 390 | 10.3 | 771 | 20.4 |
| Alcohol/drug problems | 833 | 6.2 | 509 | 61.1 | 485 | 58.2 | 559 | 67.1 | 345 | 41.4 | 116 | 13.9 | 225 | 27.0 |
| Any ≥2 conditions | 5734 | 42.7 | 3619 | 63.1 | 3607 | 62.9 | 3222 | 56.2 | 1962 | 34.2 | 518 | 9.0 | 1170 | 20.4 |
| None of the above | 3095 | 23.0 | 329 | 10.6 | 899 | 29.0 | 1067 | 34.5 | 360 | 11.6 | 73 | 2.4 | 348 | 11.2 |
| Total (N = 5429) | Very (N = 2192) | aRR a | 95% CI | Somewhat (N = 2029) | Slightly (N = 883) | Not at all (N = 217) | |||||||
|---|---|---|---|---|---|---|---|---|---|---|---|---|---|
| N | % | N | % b | N | % b | N | % b | N | % b | ||||
| Sex | |||||||||||||
| Men | 2934 | 54.0 | 1045 | 36.3 | 1.00 | Reference | 1165 | 40.5 | 535 | 18.6 | 132 | 4.6 | |
| Women | 2495 | 46.0 | 1147 | 46.9 | 1.29 | 1.18 | 1.40 | 864 | 35.4 | 348 | 14.2 | 85 | 3.5 |
| Race | |||||||||||||
| White | 4073 | 75.0 | 1657 | 41.3 | 1.00 | Reference | 1549 | 38.6 | 650 | 16.2 | 157 | 3.9 | |
| Black | 379 | 7.0 | 172 | 47.1 | 1.25 | 1.09 | 1.43 | 124 | 34.0 | 50 | 13.7 | 19 | 5.2 |
| Hispanic | 586 | 10.8 | 241 | 42.6 | 1.05 | 0.91 | 1.20 | 199 | 35.2 | 101 | 17.8 | 25 | 4.4 |
| Asian | 170 | 3.1 | 51 | 31.5 | 0.88 | 0.64 | 1.19 | 67 | 41.4 | 35 | 21.6 | 9 | 5.6 |
| Other race | 221 | 4.1 | 71 | 33.0 | 0.72 | 0.53 | 0.98 | 90 | 41.9 | 47 | 21.9 | 7 | 3.3 |
| Education at Wave 4 | |||||||||||||
| ≤High school/GED | 690 | 12.8 | 231 | 34.7 | 0.91 | 0.77 | 1.09 | 249 | 37.4 | 130 | 19.5 | 55 | 8.3 |
| Some college | 1428 | 26.6 | 513 | 36.9 | 0.95 | 0.85 | 1.05 | 538 | 38.6 | 271 | 19.5 | 70 | 5.0 |
| College | 1594 | 29.6 | 671 | 42.6 | 0.96 | 0.88 | 1.04 | 598 | 38.0 | 254 | 16.1 | 51 | 3.2 |
| Graduate degree | 1667 | 31.0 | 757 | 46.1 | 1.00 | Reference | 623 | 38.0 | 224 | 13.7 | 37 | 2.3 | |
| Income at Wave 4 | |||||||||||||
| <$50,000 | 1360 | 26.2 | 517 | 39.2 | 1.11 | 0.98 | 1.25 | 481 | 36.5 | 241 | 18.3 | 80 | 6.1 |
| ≥$50,000 to <$150,000 | 2499 | 48.1 | 1016 | 41.3 | 1.04 | 0.95 | 1.14 | 914 | 37.2 | 430 | 17.5 | 98 | 4.0 |
| ≥$150,000 | 1340 | 25.8 | 569 | 43.1 | 1.00 | Reference | 547 | 41.4 | 172 | 13.0 | 32 | 2.4 | |
| Age at Wave 4 (years) | |||||||||||||
| 18–44 | 1175 | 21.6 | 484 | 41.7 | 0.82 | 0.73 | 0.93 | 435 | 37.4 | 199 | 17.1 | 44 | 3.8 |
| 45–64 | 3366 | 62.0 | 1325 | 40.1 | 0.86 | 0.79 | 0.94 | 1281 | 38.8 | 563 | 17.0 | 136 | 4.1 |
| ≥65 | 888 | 16.4 | 383 | 44.8 | 1.00 | Reference | 313 | 36.7 | 121 | 14.2 | 37 | 4.3 | |
| Eligibility group | |||||||||||||
| Rescue/recovery worker | 2429 | 44.7 | 944 | 39.8 | 1.08 | 0.98 | 1.18 | 904 | 38.1 | 413 | 17.4 | 112 | 4.7 |
| Lower Manhattan resident | 948 | 17.5 | 411 | 44.1 | 1.03 | 0.93 | 1.14 | 343 | 36.8 | 143 | 15.4 | 34 | 3.7 |
| Lower Manhattan area worker/passerby | 2052 | 37.8 | 837 | 41.5 | 1.00 | Reference | 782 | 38.8 | 327 | 16.2 | 71 | 3.5 | |
| WTC exposure score | |||||||||||||
| None/low | 2096 | 38.6 | 861 | 42.2 | 1.00 | Reference | 770 | 37.7 | 322 | 15.8 | 89 | 4.4 | |
| Medium | 1867 | 34.4 | 765 | 41.7 | 1.05 | 0.96 | 1.14 | 687 | 37.5 | 320 | 17.5 | 61 | 3.3 |
| High | 1013 | 18.7 | 365 | 36.6 | 0.96 | 0.86 | 1.08 | 407 | 40.8 | 179 | 17.9 | 47 | 4.7 |
| Very high | 453 | 8.3 | 201 | 44.9 | 1.21 | 1.07 | 1.36 | 165 | 36.8 | 62 | 13.8 | 20 | 4.5 |
| Persistent PTSD c | |||||||||||||
| Never PTSD | 1824 | 51.1 | 882 | 49.0 | 1.00 | Reference | 658 | 36.5 | 222 | 12.3 | 39 | 2.2 | |
| Non-persistent d | 1295 | 36.3 | 454 | 35.7 | 0.76 | 0.68 | 0.83 | 518 | 40.7 | 245 | 19.2 | 56 | 4.4 |
| Yes | 450 | 12.6 | 159 | 35.7 | 0.68 | 0.58 | 0.81 | 165 | 37.1 | 97 | 21.8 | 24 | 5.4 |
| Conditions for which received counseling in the last 12 months e | |||||||||||||
| Depression | 3075 | 56.6 | 1177 | 38.8 | 0.85 | 0.75 | 0.97 | 1215 | 40.0 | 526 | 17.3 | 119 | 3.9 |
| PTSD | 1922 | 35.4 | 779 | 41.1 | 1.11 | 1.00 | 1.24 | 704 | 37.2 | 339 | 17.9 | 73 | 3.9 |
| Anxiety disorder | 2109 | 38.8 | 812 | 39.0 | 0.97 | 0.87 | 1.08 | 839 | 40.3 | 357 | 17.1 | 74 | 3.6 |
| Other mental health problem | 1937 | 35.7 | 750 | 39.1 | 0.87 | 0.79 | 0.97 | 750 | 39.1 | 332 | 17.3 | 86 | 4.5 |
| Alcohol/drug problems | 327 | 6.0 | 119 | 36.6 | 0.93 | 0.77 | 1.12 | 119 | 36.6 | 69 | 21.2 | 18 | 5.5 |
| Any ≥2 conditions | 2775 | 51.1 | 1068 | 39.0 | 1.11 | 0.96 | 1.28 | 1092 | 39.8 | 480 | 17.5 | 101 | 3.7 |
| None of the above | 776 | 14.3 | 323 | 44.8 | 0.94 | 0.82 | 1.08 | 238 | 33.0 | 121 | 16.8 | 39 | 5.4 |
| Counseling frequency in last 12 months | |||||||||||||
| >1 per week | 299 | 5.7 | 148 | 50.7 | 1.57 | 1.34 | 1.85 | 99 | 33.9 | 40 | 13.7 | 5 | 1.7 |
| 1 per week | 1768 | 33.4 | 797 | 45.4 | 1.25 | 1.11 | 1.41 | 649 | 37.0 | 267 | 15.2 | 42 | 2.4 |
| 2–3 times per month | 1274 | 24.1 | 539 | 42.8 | 1.23 | 1.09 | 1.39 | 515 | 40.9 | 176 | 14.0 | 30 | 2.4 |
| 1 per month | 880 | 16.6 | 331 | 38.0 | 1.12 | 0.97 | 1.29 | 355 | 40.7 | 148 | 17.0 | 38 | 4.4 |
| <1 per month | 1067 | 20.2 | 348 | 33.0 | 1.00 | Reference | 36.3 | 235 | 22.3 | 90 | 8.5 | ||
| Received medication for a mental health problem in the last 12 months | |||||||||||||
| No | 2335 | 43.0 | 1011 | 44.4 | 1.00 | Reference | 829 | 36.4 | 347 | 15.2 | 92 | 4.0 | |
| Yes | 3094 | 57.0 | 1181 | 38.8 | 0.91 | 0.83 | 0.99 | 1200 | 39.4 | 536 | 17.6 | 125 | 4.1 |
| Sought counseling prior to the last 12 months | |||||||||||||
| No | 543 | 10.6 | 175 | 32.8 | 1.00 | Reference | 209 | 39.2 | 111 | 20.8 | 38 | 7.1 | |
| Yes | 4601 | 89.4 | 1937 | 42.7 | 1.34 | 1.14 | 1.57 | 1718 | 37.9 | 717 | 15.8 | 162 | 3.6 |
| Ever been without insurance in last 12 months | |||||||||||||
| No | 4963 | 92.1 | 2018 | 41.5 | 1.00 | Reference | 1862 | 38.2 | 794 | 16.3 | 194 | 4.0 | |
| Yes | 425 | 7.9 | 159 | 38.2 | 1.17 | 0.99 | 1.38 | 150 | 36.1 | 85 | 20.4 | 22 | 5.3 |
| Unmet mental healthcare need in last 12 months | |||||||||||||
| No | 4982 | 94.2 | 2090 | 42.7 | 1.00 | Reference | 1899 | 38.8 | 755 | 15.4 | 147 | 3.0 | |
| Yes | 306 | 5.8 | 50 | 16.9 | 0.45 | 0.31 | 0.65 | 82 | 27.8 | 100 | 33.9 | 63 | 21.4 |
| Previous unmet mental healthcare need f | |||||||||||||
| No | 2935 | 68.9 | 1309 | 45.3 | 1.00 | Reference | 1082 | 37.4 | 416 | 14.4 | 84 | 2.9 | |
| Yes | 1327 | 31.1 | 445 | 34.2 | 0.84 | 0.76 | 0.93 | 510 | 39.2 | 276 | 21.2 | 71 | 5.5 |
© 2019 by the authors. Licensee MDPI, Basel, Switzerland. This article is an open access article distributed under the terms and conditions of the Creative Commons Attribution (CC BY) license (http://creativecommons.org/licenses/by/4.0/).
Share and Cite
Jacobson, M.H.; Norman, C.; Sadler, P.; Petrsoric, L.J.; Brackbill, R.M. Characterizing Mental Health Treatment Utilization among Individuals Exposed to the 2001 World Trade Center Terrorist Attacks 14–15 Years Post-Disaster. Int. J. Environ. Res. Public Health 2019, 16, 626. https://doi.org/10.3390/ijerph16040626
Jacobson MH, Norman C, Sadler P, Petrsoric LJ, Brackbill RM. Characterizing Mental Health Treatment Utilization among Individuals Exposed to the 2001 World Trade Center Terrorist Attacks 14–15 Years Post-Disaster. International Journal of Environmental Research and Public Health. 2019; 16(4):626. https://doi.org/10.3390/ijerph16040626
Chicago/Turabian StyleJacobson, Melanie H., Christina Norman, Pablo Sadler, Lysa J. Petrsoric, and Robert M. Brackbill. 2019. "Characterizing Mental Health Treatment Utilization among Individuals Exposed to the 2001 World Trade Center Terrorist Attacks 14–15 Years Post-Disaster" International Journal of Environmental Research and Public Health 16, no. 4: 626. https://doi.org/10.3390/ijerph16040626
APA StyleJacobson, M. H., Norman, C., Sadler, P., Petrsoric, L. J., & Brackbill, R. M. (2019). Characterizing Mental Health Treatment Utilization among Individuals Exposed to the 2001 World Trade Center Terrorist Attacks 14–15 Years Post-Disaster. International Journal of Environmental Research and Public Health, 16(4), 626. https://doi.org/10.3390/ijerph16040626
